Global Radiative Flux and Cloudiness Variability for the Period 1959–2010 in Belgium: A Comparison between Reanalyses and the Regional Climate Model MAR
Abstract
1. Introduction
2. Data and Methods
2.1. The MAR Model
2.2. Reanalyses
- (1)
- ERA-Interim (horizontal resolution 0.75°; 60 vertical levels from the surface to 0.01 hPa) from the European Centre for Medium-Range Weather Forecasts (ECMWF), which is a third generation reanalysis assimilating most of the available in situ and satellite data [23]. Wyard et al. [47] showed that MAR forced by this reanalysis provides the best daily mean temperature and precipitation amount estimates over Belgium. ERA-Interim data is available from 1979, but we extended this time series by using ERA40 for the period 1958–1978 [26]. ERA40 (horizontal resolution 1.125°; 60 vertical levels) is a second-generation reanalysis, and was the first to assimilate satellite data. The MAR simulation using ERA-Interim/ERA40 as forcing is hereafter referred to as MAR-ERA.
- (2)
- NCEP/NCAR-v1 (horizontal resolution 2.5°; 28 vertical levels from the surface to 0.3 hPa) from the NCEP-NCAR [24]. This first-generation reanalysis assimilates aircraft, rawinsonde, ship, and station data, as well as satellite retrievals. NCEP/NCAR-v1 data are available from 1948. The MAR simulation using NCEP/NCAR-v1 as forcing is hereafter referred to as MAR-NCEP1.
- (3)
- ERA-20C (horizontal resolution 1.125°; 91 vertical levels from the surface to 0.01 hPa) is the first atmospheric reanalysis by ECMWF covering the entire 20th century [25]. This third-generation reanalysis only assimilates surface observations such as pressure and marine winds. ERA-20C is available for 1900–2010. The MAR simulation using this forcing is hereafter referred to as MAR-ERA-20C.
- (4)
- 20CRV2C (horizontal resolution 2°; 28 vertical levels from the surface to 0.3 hPa), the 20th century reanalysis of the National Oceanic and Atmospheric Administration (NOAA) [22]. It is based on an ensemble mean of 56 members assimilating only surface pressure, monthly sea surface temperature, and sea ice cover. 20CRV2C is available for 1900–2010. The MAR simulation using it as forcing is hereafter referred to as MAR-20CRV2C.
2.3. Evaluation Datasets
3. Results and Discussion
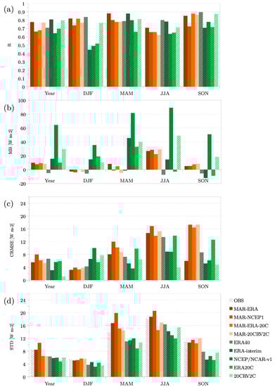
3.1. Comparison of Annual and Seasonal Eg↓ and TCC Observations with the MAR Outputs and Reanalyses
3.2. Trends in Annual Eg↓ and TCC during the Dimming and the Brightening Periods
3.3. Trends in Seasonal Mean Eg↓ and TCC during the Dimming and Brightening Periods
3.4. Origin of Cloudiness Changes
4. Conclusions
Supplementary Materials
Author Contributions
Funding
Acknowledgments
Conflicts of Interest
Appendix A
- tj is the jth year of the time series
- ti is the first year of the time series
- tf is the last year of the time series
- yj is the value of the variable for the year tj
- trend(yj) is the value of the trend of year tj
- mean(t) is the average year of the time series
- k = 1.96 for the 95% confidence interval
References
- Wild, M. Enlightening global dimming and brightening. Bull. Am. Meteorol. Soc. 2012, 93, 27–37. [Google Scholar] [CrossRef]
- Jerez, S.; Tobin, I.; Vautard, R.; Montávez, J.P.; López-Romero, J.M.; Thais, F.; Bartok, B.; Christensen, O.B.; Colette, A.; Déqué, M.; et al. The impact of climate change on photovoltaic power generation in Europe. Nat. Commun. 2015, 6, 10014. [Google Scholar] [CrossRef] [PubMed]
- Gilgen, H.; Wild, M.; Ohmura, A. Means and trends of shortwave irradiance at the surface estimated from global energy balance archive data. J. Clim. 1998, 11, 2042–2061. [Google Scholar] [CrossRef]
- Liepert, B.G. Observed reductions of surface solar radiation at sites in the United States and worldwide from 1961 to 1990. Geophys. Res. Lett. 2002, 29, 61-1–61-4. [Google Scholar] [CrossRef]
- Sanchez-Lorenzo, A.; Wild, M.; Brunetti, M.; Guijarro, J.A.; Hakuba, M.Z.; Calbõ, J.; Mystakidis, S.; Bartok, B. Reassessment and update of long-term trends in downward surface shortwave radiation over Europe (1939–2012). J. Geophys. Res: Atmos. 2015, 120, 9555–9569. [Google Scholar] [CrossRef]
- Stanhill, G.; Cohen, S. Solar radiation changes in Japan during the 20th century: Evidence from sunshine duration measurementes. J. Meteorol. Soc. Jpn. 2008, 86, 57–67. [Google Scholar] [CrossRef]
- Pinker, R.T.; Zhang, B.; Dutton, E.G. Do Satellites Detect Trends in Surface Solar Radiation? Science 2005, 308, 850–854. [Google Scholar] [CrossRef] [PubMed]
- Wild, M.; Gilgen, H.; Roesch, A.; Ohmura, A.; Long, C.N.; Dutton, E.G.; Forgan, B.; Kallis, A.; Russak, V.; Tsvetkov, A. From Dimming to Brightening: Decadal Changes in Solar Radiation at Earth’s Surface. Science 2005, 308, 847–850. [Google Scholar] [CrossRef] [PubMed]
- Chiacchio, M.; Wild, M. Influence of NAO and clouds on long-term seasonal variations of surface solar radiation in Europe. J. Geophys. Res. 2010, 115, D00D22. [Google Scholar] [CrossRef]
- Norris, J.R.; Wild, M. Trends in aerosol radiative effects over Europe inferred from observed cloud cover, solar “dimming,” and solar “brightening”. J. Geophys. Res. 2007, 112, D08214. [Google Scholar] [CrossRef]
- Marmer, E.; Langmann, B.; Fagerli, H.; Vestreng, V. Direct shortwave radiative forcing of sulfate aerosol over Europe from 1900 to 2000. J. Geophys. Res. Atmos. 2007, 112, 1–16. [Google Scholar] [CrossRef]
- Schulz, M.; Textor, C.; Kinne, S.; Balkanski, Y.; Bauer, S.; Berntsen, T.; Berglen, T.; Boucher, O.; Dentener, F.; Guibert, S.; et al. Radiative forcing by aerosols as derived from the AeroCom present-day and pre-industrial simulations. Atmos. Chem. Phys. 2006, 6, 5225–5246. [Google Scholar] [CrossRef]
- Cherian, R.; Quaas, J.; Salzmann, M.; Wild, M. Pollution trends over Europe constrain global aerosol forcing as simulated by climate models. Geophys. Res. Lett. 2014, 41, 2176–2181. [Google Scholar] [CrossRef]
- Yang, X.; Zhao, C.; Zhou, L.; Wang, Y.; Liu, X. Distinct impact of different types of aerosols on surface solar radiation in China. J. Geophys. Res. 2016, 121, 6459–6471. [Google Scholar] [CrossRef]
- Yang, X.; Zhao, C.; Guo, J.; Wang, Y. Intensification of aerosol pollution associated with its feedback with surface solar radiation and winds in Beijing. J. Geophys. Res. 2016, 121, 4093–4099. [Google Scholar] [CrossRef]
- Twomey, S. The Influence of Pollution on the Shortwave Albedo of Clouds. J. Atmos. Sci. 1977, 34, 1149–1152. [Google Scholar] [CrossRef]
- Lohmann, U.; Feichter, J. Global indirect aerosol effects: A review. Atmos. Chem. Phys. 2005, 5, 715–737. [Google Scholar] [CrossRef]
- Wild, M.; Trüssel, B.; Ohmura, A.; Long, C.N.; König-Langlo, G.; Dutton, E.G.; Tsvetkov, A. Global dimming and brightening: An update beyond 2000. J. Geophys. Res. Atmos. 2009, 114, 1–14. [Google Scholar] [CrossRef]
- Roesch, A.; Wild, M.; Ohmura, A.; Dutton, E.G.; Long, C.N.; Zhang, T. Assessment of BSRN radiation records for the computation of monthly means. Atmos. Meas. Tech. 2011, 4, 339–354. [Google Scholar] [CrossRef]
- Bengulescu, M.; Blanc, P.; Boilley, A.; Wald, L. Do modelled or satellite-based estimates of surface solar irradiance accurately describe its temporal variability? Adv. Sci. Res. 2017, 14, 35–48. [Google Scholar] [CrossRef]
- Zhang, X.; Liang, S.; Wild, M.; Jiang, B. Analysis of surface incident shortwave radiation from four satellite products. Remote Sens. Environ. 2015, 165, 186–202. [Google Scholar] [CrossRef]
- Compo, G.P.; Whitaker, J.S.; Sardeshmukh, P.D.; Matsui, N.; Allan, R.J.; Yin, X.; Gleason, B.E.; Vose, R.S.; Rutledge, G.; Bessemoulin, P.; et al. The Twentieth Century Reanalysis Project. Q. J. R. Meteorol. Soc. 2011, 137, 1–28. [Google Scholar] [CrossRef]
- Dee, D.P.; Uppala, S.M.; Simmons, A.J.; Berrisford, P.; Poli, P.; Kobayashi, S.; Andrae, U.; Balmaseda, M.A.; Balsamo, G.; Bauer, P.; et al. The ERA-Interim reanalysis: Configuration and performance of the data assimilation system. Q. J. R. Meteorol. Soc. 2011, 137, 553–597. [Google Scholar] [CrossRef]
- Kalnay, E.; Kanamitsu, M.; Kistler, R.; Collins, W.; Deaven, D.; Gandin, L.; Iredell, M.; Saha, S.; White, G.; Woollen, J.; et al. The NCEP/NCAR 40-year reanalysis project. Bull. Am. Meteorol. Soc. 1996, 77, 437–471. [Google Scholar] [CrossRef]
- Poli, P.; Hersbach, H.; Dee, D.P.; Berrisford, P.; Simmons, A.J.; Vitart, F.; Laloyaux, P.; Tan, D.G.H.; Peubey, C.; Thépaut, J.N.; et al. ERA-20C: An atmospheric reanalysis of the twentieth century. J. Clim. 2016, 29, 4083–4097. [Google Scholar] [CrossRef]
- Uppala, S.M.; KÅllberg, P.W.; Simmons, A.J.; Andrae, U.; Bechtold, V.D.C.; Fiorino, M.; Gibson, J.K.; Haseler, J.; Hernandez, A.; Kelly, G.A.; et al. The ERA-40 re-analysis. Q. J. R. Meteorol. Soc. 2005, 131, 2961–3012. [Google Scholar] [CrossRef]
- Wang, Y.; Zhao, C. Can MODIS cloud fraction fully represent the diurnal and seasonal variations at DOE ARM SGP and Manus sites? J. Geophys. Res. 2017, 122, 329–343. [Google Scholar] [CrossRef]
- Babst, F.; Mueller, R.W.; Hollmann, R. Verification of NCEP reanalysis shortwave radiation with mesoscale remote sensing data. IEEE Geosci. Remote Sens. Lett. 2008, 5, 34–37. [Google Scholar] [CrossRef]
- Allan, R.P.; Ringer, M.A.; Pamment, J.A.; Slingo, A. Simulation of the Earth’s radiation budget by the European centre for medium-range weather forecasts 40-year reanalysis (ERA40). J. Geophys. Res. Atmos. 2004, 109, 1–13. [Google Scholar] [CrossRef]
- Träger-Chatterjee, C.; Müller, R.W.; Trentmann, J.; Bendix, J. Evaluation of ERA-40 and ERA-interim re-analysis incoming surface shortwave radiation datasets with mesoscale remote sensing data. Meteorol. Z. 2010, 19, 631–640. [Google Scholar] [CrossRef]
- Zhang, X.; Liang, S.; Wang, G.; Yao, Y.; Jiang, B.; Cheng, J. Evaluation of the reanalysis surface incident shortwave radiation products from NCEP, ECMWF, GSFC, and JMA using satellite and surface observations. Remote Sens. 2016, 8, 225. [Google Scholar] [CrossRef]
- Flato, G.; Marotzke, J.; Abiodun, B.; Braconnot, P.; Chou, S.C.; Collins, W.; Cox, P.; Driouech, F.; Emori, S.; Eyring, V.; et al. Climate Change 2013—The Physical Science Basis; Intergovernmental Panel on Climate Change, Ed.; Cambridge University Press: Cambridge, UK, 2014; ISBN 9781107415324. [Google Scholar]
- Giorgi, F.; Gutowski, W.J. Regional Dynamical Downscaling and the CORDEX Initiative. Annu. Rev. Environ. Resour. 2015, 40, 467–490. [Google Scholar] [CrossRef]
- Termonia, P.; Van Schaeybroeck, B.; De Cruz, L.; De Troch, R.; Caluwaerts, S.; Giot, O.; Hamdi, R.; Willems, P.; Tabari, H.; Van Uytven, E.; et al. The CORDEX.be initiative as a foundation for climate services in Belgium. Clim. Serv. 2018, in press. [Google Scholar] [CrossRef]
- Gallée, H.; Schayes, G. Development of a Three-Dimensional Meso-γ Primitive Equation Model: Katabatic Winds Simulation in the Area of Terra Nova Bay, Antarctica. Mon. Weather Rev. 1994, 122, 671–685. [Google Scholar] [CrossRef]
- Gallée, H. Simulation of the Mesocyclonic Activity in the Ross Sea, Antarctica. Mon. Weather Rev. 1995, 123, 2051–2069. [Google Scholar] [CrossRef]
- Gallée, H.; Trouvilliez, A.; Agosta, C.; Genthon, C.; Favier, V.; Naaim-bouvet, F. Transport of Snow by the Wind: A Comparison between Observations in Adélie Land, Antarctica, and Simulations Made with the Regional Climate Model MAR. Bound.-Layer Meteorol. 2013, 146, 133–147. [Google Scholar] [CrossRef]
- De Ridder, K.; Gallée, H. Land Surface–Induced Regional Climate Change in Southern Israel. J. Appl. Meteorol. 1998, 37, 1470–1485. [Google Scholar] [CrossRef]
- Bechtold, P.; Bazile, E.; Guichard, F.; Mascart, P.; Richard, E. A mass-flux convection scheme for regional and global models. Q. J. R. Meteorol. Soc. 2001, 127, 869–886. [Google Scholar] [CrossRef]
- Kessler, E. On the Distribution and Continuity of Water Substance in Atmospheric Circulations; Monog, M., Ed.; American Meteorological Society: Boston, MA, USA, 1969. [Google Scholar]
- Lin, Y.-L.; Farley, R.D.; Orville, H.D. Bulk Parameterization of the Snow Field in a Cloud Model. J. Clim. Appl. Meteorol. 1983, 22, 1065–1092. [Google Scholar] [CrossRef]
- Meyers, M.P.; DeMott, P.J.; Cotton, W.R. New Primary Ice-Nucleation Parameterizations in an Explicit Cloud Model. J. Appl. Meteorol. 1992, 31, 708–721. [Google Scholar] [CrossRef]
- Levkov, L.; Rockel, B.; Kapitza, H.; Raschke, E. 3D mesoscale numerical studies of cirrus and stratus clouds by their time and space evolution. Contrib. Atmos. Phys. 1992, 65, 35–58. [Google Scholar]
- Morcrette, J.-J. Assessment of the ECMWF Model Cloudiness and Surface Radiation Fields at the ARM SGP Site. Mon. Weather Rev. 2002, 130, 257–277. [Google Scholar] [CrossRef]
- Tegen, I.; Hollrig, P.; Chin, M.; Fung, I.; Jacob, D.; Penner, J. Contribution of different aerosol species to the global aerosol extinction optical thickness: Estimates from model results. J. Geophys. Res. 1997, 102, 23895. [Google Scholar] [CrossRef]
- Fettweis, X.; Box, J.E.; Agosta, C.; Amory, C.; Kittel, C.; Lang, C.; van As, D.; Machguth, H.; Gallée, H. Reconstructions of the 1900–2015 Greenland ice sheet surface mass balance using the regional climate MAR model. Cryosphere 2017, 11, 1015–1033. [Google Scholar] [CrossRef]
- Wyard, C.; Scholzen, C.; Fettweis, X.; Van Campenhout, J.; François, L. Decrease in climatic conditions favouring floods in the south-east of Belgium over 1959–2010 using the regional climate model MAR. Int. J. Clim. 2017, 37, 2782–2796. [Google Scholar] [CrossRef]
- Hofer, S.; Tedstone, A.J.; Fettweis, X.; Bamber, J.L. Decreasing cloud cover drives the recent mass loss on the Greenland Ice Sheet. Sci. Adv. 2017, 3, e1700584. [Google Scholar] [CrossRef] [PubMed]
- Fettweis, X.; Wyard, C.; Doutreloup, S.; Belleflamme, A. Noël 2010 en Belgique: Neige en Flandre et pluie en Haute-Ardenne. Bulletin de la Société Géographique de Liège 2017, 68, 97–107. [Google Scholar]
- Gelaro, R.; McCarty, W.; Suárez, M.J.; Todling, R.; Molod, A.; Takacs, L.; Randles, C.A.; Darmenov, A.; Bosilovich, M.G.; Reichle, R.; et al. The modern-era retrospective analysis for research and applications, version 2 (MERRA-2). J. Clim. 2017, 30, 5419–5454. [Google Scholar] [CrossRef]
- Wild, M.; Ohmura, A.; Schär, C.; Müller, G.; Folini, D.; Schwarz, M.; Zyta Hakuba, M.; Sanchez-Lorenzo, A. The Global Energy Balance Archive (GEBA) version 2017: A database for worldwide measured surface energy fluxes. Earth Syst. Sci. Data 2017, 9, 601–613. [Google Scholar] [CrossRef]
- Journée, M.; Bertrand, C. Improving the spatio-temporal distribution of surface solar radiation data by merging ground and satellite measurements. Remote Sens. Environ. 2010, 114, 2692–2704. [Google Scholar] [CrossRef]
- Markovic, M.; Jones, C.G.; Winger, K.; Paquin, D. The surface radiation budget over North America: Gridded data assessment and evaluation of regional climate models. Int. J. Clim. 2009, 29, 2226–2240. [Google Scholar] [CrossRef]
- Alexandri, G.; Georgoulias, A.K.; Zanis, P.; Katragkou, E.; Tsikerdekis, A.; Kourtidis, K.; Meleti, C. On the ability of RegCM4 regional climate model to simulate surface solar radiation patterns over Europe: An assessment using satellite-based observations. Atrmos. Chem. Phys. 2015, 15, 13195–13216. [Google Scholar] [CrossRef]
- Fan, T.; Zhao, C.; Dong, X.; Liu, X.; Yang, X.; Zhang, F.; Shi, C.; Wang, Y.; Wu, F. Quantify contribution of aerosol errors to cloud fraction biases in CMIP5 Atmospheric Model Intercomparison Project simulations. Int. J. Clim. 2018, 1–17. [Google Scholar] [CrossRef]
- Wild, M. Global dimming and brightening: A review. J. Geophys. Res. 2009, 114, D00D16. [Google Scholar] [CrossRef]
- Snedecor, G.; Cochran, W. Statistical Methods, 6th ed.; Iowa State: Ames, IA, USA, 1967. [Google Scholar]
- Royal Meteorological Institure (RMI). Vigilance Climatique; Gellens, D., Ed.; Royal Meteorological Institure of Belgium: Brussels, Belgium, 2015; ISBN 02008/0224/049. [Google Scholar]
- De Bock, V.; De Backer, H.; Van Malderen, R.; Mangold, A.; Delcloo, A. Relations between erythemal UV dose, global solar radiation, total ozone column and aerosol optical depth at Uccle, Belgium. Atmos. Chem. Phys. 2014, 14, 12251–12270. [Google Scholar] [CrossRef]
- Sliggers, J.; Kakebeeke, W. Clearing the Air: 25 Years of the Convention on Long-Range Transboundary Air Pollution; Sliggers, J., Kakebeeke, W., Eds.; The United Nations: Geneva, NY, USA, 2004; ISBN 92-1-116910-0. [Google Scholar]
- Forster, P.; Lohmann, U.; Flanner, M.; Robock, A.; Wyant, M. Clouds and aerosols. In Climate Change 2013 the Physical Science Basis: Working Group I Contribution to the Fifth Assessment Report of the Intergovernmental Panel on Climate Change; Cambridge University Press: New York, NY, USA, 2013; pp. 571–658. ISBN 978-1-10705-7. [Google Scholar]
- Eastman, R.; Warren, S.G. A 39-yr survey of cloud changes from land stations worldwide 1971–2009: Long-term trends, relation to aerosols, and expansion of the tropical belt. J. Clim. 2013, 26, 1286–1303. [Google Scholar] [CrossRef]
- Mateos, D.; Antón, M.; Cachorro, V.E.; Calbó, J.; Costa, M.J.; Torres, B.; Wild, M. Quantifying the respective roles of aerosols and clouds in the strong brightening since the early 2000s over the Iberian Peninsula. J. Geophys. Res. Atmos. 2014, 119, 10 382–10 393. [Google Scholar] [CrossRef]
- Sanchez-Lorenzo, A.; Enriquez-Alonso, A.; Wild, M.; Trentmann, J.; Vicente-Serrano, S.M.; Sanchez-Romero, A.; Posselt, R.; Hakuba, M.Z. Trends in downward surface solar radiation from satellites and ground observations over Europe during 1983–2010. Remote Sens. Environ. 2017, 189, 108–117. [Google Scholar] [CrossRef]
- Pfeifroth, U.; Bojanowski, J.S.; Clerbaux, N.; Manara, V.; Sanchez-lorenzo, A.; Walawender, J.P.; Hollmann, R. Satellite-based trends of solar radiation and cloud parameters in Europe. Adv. Sci. Res. 2018, 15, 31–37. [Google Scholar] [CrossRef]
- Bender, F.A.M.; Ramanathan, V.; Tselioudis, G. Changes in extratropical storm track cloudiness 1983–2008: Observational support for a poleward shift. Clim. Dyn. 2012, 38, 2037–2053. [Google Scholar] [CrossRef]
- Belleflamme, A.; Fettweis, X.; Erpicum, M. Do global warming-induced circulation pattern changes affect temperature and precipitation over Europe during summer? Int. J. Clim. 2014, 1499, 1484–1499. [Google Scholar] [CrossRef]
- Bednorz, E.; Kaczmarek, D.; Dudlik, P. Atmospheric conditions governing anomalies of the summer and winter cloudiness in Spitsbergen. Theor. Appl. Climatol. 2016, 123, 1–10. [Google Scholar] [CrossRef]
- Łupikasza, E.; Lipiński, O. Cloud cover over Spitsbergen and its relation to atmospheric circulation (1983–2015). Geogr. Pol. 2017, 90, 21–38. [Google Scholar] [CrossRef]









| Station | Coordinates | Variable | Length | Percentage of Gaps | Source |
|---|---|---|---|---|---|
| Bierset | (50.65° N; 5.45° E) | TCC | 1966–2014 | 0.5% | Belgocontrol |
| Melle | (50.98° N; 3.83° E) | Eg↓ | 1968–2008 | 4.9% | GEBA |
| Melle | (50.98° N; 3.83° E) | Eg↓ | 1967–2014 | 5.9% | RMIB |
| Middlekerk | (51.20° N; 2.87° E) | Eg↓ | 1975–2014 | 3.7% | RMIB |
| Oostende | (51.20° N; 2.87° E) | TCC | 1966–2014 | 25.8% | RMIB |
| Oostende | (51.20° N; 2.87° E) | Eg↓ | 1975–2007 | 2.5% | GEBA |
| Saint-Hubert | (50.04° N; 5.40° E) | Eg↓ | 1968–2007 | 3.7% | GEBA |
| Saint-Hubert | (50.04° N; 5.40° E) | Eg↓ | 1962–2014 | 4.7% | RMIB |
| Saint-Hubert | (50.04° N; 5.40° E) | TCC | 1966–2014 | 0.8% | RMIB |
| Uccle | (50.80° N; 4.36° E) | Eg↓ | 1961–2011 | 0.6% | GEBA |
| Uccle | (50.80° N; 4.36° E) | Eg↓ | 1951–2014 | 0% | RMIB |
| Uccle | (50.80° N; 4.36° E) | TCC | 1966–2010 | 16% | RMIB |
| Eg↓ [W m−2] | TCC [%] | |||||||
|---|---|---|---|---|---|---|---|---|
| 1959–1979 | 1980–2010 | 1959–1979 | 1980–2010 | |||||
| Trend [decade−1] | Range [decade−1] | Trend [decade−1] | Range [decade−1] | Trend [decade−1] | Range [decade−1] | Trend [decade−1] | Range [decade−1] | |
| OBS | (−12.9) | (15.0) | +6.2 | 3.0 | (−0.1) | (5.3) | +2.0 | 2.2 |
| MAR-ERA | −10.4 (+0.2) | 6.3 (9.5) | +3.8 | 2.7 | +7.10 (−0.1) | 3.0 (3.1) | −1.3 | 1.2 |
| MAR-NCEP1 | −1.6 (−9.6) | 5.5 (10.1) | +7.9 | 2.8 | −0.5 (+1.9) | 2.3 (4.8) | −5.9 | 1.4 |
| MAR-ERA-20C | −0.2 (−1.6) | 5.0 (9.5) | −1.6 | 2.9 | −0.3 (+1.6) | 2.5 (4.9) | +0.2 | 1.3 |
| MAR-20CRV2C | −1.2 (−2.5) | 5.3 (9.9) | +0.2 | 2.7 | +0.3 (+2.0) | 3.1 (6.1) | −0.7 | 1.5 |
| ERA40/ERA-Interim | −5.8 (+0.1) | 5.3 (8.3) | +1.7 | 2.2 | +5.8 (+0.9) | 3.2 (4.7) | −1.3 | 1.5 |
| NCEP1 | −2.4 (+2.9) | 4.2 (6.7) | +2.1 | 1.9 | n.a. | n.a. | n.a. | n.a. |
| ERA20C | −0.5 (−0.3) | 3.9 (6.9) | +0.001 | 2.0 | +1.1 (+0.1) | 2.7 (4.7) | +0.5 | 1.3 |
| 20CRV2C | −0.8 (+2.7) | 4.5 (8.6) | +1.7 | 2.3 | n.a. | n.a. | n.a. | n.a. |
| ERA40/ERA-Interim | 1959–1979 | 1980–2010 | ||
|---|---|---|---|---|
| Trends [decade−1] | Range [decade−1] | Trends [decade−1] | Range [decade−1] | |
| TA700 [°C] | −0.2 | 0.4 | 0.1 | 0.2 |
| TA500 [°C] | −0.3 | 0.3 | 0.2 | 0.2 |
| HUS700 [g/kg] | 0.1 | 0.1 | −0.02 | 0.03 |
| HUS500 [g/kg] | 0.05 | 0.04 | −0.005 | 0.01 |
| HUR700 [%] | 4.1 | 2.7 | −1.3 | 1.1 |
| HUR500 [%] | 5.4 | 2.9 | −1.1 | 0.9 |
| NCEP/NCAR-v1 | Trends [decade−1] | Range [decade−1] | Trends [decade−1] | Range [decade−1] |
| TA700 [°C] | −0.1 | 0.4 | 0.2 | 0.2 |
| TA500 [°C] | −0.2 | 0.3 | 0.2 | 0.2 |
| HUS700 [g/kg] | 0.05 | 0.1 | −0.03 | 0.04 |
| HUS500 [g/kg] | 0.01 | 0.02 | −0.004 | 0.01 |
| HUR700 [%] | 1.6 | 2.1 | −1.5 | 1.0 |
| HUR500 [%] | 2.8 | 2.1 | −1.5 | 0.9 |
| ERA20C | Trends [decade−1] | Range [decade−1] | Trends [decade−1] | Range [decade−1] |
| TA700 [°C] | −0.2 | 0.4 | 0.3 | 0.2 |
| TA500 [°C] | −0.1 | 0.3 | 0.3 | 0.2 |
| HUS700 [g/kg] | −0.02 | 0.1 | 0.05 | 0.03 |
| HUS500 [g/kg] | −0.02 | 0.1 | 0.02 | 0.01 |
| HUR700 [%] | 0.8 | 1.8 | −0.1 | 0.9 |
| HUR500 [%] | 0.1 | 1.8 | −0.1 | 0.8 |
| 20CRV2C | Trends [decade−1] | Range [decade−1] | Trends [decade−1] | Range [decade−1] |
| TA700 [°C] | −0.2 | 0.45 | 0.2 | 0.2 |
| TA500 [°C] | −0.2 | 0.3 | 0.3 | 0.2 |
| HUS700 [g/kg] | −0.01 | 0.1 | 0.03 | 0.04 |
| HUS500 [g/kg] | −0.02 | 0.03 | 0.015 | 0.02 |
| HUR700 [%] | 1.2 | 2.0 | −0.4 | 0.9 |
| HUR500 [%] | 0.04 | 1.7 | −0.3 | 0.9 |
© 2018 by the authors. Licensee MDPI, Basel, Switzerland. This article is an open access article distributed under the terms and conditions of the Creative Commons Attribution (CC BY) license (http://creativecommons.org/licenses/by/4.0/).
Share and Cite
Wyard, C.; Doutreloup, S.; Belleflamme, A.; Wild, M.; Fettweis, X. Global Radiative Flux and Cloudiness Variability for the Period 1959–2010 in Belgium: A Comparison between Reanalyses and the Regional Climate Model MAR. Atmosphere 2018, 9, 262. https://doi.org/10.3390/atmos9070262
Wyard C, Doutreloup S, Belleflamme A, Wild M, Fettweis X. Global Radiative Flux and Cloudiness Variability for the Period 1959–2010 in Belgium: A Comparison between Reanalyses and the Regional Climate Model MAR. Atmosphere. 2018; 9(7):262. https://doi.org/10.3390/atmos9070262
Chicago/Turabian StyleWyard, Coraline, Sébastien Doutreloup, Alexandre Belleflamme, Martin Wild, and Xavier Fettweis. 2018. "Global Radiative Flux and Cloudiness Variability for the Period 1959–2010 in Belgium: A Comparison between Reanalyses and the Regional Climate Model MAR" Atmosphere 9, no. 7: 262. https://doi.org/10.3390/atmos9070262
APA StyleWyard, C., Doutreloup, S., Belleflamme, A., Wild, M., & Fettweis, X. (2018). Global Radiative Flux and Cloudiness Variability for the Period 1959–2010 in Belgium: A Comparison between Reanalyses and the Regional Climate Model MAR. Atmosphere, 9(7), 262. https://doi.org/10.3390/atmos9070262

