Multi-Objective Optimization of Resilient Design of the Multipurpose Reservoir in Conditions of Uncertain Climate Change
Abstract
1. Introduction
- (a)
- the goal is to apply a suitable metric which is defined by the resilience of reservoir storage capacity and find optimal economic solutions (to maximize resilience and benefits from the reservoir) using the multi-objective optimization method with required robustness,
- (b)
- the objective of this method is to analyze a range of the dam heights and volumes of the multipurpose dam in conditions of uncertain climate change on the basis of given future climate scenarios using hydrological outputs from 15 regional climate models and potential demand scenarios.
2. Background
3. Case Study
4. Methodology
4.1. Problem Formulation
4.2. Resilience and Robustness
4.3. Costs and Benefit
4.4. Reservoir Simulation Model
4.5. Optimization Method
5. Result and Discussion
6. Conclusions
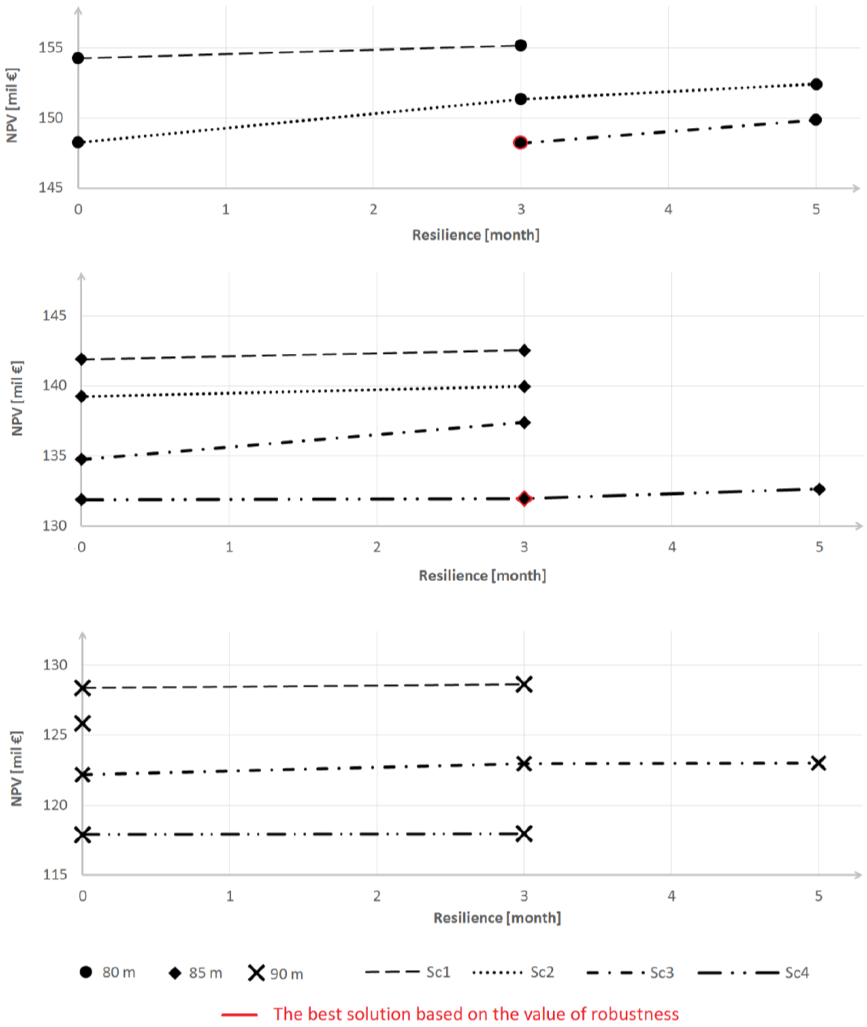
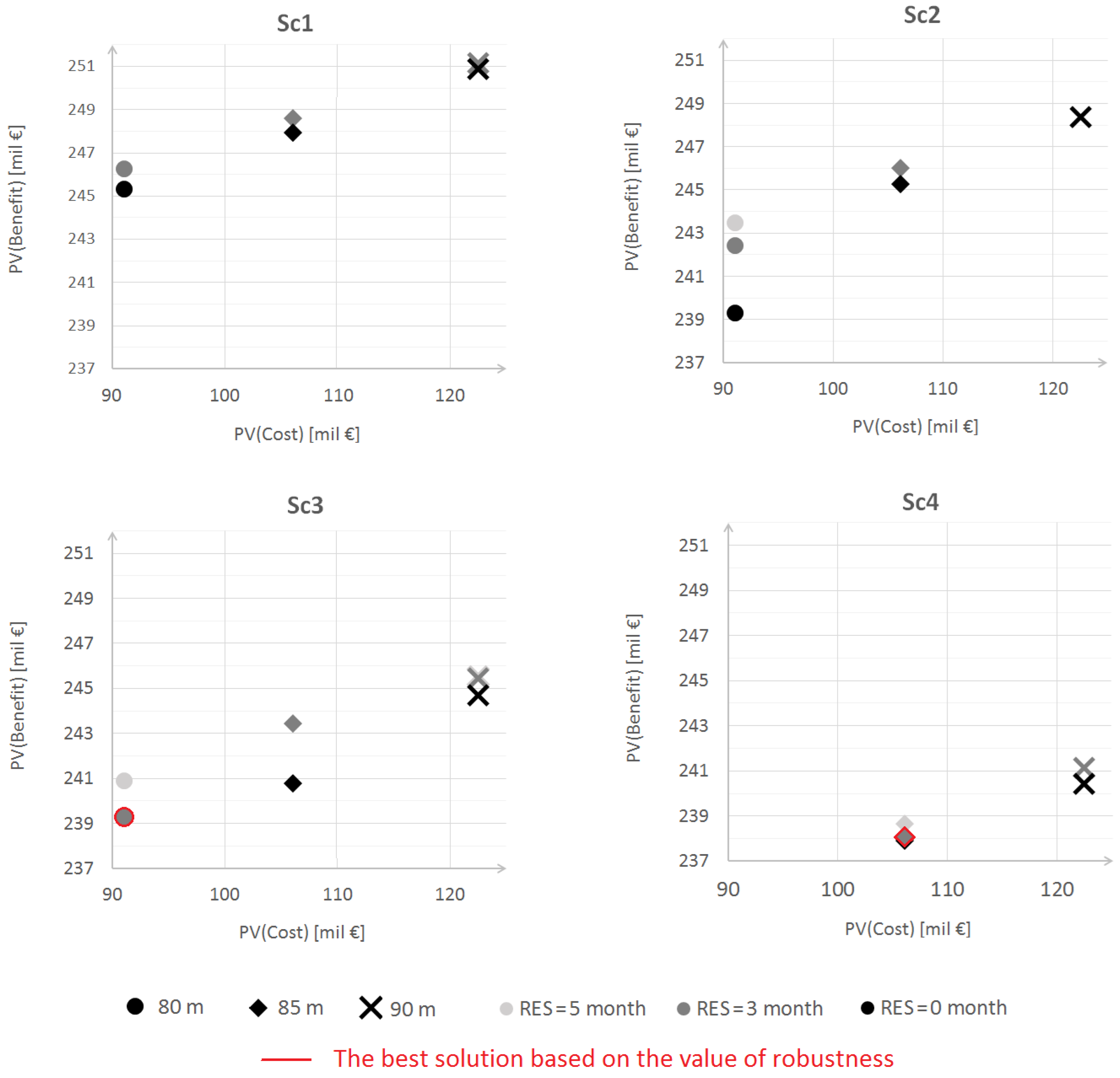
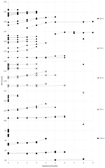
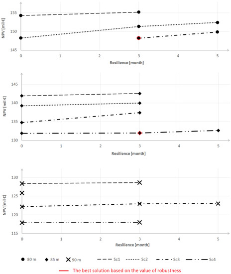
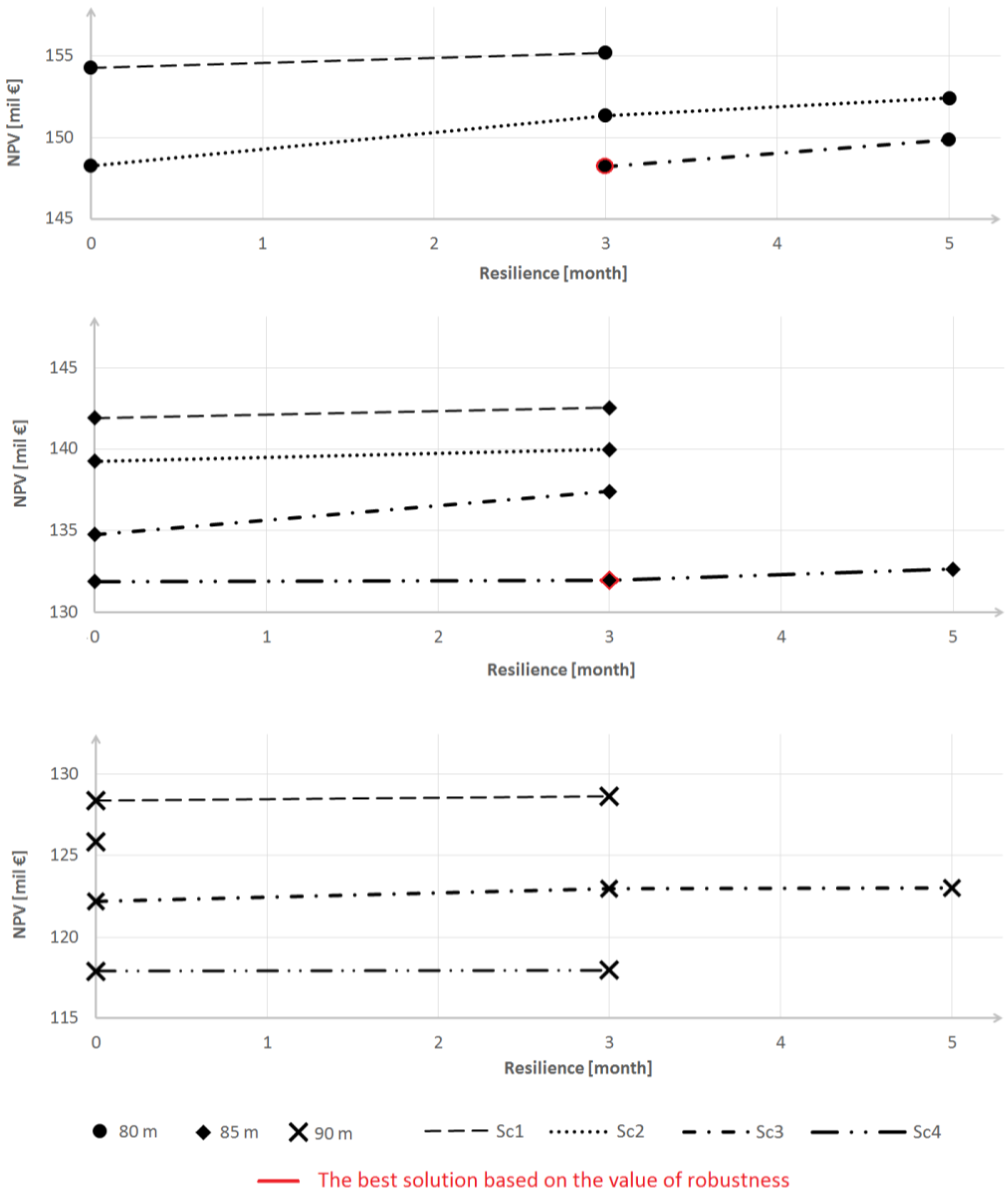
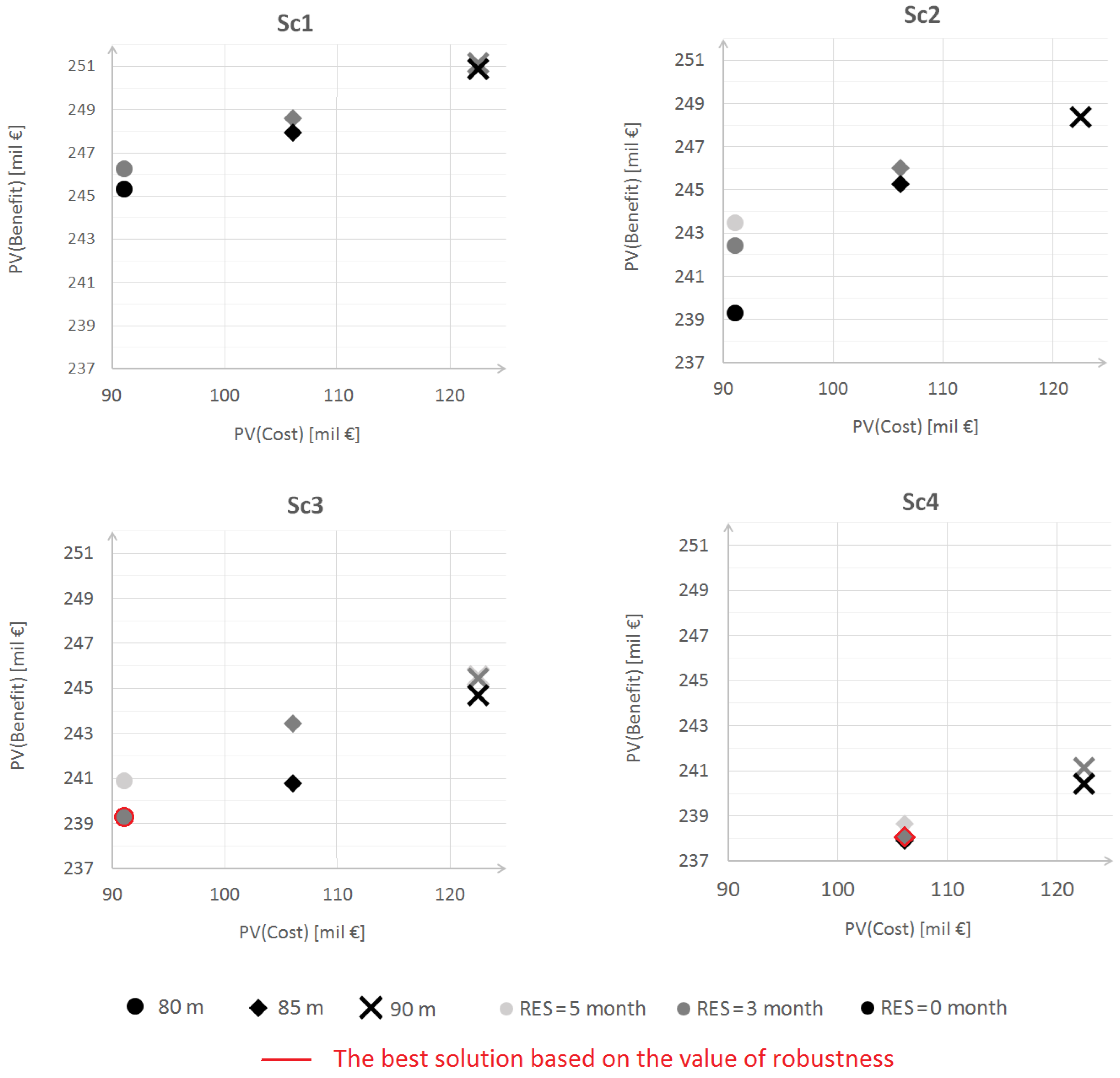
- The analysis of the different dam heights produced different recommendations for the multipurpose reservoir design. This approach has recommended a specific design of the dam height of 80 m for ROB = 80% and RES = 3 months or 85 m for ROB = 90% and RES = 3 months.
- As a result, recommended dam height, and also recommended total reservoir monthly outflows that, in combination with the control equations, determine new operational rules of a multipurpose water reservoir.
- The new operating rules have been created: The water management in the reservoir should be set according to the current month and recommended reservoir monthly outflows QOUT in Table 3. In the case of dry periods when the water level falls below level (I) or more as it is shown in Figure 1, the QOUT have to be restricted according to the control Equation (13) or (14).
- All potential resilience metrics are based on those in a past paper [14] which were tested in this analysis and gave similar shapes of Pareto sets, and therefore, the traditional metric of resilience with duration of the longest water deficit period was selected.
- The model clearly shows that the higher dam heights increase the cost for construction of the dam, but the benefits are lower than costs, therefore the results are better for lower dam height.
- Although, in the summer months, due to the higher water demands and lower flow in the river, the water excess is minimal or null, the minimal demand is guaranteed for targets resilience and robustness.
- A more robust solution generally produced lower benefits respectively lower NPV due to a lower water excess. Under the current conditions, it may seem as little profitable, but in the future, with the development of climate change uncertainty, the price of water is expected to increase, and the benefits will be higher.
- The key conclusions, based on the results obtained, serve only as recommendations, but a final decision on the safeness and economy of a new reservoir is on-site of decision-makers.
Author Contributions
Funding
Conflicts of Interest
References
- World Meteorological Organization. WMO Statement on the State of the Global Climate in 2017; Chairperson, Publications Board: Geneva, Switzerland, 2018; ISBN 978-92-63-11212-5. [Google Scholar]
- Czech Document: Příprava Realizace Opatření pro Zmírnění Negativních Dopadů Sucha a Nedostatku Vody. Meziresortní Komise VODA-SUCHO. 2015. Available online: http://eagri.cz/public/web/file/417667/_3_material_VLADA.pdf (accessed on 1 April 2018).
- Czech Government Document: Komplexní Studie Dopadů, Zranitelnosti a Zdrojů Rizik Souvisejících se Změnou Klimatu v ČR. 2015. EKOTOXA s.r.o.. Available online: https://www.mzp.cz/C1257458002F0DC7/cz/studie_dopadu_zmena_klimatu/$FILE/OEOK-Komplexni_studie_dopady_klima-20151201.pdf (accessed on 10 April 2018).
- Czech Government Document: Národní Akční Plán Adaptace na Změnu Klimatu. Ministerstvo Životního Prostředí. 2015. Available online: https://www.mzp.cz/C1257458002F0DC7/cz/narodni_akcni_plan_zmena_klimatu/$FILE/OEOK-NAP_cely_20170127.pdf (accessed on 3 April 2018).
- Czech Government Document: Strategie Přizpůsobení se Změně Klimatu v Podmínkách ČR. Ministerstvo Životního Prostředí. 2015. Available online: http://www.mzp.cz/C1257458002F0DC7/cz/zmena_klimatu_adaptacni_strategie/$FILE/OEOK-Adaptacni_strategie-20151029.pdf (accessed on 1 April 2018).
- Czech Technical Standard ČSN 75 2405 Reservoir Storage Capacity Analysis, ICS 93.160. Available online: http://seznamcsn.unmz.cz/Detailnormy.aspx?k=69792 (accessed on 3 April 2018).
- Kritskiy, S.N.; Menkel, M.F. Water Management Computations; GIMIZ: Leningrad, Russia, 1952. (In Russian) [Google Scholar]
- Hashimoto, T.; Stedinger, J.R.; Loucks, D.P. Reliability, resiliency, and vulnerability criteria for water resource system performance evaluation. Water Resour. Res. 1982, 18, 14–20. [Google Scholar] [CrossRef]
- Moy, W.-S.; Cohon, J.L.; ReVelle, C.S. A Programming Model for Analysis of the Reliability, Resilience, and Vulnerability of a Water Supply. Water Resour. Res. 1986, 22, 489–498. [Google Scholar] [CrossRef]
- Zhang, C.; Xu, B.; Li, Y.; Fu, G. Exploring the relationships among reliability, resilience, and vulnerability of water supply using many-objective analysis. J. Water Resour. Plan. Manag. 2017, 143. [Google Scholar] [CrossRef]
- Matrosov, E.S.; Padula, S.; Harou, J.J. Selecting portfolios of water supply and demand management strategies under uncertainty-contrasting economic optimisation and “Robust decision making” approaches. Water Resour. Manag. 2012, 27, 1123–1148. [Google Scholar] [CrossRef]
- Paton, F.L.; Dandy, G.C.; Maier, H.R. Integrated framework for assessing urban water supply security of systems with non-traditional sources under climate change. Environ. Model. Softw. 2014, 60, 302–319. [Google Scholar] [CrossRef]
- Fowler, H.J.; Kilsby, C.G.; O’Connell, P.E. Modeling the impacts of climatic change and variability on the reliability, resilience, and vulnerability of a water resource system. Water Resour. Res. 2003, 39, 1222. [Google Scholar] [CrossRef]
- Roach, T. Decision Making Methods for Water Resources Management Under Deep Uncertainty. Ph.D. Theses, University of Exeter, Exeter, UK, 2016. [Google Scholar]
- Roach, T.; Kapelan, Z.; Ledbetter, R. Comparison of Info-gap and Robust Optimisation Methods for Integrated Water Resource Management under Severe Uncertainty. Procedia Eng. 2015, 119, 874–883. [Google Scholar] [CrossRef]
- Watts, G.; Christierson, B.; Hannaford, J.; Lonsdale, K. Testing the resilience of water supply systems to long droughts. J. Hydraul. 2012, 414–415, 255–267. [Google Scholar] [CrossRef]
- Amarasinghe, P.; Liu, A.; Egodawatta, P.; Bernes, P.; McGree, J.; Goonetilleke, A. Quantitative assessment of resilience of a water supply system under rainfall reduction due to climate change. J. Hydraul. 2016, 540, 1043–1052. [Google Scholar] [CrossRef]
- Li, Y.; Lence, B.J. Estimating resilience for water resources systems. Water Resour. Res. 2007, 43, W07422. [Google Scholar] [CrossRef]
- Simonovic, S.P.; Arunkumar, R. Comparison of static and dynamic resilience for a multipurpose reservoir operation. Water Resour. Res. 2016, 52, 8630–8649. [Google Scholar] [CrossRef]
- Sweetapple, C.; Fu, G.; Butler, D. Reliable, Robust, and Resilient System Design Framework with Application to Wastewater-Treatment Plant Control. J. Environ. Eng. 2017, 143, 04016086. [Google Scholar] [CrossRef]
- Knight, F. Risk, Uncertainty and Profit; Hart, Schaffner & Marx: Boston, MA, USA; Houghton Mifflin Co.: Boston, MA, USA, 1921. [Google Scholar]
- Kaplan, S. Risk Assessment and Risk Management—Basic Concepts and Terminology. Risk Management: Expanding Horizons in Nuclear Power and other Industries; Hemisphere Publ. Corp.: Boston, MA, USA, 1991; pp. 11–28. [Google Scholar]
- Beven, K.J.; Binley, A.M. The future of distributed models: Model calibration and uncertainty prediction. Hydrol. Proceaaes 1992, 6, 279–298. [Google Scholar] [CrossRef]
- Mahmoud, M.; Liu, Y.; Hartmann, H.; Stewart, S.; Wagener, T.; Semmens, D.; Stewart, R.; Gupta, H.; Dominguez, D.; Dominguez, F.; et al. A formal framework for scenario development in support of environmental decision-making. Environ. Model. Softw. 2009, 24, 798–808. [Google Scholar] [CrossRef]
- Marton, D.; Paseka, S. Uncertainty Impact on Water Management Analysis of Open Water Reservoir. Environments 2017, 4, 10. [Google Scholar] [CrossRef]
- Marton, D.; Starý, M.; Menšík, P. Analysis of the influence of input data uncertainties on determining the reliability of reservoir storage capacity. J. Hydrol. Hydromech. 2015, 63, 287–294. [Google Scholar] [CrossRef]
- Marton, D.; Starý, M.; Menšík, P.; Paseka, S. Hydrological Reliability Assessment of Water Management Solution of Reservoir Storage Capacity in Conditions of Uncertainty. In Drought: Research and Science-Policy Interfacing; CRC Press Taylor & Francis Group: Leiden, The Netherlands, 2015; pp. 377–382. ISBN 978-1-138-02779-4. [Google Scholar]
- Paseka, S.; Marton, D.; Menšík, P. Uncertainties of reservoir storage capacity during low water period. In Proceedings of the SGEM International Multidisciplinary Geoconference: Hydrology and Water Resources; STEF92 Technology Ltd.: Sofia, Bulgaria, 2016; pp. 789–796, ISBN 978-619-7105-61-2, ISSN 1314-2704. [Google Scholar]
- Vogel, R.M.; Bolognes, A. Storage-reliability-resilience-yield relations for over-year water supply systems. Water Resour. Res. 1995, 31, 645–654. [Google Scholar] [CrossRef]
- Jain, K.S.; Bhunya, K.P. Reliability, resilience and vulnerability of a multipurpose storage reservoir. Hydrol. Sci. J. 2008, 53, 434–447. [Google Scholar] [CrossRef]
- Ngo, L.L.; Madsen, H.; Rosbjerg, D. Simulation and optimisation modelling approach for operation of the Hoa Binh reservoir, Vietnam. J. Hydrol. 2007, 336, 269–281. [Google Scholar] [CrossRef]
- Villa, I.R.; Rodríguez, J.B.M.; Molina, J.L.; Tarragó, J.C.P. Multiobjective Optimization Modeling Approach for Multipurpose Single Reservoir Operation. Water 2018, 10, 427. [Google Scholar] [CrossRef]
- Scola, L.A.; Takahashi, R.H.C.; Cerqueira, S.A.A.G. Multipurpose Water Reservoir Management: An Evolutionary Multiobjective Optimization Approach. Math. Probl. Eng. 2014, 2014, 638259. [Google Scholar] [CrossRef]
- Groves, D.G.; Yates, D.; Tebaldi, C. Developing and applying uncertain global climate change projections for regional water management planning. Water Resour. Res. 2008, 44, W12413. [Google Scholar] [CrossRef]
- Herman, J.D.; Zeff, H.B.; Reed, P.M.; Characklis, G.W. Beyond optimality: Multistakeholder robustness tradeoffs for regional water portfolio planning under deep uncertainty. Water Resour. Res. 2014, 50, 7692–7713. [Google Scholar] [CrossRef]
- Beh, E.H.Y.; Maier, H.R.; Dandy, G.C. Adaptive, multiobjective optimal sequencing approach for urban water supply augmentation under deep uncertainty. Water Resour. Res. 2015, 51, 1529–1551. [Google Scholar] [CrossRef]
- Haasnoot, M.; Kwakkel, J.H.; Walker, W.E.; Maat, T.J. Dynamic adaptive policy pathways: A method for crafting robust decisions for a deeply uncertain world. Glob. Environ. Chang. 2013, 23, 485–498. [Google Scholar] [CrossRef]
- Jeuland, M.; Whittington, D. Water resources planning under climate change: Assessing the robustness of real options for the Blue Nile. Water Resour. Res. 2014, 50, 2086–2107. [Google Scholar] [CrossRef]
- Paton, F.L.; Maier, H.R.; Dandy, G.C. Including adaptation and mitigation responses to climate change in a multiobjective evolutionary algorithm framework for urban water supply systems incorporating GHG emissions. Water Resour. Res. 2014, 50, 6285–6304. [Google Scholar] [CrossRef]
- Roach, T.; Kapelan, Z.; Ledbetter, R.; Ledbetter, M. Comparison of Robust Optimization and Info-Gap Methods for Water Resource Management under Deep Uncertainty. J. Water Resour. Plan. Manag. 2017, 143. [Google Scholar] [CrossRef]
- Whateley, S.; Steinschneider, S.; Brown, C. A climate change range-based method for estimating robustness for water resources supply. Water Resour. Res. 2014, 50. [Google Scholar] [CrossRef]
- Borgomeo, E.; Mortazavi-Naeini, M.; Hall, J.W.; Guillod, B.P. Risk, Robustness and Water Resources Planning Under Uncertainty. Earth’s Future 2018, 6. [Google Scholar] [CrossRef]
- Deb, K.; Agrawal, S.; Pratap, A.; Meyarivan, T.; Amrit, P.; Meyarivan, T. A Fast Elitist Non-Dominated Sorting Genetic Algorithm for Multi-Objective Optimization: NSGA-II; Schoenauer, M., Deb, K., Rudolph, G., Yao, X., Lutton, E., Merelo, J.J., Schwefel, H.-P., Eds.; Parallel Problem Solving from Nature PPSN VI; Springer: Berlin/Heidelberg, Germany, 2000; pp. 849–858. [Google Scholar]
- Kollat, J.B.; Reed, P.M. Comparing state-of-the-art evolutionary multiobjective algorithms for long-term groundwater monitoring design. Adv. Water Res. 2006, 29, 792–807. [Google Scholar] [CrossRef]
- Nicklow, J.; Reed, P.; Savic, D.; Dessalegne, T.; Harrell, L.; Chan-Hilton, A.; Karamouz, M.; Minsker, B.; Ostfeld, A.; Singh, A.; et al. State of the art for genetic algorithms and beyond in Water resources planning and management. J. Water Resour. Plan. Manag. 2010, 136, 412–432. [Google Scholar] [CrossRef]
- Tukimat, N.N.A.; Harun, S. Optimization of water supply reservoir in the framework of climate variation. Inter. J. Softw. Eng. Appl. 2014, 8, 361–378. [Google Scholar] [CrossRef]
- Fu, G.; Kapelan, Z.; Kasprzyk, J.R.; Reed, P. Optimal Design of Water Distribution Systems Using Many-Objective Visual Analytics. J. Water Resour. Plan. Manag. 2013, 139. [Google Scholar] [CrossRef]
- Perelman, L.; Ostfeld, A.; Salomons, E. Cross Entropy multiobjective optimization for water distribution systems design. Water Resour. Res. 2008, 44. [Google Scholar] [CrossRef]
- Zheng, F.; Simpson, A.R.; Zecchin, A.C. An efficient hybrid approach for multiobjective optimization of water distribution systems. Water Resour. Res. 2014, 50. [Google Scholar] [CrossRef]
- Yang, G.; Guo, S.; Liu, P.; Li, L.; Liu, Z. Multiobjective Cascade Reservoir Operation Rules and Uncertainty Analysis Based on PA-DDS Algorithm. J. Water Resour. Plan. Manag. 2017, 143. [Google Scholar] [CrossRef]
- Srinivas, N.; Deb, K. Muiltiobjective Optimization Using Nondominated Sorting in Genetic Algorithms. Evol. Comput. 1994, 2, 221–248. [Google Scholar] [CrossRef]
- Goldberg, D.E. Genetic Algorithms in Search, Optimization, and Machine Learning; Addison-Wesley Publishing Company: Reading, MA, USA, 1989; ISBN 0-201-15767-5. [Google Scholar]
- Marton, D.; Kapelan, Z. Risk and reliability analysis of open reservoir water shortages using optimization. Procedia Eng. 2014, 89, 1478–1485. [Google Scholar] [CrossRef]
- Savić, D.A.; Bicik, J.; Morley, M.S. A DSS Generator for Multiobjective Optimisation of Spreadsheet-Based Models. Environ. Model. Softw. 2011, 26, 551–561. [Google Scholar] [CrossRef]
- Borgomeo, E.; Hall, J.W.; Fung, F.; Watts, G.; Colquhoun, K.; Lambert, C. Risk-based water resources planning: Incorporating probabilistic nonstationary climate uncertainties. Water Resour. Res. 2014, 50, 6850–6873. [Google Scholar] [CrossRef]
- Deepashree, R.; Mujumdar, P.P. Reservoir performance under uncertainty in hydrologic impacts of climate change. Adv. Water Res. 2010, 33, 312–326. [Google Scholar] [CrossRef]
- Kling, H.; Stanzel, P.; Preishuber, M. Impact modelling of water resources development and climate scenarios on Zambezi River discharge. J. Hydrol. 2014, 1, 17–43. [Google Scholar] [CrossRef]
- Majone, B.; Bovolo, C.I.; Bellin, A.; Blenkinsop, S.; Fowler, H.J. Modeling the impacts of future climate change on water resources for the Gállego river basin (Spain). Water Resour. Res. 2012, 48, W01512. [Google Scholar] [CrossRef]
- Mantel, S.K.; Hughes, D.A.; Slaughter, A.S. Water resources management in the context of future climate and development changes: A South African case study. J. Water Clim. Chang. 2015, 6, 772–786. [Google Scholar] [CrossRef]
- Maiolo, M.; Mendicino, G.; Senatore, A.; Pantusa, D. Optimization of drinking water distribution systems in relation to the effects of climate change. Water 2017, 9, 803. [Google Scholar] [CrossRef]
- Kapelan, Z.; Savić, D.; Mahmoud, H. A Response Methodology for Reducing Impacts of Failure Events in Water Distribution Networks. Procedia Eng. 2017, 186, 218–227. [Google Scholar] [CrossRef]
- IPCC Secretariat. Climate Change 2007: Impacts, Adaptation and Vulnerability: Summary for Policymakers; IPCC Secretariat: Geneva, Switzerland, 2007; ISBN 92-9169-121-6. [Google Scholar]
- Czech Project. Development of Information and Data Support for Design of Adaptation Measures and Long-Term Planning of Water Resources Considering the Climate Change Effects; T. G. Masaryk Water Research Institute: Praha, Czech Republic; Czech Hydro-Meteorological Institute: Praha, Czech Republic; Water Management Development, RSCN: Jubeiha, Jordan, 2012–2014. [Google Scholar]
- Czech Document PRVKUK. The Plan for the Development of Water Supply and Sewerage Systems in the Olomouc Region; The Regional Office of the Olomouc Region, Ministry of Agriculture of the Czech Republic: Olomouc, Czech Republic, 2006. [Google Scholar]
- Klemeš, V. A simlified solution of the flood-routing problem. Vodohosp. Časopis 1960, 8, 317–326. [Google Scholar]
- Government Finance Function. The Green Book: Appraisal and Evaluation in Central Government; Government Finance Function: London, UK, 2016.
- Czech Property Valuation Decree. Vyhlaska č. 441/2013 Sb., Vyhlaska k Provedeni Zakona o Ocenovani Majetku; Ministry of Finance of the Czech Republic: Praha, Czech Republic, 2013.
- Starý, M. Reservoir and Reservoir System; Education Tutorial, Faculty of Civil Engineering, Brno University of Technology: Brno, Czech Republic, 2006. [Google Scholar]





| Demands [m3 s−1] | January | February | March | April | May | June | July | August | September | October | November | December |
|---|---|---|---|---|---|---|---|---|---|---|---|---|
| QECO | 0.54 | 0.54 | 0.54 | 0.54 | 0.54 | 0.54 | 0.54 | 0.54 | 0.54 | 0.54 | 0.54 | 0.54 |
| QWS:drink. | 0.54 | 0.56 | 0.56 | 0.58 | 0.58 | 0.60 | 0.56 | 0.55 | 0.55 | 0.56 | 0.55 | 0.53 |
| QWS:ind.+agric. | 0.35 | 0.35 | 0.36 | 0.37 | 0.38 | 0.40 | 0.40 | 0.40 | 0.38 | 0.36 | 0.35 | 0.35 |
| Total Demand | 1.43 | 1.45 | 1.46 | 1.49 | 1.50 | 1.54 | 1.50 | 1.49 | 1.47 | 1.46 | 1.44 | 1.42 |
| Height 80.0 m | Height 85.0 m | Height 90.0 m | |||||||||||
| CDAM [mil. €] | 91.05 | 106.03 | 122.51 | ||||||||||
| VA [m3] | 34,480,000 | 44,940,000 | 57,270,000 | ||||||||||
| RES [month] | Scenario: | Sc1 | Sc2 | Sc3 | Sc4 | Sc1 | Sc2 | Sc3 | Sc4 | Sc1 | Sc2 | Sc3 | Sc4 |
| 0 | ROB [%] | 66.7 | 73.3 | - | - | 66.7 | 73.3 | 80.0 | 93.3 | 66.7 | 66.7 | 80.0 | 93.3 |
| ⌀ NPV [mil. €] | 151.4 | 147.3 | - | - | 138.0 | 137.2 | 134.3 | 132.2 | 123.5 | 123.4 | 121.6 | 118.5 | |
| 3 | ROB [%] | 53.3 | 73.3 | 80.0 | - | 60.0 | 66.7 | 73.3 | 93.3 | 66.7 | - | 73.3 | 93.3 |
| ⌀ NPV [mil. €] | 151.0 | 149.7 | 147.8 | - | 137.9 | 138.1 | 137.1 | 132.5 | 123.5 | - | 122.8 | 118.6 | |
| 5 | ROB [%] | - | 60.0 | 60.0 | - | - | - | - | 80.0 | - | - | 66.7 | - |
| ⌀ NPV [mil. €] | - | 150.9 | 149.8 | - | - | - | - | 134.3 | - | - | 123.1 | - | |
| January | February | March | April | May | June | July | August | September | October | November | December | ||
|---|---|---|---|---|---|---|---|---|---|---|---|---|---|
| ROB ≥ 80% (h = 80 m) | QEXC [m3 s−1] | 0.93 | 1.12 | 0.06 | 0.00 | 0.13 | 0.00 | 0.00 | 0.01 | 0.00 | 0.00 | 0.00 | 0.02 |
| QOUT [m3 s−1] | 2.36 | 2.57 | 1.52 | 1.49 | 1.63 | 1.54 | 1.50 | 1.50 | 1.47 | 1.46 | 1.44 | 1.44 | |
| ROB ≥ 90% (h = 85 m) | QEXC [m3 s−1] | 0.18 | 0.01 | 0.00 | 0.01 | 0.00 | 0.00 | 0.00 | 0.00 | 0.00 | 0.00 | 0.09 | 0.02 |
| QOUT [m3 s−1] | 1.61 | 1.46 | 1.46 | 1.50 | 1.50 | 1.54 | 1.50 | 1.49 | 1.47 | 1.46 | 1.53 | 1.44 | |
© 2018 by the authors. Licensee MDPI, Basel, Switzerland. This article is an open access article distributed under the terms and conditions of the Creative Commons Attribution (CC BY) license (http://creativecommons.org/licenses/by/4.0/).
Share and Cite
Paseka, S.; Kapelan, Z.; Marton, D. Multi-Objective Optimization of Resilient Design of the Multipurpose Reservoir in Conditions of Uncertain Climate Change. Water 2018, 10, 1110. https://doi.org/10.3390/w10091110
Paseka S, Kapelan Z, Marton D. Multi-Objective Optimization of Resilient Design of the Multipurpose Reservoir in Conditions of Uncertain Climate Change. Water. 2018; 10(9):1110. https://doi.org/10.3390/w10091110
Chicago/Turabian StylePaseka, Stanislav, Zoran Kapelan, and Daniel Marton. 2018. "Multi-Objective Optimization of Resilient Design of the Multipurpose Reservoir in Conditions of Uncertain Climate Change" Water 10, no. 9: 1110. https://doi.org/10.3390/w10091110
APA StylePaseka, S., Kapelan, Z., & Marton, D. (2018). Multi-Objective Optimization of Resilient Design of the Multipurpose Reservoir in Conditions of Uncertain Climate Change. Water, 10(9), 1110. https://doi.org/10.3390/w10091110

