Evaluating Regime Change of Sediment Transport in the Jingjiang River Reach, Yangtze River, China
Abstract
1. Introduction
2. Study Reach, Data, and Methodology
2.1. The Study Reach
2.2. Data
- (1)
- Water depth is measured with ADCP, and verified with fish lead.
- (2)
- ADCP is applied to measure the flow twice. The deviation between each measured discharge and the average discharge should be less than ±5%. Otherwise, the data should be re-measured.
- (3)
- Vertical lines for measuring the velocity are positioned with a real-time kinematic (RTK) GNSS.
- (4)
- Suspended sediments are sampled with samplers in the field, and its grain-size distributions are analyzed by the sieving method. All the sampling procedures should be finished within dozens of minutes, and sieving analyses should be finished following the manual operation. For all the five points measured before 2010 and the upper five points measured after 2010, the sampler shown in Figure 2a is adopted. For the two near-bed points measured after 2010, bottom-touched automatic-closing samplers shown in Figure 2b,c are adopted. With this kind of sampler (Figure 2b,c), the distances of the two near-bed points from the riverbed can be ensured. However, the potential disturbance on the riverbed when settling the sampler may still be questionable. Therefore, except a slowed down settling velocity of the sampler, the near-bed concentrations may be double-checked after sampling and grain-size analyses. The assumption is that the measured concentration is reliable only if the vertical concentration profiles of particles finer than 0.062 mm have no abrupt changing point in the near-bed region [17]. Thus, bed materials can be distinguished from suspended sediments, which may be caused by disturbance during the sampling processes.
2.3. Methodology
2.3.1. Cumulative Anomaly
2.3.2. SRCs
2.3.3. ADEs
2.3.4. Contribution of Near-Bed Concentrations on SST Rate
3. Change of the Sediment Regime
3.1. Vertical Profiles of SSC
3.1.1. Remarkable Large Concentrations in the Near-Bed Zone
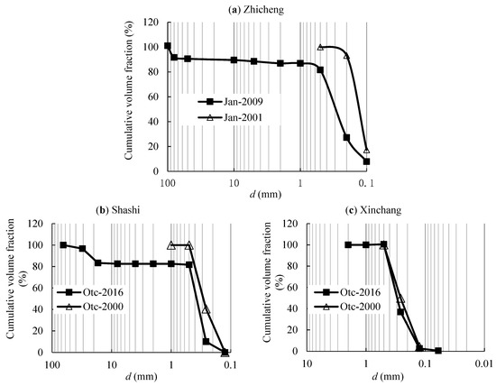
3.1.2. Coarsening of Suspended and Bed Materials
3.2. Temporal Change of SSL
3.3. Availability of Sediment Sources
4. Future Challenges
4.1. Accurate Measuring in Field Surveys
4.2. Describing Vertical Concentration Profiles
4.3. Estimating SST Rate
5. Conclusions
- (1)
- In the unsaturated JJRR, measurements have revealed anomalous vertical profiles of SSC, as the near-bed concentrations normalized with the vertical average concentration are dramatically larger than that of the pre-equilibrium channel. The near-bed concentration (within 10% of the water depth from the river bed) may reach up to 15 times that of the vertical average concentration in the non-equilibrium channel.
- (2)
- In the unsaturated JJRR, the combination of wide grading suspended sediment and coarsened bed materials in non-equilibrium channel contribute to a remarkably large concentration in the near-bed zone. For the river reach around Shashi station, the remarkably large near-bed concentration is more apparent.
- (3)
- More detailed measurements or new measuring technologies may assist in the accurate measurement of vertical concentration profiles. A fractional dispersion equation may help to provide accurate descriptions. The outcomes can provide useful information for modeling the morphologic change of the JJRR.
Acknowledgments
Author Contributions
Conflicts of Interest
References
- Schumm, S.A. The Fluvial System; Wiley: New York, NY, USA, 1977. [Google Scholar]
- McLean, S.R. Depth-integrated suspended load calculations. J. Hydraul. Eng. 1991, 117, 1440–1458. [Google Scholar] [CrossRef]
- Papanicolaou, A.N.; Elhakeem, M.; Krallis, G.; Prakash, S.; Edinger, J. Sediment transport modelling review-current and future developments. J. Hydraul. Eng. ASCE 2008, 134, 1–14. [Google Scholar] [CrossRef]
- Rouse, H. Modern conceptions of the mechanics of fluid turbulence. Trans. Am. Soc. Civ. Eng. 1938, 102, 463–543. [Google Scholar]
- Hunt, J.N. On the turbulent transport of sediment in open channel. Proc. R. Soc. Lond. A 1954, 224, 1158. [Google Scholar] [CrossRef]
- Aragon, J.A.G.; Salazar, S.S.; Reyes, P.M.; Delgado, C.D. Concentration profiles of suspended sediments calculation in non-uniform sediments, nonequilibrium situations. Ing. Hidraul. Mex. 2000, 15, 29–35. [Google Scholar]
- Maleki, F.S.; Khan, A.A. 1-D coupled non-equilibrium sediment transport modelling for unsteady flows in the discontinuous Galerkin framework. J. Hydrodyn. 2016, 28, 534–543. [Google Scholar] [CrossRef]
- Nicholad, A.P.; Clarke, L.; Quine, T.A. A numerical modelling and experimental study of flow width dynamics on alluvial fans. Earth Surf. Process. Landf. 2009, 34, 1985–1993. [Google Scholar] [CrossRef]
- Han, Q.W.; Chen, X.J.; Xue, X.C. On the vertical distribution of sediment concentration in non-equilibrium transportation. Adv. Water Sci. 2010, 21, 512–523. [Google Scholar]
- Zhao, L.J.; Wu, G.Y.; Wang, J.Y. Review and prospect of vertical distribution by non-equilibrium sediment concentration theory. J. Hydroelectr. Eng. 2015, 34, 63–69. [Google Scholar]
- Regüés, D.; Nadal-Romero, E. Uncertainty in the evaluation of sediment yield form badland areas: Suspended sediment transport estimated in the Araguás catchment (central Spanish Pyrenees). Catena 2013, 106, 93–100. [Google Scholar] [CrossRef]
- Zhu, H.W.; Cheng, P.D.; Li, W.; Chen, J.H.; Pang, Y.; Zhang, D.W. Empirical model for estimating vertical concentration profiles of re-suspended, sediment-associated contaminants. Acta Mech. Sin. 2017, 33, 846–854. [Google Scholar] [CrossRef]
- Cheng, C.; Huang, H.M.; Liu, C.Y.; Jiang, W.M. Challenges to the representation of suspended sediment transfer using a depth-averaged flux. Earth Surf. Process. Landf. 2016, 41, 1337–1357. [Google Scholar] [CrossRef]
- Wu, W. Depth-averaged two-dimensional numerical modelling of unsteady flow and nonuniform sediment transport in open channels. J. Hydraul. Eng. 2004, 130, 1013–1024. [Google Scholar] [CrossRef]
- Tayfur, G.; Singh, V.P. Transport capacity models for unsteady and non-equilibrium sediment transport in alluvial channels. Comput. Electron. Agric. 2012, 86, 26–33. [Google Scholar] [CrossRef]
- Singh, A.K.; Kothyari, U.C.; Raju, K.G.R. Rapidly varying transient flows in alluvial rivers. J. Hydraul. Res. 2004, 42, 473–486. [Google Scholar] [CrossRef]
- He, L. Quantifying the effects of near-bed concentration on the sediment flux after the operation of the Three Gorges Dam, Yangtze River. Water 2017, 9, 986. [Google Scholar] [CrossRef]
- He, Y.; Wang, F.; Tian, P.; Mu, X.M.; Gao, P.; Zhao, G.J.; Wu, Y.P. Impact assessment of human activities on runoff and sediment of Beiluo River in the Yellow River Based on Paired Years of Similar Climate. Pol. J. Environ. Stud. 2016, 25, 121–135. [Google Scholar] [CrossRef]
- Wang, H.J.; Yang, Z.S.; Wang, Y.; Saito, Y.; Liu, J.P. Reconstruction of sediment flux from the Changjiang (Yangtze River) to the sea since the 1860s. J. Hydrol. 2008, 349, 318–332. [Google Scholar] [CrossRef]
- Iadanza, C.; Napolitano, F. Sediment transport time series in the Tiber River. Phys. Chem. Earth 2006, 31, 1212–1227. [Google Scholar] [CrossRef]
- Desilets, S.L.E.; Nijssen, B.; Ekwurzel, B.; Ferre, T.P.A. Post-wildfire changes in suspended sediment rating curves: Sabino Canyon, Arizona. Hydrol. Process. 2007, 21, 1413–1423. [Google Scholar] [CrossRef]
- Asselman, N.E.M. Fitting and interpretation of sediment rating curves. J. Hydrol. 2000, 234, 228–248. [Google Scholar] [CrossRef]
- Huang, S.H.; Sun, Z.L.; Xu, D.; Xia, S.S. Vertical distribution of sediment concentration. J. Zhejiang Univ. Sci. A 2008, 9, 1560–1566. [Google Scholar] [CrossRef]
- Wilson, K.C. Rapid increase in suspended load at high bed shear. J. Hydraul. Eng. 2005, 131, 46–51. [Google Scholar] [CrossRef]
- Brown, G.L. Approximate profile for nonequilibrium suspended sediment. J. Hydraul. Eng. 2008, 134, 1010–1014. [Google Scholar] [CrossRef]
- Jobson, H.E.; Serge, W.W. Predicting concentration profiles in open channels. J. Hydraul. Div. 1970, 96, 1983–1996. [Google Scholar]
- Chen, D.; Sun, H.; Zhang, Y. Fractional dispersion equation for sediment suspension. J. Hydrol. 2013, 491, 13–22. [Google Scholar] [CrossRef]
- Nie, S.Q.; Sun, H.G.; Zhang, Y.; Chen, D.; Chen, W.; Chen, L.; Schaefer, S. Vertical distribution of suspended sediment under steady flow: Existing theories and fractional derivative model. Discret. Dyn. Nat. Soc. 2017. [CrossRef]
- Noguchi, K.; Nezu, I. Particle-turbulence interaction and local particle concentration in sediment-laden open-channel flows. J. Hydro-Environ. Res. 2009, 3, 54–68. [Google Scholar] [CrossRef]
- Sun, Z.L.; Zhang, C.F.; Du, L.H.; Xu, D. Transport rate of nonuniform suspended load. Shuili Xuebao 2016, 47, 501–508. [Google Scholar]
- Dong, X.T.; Li, R.J.; Fu, G.C.; Zhang, H.C. Relationship between vertical distribution of velocity and sediment concentration of sediment-laden flow. J. Hohai Univ. Natl. Sci. 2015, 43, 371–376. [Google Scholar] [CrossRef]
- Tang, M.L.; Cao, H.Q.; Li, Q.Y.; Zhai, W.L. Vertical distribution of suspended sediment in middle reaches of Yangtze River. Yangtze River 2017, 48, 6–11. [Google Scholar]
- Xia, Y.F.; Xu, H.; Chen, Z.; Wu, D.W.; Zhang, S.Z. Experimental study on suspended sediment concentration and its vertical distribution under spilling breaking wave actions in silty coast. China Ocean Eng. 2011, 25, 565–575. [Google Scholar] [CrossRef]
- Feng, Q.; Xiao, Q.L. An new S-type vertical distribution of suspended sediment concentration. J. Sedim. Res. 2015, 1, 19–24. [Google Scholar]
- Parsons, A.J.; Cooper, J.; Wainwright, J. What is suspended sediment? Earth Surf. Process. Landf. 2015, 40, 1417–1420. [Google Scholar] [CrossRef]
- Zhang, X.F.; Tan, G.M. Characteristics of vertical concentration distribution of non-uniform particles. Shuli Xuebao 1992, 10, 48–52. [Google Scholar]
- Han, J.Q.; Sun, Z.H.; Li, Y.T.; Tang, J.W. Changed and caused of lower water level in Yichang–Chenglingji reach after impounding of Three Gorges Reservoir. Eng. J. Wuhan Univ. 2011, 44, 685–695. [Google Scholar]
- Xu, J.X. Complex behaviour of suspended sediment grain size downstream from a reservoir: An example from the Hanjiang River, China. Hydrol. Sci. J. 1996, 41, 837–849. [Google Scholar]
- Yang, G.F.; Chen, Z.Y.; Yu, F.; Wang, Z.; Zhao, Y.; Wang, Z. Sediment rating parameters and their implications: Yangtze River, China. Geomorphology 2007, 85, 166–175. [Google Scholar] [CrossRef]
- Seeger, M.; Errea, M.-P.; Begueria, S.; Arnaez, J.; Marti, C.; Garcia-Ruiz, J.M. Catchment soil moisture and rainfall characteristics as determinant factors for discharge/suspended sediment hysteretic loops in a small headwater catchment in the Spanish Pyrenees. J. Hydrol. 2004, 288, 299–311. [Google Scholar] [CrossRef]
- Whitaker, A.C.; Sato, H.; Sugiyama, H. Changing suspended sediment dynamics due to extreme flood events in a small pluvial-nival system in northern Japan. Sedim. Dyn. Chang. Environ. 2008, 325, 192–199. [Google Scholar]
- Zhang, Q.; Shi, Y.F.; Xiong, M. Geometric properties of river cross sections and associated hydrodynamic implications in Wuhan-Jiujiang river reach, the Yangtze River. J. Geogr. Sci. 2009, 19, 58–66. [Google Scholar] [CrossRef]
- Pagliari, D.; Rossi, L.; Passoni, D.; Pinto, L.; De Michele, C.; Avanzi, F. Measuring the volume of flushed sediments in a reservoir using multi-temporal images acquired with UAS, Geomatics. Nat. Hazards Risk 2017, 8, 150–166. [Google Scholar] [CrossRef]
- Bandini, F.; Jakobsen, J.; Olesen, D.; Reyna-Gutierrez, J.A.; Bauer-Gottwein, P. Measuring water level in rivers and lakes from lightweight unmanned aerial vehicles. J. Hydrol. 2017, 548, 237–250. [Google Scholar] [CrossRef]
- Li, W.K.; Wu, Y.X.; Huang, Z.M.; Fan, R.; Lv, J.F. Measurement results comparison between Laser Particle Analyzer and Sieving method in particle size distribution. Zhongguo Fenti Jishu 2007, 13, 10–13. [Google Scholar]
- Pedocchi, F.; Garcia, M.H. Acoustic measurement of suspended sediment concentration profiles in an oscillatory boundary layer. Cont. Shelf Res. 2012, 46, 87–95. [Google Scholar] [CrossRef]
- Yu, Q.; Flemming, B.W.; Gao, S. Tide-induced vertical suspended sediment concentration profiles: Phase lag and amplitude attenuation. Ocean Dyn. 2011, 61, 403–410. [Google Scholar] [CrossRef]
- Pitarch, J.; Odermatt, D.; Kawak, M.; Wuest, A. Retrieval of vertical particle concentration profiles by optical remote sensing: A model study. Opt. Express 2014, 22, 947–959. [Google Scholar] [CrossRef] [PubMed]
- Schleiss, A.; Franca, M.J.; Juez, C.; Cesare, G. Reservoir sedimentation. J. Hydraul. Res. 2016, 54, 595–614. [Google Scholar] [CrossRef]
- Togneri, M.; Lewis, M.; Neill, S.; Masters, I. Comparison of ADCP observations and 3D model simulations of turbulence at a tidal energy site. Renew. Energy 2017, 114, 273–282. [Google Scholar] [CrossRef]
- Jin, W.F.; Liang, C.J.; Zhou, B.F.; Li, J.D. Measurement and analysis of high suspended sediment concentration in Jintang channel with vessel-mounted ADCP. J. Mar. Sci. 2009, 27, 31–39. [Google Scholar]
- Merkhali, S.P.; Ehteshami, M.; Sadrnejad, S.A. Assessment quality of a nonuniform suspended sediment transport model under unsteady flow condition (case study: Aras River). Water Environ. J. Promot. Sustain. Solut. 2015, 29, 189–498. [Google Scholar] [CrossRef]
- Eggenhuisen, J.T.; McCaffrey, W.D. The vertical turbulence structure of experimental turbidity currents encountering basal obstructions: Implications for vertical suspended sediment distribution in non-equilibrium currents. Sedimentology 2012, 59, 1101–1120. [Google Scholar] [CrossRef]
- Yuan, Y.; Zhang, X.F.; Duan, G.L. Modifying the channel erosion and deposition amount of Yichang–Jianli reach calculated by sediment discharge method. J. Hydroelectr. Eng. 2014, 33, 163–169. [Google Scholar]
- Duan, G.L.; Peng, Y.B.; Guo, M.J. Comparative analysis on riverbed erosion and deposition amount calculated by different methods. J. Yangtze River Sci. Res. Inst. 2014, 31, 108–118. [Google Scholar]
- Xia, J.Q.; Deng, S.S.; Lu, J.Y.; Xu, Q.X.; Zong, Q.L.; Tan, G.M. Dynamic channel adjustments in the Jingjiang reach of the middle Yangtze River. Sci. Rep. 2016, 6, 22802. [Google Scholar] [CrossRef] [PubMed]
- Li, Y.Y.; Yang, G.S.; Li, B.; Wan, R.R.; Duan, W.L.; He, Z. Quantifying the effects of channel change on the discharge diversion of Jingjiang Three outlets after the operation of the Three Gorges Dam. Hydrol. Res. 2016, 47, 161–174. [Google Scholar] [CrossRef]
















| Stations | Observation Year | No. of Verticals |
|---|---|---|
| Zhicheng | 1996, 1998, 2002 | 55 |
| Shashi | 1996, 1998, 2010, 2011, 2012, 2013 | 130 |
| Jianli | 1986, 1998, 2002, 2010, 2011, 2012, 2013 | 180 |
| River Reach or Hydrological Station | Sa/Savg | Minimum Relative Depth (Reference Height a) | Water Depth (m) | (ω/u∗) | Mean Diameter (mm) | Vertical Averaged Concentration (kg·m−3) | Velocity (m·s−1) | Source | ||
|---|---|---|---|---|---|---|---|---|---|---|
| Maximum Value | Average Value | |||||||||
| Post-reservoir | Shashi | 15.05 | 3.22 | 0.0051 (0.1 m from river bed) | 2.09|19.70 | 0.16|108.89 | 0.0098|0.224 | 0.0052|1.29 | 0.42|2.12 | Field survey |
| Jianli | 14.45 | 4.89 | 0.0047 (0.1 m from river bed) | 2.13|21.2 | 0.13|76.15 | 0.0087|0.220 | 0.015|1.26 | 0.27|2.69 | ||
| Pre-reservoir | Zhicheng | 2.76 | 1.33 | 0.04 | 1.69|52.88 | | | 0.0052|0.0134 | 0.55|1.76 | | | |
| Shashi | 2.30 | 1.35 | 0.018 (0.4 m from river bed) | 4.3|22.6 | 0.08|1.34 | 0.0058|0.0265 | 0.188|1.99 | 0.08|1.34 | ||
| Jianli | 3.62 | 1.57 | 0.019 (0.4 m from river bed) | 3|21.3 | 0.024|12.12 | 0.0037|0.0699 | 0.26|1.71 | 0.17|2.62 | ||
| Changjiang Estuary | 4.33 | 0.044 | | | | | 0.009 | 0.11|0.83 | 0.24|2.04 | [30] | ||
| Oujiangkou and Taizhou sea area | 2.38 | 0.02 | | | | | | | | | | | [31] | ||
| Wuhan and Jiujiang River Reach | 1.32 | 0.19 | 10|25 | 0.007|0.036 | 0.003|0.01 | 0.01|0.1 | | | [32] | ||
| Silty Coast | 2.15 | 0.045 (0.012 m from river bed) | 0.14|1.95 | | | 0.12|0.33 | 1.50|5.30 | | | [33] | ||
| Stations | Post-Reservoir | Pre-Reservoir | ||||
|---|---|---|---|---|---|---|
| Negative | Positive | Negative | Positive | |||
| No. of Verticals | D50 (mm) | No. of Verticals | D50 (mm) | No. of Verticals | No. of Verticals | |
| Shashi | 50 | 0.01–0.06 | 45 | 0.03–0.07 | 29 | 7 |
| Jianli | 76 | 0.06–0.10 | 29 | 0.06–0.10 | 60 | 15 |
| River Reach | Total Sediment Flux 2 (104 m3) | Contribution by Near-Bed Concentration | Contribution by Other Factors | ||
|---|---|---|---|---|---|
| Sediment Flux (104 m3) | Ratio (%) | Sediment Flux (104 m3) | Ratio (%) | ||
| Yichang–Zhicheng | 10,275 | 1267 | 12.33 | 2047 | 19.92 |
| Zhicheng–Shashi | 11,242 | 980 | 8.72 | 4317 | 38.40 |
| Shashi–Jianli | 12,840 | 2303 | 17.94 | 1494 | 11.64 |
© 2018 by the authors. Licensee MDPI, Basel, Switzerland. This article is an open access article distributed under the terms and conditions of the Creative Commons Attribution (CC BY) license (http://creativecommons.org/licenses/by/4.0/).
Share and Cite
He, L.; Chen, D.; Zhang, S.; Liu, M.; Duan, G. Evaluating Regime Change of Sediment Transport in the Jingjiang River Reach, Yangtze River, China. Water 2018, 10, 329. https://doi.org/10.3390/w10030329
He L, Chen D, Zhang S, Liu M, Duan G. Evaluating Regime Change of Sediment Transport in the Jingjiang River Reach, Yangtze River, China. Water. 2018; 10(3):329. https://doi.org/10.3390/w10030329
Chicago/Turabian StyleHe, Li, Dong Chen, Shiyan Zhang, Meng Liu, and Guanglei Duan. 2018. "Evaluating Regime Change of Sediment Transport in the Jingjiang River Reach, Yangtze River, China" Water 10, no. 3: 329. https://doi.org/10.3390/w10030329
APA StyleHe, L., Chen, D., Zhang, S., Liu, M., & Duan, G. (2018). Evaluating Regime Change of Sediment Transport in the Jingjiang River Reach, Yangtze River, China. Water, 10(3), 329. https://doi.org/10.3390/w10030329

