Intensive Livestock Production Causing Antibiotic Pollution in the Yinma River of Northeast China
Abstract
1. Introduction
2. Materials and Methods
2.1. Study Area
2.2. Sampling Design and Procedure
2.3. Antibiotic Extraction and Analysis
2.4. Health Risk Assessment
3. Results and Discussion
3.1. Spatiotemporal Distribution of Antibiotics
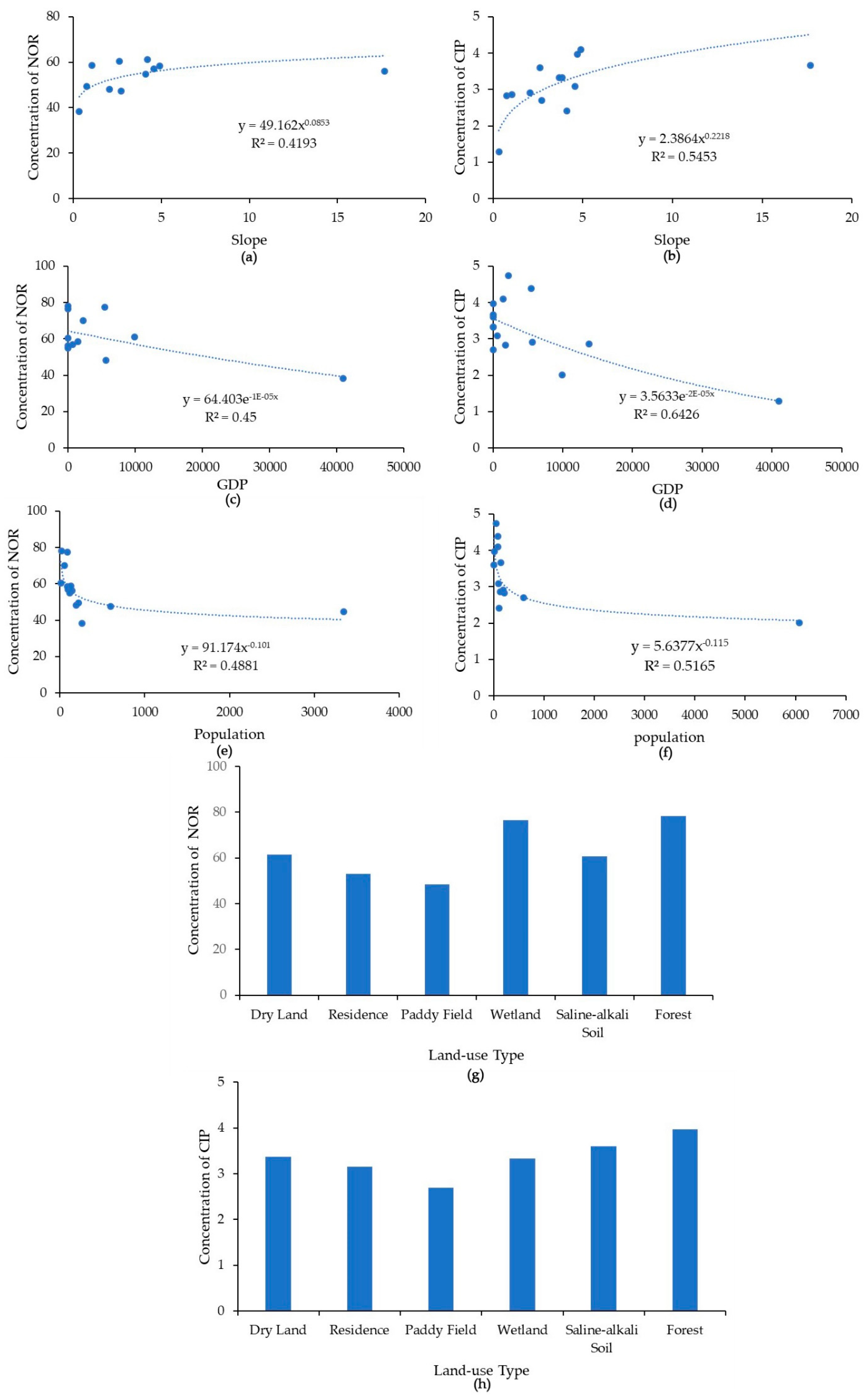
3.2. Relationship between Environmental and Social Factor and Antibiotics
3.3. Health Risk Assessment of Antibiotics
4. Conclusions
Supplementary Materials
Author Contributions
Funding
Acknowledgments
Conflicts of Interest
References
- Sarmah, A.K.; Meyer, M.T.; Boxall, A.A. Global perspective on the use, sales, exposure pathways, occurrence, fate and effects of veterinary antibiotics (VAs) in the environment. Chemosphere 2006, 65, 725–759. [Google Scholar] [CrossRef] [PubMed]
- Zhou, Z.; Liang, Y.; Shi, Y. Occurrence and Transport of Perfluoroalkyl Acids (PFAAs), Including Short-Chain PFAAs in Tangxun Lake, China. Environ. Sci. Technol. 2013, 47, 9249–9257. [Google Scholar] [CrossRef] [PubMed]
- CBG. Antibiotic Market Analysis Report in 2013–2018 in China. 2014. Available online: http://www.chinabgao.com/ (accessed on 1 May 2015).
- Hvistendahl, M. Public health. China takes aim at rampant antibiotic resistance. Science 2012, 336, 795. [Google Scholar] [CrossRef] [PubMed]
- Lienert, J.; Güdel, K.; Escher, B.I. Screening Method for Ecotoxicological Hazard Assessment of 42 Pharmaceuticals Considering Human Metabolism and Excretory Routes. Environ. Sci. Technol. 2007, 41, 4471–4478. [Google Scholar] [CrossRef] [PubMed]
- Hirsch, R.; Ternes, T.; Haberer, K. Occurrence of antibiotics in the aquatic environment. Sci. Total Environ. 1999, 225, 109–118. [Google Scholar] [CrossRef]
- Zhou, L.J.; Ying, G.G.; Liu, S. Excretion masses and environmental occurrence of antibiotics in typical swine and dairy cattle farms in China. Sci. Total Environ. 2013, 444, 183–195. [Google Scholar] [CrossRef]
- Zhang, R.; Zhang, R.; Li, J. Occurrence and distribution of antibiotics in multiple environmental media of the East River (Dongjiang) catchment, South China. Environ. Sci. Pollut. Res. Int. 2017, 24, 9690–9701. [Google Scholar] [CrossRef] [PubMed]
- Luo, Y.; Xu, L.; Rysz, M. Occurrence and Transport of Tetracycline, Sulfonamide, Quinolone, and Macrolide Antibiotics in the Haihe River Basin, China. Environ. Sci. Technol. 2011, 45, 1827–1833. [Google Scholar] [CrossRef] [PubMed]
- Zhu, Y.G.; Johnson, T.A.; Su, J.Q. Diverse and abundant antibiotic resistance genes in Chinese swine farms. Proc. Natl. Acad. Sci. USA 2013, 110, 3435–3440. [Google Scholar] [CrossRef]
- Watanabe, N.; Bergamaschi, B.A.; Loftin, K.A. Use and Environmental Occurrence of Antibiotics in Freestall Dairy Farms with Manured Forage Fields. Environ. Sci. Technol. 2010, 44, 6591–6600. [Google Scholar] [CrossRef]
- Watkinson, A.J.; Murby, E.J.; Costanzo, S.D. Removal of antibiotics in conventional and advanced wastewater treatment: Implications for environmental discharge and wastewater recycling. Water Res. 2007, 41, 4164–4176. [Google Scholar] [CrossRef] [PubMed]
- Chen, F.; Ying, G.G.; Kong, L.X. Distribution and accumulation of endocrine-disrupting chemicals and pharmaceuticals in wastewater irrigated soils in Hebei, China. Environ. Pollut. 2011, 159, 1490–1498. [Google Scholar] [CrossRef] [PubMed]
- Chee-Sanford, J.C.; Mackie, R.I.; Koike, S. Fate and Transport of Antibiotic Residues and Antibiotic Resistance Genes following Land Application of Manure Waste. J. Environ. Qual. 2009, 38, 1086–1108. [Google Scholar] [CrossRef] [PubMed]
- GOSC. The Twelfth Five-Year National Urban Sewage Treatment and Recycling Facility Construction Plan; General Office of the State Council of China: Beijing, China, 2012.
- Kim, S.C.; Carlson, K. Temporal and Spatial Trends in the Occurrence of Human and Veterinary Antibiotics in Aqueous and River Sediment Matrices. Environ. Sci. Technol. 2007, 41, 50–57. [Google Scholar] [CrossRef]
- Li, S.; Zhang, J.; Mu, G. Spatiotemporal Characterization of Chromophoric Dissolved Organic Matter (CDOM) and CDOM-DOC Relationships for Highly Polluted Rivers. Water 2016, 8, 399. [Google Scholar] [CrossRef]
- Sijia, L.; Hanyu, J.; Meichen, J. Terrestrial humic-like fluorescence peak of chromophoric dissolved organic matter as a new potential indicator tracing the antibiotics in typical polluted watershed. J. Environ. Manag. 2018, 228, 65–76. [Google Scholar]
- Hu, X.; Zhou, Q.; Luo, Y. Occurrence and source analysis of typical veterinary antibiotics in manure, soil, vegetables and groundwater from organic vegetable bases, northern China. Environ. Pollut. 2010, 158, 2992–2998. [Google Scholar] [CrossRef]
- Sun, C.; Zhang, J.; Ma, Q. Polycyclic aromatic hydrocarbons (PAHs) in water and sediment from a river basin: Sediment–water partitioning, source identification and environmental health risk assessment. Environ. Geochem. Health 2017, 39, 63–74. [Google Scholar] [CrossRef]
- USEPA. Guidelines for carcinogen risk assessment. Fed. Regist. 1986, 51, 33992–34003. [Google Scholar]
- USEPA. Guidelines for mutagenicity risk assessment. Fed. Regist. 1986, 51, 34006–34021. [Google Scholar]
- USEPA. Guidelines for the Health risk assessment of chemical mixture. Fed. Regist. 1986, 51, 34014–34025. [Google Scholar]
- USEPA. Guidelines for developmental toxicity risk assessment. Fed. Regist. 1986, 51, 34028–34040. [Google Scholar]
- USEPA. Guidelines for exposure assessment. Fed. Regist. 1986, 51, 34042–34054. [Google Scholar]
- USEPA. Guidelines for health assessment of systemic toxicants. Fed. Regist. 1988, 53, 29942–29949. [Google Scholar]
- USEPA. Proposed guidelines for assessing female reproductive risk. Fed. Regist. 1988, 53, 24834–24847. [Google Scholar]
- USEPA. Proposed guidelines for assessing male reproductive risk. Fed. Regist. 1988, 53, 24850–24860. [Google Scholar]
- Schwab, B.W.; Hayes, E.P.; Fiori, J.M. Human pharmaceuticals in US surface waters: A human health risk assessment. Regul. Toxicol. Pharmacol. 2005, 42, 296–312. [Google Scholar] [CrossRef]
- Cunningham, V.L.; Binks, S.P.; Olson, M.J. Human health risk assessment from the presence of human pharmaceuticals in the aquatic environment. Regul. Toxicol. Pharmacol. 2009, 53, 39–45. [Google Scholar] [CrossRef]
- Kümmerer, K. Antibiotics in the Environment. In Pharmaceuticals in the Environment; Springer: Berlin/Heidelberg, Germany, 2008. [Google Scholar]
- Gaskins, H.R.; Collier, C.T.; Anderson, D.B. Antibiotics as growth promoters: Mode of action. Anim. Biotechnol. 2002, 13, 29–42. [Google Scholar] [CrossRef]
- Polubesova, T.; Zadaka, D.; Groisman, L. Water remediation by micelle–clay system: Case study for tetracycline and sulfonamide antibiotics. Water Res. 2006, 40, 2369–2374. [Google Scholar] [CrossRef]
- Xue, B.; Zhang, R.; Wang, Y. Antibiotic contamination in a typical developing city in south China: Occurrence and ecological risks in the Yongjiang River impacted by tributary discharge and anthropogenic activities. Ecotoxicol. Environ. Saf. 2013, 92, 229–236. [Google Scholar] [CrossRef] [PubMed]
- Li, S.; Zhang, J.; Guo, E. Dynamics and ecological risk assessment of chromophoric dissolved organic matter in the Yinma River Watershed: Rivers, reservoirs, and urban waters. Environ. Res. 2017, 158, 245–254. [Google Scholar] [CrossRef] [PubMed]







| Parameter Name | Value (mL·d−1) | Parameter Name | Value (mL·d−1) | Parameter Name | Value (g·d−1) | ||||||
|---|---|---|---|---|---|---|---|---|---|---|---|
| IR (Drinking water) | August | rural male | 1854 | ET (skin exposure) | August | rural male | 8 | IR (fish consumption) | August | urban area | 40 |
| rural female | 1628 | rural female | 9 | ||||||||
| urban male | 1913 | urban male | 9 | reservoir area | 35 | ||||||
| urban female | 1774 | urban female | 10 | ||||||||
| suburb male | 1882 | suburb male | 9 | other area | 30 | ||||||
| suburb female | 1700 | suburb female | 9 | ||||||||
| November | rural male | 1086 | November | rural male | 3 | November | urban area | 28 | |||
| rural female | 994 | rural female | 4 | ||||||||
| urban male | 1375 | urban male | 5 | reservoir area | 23 | ||||||
| urban female | 1264 | urban female | 6 | ||||||||
| suburb male | 1225 | suburb male | 4 | other area | 18 | ||||||
| suburb female | 1127 | suburb female | 5 | ||||||||
| Parameter Name | Unit | Classification | Value |
|---|---|---|---|
| Exposure Frequency (EF) | d·year−1 | 365 | |
| Exposure Duration Over a Lifetime (ED) | Year | male | 74.12 |
| female | 78.44 | ||
| Bioconcentration Factor (BCF) | L·Kg−1 | 3.2 | |
| Skin Surface Area (SA) | m2 | rural male | 1.7 |
| rural female | 1.6 | ||
| urban male | 1.8 | ||
| urban female | 1.6 | ||
| suburb male | 1.7 | ||
| suburb female | 1.6 | ||
| Coefficient of Pollutant Skin Permeability (PC) | m·h−1 | 0.02 | |
| Average Body Weight (BW) | Kg | rural male | 66.1 |
| rural female | 59.8 | ||
| urban male | 70.6 | ||
| urban female | 62.4 | ||
| suburb male | 68.3 | ||
| suburb female | 61.1 | ||
| Average Lifetime (AT) | D | male | 27,053.8 |
| female | 28,630.6 |
| Antibiotics | Exposure Pathway | Value (цg·Kg−1·d−1) |
|---|---|---|
| NOR | skin exposure | 380 |
| direct consumption | 190 | |
| CIP | skin exposure | 3.2 |
| direct consumption | 1.6 |
| Site | Wet | Dry | Mean | |||
|---|---|---|---|---|---|---|
| NOR-Wet | CIP-Wet | NOR-Dry | CIP-Dry | NOR-Mean | CIP-Mean | |
| YT 1 | 70.611 | 2.04 | 51.719 | 1.989 | 61.164 | 2.015 |
| YT 2 | 41.518 | 1.221 | 35.335 | 1.343 | 38.427 | 1.282 |
| YT 3 | 64.497 | 4.491 | 75.034 | 4.276 | 69.766 | 4.384 |
| YT 4 | 72.099 | 4.514 | 82.787 | 4.252 | 77.443 | 4.383 |
| YT 5 | 74.618 | 4.381 | 42.226 | 3.83 | 58.422 | 4.105 |
| Mean | 64.669 | 3.329 | 57.42 | 3.138 | 61.044 | 3.234 |
| SD | 12.046 | 1.412 | 18.465 | 1.229 | 13.141 | 1.319 |
| YM 1 | 48.211 | 3.415 | 41.494 | 3.245 | 44.852 | 3.33 |
| YM 2 | 56.913 | 3.245 | 39.437 | 2.569 | 48.175 | 2.907 |
| YM 3 | 60.281 | 3.18 | 57.227 | 2.53 | 58.754 | 2.855 |
| YM 4 | 36.781 | 3.302 | 77.166 | 2.861 | 56.973 | 3.082 |
| YM 5 | 74.838 | 4.236 | 46.273 | 2.977 | 60.556 | 3.607 |
| YM 6 | 77.382 | 5.251 | 62.658 | 4.243 | 70.02 | 4.747 |
| Mean | 59.068 | 3.772 | 54.043 | 3.071 | 56.555 | 3.421 |
| SD | 14.170 | 0.750 | 13.23 | 0.578 | 8.261 | 0.646 |
| S 1 | 43.85 | 2.582 | 51.024 | 2.831 | 47.437 | 2.707 |
| S 2 | 74.26 | 3.279 | 78.765 | 3.388 | 76.512 | 3.333 |
| S 3 | 56.59 | 2.495 | 53.22 | 2.335 | 54.905 | 2.415 |
| S 4 | 41.857 | 3.174 | 57.028 | 2.484 | 49.443 | 2.829 |
| S 5 | 63.183 | 3.913 | 49.185 | 3.426 | 56.184 | 3.669 |
| S 6 | 80.575 | 3.975 | 75.823 | 3.964 | 78.199 | 3.969 |
| Water Quality | Wet | Dry | ||
|---|---|---|---|---|
| NOR | CIP | NOR | CIP | |
| Temperature (°C) | 0.0461 | 0.2485 | −0.0808 | −0.1179 |
| PH | −0.005 | 0.1996 | 0.0711 | −0.0994 |
| Dissolved Oxygen (mg·L−1) | 0.6438** | −0.4156 | −0.2315 | −0.2993 |
| Free chlorine (mg/L) | 0.0141 | 0.2583 | 0.2888 | 0.2526 |
| Ammonia Nitrogen (mg/L) | 0.269 | 0.5159* | 0.0439 | 0.5344* |
| COD (mg·L−1) | 0.4894* | 0.5442* | 0.4261 | 0.6333** |
© 2019 by the authors. Licensee MDPI, Basel, Switzerland. This article is an open access article distributed under the terms and conditions of the Creative Commons Attribution (CC BY) license (http://creativecommons.org/licenses/by/4.0/).
Share and Cite
Ju, H.; Li, S.; Xu, Y.J.; Zhang, G.; Zhang, J. Intensive Livestock Production Causing Antibiotic Pollution in the Yinma River of Northeast China. Water 2019, 11, 2006. https://doi.org/10.3390/w11102006
Ju H, Li S, Xu YJ, Zhang G, Zhang J. Intensive Livestock Production Causing Antibiotic Pollution in the Yinma River of Northeast China. Water. 2019; 11(10):2006. https://doi.org/10.3390/w11102006
Chicago/Turabian StyleJu, Hanyu, Sijia Li, Y. Jun Xu, Guangxin Zhang, and Jiquan Zhang. 2019. "Intensive Livestock Production Causing Antibiotic Pollution in the Yinma River of Northeast China" Water 11, no. 10: 2006. https://doi.org/10.3390/w11102006
APA StyleJu, H., Li, S., Xu, Y. J., Zhang, G., & Zhang, J. (2019). Intensive Livestock Production Causing Antibiotic Pollution in the Yinma River of Northeast China. Water, 11(10), 2006. https://doi.org/10.3390/w11102006

