Dynamics of Mesozooplankton Assemblage in Relation to Environmental Factors in the Maryland Coastal Bays
Abstract
1. Introduction
- To compare mesozooplankton, particularly non-copepod taxa, abundance and community structure among the MCBs embayments;
- To determine seasonal patterns in mesozooplankton abundance and community structure;
- To compare mesozooplankton composition, abundance and diversity between relatively dry (2012) and wet (2013) years;
- To assess the relationships between mesozooplankton taxa abundance and abiotic and biotic factors; and
- To use information on decapod larval occurrence to determine whether blue crabs spawn within the MCBs.
2. Materials and Methods
2.1. Study Area
2.2. Sample Collection
2.3. Data Analyses
3. Results
3.1. Environmental Factors
3.2. Temporal Pattern of Mesozooplankton Abundance
3.3. Community Composition, Relative Abundance and Distribution of Non-Copepod Mesozooplankton in MCBs
3.4. Relationships Between Non-Copepod Mesozooplankton and Environmental Factors
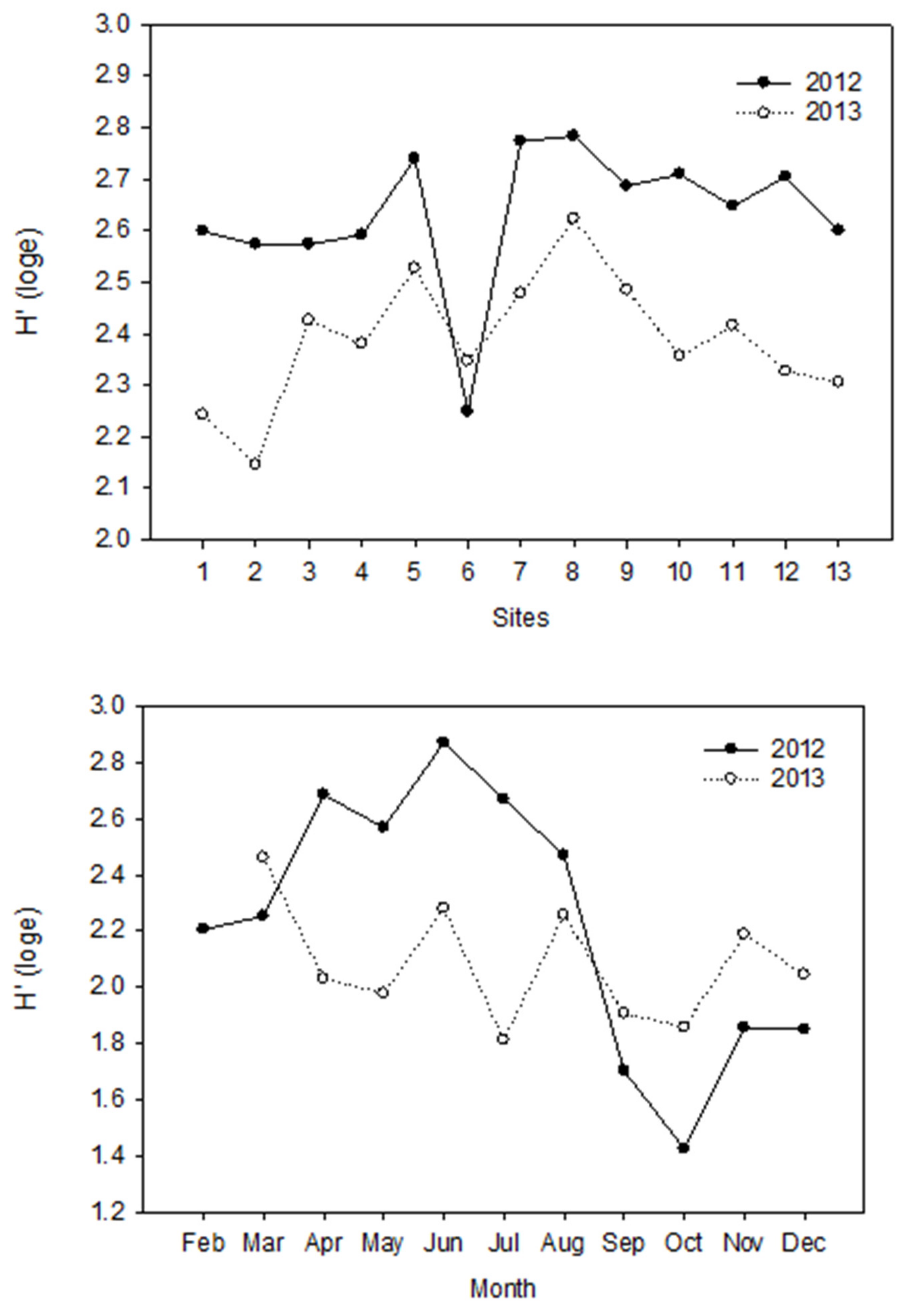
3.5. Mesozooplankton Diversity
4. Discussion
4.1. Mesozooplankton Community Composition and Taxa-Environment Relationships
4.2. Occurrence of Blue Crab Larvae in the MCBs
4.3. Diversity of Mesozooplankton
4.4. Implications of Temporal Variability in Environmental Factors on Mesozooplankton
5. Conclusions
Author Contributions
Funding
Acknowledgments
Conflicts of Interest
References
- Johnson, W.S.; Allen, D.M. Zooplankton of the Atlantic and Gulf Coasts: A Guide to Their Identification and Ecology, 2nd ed.; The Johns Hopkins University Press: Baltimore, MD, USA, 2012; 452p. [Google Scholar]
- Kleppel, G.S. On the diets of calanoid copepods: Review. Mar. Ecol. Prog. Ser. 1993, 99, 183–195. [Google Scholar] [CrossRef]
- Durbin, E.; Kane, J. Seasonal and spatial dynamics of Centropages typicus and C. hamatus in the western North Atlantic. Prog. Oceanogr. 2007, 72, 249–258. [Google Scholar] [CrossRef]
- Verity, P.G.; Smetacek, V. Organism life cycles, predation, and the structure of marine pelagic ecosystems. Mar. Ecol. Prog. Ser. 1996, 130, 277–293. [Google Scholar] [CrossRef]
- Bosch, H.F.; Taylor, W.R. Marine cladocerans in the Chesapeake Bay estuary. Crustaceana 1968, 15, 161–164. [Google Scholar] [CrossRef]
- Sandifer, P.A. Distribution and abundance of decapod crustacean larvae in the York River Estuary and Adjacent Lower Chesapeake Bay, Virginia, 1968–1969. Chesap. Sci. 1973, 14, 235–257. [Google Scholar] [CrossRef]
- Steinberg, D.K.; Condon, R.H. Zooplankton of the York River. J. Coast. Res. 2009, 57, 66–79. [Google Scholar] [CrossRef]
- Hartman, K.J.; Howell, J.; Sweka, J.A. Diet and daily ration of bay anchovy in the Hudson River, New York. Am. Fish. Soc. 2004, 133, 762–771. [Google Scholar] [CrossRef]
- Klebasko, M.J. Feeding Ecology and Daily Ration of Bay Anchovy (Anchoa mitchilli) in the Mid-Chesapeake Bay. Master’ Thesis, University of Maryland, College Park, MD, USA, 1991. [Google Scholar]
- Mallin, M.A. Zooplankton abundance and community structure in a mesohaline North Carolina estuary. Estuaries 1991, 14, 481–488. [Google Scholar] [CrossRef]
- Li, K.Z.; Yin, J.Q.; Huang, L.M.; Tan, Y.H. Spatial and temporal variations of mesozooplankton in the Pearl River estuary, China. Estuar. Coast. Shelf Sci. 2006, 67, 543–552. [Google Scholar] [CrossRef]
- Kimmel, D.G.; Roman, M.R.; Zhang, X. Spatial and temporal variability in factors affecting mesozooplankton dynamics in Chesapeake Bay: Evidence from biomass size spectra. Limnol. Oceanogr. 2006, 51, 131–141. [Google Scholar] [CrossRef]
- Elliot, D.T.; Kaufman, R.S. Spatial and temporal variability of mesozooplankton and tintinnid ciliates in a seasonally hypersaline estuary. Estuaries Coasts 2007, 30, 418–430. [Google Scholar] [CrossRef]
- Shiganova, T.A. Invasion of the Black Sea by the ctenophore Mnemiopsis leidyi and recent changes in pelagic community structure. Fish. Oceanogr. 1998, 7, 305–310. [Google Scholar] [CrossRef]
- Sage, L.E.; Herman, S.S. Zooplankton of the Sandy Hook Bay area, N.J. Chesap. Sci. 1972, 13, 29–39. [Google Scholar] [CrossRef]
- Hulsizer, E. Zooplankton of the lower Narragansett Bay, 1972–1973. Chesap. Sci. 1976, 17, 260–270. [Google Scholar] [CrossRef]
- Davis, L.N.; Marshall, H.G. Mesozooplankton distribution and abundance in the Pagan River: A nutrient enriched sub-estuary of the James River, Virginia. Va. J. Sci. 1998, 49, 151–162. [Google Scholar]
- Deevey, G.B. The zooplankton of the surface waters of the Delaware Bay region. Bull. Bingham Oceanogr. Collect. 1960, 17, 5–53. [Google Scholar]
- Cronin, L.E.; Daiber, J.D.; Hulbert, E.M. Quantitative seasonal aspects of zooplankton in the Delaware River Estuary. Chesap. Sci. 1962, 3, 63–93. [Google Scholar] [CrossRef]
- Sandoz, M.; Rogers, R. The effect of environmental factors on hatching, moulting, and survival of zoea larvae of the blue crab Callinectes sapidus Rathbun. Ecology 1944, 25, 216–228. [Google Scholar] [CrossRef]
- Costlow, J.D., Jr. The effect of salinity and temperature on survival and metamorphosis of megalops of the blue crab Callinectes sapidus. Helgol Wiss Meeresunters 1967, 15, 84–97. [Google Scholar] [CrossRef]
- McConaugha, J.R.; Johnson, D.F.; Provenzano, A.J.; Maris, R.C. Seasonal distribution of larvae of Callinectes sapidus (Crustacea; Decapoda) in the waters adjacent to Chesapeake Bay. J. Crustacean Biol. 1983, 3, 582–591. [Google Scholar] [CrossRef]
- Sulkin, S.D.; Van Heukelem, W.; Kelly, P.; Van Heukelem, L. The behavioral basis of larval recruitment in the crab Callinectes sapidus Rathbun: A laboratory investigation of ontogenetic changes in geotaxis and barokinesis. Biol. Bull. 1980, 159, 402–417. [Google Scholar] [CrossRef]
- Provenzano, A.J.; McConaugha, J.R.; Philips, K.; Johnson, D.F.; Clark, J. Vertical distribution of first stage larvae of the blue crab, Callinectes sapidus at the mouth of Chesapeake Bay. Estuar. Coast. Shelf Sci. 1983, 16, 489–500. [Google Scholar] [CrossRef]
- Epifanio, C.E. Transport of blue crab Callinectes sapidus larvae in the waters off Mid-Atlantic States. Bull. Mar. Sci. 1995, 57, 713–725. [Google Scholar]
- MD DNR, Maryland Department of Natural Resources Coastal Bays Fisheries Advisory Committee. Coastal Bays Blue Crab Fisheries Management Plan; MD DNR: Annapolis, MD, USA, 2001; 44p.
- Jesien, R.V.; Bollinger, A.; Brinker, D.F.; Casey, J.F.; Doctor, S.B.; Etgen, C.P.; Eyler, T.B.; Hall, M.R.; Hoffman, M.L.; Kilian, J.V.; et al. Diversity of Life in the Coastal Bays. In Shifting Sands: Environmental and Cultural Changes in Maryland’s Coastal Bays; Dennison, W.C., Thomas, J.E., Cain, C.J., Carruthers, T.J.B., Hall, M.R., Jesien, R.V., Wazniak, C.E., Wilson, D.E., Eds.; IAN Press; University of Maryland Center for Environmental Science (UMCES): Cambridge, MD, USA, 2009; pp. 293–344. [Google Scholar]
- Boynton, W.R.; Hagy, J.D.; Murray, L.; Stokes, C.; Kemp, W.M. A comparative analysis of eutrophication patterns in a temperate coastal lagoon. Estuaries 1996, 19, 408–421. [Google Scholar] [CrossRef]
- Wazniak, C.; Wells, D.; Hall, M. The Maryland coastal bays ecosystem. In Maryland Coastal Bays Ecosystem Health Assessment; Wazniak, C., Hall, M., Eds.; DNR-12-1202-0009; Maryland Department of Natural Resources: Annapolis, MD, USA, 2004. [Google Scholar]
- Glibert, P.M.; Hinkle, D.C.; Sturgis, B.; Jesien, R.V. Eutrophication of a Maryland/Virginia Coastal Lagoon: A tipping point, ecosystem changes, and potential Causes. Estuaries Coasts 2014, 37, S128–S146. [Google Scholar] [CrossRef]
- Quaglietta, C.E. Predation by Mnemiopsis leidyi on Hard Clam Larvae and Other Natural Zooplankton in Great South Bay, NY. Master’s Thesis, State University of New York, Stony Brook, NY, USA, 1987. [Google Scholar]
- McNamara, M.E.; Lonsdale, D.J.; Cerrato, R.M. Shifting abundance of the ctenophore Mnemiopsis leidyi and its implications for larval bivalve mortality. Mar. Biol. 2010, 157, 401–412. [Google Scholar] [CrossRef]
- Kang, X.; Xia, M.; Pitula, J.S.; Chigbu, P. Dynamics of water and salt exchange in Maryland Coastal Bays. Estuar. Coast. Shelf Sci. 2017, 189, 1–16. [Google Scholar] [CrossRef]
- Thomas, J.E.; Woerner, J.L.; Abele, R.W.; Blazer, D.P.; Blazer, G.P.; Cain, C.J.; Dawson, S.L.; McGinty, M.K.; Schupp, C.A.; Spaur, C.C.; et al. Isle of Wight Bay. In Shifting Sands: Environmental and Cultural Changes in Maryland’s Coastal Bays; Dennison, W.C., Thomas, J.E., Cain, C.J., Carruthers, T.J.B., Hall, M.R., Jesien, R.V., Wazniak, C.E., Wilson, D.E., Eds.; IAN Press; University of Maryland Center for Environmental Science (UMCES): Cambridge, MD, USA, 2009; pp. 101–116. [Google Scholar]
- Howson, U.A.; Buchanan, G.A.; Nickels, J.A. Zooplankton community dynamics in a western mid-Atlantic lagoonal estuary. J. Coast. Res. 2017, 78, 141–168. [Google Scholar] [CrossRef]
- Egloff, D.A.; Fofonoff, P.W.; Onbé, T. Reproductive biology of marine cladocerans. Adv. Mar. Biol. 1997, 31, 79–168. [Google Scholar]
- Sandifer, P.A. Morphology and Ecology of Chesapeake Bay Decapod Crustacean Larvae. Ph.D. Thesis, University of Virginia, Charlottesville, VA, USA, 1972. [Google Scholar]
- Oseji, O.F.; Fan, C.; Chigbu, P. Composition and dynamics of phytoplankton in the coastal bays of Maryland, USA, revealed by microscopic counts and diagnostic pigments analyses. Water 2019, 11, 368. [Google Scholar] [CrossRef]
- Ter Braak, C.J.F.; Šmilauer, P. Canoco Reference Manual and User’s Guide: Software for Ordination, Version 5.0; Microcomputer Power: Ithaca, NY, USA, 2012. [Google Scholar]
- Shannon, C.E. A mathematical theory of communication. Bell Syst. Technol. J. 1948, 27, 379–423. [Google Scholar] [CrossRef]
- Clarke, K.R.; Gorley, R.N. PRIMER v6: User Manual/Tutorial (Plymouth Routines in Multivariate Ecological Research; PRIMER-E Limited: Plymouth, UK, 2006. [Google Scholar]
- Oghenekaro, E.U.; Chigbu, P.; Oseji, O.F.; Tang, K.W. Seasonal factors influencing the abundance of copepods in the Maryland Coastal Bays. Estuaries and Coasts 2018, 41, 495–506. [Google Scholar] [CrossRef]
- Burrell, V.G., Jr.; Van Engel, W.A. Predation by and distribution of a ctenophore, Mnemiopsis leidyi A. Agassiz, in the York River estuary. Estuar. Coast. Mar. Sci. 1976, 4, 235–242. [Google Scholar] [CrossRef]
- Mills, C.E. Medusae, siphonophores and ctenophores as planktonorous predators in changing global ecosystems. ICES J. Mar. Sci. 1995, 52, 575–581. [Google Scholar] [CrossRef]
- Purcell, J.E.; Shiganova, T.A.; Decker, M.B.; Houde, E.D. The ctenophore Mnemiopsis in native and exotic habitats: U.S. estuaries versus the Black Sea basin. Hydrobiologia 2001, 451, 145–176. [Google Scholar] [CrossRef]
- Purcell, J.E.; Arai, M.N. Interactions of pelagic cnidarians and ctenophores with fishes: A review. Hydrobiologia 2001, 451, 24–27. [Google Scholar]
- Purcell, J.E.; Decker, M.B. Effects of climate on relative predation by scyphomedusae and ctenophores on copepods in Chesapeake Bay during 1987–2000. Limnol. Oceanogr. 2005, 50, 376–387. [Google Scholar] [CrossRef]
- Kremer, P. Predation by the ctenophore Mnemiopsis leidyi in Narragansett Bay, Rhode Island. Estuaries 1979, 2, 97–105. [Google Scholar] [CrossRef]
- Turner, J.T. The annual cycle of zooplankton in a Long Island Estuary. Estuaries 1982, 5, 261–274. [Google Scholar] [CrossRef]
- Murphy, R.F.; Secor, D.H. Fish and Blue crab assemblage structure in a U.S. mid-Atlantic Coastal lagoon complex. Estuaries Coasts 2005, 29, 1121–1131. [Google Scholar] [CrossRef]
- Vouglitois, J.J.; Able, K.W.; Kurtz, R.J.; Tighe, K.A. Life history and population dynamics of the bay anchovy in New Jersey. Trans. Am. Fish. Soc. 1987, 116, 141–153. [Google Scholar] [CrossRef]
- Kinch, J.C. Trophic habits of the juvenile fishes within artificial waterways: Marco Island, Florida. Contrib. Mar. Sci. 1979, 22, 77–90. [Google Scholar]
- Vasquez, A.V. Energetics, Trophic Relationships and Chemical Composition of Bay Anchovy, Anchoa mitchilli, in Chesapeake Bay. Master’s Thesis, University of Maryland, College Park, MD, USA, 1989. [Google Scholar]
- O’Brien, M. Marine Influence on Juvenile Fish Trophic Ecology and Community Dynamics in Maryland’s Northern Coastal Lagoons. Master’s Thesis, Marine Estuarine Environmental Science, University of Maryland, College Park, MD, USA, 2013. [Google Scholar]
- Mayor, E.D. Population Dynamics of Mysids and Their Role in the Trophic Ecology of Fishes in Maryland Coastal Bays. Ph.D. Thesis, University of Maryland Eastern Shore, Princess Anne, MD, USA, 2015. [Google Scholar]
- Starczak, V.; Pérez-Brunius, P.; Levine, H.E.; Gyory, J.; Pineda, J. The role of season and salinity in influencing barnacle distributions in two adjacent coastal mangrove lagoons. Bull. Mar. Sci. 2011, 87, 275–299. [Google Scholar] [CrossRef]
- Sandison, E.E. The effect of salinity fluctuations on the life cycle of Balanus pallidus stutsburi Darwin in Lagos Harbour, Nigeria. J. Anim. Ecol. 1966, 35, 363–378. [Google Scholar] [CrossRef]
- Vieira, L.; Azeiteiro, U.; Ré, P.; Pastorinho, R.; Marques, J.C.; Morgado, F. Zooplankton distribution in a temperate estuary (Mondego estuary southern arm: Western Portugal). Acta Oecol. 2003, 24, S163–S173. [Google Scholar] [CrossRef]
- Hwang, J.S.; Kumar, R.; Hsieh, C.W.; Kuo, A.Y.; Souissi, S.; Hsu, M.H.; Wu, J.T.; Liu, W.C.; Wang, C.F.; Chen, Q.C. Patterns of zooplankton distribution along the estuarine, marine and riverine portions of Danshuei ecosystem in northern Taiwan. Zool. Stud. 2010, 49, 335–352. [Google Scholar]
- Oseji, O.F.; Chigbu, P.; Oghenekaro, E.; Waguespack, Y.; Chen, N. Spatial and temporal patterns of phytoplankton composition and abundance in the Maryland Coastal Bays: The influence of freshwater discharge and anthropogenic activities. Estuar. Coast. Shelf Sci. 2018, 207, 119–131. [Google Scholar] [CrossRef]
- Gunter, G.; Ballard, B.S.; Venkataramiah, A. A review of salinity problems of organisms in United States coastal areas subject to the effects of engineering works. Gulf Res. Rep. 1974, 4, 380–475. [Google Scholar] [CrossRef][Green Version]
- Santhakumari, V.; Tiwari, L.R.; Nair, V.R. Species composition, abundance and distribution of hydromedusae from Dharamtar estuarine system, adjoining Bombay harbor. Indian J. Mar. Sci. 1999, 28, 158–162. [Google Scholar]
- Hansson, L.J.; Moeslund, O.; Kiørboe, T.; Riisgard, H.U. Clearance rates of jellyfish and their potential predation impact on zooplankton and fish larvae in a neritic ecosystem (Limfijorden, Denmark). Mar. Ecol. Prog. Ser. 2005, 304, 117–131. [Google Scholar] [CrossRef]
- Nelson, T.C. On the occurrence and food habits of ctenophores in New Jersey inland coastal waters. Biol. Bull. 1925, 48, 92–111. [Google Scholar] [CrossRef]
- Eversole, A.G. Species Profile: Life History and Environmental Requirements of Coastal Fishes and Invertebrates (South Atlantic)—Hard Clam; TR EL-82-4; U.S. Army Corps of Engineers: Washington, DC, USA, 1987; 33p. [Google Scholar]










| 2012 | |||||||||
| Bay | Site | Temp (°C) | Sal | DO (mg L−1) | pH | Chl a (µg L1) | But-Fuco (µg L−1) | Cteno (mL L−³) | Bay Anchovy (CPUE) |
| CB | 1–5 | 14.7 | 31.49 | 8.85 | 8.0 | 1.22 | 0.08 | 7.6 | 90 |
| NB | 6 | 14.7 | 27.07 | 8.68 | 7.9 | 3.93 | 0.18 | 5.2 | 137 |
| SB | 7–8 | 14.1 | 33.10 | 7.88 | 7.9 | 1.09 | 0.02 | 1.0 | 6 |
| IWB | 9 | 15.3 | 32.91 | 8.08 | 7.9 | 1.31 | 0.01 | 1.5 | 14 |
| SMR | 10 | 15.5 | 29.94 | 8.42 | 7.9 | 2.42 | 0.04 | 15.1 | 213 |
| AB | 11–13 | 14.7 | 29.60 | 8.57 | 7.9 | 1.55 | 0.00 | 13.2 | 103 |
| 2013 | |||||||||
| Bay | Site | Temp (°C) | Sal | DO (mg L−1) | pH | Chl a (µg L−1) | But-Fuco (µg L−1) | Cteno (mL L−³) | Bay anchovy (CPUE) |
| CB | 1–5 | 17.6 | 29.82 | 8.57 | 8.0 | 1.09 | 0.01 | 9.4 | 59 |
| NB | 6 | 18.4 | 25.14 | 8.19 | 7.9 | 4.60 | 0.00 | 30.9 | 93 |
| SB | 7–8 | 17.9 | 29.88 | 7.82 | 7.9 | 1.52 | 0.01 | 8.0 | 25 |
| IWB | 9 | 17.2 | 28.43 | 8.42 | 8.0 | 1.83 | 0.01 | 16.9 | 497 |
| SMR | 10 | 18.5 | 25.63 | 8.89 | 10.0 | 4.44 | 0.01 | 23.5 | 152 |
| AB | 11–13 | 18.0 | 24.95 | 8.62 | 8.0 | 3.05 | 0.01 | 22.3 | 124 |
| Mean Density (SE) | |||
|---|---|---|---|
| Season | 2012 | 2013 | P-Value |
| Winter | 30,710 (5759) | 23,564 (3907) | 0.870 |
| Spring | 4653 (1009) | 6738 (2025) | 0.337 |
| Summer | 8837 (3009) | 12,109 (10,489) | ≤0.001 |
| Fall | 17,368 (3364) | 3,697 (634) | ≤0.001 |
| Year | Season | Sites | Embayments | ||||||
|---|---|---|---|---|---|---|---|---|---|
| d.f | F | P | d.f | F | P | ||||
| 2012 | Winter | 12 | 1.59 | 0.210 | n.s | 4 | 3.22 | 0.027 | * |
| Spring | 12 | 0.93 | 0.532 | n.s | 4 | 1.81 | 0.137 | n.s | |
| Summer | 12 | 2.14 | 0.050 | * | 4 | 2.62 | 0.042 | * | |
| Fall | 12 | 1.16 | 0.360 | n.s | 4 | 1.51 | 0.215 | n.s | |
| 2013 | Winter | 12 | - | - | 4 | 3.01 | 0.092 | n.s | |
| Spring | 12 | 0.32 | 0.979 | n.s | 4 | 0.83 | 0.535 | n.s | |
| Summer | 12 | 1.00 | 0.476 | n.s | 4 | 1.10 | 0.379 | n.s | |
| Fall | 12 | 0.70 | 0.737 | n.s | 4 | 1.62 | 0.183 | n.s |
© 2019 by the authors. Licensee MDPI, Basel, Switzerland. This article is an open access article distributed under the terms and conditions of the Creative Commons Attribution (CC BY) license (http://creativecommons.org/licenses/by/4.0/).
Share and Cite
Oghenekaro, E.U.; Chigbu, P. Dynamics of Mesozooplankton Assemblage in Relation to Environmental Factors in the Maryland Coastal Bays. Water 2019, 11, 2133. https://doi.org/10.3390/w11102133
Oghenekaro EU, Chigbu P. Dynamics of Mesozooplankton Assemblage in Relation to Environmental Factors in the Maryland Coastal Bays. Water. 2019; 11(10):2133. https://doi.org/10.3390/w11102133
Chicago/Turabian StyleOghenekaro, Efeturi U., and Paulinus Chigbu. 2019. "Dynamics of Mesozooplankton Assemblage in Relation to Environmental Factors in the Maryland Coastal Bays" Water 11, no. 10: 2133. https://doi.org/10.3390/w11102133
APA StyleOghenekaro, E. U., & Chigbu, P. (2019). Dynamics of Mesozooplankton Assemblage in Relation to Environmental Factors in the Maryland Coastal Bays. Water, 11(10), 2133. https://doi.org/10.3390/w11102133
