Performance of Riverbank Filtration under Hydrogeologic Conditions along the Upper Krishna River in Southern India
Abstract
1. Introduction
2. Materials and Methods
2.1. Study Area
2.2. Site Selection
2.3. Well Construction
2.4. Water Sampling and Analysis
3. Results and Discussion
3.1. RBF Settings
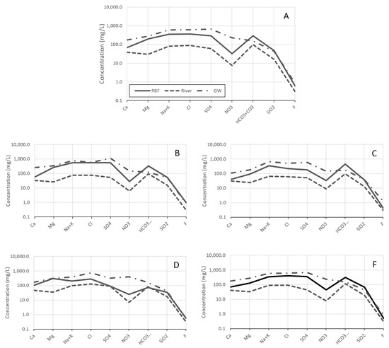
3.2. Water Quality
3.2.1. Groundwater
3.2.2. River Water
3.2.3. RBF Well Water
3.3. Well Field Hydraulics
4. Conclusions
Supplementary Materials
Author Contributions
Funding
Acknowledgments
Conflicts of Interest
References
- CIA (Central Intelligence Agency). CIA World Fact Book—India. 2018. Available online: https://www.cia.gov/library/publications/the-world-factbook/geos/in.html (accessed on 12 December 2018).
- FAO (Food and Agriculture Organization of the United Nations). Review of World Water Resources by Country. 2003. Available online: http://www.fao.org/docrep/005/Y4473E/Y4473E00.HTM (accessed on 12 December 2018).
- WHO (World Health Organization). Global Health Observatory Country Views. 2018. Available online: http://apps.who.int/gho/data/node.country.country-IND?lang=en (accessed on 12 December 2018).
- Black, R.E. Where and why are 10 million children dying every year? Child Care Health Dev. 2003, 361, 2226–2234. [Google Scholar] [CrossRef]
- Fan, V.Y.-M.; Mahal, A. What prevents child diarrhoea? The impacts of water supply, toilets, and hand-washing in rural India. J. Dev. Eff. 2011, 3, 340–370. [Google Scholar] [CrossRef]
- Ray, C.; Melin, G.; Linsky, R.B. Riverbank Filtration. Improving Source Water Quality; Kluwer Academic Publishers: Dordrecht, The Netherlands, 2003. [Google Scholar]
- Schmidt, C.K.; Lange, F.T.; Kuehn, H.J.B. Experiences with riverbank filtration and infiltration in Germany. ResearchGate 2003. Available online: https://www.researchgate.net/publication/267779083_Experiences_with_riverbank_filtration_and_infiltration_in_Germany (accessed on 12 December 2018).
- Grischek, T.; Schoenheinz, D.; Ray, C. Siting and Design Issues for Riverbank Filtration Schemes. In Riverbank Filtration; Ray, C., Melin, G., Linsky, R.B., Eds.; Kluwer Academic Publishers: Dordrecht, the Netherlands, 2003; Volume 43, pp. 291–302. [Google Scholar]
- Hiscock, K.M.; Grischek, T. Attenuation of groundwater pollution by bank filtration. J. Hydrol. 2002, 266, 139–144. [Google Scholar] [CrossRef]
- Cady, P.; Boving, T.B.; Choudri, B.S.; Cording, A.; Patil, K.; Reddy, V. Attenuation of Bacteria at a Riverbank Filtration Site in Rural India. Water Environ. Res. 2013, 85, 2164–2174. [Google Scholar] [CrossRef]
- Kelly, B.P.; Rydlund, J.; Paul, H. Water-Quality Changes Caused by Riverbank Filtration between the Missouri River and Three Pumping Wells of the Independence, Missouri, Well Field 2003-05. 2006; 48p. Available online: http://purl.access.gpo.gov/GPO/LPS75695 (accessed on 12 December 2018).
- Kumar, P.; Mehrotra, I. Riverbank Filtration for Water Supply: Indian Experience. In World Environmental and Water Resources Congress; American Society of Civil Engineers: Reston, VA, USA, 2009. [Google Scholar]
- Schubert, J. Hydraulic aspects of riverbank filtration—Field studies. J. Hydrol. 2002, 266, 145–161. [Google Scholar] [CrossRef]
- Sandhu, C.; Grischek, T.; Kumar, P.; Ray, C. Potential for Riverbank filtration in India. Clean Technol. Environ. Policy 2011, 13, 295–316. [Google Scholar] [CrossRef]
- Boving, T.B.; Choudri, B.S.; Cady, P.; Cording, A.; Patil, K.; Reddy, V. Hydraulic and Hydrogeochemical Characteristics of a Riverbank Filtration Site in Rural India. Water Environ. Res. 2014, 86, 636–648. [Google Scholar] [CrossRef] [PubMed]
- Mukherjee, A.; Saha, D.; Harvey, C.F.; Taylor, R.G.; Ahmed, K.M.; Bhanja, S.N. Groundwater systems of the Indian Sub-Continent. J. Hydrol. Reg. Stud. 2015, 4, 1–14. [Google Scholar] [CrossRef]
- MIT. Electrodialysis, powered by solar panels, could provide drinking water for villages in India. Membr. Technol. 2014, 2014, 9–10. [Google Scholar] [CrossRef]
- Census. Census of 2011; Office of the Registrar General & Census Commissioner: New Delhi, India, 2011. [Google Scholar]
- GoK (Government of Karnataka). District Geological Survey Report of Belagavi District; Government of Karnataka: Bangalore, India, 2017.
- GoI (Government of India). Groundwater Information Booklet. Belgaum District; Ministry of Water Resources, Central Ground Water Board, Government of India: Bangalore, India, 2012.
- CGWB (Central Ground Water Board). Aquifer Systems of Karnataka; Central Ground Water Board, Ministry of Water Resources, Government of India: Bangalore, India, 2012.
- ITT (Institute for Transformative Technologies). Technology Breakthroughs for Global Water Security: A Deep Dive into South Asia; Institute for Transformative Technologies: Mumbai, India, 2018. [Google Scholar]
- The Hans India. River Krishna among the Highly Polluted Rivers. 2016. Available online: http://www.thehansindia.com/posts/index/Andhra-Pradesh/2016-07-19/River-Krishna-among-the-highly-polluted-rivers/243080 (accessed on 12 December 2018).
- MITRA (Maharashtra Pollution Control Board). Comprehensive Study Report on Krishna River Stretch; Maharashtra Pollution Control Board: Mumbai, India, 2014.
- Purandara, B.K. Groundwater Quality Studies in the Belgaum District. CS/AR-2999-2000. 2000. Available online: http://www.indiawaterportal.org/sites/indiawaterportal.org/files/Groundwater%20Qulaity%20Studies%20in%20Belgaum%20District%20_NIH_1999-2000.pdf (accessed on 12 December 2018).
- AWWA (American Water Works Association). Disinfection of Water Storage Facilities; AWWA C652-11; American Water Works Association: Denver, CO, USA, 2011. [Google Scholar]
- DOH (Washington Department of Health). Emergency Disinfection of Small Water Systems; DOH 331-242; Washington Department of Health: Washington, DC, USA, 2018.
- Dichter, G. IDEXX Colilert*-18 and Quanti-Tray* Test Method for the Detection of Fecal Coliforms in Wastewater; DEXX Laboratories, Inc.: Westbrook, TX, USA, 2011. [Google Scholar]
- Luby, S.P.; Halder, A.K.; Huda, T.M.; Unicomb, L.; Islam, M.S.; Arnold, B.F.; Johnston, R.B. Microbiological Contamination of Drinking Water Associated with Subsequent Child Diarrhea. Am. J. Trop. Med. Hyg. 2015, 93, 904–911. [Google Scholar] [CrossRef] [PubMed]
- BIS (Bureau of Indian Standards). Indian Standard Drinking Water IS 10500:2012—Specifications; 2nd Rev.; Bureau of Indian Standards: New Delhi, India, 2012.
- NRDWP. National Rural Drinking Water Programme Guidelines—2013. Available online: http://www.indiaenvironmentportal.org.in/content/265047/national-rural-drinking-water-programme-guidelines/ (accessed on 12 December 2018).
- Krishan, G.; Singh, S.; Sharma, A.; Sandhu, C.; Grischek, T.; Gosh, N.C.; Gurjar, S.; Kumar, S.; Singh, R.P.; Glorian, H.; et al. Assessment of Water Quality for River Bank Filtration along Yamuna River in Agra and Mathura. Int. J. Environ. Sci. 2016, 7, 56–67. [Google Scholar]
- Brouwer, C.; Goffeau, A.; Heibleom, M. Introduction to Irrigation. Irrigation Water Management: Training Manual No. 1; FAO: Rome, Italy, 1985. [Google Scholar]
- Gupta, A.; Ronghang, M.; Kumar, P.; Mehrotra, I.; Kumar, S.; Grischek, T.; Sandhu, C.; Knoeller, K. Nitrate contamination of riverbank filtrate at Srinagar, Uttarakhand, India: A case of geogenic mineralization. J. Hydrol. 2015, 531, 626–637. [Google Scholar] [CrossRef]
- Piper, A.M. A graphic procedure in the geochemical interpretation of water-analyses. Trans. Am. Geophys. Union 1944, 25, 914. [Google Scholar] [CrossRef]
- Boving, T.B.; Patil, K. Riverbank Filtration at the Nexus of Water-Energy-Food. In Water-Energy-Food Nexus: Principles and Practices (Geophysical Monograph Series); Chp. 18; AGU: Washington, DC, USA; Wiley: Hoboken, NJ, USA, 2017. [Google Scholar]





| Location | Water Table (mbgl) | DepthBedrock (mbgl) | RBF Well 1 | RBF Well 2 | Total Yield (m3/h) | Lpcd | ||||
|---|---|---|---|---|---|---|---|---|---|---|
| Depth (m) | L (m) | Yield (m3/h) | Depth (m) | L (m) | Yield (m3/h) | |||||
| Village 1 | 11.1 | 19.7 | 30.8 | 22 | 3 | 30.8 | 24 | 4 | 7 | 8 to 16 |
| Village 2 | 8.3 | 20.8 | 30.8 | 30 | 5 | NA | NA | NA | 5 | 14 to 28 |
| Village 3 | 8.3 | 18.5 | 24.6 | 40 | 12 | NA | NA | NA | 12 | 112 |
| Village 4 | 4.6 | 15.4 | 18.5 | 50 | 5 | 24.6 | 25 | 7 | 12 | 15 to 30 |
| River Water | |||||||
| Parameter | Village 1 (n = 110) | Village 2 (n = 111) | Village 3 (n = 109) | Village 4 (n = 112) | Average | ||
| EC (µS/cm) | Average | 965 | 855 | 1000 | 1440 | 1065 | |
| Range | 196–3728 | 196–3139 | 196–2943 | 177–4905 | |||
| SD | 624 | 499 | 650 | 939 | |||
| Turbidity(NTU) | Average | 11.5 | 9.2 | 11.5 | 13.4 | 11.5 | |
| Range | 0.5–60 | 0.7–75 | 0.4–73 | 0.3–97 | |||
| SD | 10 | 10 | 12 | 14 | |||
| E.coli (MPN/100 mL) | Average | 57.6 | 29.0 | 24.9 | 22.4 | 34.2 | |
| Range | 0–2851 | 1–2420 | 0–1011 | 0–2420 | |||
| SD | 533.6 | 441.4 | 180.4 | 420.6 | |||
| RBF Well Water | |||||||
| Parameter | Village 1 (n = 60) | Village 2 (n = 86) | Village 3 (n = 76) | Village 4 RBF 1 (n = 60) | Village 4 RBF 2 (n = 36) | Average | |
| EC (µS/cm) | Average | 2638 | 4506 | 2936 | 2993 | 3357 | 3286 |
| Range | 1903–5337 | 2236–7710 | 1687–5297 | 1765–3924 | 2590–3885 | ||
| SD | 688 | 994 | 555 | 395 | 306 | ||
| Turbidity (NTU) | Average | 3.4 | 2.7 | 3.1 | 9.7 | 7.1 | 5.2 |
| Range | 0.4–42 | 0.4–16 | 0.3–14 | 0.4–88 | 0.6–31 | ||
| SD | 0.7 | 3.0 | 3.0 | 13.6 | 7.0 | ||
| E.coli (MPN/100 mL) | Average | 0.8 | 0.8 | 0.6 | 0.8 | 0.8 | 1.5 |
| Range | 0–22 | 0–30 | 0–16 | 0–30 | 0–73 | ||
| SD | 3.3 | 4.6 | 2.6 | 4.6 | 13.5 | ||
| RBF Wells | ||||||||||||
| Parameter | Village 1 (n = 9) | Village 2 (n = 7) | Village 3 (n = 15) | Village 4 (n = 15) | ||||||||
| Range | Average | SD | Range | Average | SD | Range | Average | SD | Range | Average | SD | |
| Ca | 28.9–60.1 | 40.3 | 9.7 | 20.8–128.3 | 67.6 | 35.5 | 24.1–100.2 | 64.7 | 20.3 | 24.1–216.4 | 101 | 49.2 |
| Mg | 36.0–113.8 | 88.3 | 21.4 | 161.5–367.2 | 270.3 | 77.2 | 75.4–178.0 | 117.6 | 26.8 | 26.8–256.8 | 174.8 | 54.8 |
| Na | 283.0–363.0 | 325.8 | 27.5 | 405.5–700.0 | 535.1 | 92.1 | 179.0–630.0 | 369 | 101.1 | 182.0–297.0 | 244.7 | 36.6 |
| K | 0.8–7.0 | 3.2 | 1.9 | 0.1–8.0 | 3.7 | 2.6 | 0.4–6.8 | 2.9 | 1.6 | 0.3–4.0 | 1.9 | 0.9 |
| B | 0 | 0 | 0 | 0 | 0 | 0 | 0 | 0 | 0 | 0 | 0 | 0 |
| HCO3 | 424.0–492.0 | 460 | 23.4 | 252.2–434.0 | 377.3 | 53.4 | 154.0–447.0 | 291.1 | 85.1 | 48.0–332.0 | 218.1 | 87.7 |
| CO3 | 30.0–118.0 | 70.2 | 23.2 | 10.0–102.0 | 68 | 31.5 | 10.0–52.0 | 27.2 | 12.5 | 10–224.0 | 45 | 72.1 |
| CI | 92.3–564.5 | 220.1 | 128.02 | 450.9–752.6 | 569.8 | 105.2 | 230.8–568.0 | 397.8 | 86.5 | 404.7–699.4 | 504.1 | 66.8 |
| SO4 | 75.7–343.4 | 181 | 72.1 | 255.2–996.9 | 664.9 | 255.2 | 140.8–1209.7 | 351.4 | 268.3 | 130.0–576.6 | 240.8 | 113.5 |
| F | 0.4–0.6 | 0.5 | 0.1 | 0.9–1.0 | 1 | 0 | 0.2–0.7 | 0.5 | 0.1 | 0.4–0.6 | 0.5 | 0.1 |
| NO3 | 13.5–47.8 | 31.1 | 11.4 | 11.5–35.2 | 27.3 | 8.1 | 24.5–61.5 | 44.9 | 10.3 | 33.5–237.5 | 81.1 | 46.5 |
| NO2 | 0–0.1 | 0 | 0 | 0–0.1 | 0 | 0 | 0–0.0 | 0 | 0 | 0–0.3 | 0.1 | 0.1 |
| PO4 | 0.1–0.9 | 9 | 0.2 | 0.7–1.1 | 0.9 | 0.2 | 0.–0.3 | 0.1 | 0.1 | 0–0.2 | 0.1 | 0.3 |
| SIO2 | 20.7–55.6 | 38.1 | 13.3 | 28.7–67.3 | 54.1 | 15.8 | 28.0–94.8 | 67.2 | 15.1 | 11.7–53.7 | 36.9 | 11.3 |
| Ion Balance | 9.0% | 9.0% | 7.9% | 9.3% | ||||||||
| River Water | ||||||||||||
| Parameter | Village 1 (n = 8) | Village 2 (n = 8) | Village 3 (n = 8) | Village 4 (n = 8) | ||||||||
| Range | Average | SD | Range | Average | SD | Range | Average | SD | Range | Average | SD | |
| Ca | 14.4–50.3 | 28.3 | 12.7 | 9.6–48.1 | 26.8 | 14.3 | 16.0–76.2 | 35.1 | 20.2 | 19.2–124.3 | 46.8 | 36.6 |
| Mg | 2.9–29.2 | 18.2 | 8.8 | 7.3–46.7 | 19.6 | 13.2 | 2.3–75.4 | 23.4 | 21.5 | 3.9–107.0 | 34.9 | 32.5 |
| Na | 11.2–114.0 | 44.2 | 30.8 | 13.0–100.0 | 44.4 | 28.5 | 11.1–208.0 | 56.9 | 60.1 | 11.3–326.0 | 93.5 | 107.0 |
| K | 1.7–3.6 | 2.6 | 0.7 | 0.1–12.0 | 3.2 | 3.5 | 0.8–6.0 | 2.7 | 1.5 | 0.9–8.0 | 2.9 | 2.1 |
| B | 0 | 0 | 0 | 0 | 0 | 0 | 0 | 0 | 0 | 0 | 0 | 0 |
| HCO3 | 40.0–146.0 | 97.9 | 33.7 | 38.8–134.0 | 92 | 35.3 | 36.0–148.0 | 89.5 | 37.4 | 42.0–136.0 | 86.1 | 31.2 |
| CO3 | 10–20.0 | 11 | 5.5 | 0.1–30.0 | 12.5 | 9.2 | 0.1–26.0 | 13 | 10.5 | 0.1–22.0 | 10.1 | 8.0 |
| CI | 17.8–88.8 | 49.7 | 24.9 | 14.2–106.5 | 50.1 | 29.7 | 10.7–234.3 | 66 | 68.4 | 10.7–447.3 | 126.9 | 147.9 |
| SO4 | 12.1–98.9 | 38.3 | 27.2 | 5.6–148.6 | 39.1 | 43.2 | 7.9–215.0 | 46.3 | 64.4 | 7.9–343.4 | 93.1 | 114.4 |
| F | 0.1–0.3 | 0.3 | 0.2 | 0.1–0.8 | 0.3 | 0.2 | 0.1–0.7 | 0.3 | 0.2 | 0–0.9 | 0.3 | 0.3 |
| NO3 | 1.4–33.4 | 11.8 | 9.5 | 2.0–15.9 | 8 | 4.4 | 0.1–14.2 | 8 | 4.9 | 2.5–14.2 | 7.2 | 4.6 |
| NO2 | 0–0.1 | 0 | 0 | 0–0.1 | 0 | 0 | 0–0.1 | 0 | 0 | 0 | 0 | 0 |
| PO4 | 0–0.3 | 0.1 | 0.1 | 0–0.1 | 0 | 0 | 0–0.3 | 0.1 | 0.1 | 0–0.1 | 0 | 0 |
| SIO2 | 0.2–28.7 | 14 | 7.9 | 4.0–28.9 | 16.1 | 7.1 | 10.7–27.5 | 18.7 | 5.8 | 11.5–25.1 | 17.3 | 4.0 |
| Ion Balance | 7.7% | 6.9% | 9.3% | 8.3% | ||||||||
| Village | Mg | Na | Cl | EC | Average |
|---|---|---|---|---|---|
| Village 1 | 84% | 62% | 80% | 68% | 74% |
| Village 2 | 0% | 0% | 0% | 15% | 4% |
| Village 4 RBF1 | 61% | 47% | 68% | 69% | 61% |
| Village 4 RBF2 | 36% | 34% | 48% | 42% | 40% |
© 2018 by the authors. Licensee MDPI, Basel, Switzerland. This article is an open access article distributed under the terms and conditions of the Creative Commons Attribution (CC BY) license (http://creativecommons.org/licenses/by/4.0/).
Share and Cite
Boving, T.B.; Patil, K.; D’Souza, F.; Barker, S.F.; McGuinness, S.L.; O’Toole, J.; Sinclair, M.; Forbes, A.B.; Leder, K. Performance of Riverbank Filtration under Hydrogeologic Conditions along the Upper Krishna River in Southern India. Water 2019, 11, 12. https://doi.org/10.3390/w11010012
Boving TB, Patil K, D’Souza F, Barker SF, McGuinness SL, O’Toole J, Sinclair M, Forbes AB, Leder K. Performance of Riverbank Filtration under Hydrogeologic Conditions along the Upper Krishna River in Southern India. Water. 2019; 11(1):12. https://doi.org/10.3390/w11010012
Chicago/Turabian StyleBoving, T.B., K. Patil, F. D’Souza, S.F. Barker, S.L. McGuinness, J. O’Toole, M. Sinclair, A.B. Forbes, and K. Leder. 2019. "Performance of Riverbank Filtration under Hydrogeologic Conditions along the Upper Krishna River in Southern India" Water 11, no. 1: 12. https://doi.org/10.3390/w11010012
APA StyleBoving, T. B., Patil, K., D’Souza, F., Barker, S. F., McGuinness, S. L., O’Toole, J., Sinclair, M., Forbes, A. B., & Leder, K. (2019). Performance of Riverbank Filtration under Hydrogeologic Conditions along the Upper Krishna River in Southern India. Water, 11(1), 12. https://doi.org/10.3390/w11010012

