Development of a Distributed Modeling Framework to Estimate Thermal Comfort along 2020 Tokyo Olympic Marathon Course
Abstract
1. Introduction
2. Materials and Methods
2.1. COMFA
2.2. Distributed COMFA (D-COMFA)
2.2.1. Street Structure
2.2.2. Sky View Factor (SVF)
2.2.3. Shade
2.2.4. Albedo
2.2.5. Temperature Adjustment
2.3. Study Site
3. Results and Discussions
3.1. SVF Effects
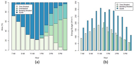
3.2. Shade Effects
3.3. Temperature Effects
3.4. Limitations and Advantages of the Modeling System
4. Conclusions
Author Contributions
Acknowledgments
Conflicts of Interest
References
- Olimpismo. Olympic Movement’s Agenda 21. In Sport for Sustainable Development; IOC: Lausanne, Switzerland, 1999; p. 50. [Google Scholar]
- IOC Commission for Sport and Environment. Sustainability Through Sport; IOC: Lausanne, Switzerland, 2012. [Google Scholar]
- Ruiz, A.; Inef, L.; Prat, J.A. Climatic Heat Stress Studies at the Barcelona Olympic Games, 1992. Sports Med. Train. Rehabil. 1995, 6, 167–192. [Google Scholar]
- Martin, D.E. Climatic Heat Stress Studies at the Atlanta 1996 Olympic Stadium Venue, 1992–1995. Sports Med. Train. Rehabil. 1996, 6, 249–267. [Google Scholar] [CrossRef]
- Peiser, B.; Reilly, T. Environmental Factors in the Summer Olympics in Historical Perspective. J. Sports Sci. 2004, 22, 981–1001. [Google Scholar] [CrossRef] [PubMed]
- Kottek, M.; Grieser, J.; Beck, C.; Rudolf, B.; Rubel, F. World Map of the Köppen-Geiger Climate Classification Updated. Meteorol. Z. 2006, 15, 259–263. [Google Scholar] [CrossRef]
- Cheng, V.; Ng, E. Thermal Comfort in Urban Open Spaces for Hong Kong. Archit. Sci. Rev. 2006, 49, 236–242. [Google Scholar] [CrossRef]
- Ng, E.; Cheng, V. Urban Human Thermal Comfort in Hot and Humid Hong Kong. Energy Build. 2012, 55, 51–65. [Google Scholar] [CrossRef]
- Hwang, R.L.; Lin, T.P.; Cheng, M.J.; Lo, J.H. Adaptive Comfort Model for Tree-Shaded Outdoors in Taiwan. Build. Environ. 2010, 45, 1873–1879. [Google Scholar] [CrossRef]
- Hien, W.N.; Kardinal Jusuf, S.; Samsudin, R.; Eliza, A.; Ignatius, M. A Climatic Responsive Urban Planning Model for High Density City: Singapore’s Commercial District. Int. J. Sustain. Build. Technol. Urban Dev. 2011, 2, 323–330. [Google Scholar] [CrossRef]
- Yang, W.; Wong, N.H.; Jusuf, S.K. Thermal Comfort in Outdoor Urban Spaces in Singapore. Build. Environ. 2013, 59, 426–435. [Google Scholar] [CrossRef]
- Givoni, B.; Noguchi, M.; Saaroni, H.; Pochter, O.; Yaacov, Y.; Feller, N.; Becker, S. Outdoor Comfort Research Issues. Energy Build. 2003, 35, 77–86. [Google Scholar] [CrossRef]
- Givoni, B.; Noguchi, M. Outdoor Comfort Responses of Japanese Persons. In Proceedings of the 21th Conference Passive Low Energy Architecture, Eindhoven, The Netherlands, 19–22 September 2004. [Google Scholar]
- Thorsson, S.; Honjo, T.; Lindberg, F.; Eliasson, I.; Lim, E.M. Thermal Comfort and Outdoor Activity in Japanese Urban Public Places. Environ. Behav. 2007, 39, 660–684. [Google Scholar] [CrossRef]
- Ministry of the Environment. Promotion Method of Effective Heat Island Measures. Available online: https://www.env.go.jp/air/life/heat_island/guideline/h24/chpt2.pdf (accessed on 1 March 2018). (In Japanese)
- Tokyo Metropolitan Government (TMG) Bureau of the Environment. Verification of the Introduction of Fine Mist to the Metropolitan Bus Stop. Available online: http://www.kankyo.metro.tokyo.jp/climate/other/06-3busstop_mist.pdf (accessed on 1 March 2018). (In Japanese).
- Tokyo Metropolitan Government (TMG) Bureau of the Environment. Improvement of Pavement with Road Surface Temperature Rise Suppression Function. Available online: http://www.kankyo.metro.tokyo.jp/climate/other/03-1kensetsu_shiryo.pdf (accessed on 1 March 2018). (In Japanese).
- Tokyo Metropolitan Government (TMG) Bureau of the Environment. Measures Against Summer Heat by Enlarging the Canopy of Street Trees. Available online: http://www.kankyo.metro.tokyo.jp/climate/other/03-2kensetsu_shiryo.pdf (accessed on 1 May 2018). (In Japanese).
- Coutts, A.M.; White, E.C.; Tapper, N.J.; Beringer, J.; Livesley, S.J. Temperature and Human Thermal Comfort Effects of Street Trees across Three Contrasting Street Canyon Environments. Theor. Appl. Climatol. 2016, 126, 815. [Google Scholar] [CrossRef]
- Ng, E.; Chen, L.; Wang, Y.; Yuan, C. A Study on the Cooling Effects of Greening in a High-Density City: An Experience from Hong Kong. Build. Environ. 2012, 47, 256–271. [Google Scholar] [CrossRef]
- Sugawara, H.; Shimizu, S.; Takahashi, H.; Hagiwara, S.; Narita, K.; Mikami, T.; Hirano, T. Thermal Influence of a Large Green Space on a Hot Urban Environment. J. Environ. Qual. 2016, 45, 125. [Google Scholar] [CrossRef] [PubMed]
- ENVI-Met. Available online: http://www.envi-met.com/ (accessed on 25 April 2018).
- Huttner, S.; Bruse, M.; Dostal, P. Using ENVI-Met to Simulate the Impact of Global Warming on the Mi-Croclimate in Central European Cities. In Proceedings of the 5th Japanese-German Meeting on Urban Climatology, Freiburg im Breisgau, Germany, 6–8 October 2008. [Google Scholar]
- Morakinyo, T.E.; Lam, Y.F. Simulation Study on the Impact of Tree-Configuration, Planting Pattern and Wind Condition on Street-Canyon’s Micro-Climate and Thermal Comfort. Build. Environ. 2016, 103, 262–275. [Google Scholar] [CrossRef]
- Lee, H.; Mayer, H.; Chen, L. Contribution of Trees and Grasslands to the Mitigation of Human Heat Stress in a Residential District of Freiburg, Southwest Germany. Landsc. Urban Plan. 2016, 148, 37–50. [Google Scholar] [CrossRef]
- Salata, F.; Golasi, I.; Petitti, D.; de Lieto Vollaro, E.; Coppi, M.; de Lieto Vollaro, A. Relating Microclimate, Human Thermal Comfort and Health during Heat Waves: An Analysis of Heat Island Mitigation Strategies through a Case Study in an Urban Outdoor Environment. Sustain. Cities Soc. 2017, 30, 79–96. [Google Scholar] [CrossRef]
- Wang, Y.; Berardi, U.; Akbari, H. Comparing the Effects of Urban Heat Island Mitigation Strategies for Toronto, Canada. Energy Build. 2016, 114, 2–19. [Google Scholar] [CrossRef]
- Yang, S.R.; Lin, T.P. An Integrated Outdoor Spaces Design Procedure to Relieve Heat Stress in Hot and Humid Regions. Build. Environ. 2016, 99, 149–160. [Google Scholar] [CrossRef]
- Brown, R.D.; Gillespie, T.J. Estimating Outdoor Thermal Comfort Using a Cylindrical Radiation Thermometer and an Energy Budget Model. Int. J. Biometeorol. 1986, 30, 43–52. [Google Scholar] [CrossRef] [PubMed]
- Brown, R.D.; Gillespie, T.G. Microclimatic Landscape Design: Creating Thermal Comfort and Energy Efficienc; John Wiley & Sons, Inc.: New York, NY, USA, 1995. [Google Scholar]
- Kenny, N.A.; Warland, J.S.; Brown, R.D.; Gillespie, T.G. Part A: Assessing the Performance of the Comfa Outdoor Thermal Comfort Model on Subjects Performing Physical Activity. Int. J. Biometeorol. 2009, 53, 415–428. [Google Scholar] [CrossRef] [PubMed]
- Kenny, N.A.; Warland, J.S.; Brown, R.D.; Gillespie, T.G. Part B: Revisions to the COMFA Outdoor Thermal Comfort Model for Application to Subjects Performing Physical Activity. Int. J. Biometeorol. 2009, 53, 429–441. [Google Scholar] [CrossRef] [PubMed]
- Vanos, J.K.; Warland, J.S.; Gillespie, T.J.; Kenny, N.A. Improved Predictive Ability of Climate-Human-Behaviour Interactions with Modifications to the COMFA Outdoor Energy Budget Model. Int. J. Biometeorol. 2012, 56, 1065–1074. [Google Scholar] [CrossRef] [PubMed]
- Vanos, J.K.; Warland, J.S.; Gillespie, T.J.; Kenny, N.A. Thermal Comfort Modelling of Body Temperature and Psychological Variations of a Human Exercising in an Outdoor Environment. Int. J. Biometeorol. 2012, 56, 21–32. [Google Scholar] [CrossRef] [PubMed]
- Systems Research and Development Institute of Japan. 1998 Ministry of the Environment Contract Work Report: Study on Countermeasures against Heat Island Phenomenon. 1999. Available online: http://www.env.gov.jp/air/report/h20-04 (accessed on 29 May 2018). (In Japanese)
- Grimmond, C.S.B.; Potter, S.K.; Zutter, H.N.; Souch, C. Rapid Methods to Estimate Sky View Factors Applied to Urban Areas. Int. J. Clim. 2001, 21, 903–913. [Google Scholar] [CrossRef]
- Lillesand, T.; Kiefer, R.; Chipman, J. Concepts and Foundations of Remote Sensing. In Remote Sensing and Image Interpretation; Lillesand, T., Kiefer, R., Chipman, J., Eds.; John Wiley & Sons, Inc.: New York, NY, USA, 2004; pp. 1–57. [Google Scholar]
- Kenny, N.A.; Warland, J.S.; Brown, R.D.; Gillespie, T.G. Estimating the Radiation Absorbed by a Human. Int. J. Biometeorol. 2008, 52, 491–503. [Google Scholar] [CrossRef] [PubMed]
- I-Tree: Tools for Assessing and Managing Forests & Community Trees. Available online: http://www.itreetools.org/ (accessed on 28 May 2018).
- ArcGIS. Available online: https://www.arcgis.com/features/index.html (accessed on 25 April 2018).
- Welcome to Python.org. Available online: https://www.python.org/ (accessed on 25 April 2018).
- Gál, T.; Lindberg, F.; Unger, J. Computing Continuous Sky View Factors Using 3D Urban Raster and Vector Databases: Comparison and Application to Urban Climate. Theor. Appl. Climatol. 2009, 95, 111–123. [Google Scholar] [CrossRef]
- Chen, L.; Ng, E.; An, X.; Ren, C.; Lee, M.; Wang, U.; He, Z. Sky View Factor Analysis of Street Canyons and Its Implications for Daytime Intra-Urban Air Temperature Differentials in High-Rise, High-Density Urban Areas of Hong Kong: A GIS-Based Simulation Approach. Int. J. Climatol. 2012, 32, 121–136. [Google Scholar] [CrossRef]
- International Organization for Standardization. ISO 7726: Ergonomics of the Thermal Environment—Instruments for Measuring Physical Quantities, 2nd ed.; International Organization for Standardization (ISO): Geneva, Switzerland, 1998. [Google Scholar]
- Meeus, J. Astronomical Algorithms, 2nd ed.; Wollmann-Bell, Inc.: Richmond, Virginia, 1999. [Google Scholar]
- Nowak, D.J.; Crane, D.E.; Stevens, J.C.; Hoehn, R.E.; Walton, J.T.; Bond, J. A Ground-Based Method of Assessing Urban Forest Structure and Ecosystem Services. Arboric. Urban For. 2008, 34, 347–358. [Google Scholar]
- Iqbal, M. An Introduction to Solar Radiation; Academic: San Diego, CA, USA, 2012. [Google Scholar]
- Shu, M.; Hioki, Y. Comparison of Thermal Environment Improvement Effect for Parking Lots between Different Types OfGreening. J. Jpn. Soc. Reveg. Technol. 2011, 37, 318–329. [Google Scholar] [CrossRef][Green Version]
- Teshirogi, J.; Takayanagi, K.; Iguchi, Y.; Kariya, T.; Handa, M. Study on the Positive Effects of Creating Shaded Areas of Greenery in Urban Environments during the Hot Summer Season, Both from the Perspective of Cooling the Environment Itself and Also from a Medical Perspective. Landsc. Res. Jpn. 2009, 72, 875–878. [Google Scholar] [CrossRef][Green Version]
- Past Weather Data Download. Available online: http://www.data.jma.go.jp/gmd/risk/obsdl/index.php (accessed on 9 October 2017).
- Data Collection on Solar Radiation and Infrared Radiation. Available online: http://www.data.jma.go.jp/gmd/env/radiation/data_rad.html (accessed on 11 December 2017).
- John Wainwright and Mark Mulligan. Modelling and Model Building. In Environmental Modelling: Finding Simplicity in Complexity; Mulligan, M., Wainwright, J., Eds.; John Wiley & Sons, Inc.: Hoboken, NJ, USA, 2004; pp. 7–73. [Google Scholar]
- Hirabayashi, S.; Kroll, C.N.; Nowak, D.J. Development of a Distributed Air Pollutant Dry Deposition Modeling Framework. Environ. Pollut. 2012, 171, 9–17. [Google Scholar] [CrossRef] [PubMed]
- Prihodko, L.; Goward, S.N. Estimation of Air Temperature from Remotely Sensed Surface Observations. Remote Sens. Environ. 1997, 60, 335–346. [Google Scholar] [CrossRef]
- Weyhenmeyer, G.A.; MacKay, M.; Stockwell, J.D.; Thiery, W.; Grossart, H.P.; Augusto-Silva, P.B.; Baulch, H.M.; Eyto, E.; De Hejzlar, J.; Kangur, K.; et al. Citizen Science Shows Systematic Changes in the Temperature Difference between Air and Inland Waters with Global Warming. Sci. Rep. 2017, 7, 1–9. [Google Scholar] [CrossRef] [PubMed]
- Vancutsem, C.; Ceccato, P.; Dinku, T.; Connor, S.J. Evaluation of MODIS Land Surface Temperature Data to Estimate Air Temperature in Different Ecosystems over Africa. Remote Sens. Environ. 2010, 114, 449–465. [Google Scholar] [CrossRef]
- Heisler, G.M. Mean Wind Speed below Building Height in Residential Neighborhoods with Different Tree Different Tree Densities. ASHRAE Trans. 1990, 96, 1389–1396. [Google Scholar]
- Park, S.; Tuller, S.E. Advanced View Factor Analysis Method for Radiation Exchange. Int. J. Biometeorol. 2014, 58, 161–178. [Google Scholar] [CrossRef] [PubMed]
- Middel, A.; Lukasczyk, J.; Maciejewski, R. Sky View Factors from Synthetic Fisheye Photos for Thermal Comfort Routing—A Case Study in Phoenix, Arizona. Urban Plan. 2017, 2, 19. [Google Scholar] [CrossRef]









| Parameters | Spatially Distributed | Energy Budget Components | ||||||
|---|---|---|---|---|---|---|---|---|
| Not Employed | Employed | |||||||
| human | Activity | M | ||||||
| Clothing | Conv | Evap | TRemit | |||||
| skin temperature | Conv | Evap | TRemit | |||||
| weather | air temperature | × | M | V | Conv | TRemit | ||
| relative humidity | × | M | Evap | |||||
| wind speed | × | Conv | Evap | |||||
| surface objects’ temperature | × | F | ||||||
| ground temperature | × | G | ||||||
| dew point temperature | × | Evap | ||||||
| air pressure | × | Evap | ||||||
| direct solar radiation | × | T | ||||||
| diffuse solar radiation | × | D | ||||||
| global solar radiation | × | R | ||||||
| location | shade | × | T, R | |||||
| sky view factor | × | D, V | ||||||
| wall view factor | × | S, F | ||||||
| albedo | ground cover | × | R | |||||
| surface object | × | S | ||||||
| human body | T, D, V, S, F, R, G | |||||||
| Hour | Temperature 1 (°C) | Wind Speed 1 (m s−1) | Relative Humidity 1 (%) | Sky Cover 1 | Sky Cover 2 | Direct Solar Radiation 2 (W m−2) | Diffuse Solar Radiation 2 (W m−2) | Solar Elevation Angle 3 (°) |
|---|---|---|---|---|---|---|---|---|
| 7:00 | 27.7 | 1.8 | 73 | Scattered | Broken | 128 | 269 | 23.9 |
| 8:00 | 29.9 | 1.6 | 63 | Scattered | Broken | 181 | 339 | 36.0 |
| 9:00 | 33.5 | 4.5 | 47 | Scattered | Broken | 203 | 308 | 48.0 |
| 10:00 | 35.6 | 4.4 | 45 | Scattered | Broken | 533 | 317 | 59.0 |
| 11:00 | 35.8 | 4.1 | 41 | Scattered | Clear | 447 | 425 | 67.5 |
| 12:00 | 36.5 | 5.8 | 36 | Clear | Broken | 450 | 306 | 69.8 |
| 13:00 | 37.3 | 4.2 | 38 | Clear | Clear | 622 | 222 | 64.2 |
| 14:00 | 37.1 | 4.5 | 37 | Clear | Clear | 722 | 142 | 54.2 |
| 15:00 | 36.2 | 6.2 | 38 | Clear | Clear | 497 | 156 | 42.6 |
| 16:00 | 34.7 | 6.1 | 40 | Clear | Clear | 606 | 114 | 30.6 |
| 17:00 | 34.5 | 5.0 | 40 | Clear | Clear | 278 | 61.1 | 18.4 |
| 18:00 | 34 | 5.5 | 38 | Clear | Clear | 41.7 | 11.1 | 6.4 |
| Parameter | Sunlit Cells | Building Shaded | Tree Shaded |
|---|---|---|---|
| SVF | 0.63 | 0.35 | 0.54 |
| M | 113 | 113 | 113 |
| T | 44 | 0 | 5.7 |
| D | 70 | 39 | 61 |
| V | 117 | 65 | 101 |
| S | 2.9 | 7.5 | 2.2 |
| F | 63 | 102 | 78 |
| R | 32 | 0 | 4.2 |
| G | 253 | 212 | 211 |
| Conv | 0.25 | 2.7 | 2.4 |
| TRemit | 397 | 395 | 395 |
| Evap | -2.2 | 3.4 | 2.7 |
| EB | 299 | 137 | 175 |
© 2018 by the authors. Licensee MDPI, Basel, Switzerland. This article is an open access article distributed under the terms and conditions of the Creative Commons Attribution (CC BY) license (http://creativecommons.org/licenses/by/4.0/).
Share and Cite
Hirabayashi, S.; Abe, T.; Imamura, F.; Morioka, C. Development of a Distributed Modeling Framework to Estimate Thermal Comfort along 2020 Tokyo Olympic Marathon Course. Atmosphere 2018, 9, 210. https://doi.org/10.3390/atmos9060210
Hirabayashi S, Abe T, Imamura F, Morioka C. Development of a Distributed Modeling Framework to Estimate Thermal Comfort along 2020 Tokyo Olympic Marathon Course. Atmosphere. 2018; 9(6):210. https://doi.org/10.3390/atmos9060210
Chicago/Turabian StyleHirabayashi, Satoshi, Tsutomu Abe, Fumiko Imamura, and Chie Morioka. 2018. "Development of a Distributed Modeling Framework to Estimate Thermal Comfort along 2020 Tokyo Olympic Marathon Course" Atmosphere 9, no. 6: 210. https://doi.org/10.3390/atmos9060210
APA StyleHirabayashi, S., Abe, T., Imamura, F., & Morioka, C. (2018). Development of a Distributed Modeling Framework to Estimate Thermal Comfort along 2020 Tokyo Olympic Marathon Course. Atmosphere, 9(6), 210. https://doi.org/10.3390/atmos9060210

