Some Aspects of Turbulent Mixing of Jets in the Marine Environment
Abstract
:1. Introduction
2. Materials and Methods
2.1. Momentum Equations
2.2. Transport of Tracers and Turbulent Kinetic Energy
2.3. Experimental Procedure
3. Results and Discussion
3.1. Jet Flow Patterns, and Phase- and Time-Averaged Velocities
3.2. Comparison with Previous Investigations
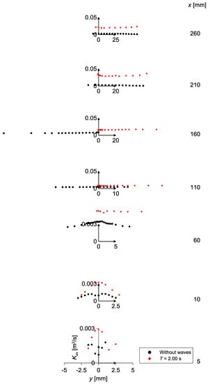
3.3. Turbulent Diffusion Coefficients and Advection Terms
4. Conclusions
- The analysis of the time-averaged and phase-averaged velocity vectors shows that the flow pattern resembles that of a jet discharged into a cross-current when the wave horizontal velocity dominates and that of a co-stream jet or jet in opposing flow when the vertical wave velocity dominates. Furthermore, the jet experiences an enlargement of its area when waves are present compared with the same jet in still water, which suggests an enhancement of the dilution and, therefore, a positive effect of the wave motion during the initial mixing processes. The velocity profiles of jets discharged in a wave environment are even flatter and wider than those of the same jet discharged in a stagnant environment.
- The analysis of the turbulent kinetic energy k nondimensionalised by U0 shows that close to the nozzle, specifically when x << Lw, the values are similar with and without waves, indicating that the impact of the waves on the turbulent kinetic energy is small. In this region it is possible to affirm that the turbulence is dominated by the jet and, therefore, this is a region with jet-generated shear. Farther from the nozzle, i.e., when x is closer to or greater than Lw, the values of k are higher with the presence of waves. In this region the turbulence of the jet is also affected by the waves. Furthermore, in the case of the jet with waves, O(k) is almost constant in the upper region, demonstrating that the waves feed the jet turbulence. On the contrary, in the case of the absence of waves, the values of k reduce at higher distance from the nozzle.
- The values of the mean axial velocity Uc normalised by the jet exit velocity U0 show that the configurations analysed in the present paper are well fitted by the classic literature laws for the measurement points in the jet’s fully developed region where the wave effect is not pronounced.
- The experimental data agree with Chyan and Hwung’s [27] law of the dimensionless Uc velocity as a function of x/Lw.
- Using the analogy between the equation of the turbulent transport of a solute concentration and the equation of the turbulent kinetic energy, the jet net dispersion coefficients have been evaluated. In contrast to the case of jets in still water, in the runs with waves, the streamwise turbulent diffusion is increased.
- The presence of waves increases both the diffusion and advection processes of the jet in the longitudinal direction, mainly in the region dominated by the wave-induced momentum, i.e., at distance from the nozzle greater than the length scale Lw.
Supplementary Materials
Author Contributions
Funding
Conflicts of Interest
References
- Mossa, M. Field measurements and monitoring of wastewater discharge in sea water. Estuar. Coast. Shelf Sci. 2006, 68, 509–514. [Google Scholar] [CrossRef]
- De Serio, F.; Mossa, M. A laboratory study of irregular shoaling waves. Exp. Fluids 2013, 54, 1536. [Google Scholar] [CrossRef]
- Ben Meftah, M.; De Serio, F.; Malcangio, D.; Mossa, M.; Petrillo, A.F. Experimental study of a vertical jet in a vegetated crossflow. J. Environ. Manag. 2015, 164, 19–31. [Google Scholar] [CrossRef] [PubMed]
- Armenio, E.; De Serio, F.; Mossa, M. Analysis of data characterizing tide and current fluxes in coastal basins. Hydrol. Earth Syst. Sci. 2017, 21, 3441. [Google Scholar] [CrossRef]
- De Serio, F.; Mossa, M. Environmental monitoring in the Mar Grande basin (Ionian Sea, Southern Italy). J. Environ. Sci. Pollut. Res. 2016, 23, 12662–12674. [Google Scholar] [CrossRef] [PubMed]
- List, E.J. Turbulent jets and plumes. Annu. Rev. Fluid Mech. 1982, 14, 189–212. [Google Scholar] [CrossRef]
- Davies, P.A.; Valente Neves, M.J. Recent Research Advances in the Fluid Mechanics of Turbulent Jets and Plumes; NATO ASI Series, Series E: Applied Sciences; Springer Science & Business Media: New York, USA, 2012; Volume 255, ISBN 978-94-010-4396-0. [Google Scholar] [CrossRef]
- Lee, J.H.W.; Chu, V.H. Turbulent Jets and Plumes—A Lagrangian Approach; Kluwer Academic Publishers: Dordrecht, the Netherlands, 2003; ISBN 1402075200. [Google Scholar]
- Wood, I.R.; Bell, R.G.; Wilkinson, D.L. Ocean Disposal of Wastewater; Advanced Series on Ocean Engineering; World Scientific: Singapore, 1993; Volume 8. [Google Scholar]
- Roberts, P.J.W.; Salas, H.J.; Reiff, F.M.; Libhaber, M.; Labbe, A.; Thomson, J.C. Marine Wastewater Outfalls and Treatment Systems; IWA Publishing: Colchester, UK, 2010; ISBN 1843391899. [Google Scholar]
- Tate, P.M.; Scaturro, S.; Cathers, B. Marine outfalls. In Springer Handbook of Ocean Engineering; Dhanak, M.R., Xiros, M.I., Eds.; Springer: Cham, Switzerland; Berlin, Germany, 2016; pp. 711–740. ISBN 978-3-319-16648-3. [Google Scholar]
- Jirka, G.H.; Harleman, D.R.F. Stability and mixing of a vertical plane buoyant jet in confined depth. J. Fluid Mech. 1979, 94, 275–304. [Google Scholar] [CrossRef]
- Papanicolaou, P.N.; List, E.J. Investigation of round vertical turbulent buoyant jets. J. Fluid Mech. 1988, 195, 341–391. [Google Scholar] [CrossRef]
- Atkinson, J.F.; Wolcott, S.B. Interfacial mixing induced by mean shear and an oscillating grid. J. Hydraul. Eng. 1990, 116, 397–413. [Google Scholar] [CrossRef]
- Smith, S.H.; Mungal, M.G. Mixing, structure and scaling of the jet in crossflow. J. Fluid Mech. 1998, 357, 83–122. [Google Scholar] [CrossRef]
- Jirka, G.H. Large scale flow structures and mixing processes in shallow flows. J. Hydraul. Res. 2001, 39, 567–573. [Google Scholar] [CrossRef]
- Shuto, N.; Ti, L.H. Wave effects on buoyant plumes. In Proceedings of the 14th Conference on Coastal Engineering, Copenhagen, Denmark, 24–28 June 1974; pp. 2199–2209. [Google Scholar]
- Ger, A.M. Wave effects on submerged buoyant jets. In Proceedings of the 18th IAHR, Cagliari, Italy, 10–14 September 1979; pp. 295–300. [Google Scholar]
- Sharp, J.J. The effects of waves on buoyant jets. Proc. Inst. Civ. Eng. 1986, 81, 471–475. [Google Scholar]
- Rajaratnam, N. Turbulent Jets; Elsevier Scientific Publishing Company: Amsterdam, The Netherlands; Oxford, UK; New York, NY, USA, 1976. [Google Scholar]
- Fischer, H.B.; List, E.J.; Koh, R.C.Y.; Imberger, J.; Brooks, N.H. Mixing in Inland and Coastal Waters; Academic Press: New York, NY, USA, 1979. [Google Scholar]
- Peregrine, D.H. Interaction of water waves and currents. Adv. Appl. Mech. 1976, 16, 9–117. [Google Scholar]
- Roberts, P.J.W. Ocean outfall dilution: Effects of currents. J. Hydraul. Div. 1980, 106, 769–782. [Google Scholar]
- Ismail, N.M.; Wiegel, R.L. Opposing wave effect on momentum jets spreading rate. J. Waterw. Port Coast. Ocean Eng. 1983, 109, 465–483. [Google Scholar] [CrossRef]
- Chin, D.A. Influence of surface waves on outfall dilution. J. Hydraul. Eng. 1987, 113, 1006–1017. [Google Scholar] [CrossRef]
- Yoon, S.B.; Liu, P.L.-F. Effects of opposing waves on momentum jets. J. Waterw. Port Coast. Ocean Eng. 1990, 116, 545–557. [Google Scholar] [CrossRef]
- Chyan, J.-M.; Hwung, H.-H. On the interaction of a turbulent jet with waves. J. Hydraul. Res. 1993, 31, 791–810. [Google Scholar] [CrossRef]
- Koole, R.; Swan, C. Measurements of a 2-D non-buoyant jet in a wave environment. Coast. Eng. 1994, 24, 151–169. [Google Scholar] [CrossRef]
- Calabrese, M.; Di Natale, M. Diffusione di un getto liquido sommerso in presenza di un moto ondoso stazionario. In Proceedings of the XXIV Convegno di Idraulica e Costruzioni Idrauliche, Napoli, Italy, 20–22 September 1994; Volume I, pp. 241–254. (In Italian). [Google Scholar]
- Nash, J.D.; Jirka, G.H. Buoyant surface discharges into unsteady ambient flows. Dyn. Atmos. Oceans 1996, 24, 75–84. [Google Scholar] [CrossRef]
- Wu, S.; Rajaratnam, N.; Katopodis, C. Oscillating vertical plane turbulent jet in shallow water. J. Hydraul. Res. 1998, 36, 229–234. [Google Scholar] [CrossRef]
- Mossa, M. Experimental study on the interaction of non-buoyant jets and waves. J. Hydraul. Res. 2004, 42, 13–28. [Google Scholar] [CrossRef]
- Mossa, M. Behavior of non-buoyant jets in a wave environment. J. Hydraul. Eng. 2004, 130, 704–717. [Google Scholar] [CrossRef]
- Chin, D.A. Model of buoyant-jet-surface-wave interaction. J. Waterw. Port Coast. Ocean Eng. 1988, 114, 331–345. [Google Scholar] [CrossRef]
- Davies, P.A.; Mofor, L.A.; Valente Neves, M.J. Comparisons of remotely sensed observations with modeling predictions for the behaviour of wastewater plumes from coastal discharges. Int. J. Remote Sens. 1997, 18, 1987–2019. [Google Scholar]
- Lee, J.H.W.; Wilkinson, D.L.; Wood, I.R. On the head-discharge relation of a “duckbill” elastomer check valve. J. Hydraul. Res. 2001, 39, 619–627. [Google Scholar] [CrossRef]
- Cuthbertson, A.J.S.; Malcangio, D.; Davies, P.A.; Mossa, M. The influence of a localised region of turbulence on the structural development of a turbulent, round, buoyant jet. Fluid Dyn. Res. 2006, 38, 683–698. [Google Scholar] [CrossRef]
- Mossa, M.; De Serio, F. Rethinking the process of detrainment: Jets in obstructed natural flows. Sci. Rep. 2016, 6, 39103. [Google Scholar] [CrossRef] [PubMed]
- Mossa, M.; Ben Meftah, M.; De Serio, F.; Nepf, H.M. How vegetation in flows modifies the turbulent mixing and spreading of jets. Sci. Rep. 2017, 7, 6587. [Google Scholar] [CrossRef] [PubMed]
- Hussain, A.K.M.F.; Reynolds, W.C. The mechanics of an organized wave in turbulent shear flow. J. Fluid Mech. 1970, 41, 241–258. [Google Scholar] [CrossRef]
- Svendsen, I.A. Analysis of surf zone turbulence. J. Geophys. Res. 1987, 92, 5115–5124. [Google Scholar] [CrossRef]
- Tanino, Y.; Nepf, H.M. Lateral dispersion in random cylinder arrays at high Reynolds number. J. Fluid Mech. 2008, 600, 339–371. [Google Scholar] [CrossRef]
- Le Méhauté, B. An Introduction to Hydrodynamics and Water Waves; Water Wave Theories, II, TR ERL 118-POL-3-2; U.S. Department of Commerce, ESSA: Washington, DC, USA, 1969.
- Albertson, M.L.; Dai, Y.B.; Jensen, R.A.; Rouse, H. Diffusion of submerged jets. Trans. ASCE 1950, 115, 639–664. [Google Scholar]
- Corrsin, S.; Uberoi, M.S. Further experiments on the flow and heat transfer in a heated turbulent air jet. NACA Rep. 1950, 998, 1–17. [Google Scholar]
- Wygnanski, I.J.; Fiedler, H.E. Some measurements in the self-preserving jet. J. Fluid Mech. 1969, 38, 577–612. [Google Scholar] [CrossRef]















| Test with Waves | H [cm] | L [m] | T [s] | H/L | h/L | [m/s] | Lw [m] |
|---|---|---|---|---|---|---|---|
| 1 | 4.20 | 5.10 | 2.00 | 0.0082 | 0.16 | 0.039 | 0.31 |
| 2 | 4.40 | 3.05 | 1.43 | 0.014 | 0.26 | 0.036 | 0.33 |
| 3 | 4.13 | 1.56 | 1.00 | 0.027 | 0.51 | 0.026 | 0.47 |
| Authors | Runs | Jet Diameter/Jet Slot | Fluid | Wave Period | h/L | U0 | Velocity Measurements |
|---|---|---|---|---|---|---|---|
| Albertson et al. [44] | All | From 0.08 cm to 2.54 cm | Air | - | - | From 12.19 m/s to 54.86 m/s | Hypodermic needle with water differential manometer or sensitive two-liquid gauge, midget spoke-vane anemometer |
| Corrsin and Uberoi [45] | All | 2.54 cm | Air | - | - | From 19.81 m/s to 35.05 m/s | Hypodermic needle total-head tube, Chromel-Alumen thermocouple (for mean velocity) and hot-wire anemometer (turbulent velocity components) |
| Wygnanski and Fiedler [46] | All | 2.64 cm | Air | - | - | From 51 m/s to 72 m/s | Constant-temperature anemometers and linearisers with standard hot wires |
| Chyan and Hwung [27] | A | 2.3 mm | Water | 1.16 s | 0.1470 | 83.7 cm/s | LDA |
| B | 2.3 mm | 0.85 s | 0.2251 | 84.7 cm/s | |||
| C | 2.3 mm | 0.75 s | 0.2731 | 83.6 cm/s | |||
| E | 2.3 mm | 0.64 s | 0.3598 | 83.2 cm/s | |||
| F | 2.3 mm | 0.52 s | 0.5343 | 83.4 cm/s | |||
| G | 2.3 mm | - | - | 82.5 cm/s | |||
| H | 5.0 mm | - | - | 62.4 cm/s |
© 2018 by the authors. Licensee MDPI, Basel, Switzerland. This article is an open access article distributed under the terms and conditions of the Creative Commons Attribution (CC BY) license (http://creativecommons.org/licenses/by/4.0/).
Share and Cite
Mossa, M.; Davies, P.A. Some Aspects of Turbulent Mixing of Jets in the Marine Environment. Water 2018, 10, 522. https://doi.org/10.3390/w10040522
Mossa M, Davies PA. Some Aspects of Turbulent Mixing of Jets in the Marine Environment. Water. 2018; 10(4):522. https://doi.org/10.3390/w10040522
Chicago/Turabian StyleMossa, Michele, and Peter A. Davies. 2018. "Some Aspects of Turbulent Mixing of Jets in the Marine Environment" Water 10, no. 4: 522. https://doi.org/10.3390/w10040522
APA StyleMossa, M., & Davies, P. A. (2018). Some Aspects of Turbulent Mixing of Jets in the Marine Environment. Water, 10(4), 522. https://doi.org/10.3390/w10040522

