Probabilistic Analysis of Extreme Discharges and Precipitations with a Nonparametric Copula Model
Abstract
1. Introduction
2. Field Site and Data
2.1. Field Site
2.2. Data
3. Methods of Analysis
3.1. The Nonparametric Copula Estimator
3.2. The Explanation of the Reasonability of the Data and Methods Application
- (we have the same number of sample points coming from each month, thus, ).
3.3. The Upper and Lower Dependence Coefficients
3.4. The Estimation of Conditional Probability
4. Results
4.1. Estimation and Comparison of Copula Functions
4.1.1. Estimation of Non-Parametric Copula Functions and the Upper and Lower Dependence Coefficients
4.1.2. Comparison between the Non-Parametric and Parametric Copulas
4.2. Simulation and Validation
4.2.1. Simulation and Analysis
4.2.2. Simulation and Analysis with a Large Number of Samples
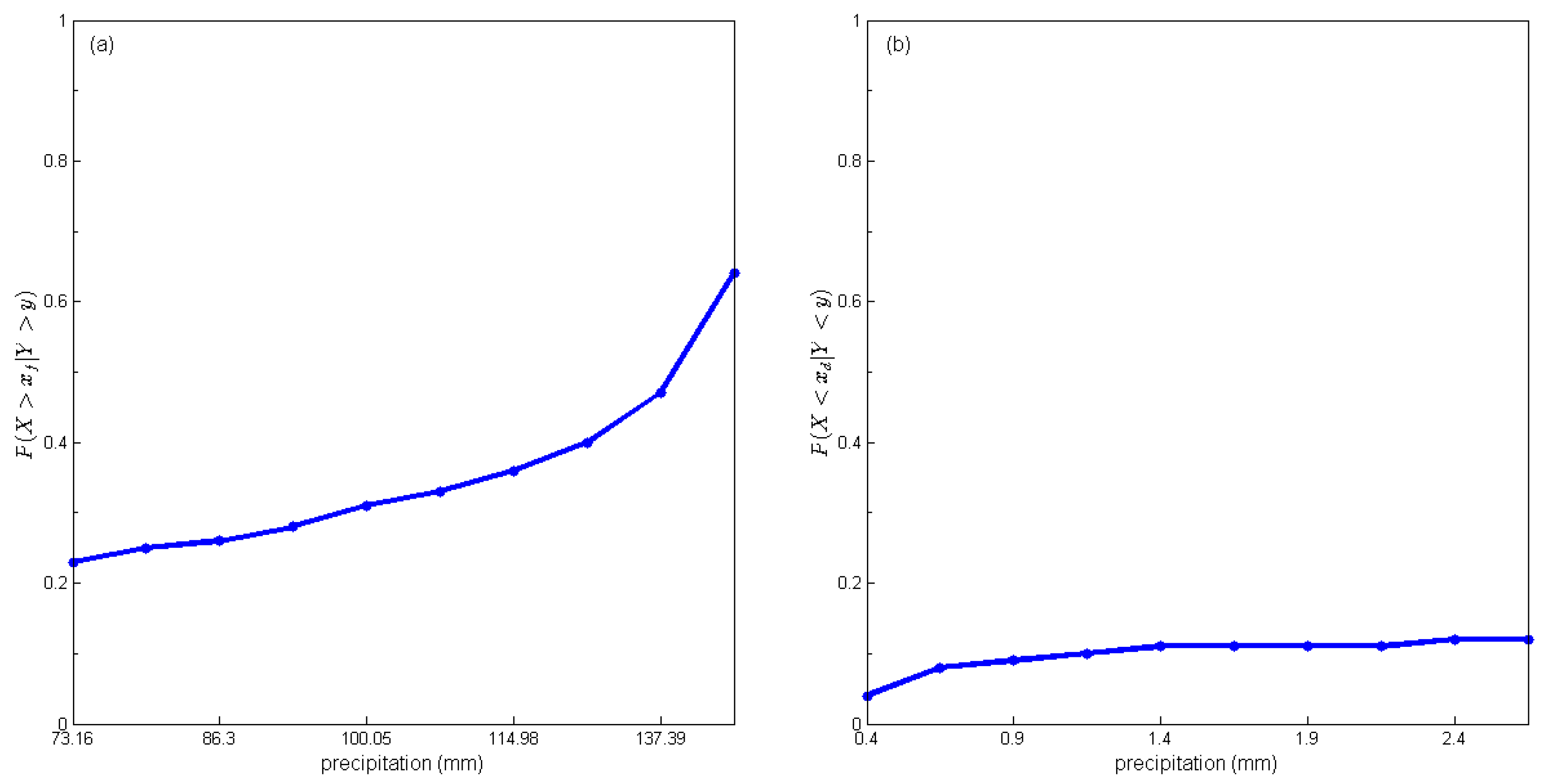
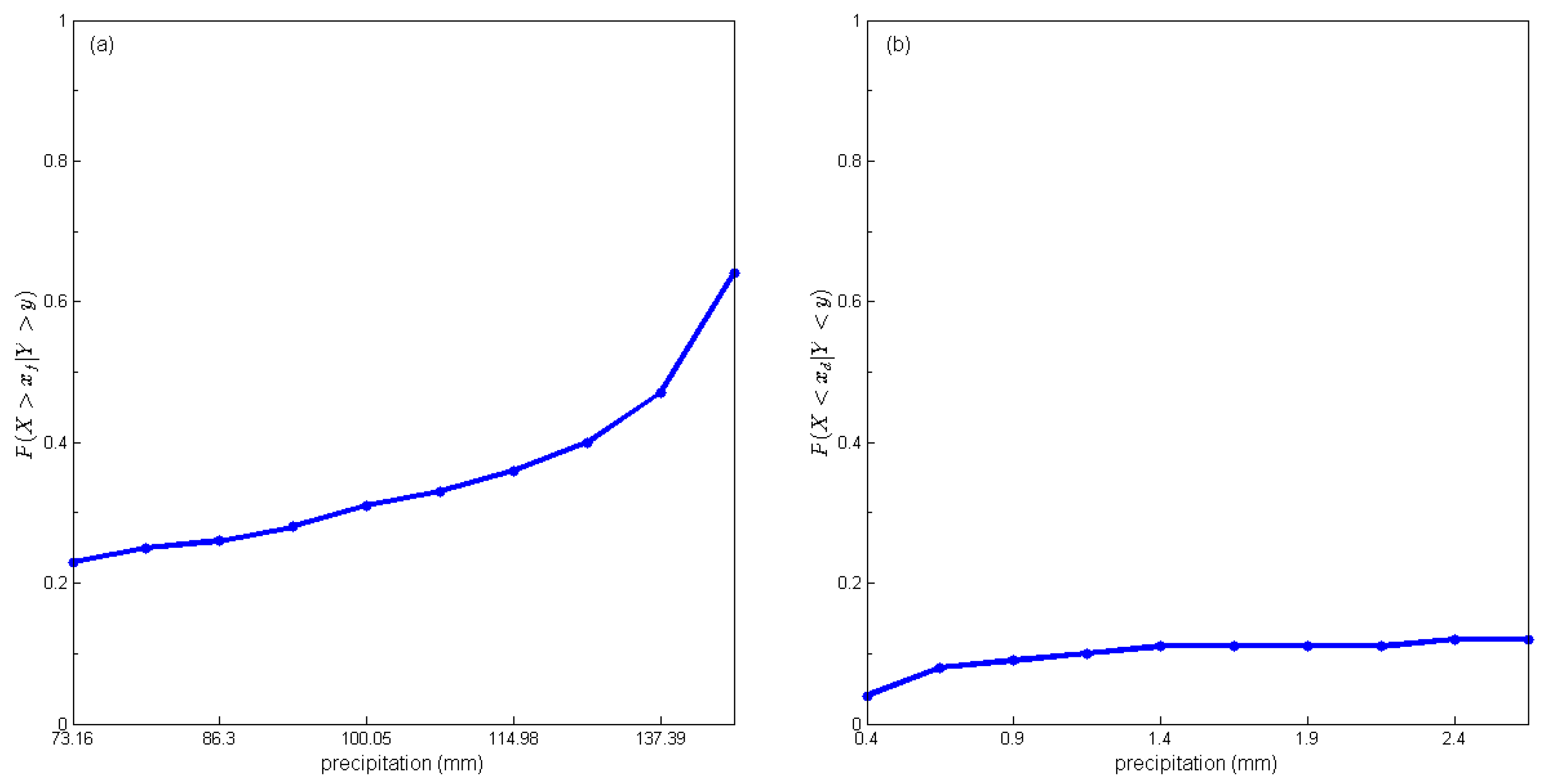
4.3. Estimation of Conditional Probabilities
5. Summary and Conclusions
Author Contributions
Funding
Acknowledgments
Conflicts of Interest
References
- Vörösmarty, C.J.; Green, P.; Salisbury, J.; Lammers, R.B. Global water resources: Vulnerability from climate change and population growth. Science 2000, 289, 284–288. [Google Scholar] [CrossRef] [PubMed]
- Chen, Y.; Xu, C.; Yang, Y.; Hao, X.; Shen, Y. Hydrology and water Resources variation and its responses to regional climate change in Xinjiang. J. Geogr. Sci. 2010, 20, 599–612. [Google Scholar]
- Oki, T.; Kanae, S. Global hydrological cycles and world water resources. Science 2006, 313, 1068–1072. [Google Scholar] [CrossRef] [PubMed]
- Jiang, Y.; Zhou, C.; Cheng, W. Streamflow trends and hydrological response to climatic change in Tarim headwater basin. J. Geogr. Sci. 2007, 17, 51–61. [Google Scholar] [CrossRef]
- Kong, Y.; Pang, Z. What is the primary factor controlling trend of Glacier No. 1 runoff in the Tianshan Mountains: Temperature or precipitation change? Hydrol. Res. 2017, 48, 231–239. [Google Scholar] [CrossRef]
- Li, Z.; Wang, W.; Zhang, M.; Wang, F.; Li, H. Observed changes in streamflow at the headwaters of the Ürümqi River, eastern Tianshan, central Asia. Hydrol. Process. 2010, 24, 217–224. [Google Scholar] [CrossRef]
- Liu, Y.; Huo, X.; Liu, Y.; Hao, Y.; Fan, Y.; Zhong, Y.; Yeh, T.J. Analyzing monthly average streamflow extremes in the upper Ürümqi River based on a GPD model. Environ. Earth Sci. 2015, 74, 4885–4895. [Google Scholar] [CrossRef]
- Liu, Y.; Wu, J.; Liu, Y.; Hu, B.X.; Hao, Y.; Huo, X.; Fan, Y.; Yeh, T.J.; Wang, Z.-L. Analyzing effects of climate change on streamflow in a glacier mountain catchment using an ARMA model. Quat. Int. 2015, 358, 137–145. [Google Scholar] [CrossRef]
- Sorg, A.; Bolch, T.; Stoffel, M.; Solomina, O.; Beniston, M. Climate change impacts on glaciers and runoff in Tien Shan (Central Asia). Nat. Clim. Chang. 2012, 2, 725–731. [Google Scholar] [CrossRef]
- Xu, J.; Chen, Y.; Lu, F.; Li, W.; Zhang, L.; Hong, Y. The nonlinear trend of runoff and its response to climate change in the Aksu River, western China. Int. J. Clim. 2011, 31, 687–695. [Google Scholar] [CrossRef]
- Sklar, M. Fonctions de Répartition À N Dimensions Et Leurs Marges; Université Paris: Saint-Denis, France, 1959; Volume 8, pp. 229–231. [Google Scholar]
- De Michele, C.; Salvadori, G. A Generalized Pareto intensity-duration model of storm rainfall exploiting 2-Copulas. J. Geophys. Res.-Atmos. 2003, 108. [Google Scholar] [CrossRef]
- Dupuis, D.J. Using copulas in hydrology: Benefits, cautions, and issues. J. Hydrol. Eng. 2007, 12, 381–393. [Google Scholar] [CrossRef]
- Favre, A.-C.; EI Adlouni, S.; Perreault, L.; Thiemonge, N.; Bobee, B. Multivariate hydrological frequency analysis using copulas. Water Resour. Res. 2004, 40, W01101. [Google Scholar] [CrossRef]
- Salvadori, G.; De Michele, C. On the use of copulas in hydrology: Theory and practice. J. Hydrol. Eng. 2007, 12, 369–380. [Google Scholar] [CrossRef]
- Salvadori, G.; De Michele, C.; Kottegoda, N.T.; Rosso, R. Extremes in Nature: An Approach Using Copulas; Springer: Dordrecht, The Netherlands, 2007; p. 292. [Google Scholar]
- Kao, S.-C.; Govindaraju, R.S. A copula-based joint deficit index for droughts. J. Hydrol. 2010, 380, 121–134. [Google Scholar] [CrossRef]
- Lee, T.; Modarres, R.; Ouarda, T.B.M.J. Data-based analysis of bivariate copula tail dependence for drought duration and severity. Hydrol. Process. 2013, 27, 1454–1463. [Google Scholar] [CrossRef]
- Liu, C.-L.; Zhang, Q.; Singh, V.P.; Cui, Y. Copula-based evaluations of drought variations in Guangdong, South China. Nat. Hazards 2011, 59, 1533–1546. [Google Scholar] [CrossRef]
- Ma, M.; Song, S.; Ren, L.; Jiang, S.; Song, J. Multivariate drought characteristics using trivariate Gaussian and Student t copulas. Hydrol. Process. 2013, 27, 1175–1190. [Google Scholar] [CrossRef]
- Janga Reddy, M.; Ganguli, P. Application of copulas for derivation of drought severity-duration-frequency curves. Hydrol. Process. 2012, 26, 1672–1685. [Google Scholar] [CrossRef]
- Wong, G.; van Lanen, H.A.J.; Torfs, P.J.J.F. Probabilistic analysis of hydrological drought characteristics using meteorological drought. Hydrol. Sci. J. 2013, 58, 253–270. [Google Scholar] [CrossRef]
- Ariff, N.M.; Jemain, A.A.; Ibrahim, K.; Wan Zin, W.Z. IDF relationships using bivariate copula for storm events in Peninsular Malaysia. J. Hydrol. 2012, 470–471, 158–171. [Google Scholar] [CrossRef]
- Balistrocchi, M.; Bacchi, B. Modelling the statistical dependence of rainfall event variables through copula functions. Hydrol. Earth Syst. Sci. 2011, 15, 1959–1977. [Google Scholar] [CrossRef]
- Gargouri-Ellouze, E.; Chebchoub, A. Modelling the dependence structure of rainfall depth and duration by Gumbel’s copula. Hydrol. Sci. J. 2008, 53, 802–817. [Google Scholar] [CrossRef]
- Ghosh, S. Modelling bivariate rainfall distribution and generating bivariate correlated rainfall data in neighbouring meteorological subdivisions using copula. Hydrol. Process. 2010, 24, 3558–3567. [Google Scholar] [CrossRef]
- Singh, V.P.; Zhang, L. IDF curves using the Frank Archimedean copula. J. Hydrol. Eng. 2007, 12, 651–662. [Google Scholar] [CrossRef]
- Vandenberghe, S.; Verhoest, N.E.C.; De Baets, B. Fitting bivariate copulas to the dependence structure between storm characteristics: A detailed analysis based on 105 year 10 min rainfall. Water Resour. Res. 2010, 46. [Google Scholar] [CrossRef]
- Zhang, L.; Singh, V.P. Bivariate rainfall frequency distributions using archimedean copulas. J. Hydrol. 2007, 332, 93–109. [Google Scholar] [CrossRef]
- Grimaldi, S.; Serinaldi, F.; Napolitano, F.; Ubertini, L. A 3-copula function application for design hyetograph analysis. In Proceedings of the Symposium S2, the Seventh IAHS Scientific Assembly, Foz do Iguaçu, Brazil, 3–9 April 2015; Volume 293, pp. 203–211. [Google Scholar]
- Bezak, N.; Mikoš, M.; Šraj, M. Trivariate frequency analyses of peak discharge, hydrograph volume and suspended sediment concentration data using copulas. Water Resour. Manag. 2014, 28, 2195–2212. [Google Scholar] [CrossRef]
- Chen, L.; Singh, V.P.; Guo, S.L.; Hao, Z.C.; Li, T.Y. Flood Coincidence Risk Analysis Using Multivariate Copula Functions. J. Hydrol. Eng. 2012, 17, 742–755. [Google Scholar] [CrossRef]
- Karmakar, S.; Simonovic, S.P. Bivariate flood frequency analysis. Part 2: A copula-based approach with mixed marginal distributions. J. Flood Risk Manag. 2009, 2, 32–44. [Google Scholar] [CrossRef]
- Renard, B.; Lang, M. Use of a gaussian copula for multivariate extreme value analysis: Some case studies in hydrology. Adv. Water Resour. 2007, 30, 897–912. [Google Scholar] [CrossRef]
- Sraj, M.; Bezak, N.; Brilly, M. Bivariate flood frequency analysis using the copula function: A case study of the Litija station on the Sava River. Hydrol. Process. 2015, 29, 225–238. [Google Scholar] [CrossRef]
- Serinaldi, F.; Grimaldi, S.; Napolitano, F.; Ubertini, L. A 3-Copula function application to flood frequency analysis. In Proceedings of the IASTED International Conference Environmental Modelling and Simulation, St. Thomas, Virgin Islands, USA, 22–24 November 2004; pp. 202–206. [Google Scholar]
- Grimaldi, S.; Serinaldi, F. Asymmetric copula in multivariate flood frequency analysis. Adv. Water Resour. 2006, 29, 1155–1167. [Google Scholar] [CrossRef]
- Zhang, J. Analysis on flood frequency of Urumqi River. Arid Land Geogr. 1997, 20, 1–10. [Google Scholar]
- De Michele, C.; Salvadori, G.; Canossi, M.; Petaccia, A.; Rosso, R. Bivariate statistical approach to check adequacy of dam spillway. J. Hydrol. Eng. 2005, 10, 50–57. [Google Scholar] [CrossRef]
- Deheuvels, P. La fonction de d′ependance empirique et ses propri′et′es. Un test non param′erique d’ind′ependance. Acad. R. Belg. Bull. Cl. Sci. 1979, 65, 274–292. [Google Scholar]
- Lejeune, M.; Sarda, P. Smooth estimators of distribution and density functions. Comput. Stat. Data Anal. 1992, 14, 457–471. [Google Scholar] [CrossRef]
- Fermanian, J.D.; Scaillet, O. Nonparametric estimation of copulas for time series. J. Risk 2003, 5, 25–54. [Google Scholar] [CrossRef]
- Chen, S.; Huang, T.M. Nonparametric estimation of copula functions for dependence modeling. Can. J. Stat. 2007, 35, 265–282. [Google Scholar] [CrossRef]
- Gao, M.; Han, T.; Ye, B.; Jiao, K. Characteristics of melt water discharge in the Glacier No. 1 basin, headwater of Urumqi River. J. Hydrol. 2013, 489, 180–188. [Google Scholar]
- Liu, Y.; Lu, M.; Huo, X.; Hao, Y.; Liu, Y.; Fan, Y.; Cui, Y.; Metivier, F. A Bayesian analysis of Generalized Pareto Distribution of runoff minima. Hydrol. Process. 2016, 30, 424–432. [Google Scholar] [CrossRef]
- Liu, Y. Study on Mass Transport and Hydraulics of Gravel Bed Stream in a High Mountain, the Urumqi River (Chinese Tianshan). Doctoral Dissertation, Institut de Physique du Globe de Paris, Paris, France, 2008. [Google Scholar]
- Fuller, W.A. Introduction to Statistical Time Series; John Wiley and Sons: New York, NY, USA, 1976. [Google Scholar]
- Levene, H. Robust tests for equality of variances. In Contributions to Probability and Statistics. Essays in Honor of Harold Hotelling; Stanford University Press: Palo Alto, CA, USA, 1960; pp. 279–292. [Google Scholar]
- Cramér, H. On the Composition of Elementary Errors: First paper: Mathematical deductions. Scand. Actuar. J. 1928, 1928, 13–74. [Google Scholar] [CrossRef]
- Sun, C.; Chen, Y.; Li, W.; Li, X.; Yang, Y. Isotopic time series partitioning of streamflow components under regional climate change in the Urumqi River, northwest China. Hydrol. Sci. J. 2016, 61, 1443–1459. [Google Scholar] [CrossRef]









| Cramer-von-Mises Test | Non-Parametric Copula | Gaussian Copula | t Copula | Gumbel Copula | Frank Copula | Clayton Copula |
|---|---|---|---|---|---|---|
| p value | 0.901 | 0.250 | 0.124 | 0.319 | 0.179 | 0.002 |
| Frequency | U ≤ 0.1 and V ≤ 0.1 | U ≤ 0.2 and V ≤ 0.2 | U < 0.5 and V < 0.5 | U ≥ 0.9 and V ≥ 0.9 | U ≥ 0.8 and V ≥ 0.8 | U ≥ 0.5 and V ≥ 0.5 |
|---|---|---|---|---|---|---|
| observation | 0.0187 | 0.0748 | 0.4218 | 0.0663 | 0.1718 | 0.4252 |
| simulation | 0.0119 | 0.0697 | 0.4065 | 0.0731 | 0.1905 | 0.4473 |
| (U, V) | U ≤ 0.1, V ≤ 0.1 | U ≤ 0.2, V ≤ 0.2 | U < 0.5 V < 0.5 | U ≥ 0.9, V ≥ 0.9 | U ≥0.8, V ≥ 0.8 | U ≥ 0.5, V ≥ 0.5 |
|---|---|---|---|---|---|---|
| (X, Y) | X ≤ 1.07, Y ≤ 1.43 | X ≤ 1.40, Y ≤ 2.90 | X ≤ 3.08, Y ≤ 15.7 | X ≥ 21.8, Y ≥ 107.0 | X ≥ 15.8, Y ≥ 73.3 | X ≥ 3.08, Y ≥ 15.7 |
| Estimated probability | 0.018 | 0.073 | 0.416 | 0.058 | 0.159 | 0.434 |
| Standard error | 0.0009 | 0.0018 | 0.0035 | 0.0017 | 0.0026 | 0.0035 |
| 95% Confidence interval | (0.0162, 0.0198) | (0.0695, 0.0765) | (0.4091, 0.4229) | (0.0547, 0.0613) | (0.1539, 0.1641) | (0.4271, 0.4409) |
| V | 0.80 | 0.82 | 0.84 | 0.86 | 0.88 | 0.90 | 0.92 | 0.94 | 0.96 | 0.98 |
|---|---|---|---|---|---|---|---|---|---|---|
| y (mm) | 73.16 | 79.46 | 86.30 | 91.97 | 100.05 | 105.47 | 114.98 | 123.75 | 137.39 | 159.56 |
| P | 0.23 | 0.25 | 0.26 | 0.28 | 0.31 | 0.33 | 0.36 | 0.40 | 0.47 | 0.64 |
| V | 0.02 | 0.04 | 0.06 | 0.08 | 0.10 | 0.12 | 0.14 | 0.16 | 0.18 | 0.20 |
|---|---|---|---|---|---|---|---|---|---|---|
| y (mm) | 0.40 | 0.55 | 0.90 | 1.20 | 1.40 | 1.70 | 1.90 | 2.10 | 2.40 | 2.90 |
| P | 0.04 | 0.08 | 0.09 | 0.10 | 0.11 | 0.11 | 0.11 | 0.11 | 0.12 | 0.12 |
© 2018 by the authors. Licensee MDPI, Basel, Switzerland. This article is an open access article distributed under the terms and conditions of the Creative Commons Attribution (CC BY) license (http://creativecommons.org/licenses/by/4.0/).
Share and Cite
Liu, Y.; Liu, Y.; Hao, Y.; Wang, T.; Yeh, T.-C.J.; Fan, Y.; Zhang, Q. Probabilistic Analysis of Extreme Discharges and Precipitations with a Nonparametric Copula Model. Water 2018, 10, 823. https://doi.org/10.3390/w10070823
Liu Y, Liu Y, Hao Y, Wang T, Yeh T-CJ, Fan Y, Zhang Q. Probabilistic Analysis of Extreme Discharges and Precipitations with a Nonparametric Copula Model. Water. 2018; 10(7):823. https://doi.org/10.3390/w10070823
Chicago/Turabian StyleLiu, Yan, Youcun Liu, Yonghong Hao, Tongke Wang, Tian-Chyi Jim Yeh, Yonghui Fan, and Qiaozhen Zhang. 2018. "Probabilistic Analysis of Extreme Discharges and Precipitations with a Nonparametric Copula Model" Water 10, no. 7: 823. https://doi.org/10.3390/w10070823
APA StyleLiu, Y., Liu, Y., Hao, Y., Wang, T., Yeh, T.-C. J., Fan, Y., & Zhang, Q. (2018). Probabilistic Analysis of Extreme Discharges and Precipitations with a Nonparametric Copula Model. Water, 10(7), 823. https://doi.org/10.3390/w10070823
