Next Article in Journal
Effects of Urban Greenspace Patterns on Particulate Matter Pollution in Metropolitan Zhengzhou in Henan, China
Next Article in Special Issue
Development of a Distributed Modeling Framework to Estimate Thermal Comfort along 2020 Tokyo Olympic Marathon Course
Previous Article in Journal
A High Resolution Coupled Fire–Atmosphere Forecasting System to Minimize the Impacts of Wildland Fires: Applications to the Chimney Tops II Wildland Event
Previous Article in Special Issue
Microclimate Variation and Estimated Heat Stress of Runners in the 2020 Tokyo Olympic Marathon
 
 
Font Type:
Arial Georgia Verdana
Font Size:
Aa Aa Aa
Line Spacing:
Column Width:
Background:
Article

Evaluation of the ENVI-Met Vegetation Model of Four Common Tree Species in a Subtropical Hot-Humid Area

Building Environment and Energy Laboratory, State Key Laboratory of Subtropical Building Science, South China University of Technology, Wushan Road 381, Guangzhou 510641, China
*
Author to whom correspondence should be addressed.
Atmosphere 2018, 9(5), 198; https://doi.org/10.3390/atmos9050198
Submission received: 29 March 2018 / Revised: 27 April 2018 / Accepted: 15 May 2018 / Published: 21 May 2018
(This article belongs to the Special Issue Urban Design and City Microclimates)

Abstract

:
Urban trees can significantly improve the outdoor thermal environment, especially in subtropical zones. However, due to the lack of fundamental evaluations of numerical simulation models, design and modification strategies for optimizing the thermal environment in subtropical hot-humid climate zones cannot be proposed accurately. To resolve this issue, this study investigated the physiological parameters (leaf surface temperature and vapor flux) and thermal effects (solar radiation, air temperature, and humidity) of four common tree species (Michelia alba, Mangifera indica, Ficus microcarpa, and Bauhinia blakeana) in both spring and summer in Guangzhou, China. A comprehensive comparison of the observed and modeled data from ENVI-met (v4.2 Science, a three-dimensional microclimate model) was performed. The results show that the most fundamental weakness of ENVI-met is the limitation of input solar radiation, which cannot be input hourly in the current version and may impact the thermal environment in simulation. For the tree model, the discrepancy between modeled and observed microclimate parameters was acceptable. However, for the physiological parameters, ENVI-met tended to overestimate the leaf surface temperature and underestimate the vapor flux, especially at midday in summer. The simplified calculation of the tree model may be one of the main reasons. Furthermore, the thermal effect of trees, meaning the differences between nearby treeless sites and shaded areas, were all underestimated in ENVI-met for each microclimate variable. This study shows that the tree model is suitable in subtropical hot-humid climates, but also needs some improvement.

1. Introduction

With the continuous advance of the urbanization process, the deterioration of the urban thermal environment has become a big issue, especially in megacities like Guangzhou, in subtropical hot-humid climate zones. To cool these cities, the use of urban trees as an efficient way to regulate urban climate conditions and has received increasing attention [1,2,3]. According to previous studies, urban trees can control incident solar radiation, modify air temperature, and increase air humidity by providing shade and converting solar radiation to latent heat flux through transpiration [2,4,5].
As important urban passive cooling elements with a key role in the thermal interactions between different urban environments, urban trees must also be considered in the process of modeling such environments as part of assessing these interactions through simulations [6,7,8,9,10]. The commonly used models for simulating the thermal effects of trees include ENVI-met, SOLWEIG, OUTCOMES and MIST. Approximately two-thirds of the numerical simulations of outdoor thermal environments are performed with the ENVI-met software (v4.2), which is a three-dimensional microclimate model based on computational fluid dynamics and thermodynamics [11,12,13]. However, the recent research on plant strategies in ENVI-met has mainly focused on trees in temperate and tropical zones [14,15,16], and less attention has been paid to the trees in subtropical hot-humid climate zones. The lack of fundamental evaluations has resulted in this gap in the literature. Currently, the suitability of ENVI-met tree models for subtropical hot-humid climate zones and information as to whether the data from predictive models are robust and reliable is not yet clear, which limits the development of research in subtropical zones and should be solved quickly.
Many researchers have evaluated the tree models in ENVI-met in their own climate zones. By comparing the observed transpiration rate of trees in Germany with the modeled data, Lindén et al. [17] concluded that ENVI-met tends to underestimate the nocturnal transpiration rate. Simon [18] evaluated ENVI-met by comparing the modeled and observed transpiration rate of trees under different weather conditions and showed that for the trees in Germany, the evaluation results were influenced by PAR (photosynthetic active radiation). The software had better evaluation results with the meteorological inputs from clear sky days with high PAR than those from other weather conditions. For tropical trees, Shinzato et al. [19] measured the actual LAI (leaf area index) for building tree models in ENVI-met, showing that ENVI-met may perform better (e.g., producing a more accurate transpiration rate) with actual tree models.
Given that some research has evaluated tree models in ENVI-met, the following two issues still exist:
  • Evaluations of tree species in subtropical hot-humid climate regions are still lacking. The existing evaluations are primarily tree species in high-latitude regions, and these species are entirely different from tree species in subtropical areas. The special physiological features of subtropical tree species, especially the different transpiration rates, LAIs, and geometries of tree crowns, makes the trees here have different impacts on the thermal environment, which should be specifically evaluated [16]. Additionally, trees respond differently to different climates. In particular, the hot-humid climate, a special climate in subtropical regions, should also be considered.
  • Evaluations of the thermal effects of trees are still scarce. The existing evaluations mainly focus on the transpiration rate, and few systematically focus on the thermal effects of trees. For outdoor thermal environment research, the accuracy of simulating the thermal effect of trees is significant, as these effects directly impact the accuracy of the simulation results as a whole. To shorten simulation time, ENVI-met simplifies some calculations: the attenuation of diffuse radiation by vegetation is not taken into account; the solar radiation reflected by ground and vegetation surfaces is neglected; and the heat convection between the leaf surface and surrounding air and the radiation heat transfer between the leaf surface, sky, and ground surfaces are not taken into account [20]. For radiation, one of the significant factors impacting the urban thermal environment [21], these simplified calculations indicate that evaluations of the thermal effects of trees are necessary. Without such evaluations, the thermal environment will be misjudged, and inaccurate design strategies will be proposed, thus meaning that proposed improvements to the outdoor thermal environment may not work as expected or may even make things worse. Above all, a comprehensive evaluation of tree models in the subtropical hot-humid climate is urgently needed.
To solve these pending problems and to evaluate the suitability of ENVI-met vegetation models in subtropical hot-humid climate zones, this study comprehensively compared the modeled and observed physiological parameters (leaf surface temperature and vapor flux) and microclimate variables (solar radiation, air temperature and humidity) of four common tree species (Michelia alba, Mangifera indica, Ficus microcarpa, and Bauhinia blakeana) in both spring and summer in Guangzhou, China. The evaluation also used different quantitative difference metrics to assess the accuracy of the simulations. Special attention was paid to the vapor flux and the thermal effect of trees (the differences between nearby treeless sites and canopy-shaded areas).

2. Experiments

2.1. Field Experiment

2.1.1. Study Area and Objects

This study was conducted in Guangzhou, a metropolis in the humid subtropical area of China. Guangzhou is located in south China at a longitude 113°15′0′′ E and latitude 23° 7′12′′ N. The annual mean air temperature and relative humidity of Guangzhou are 22 °C and 77%, respectively [22]. Spring is from March to May, with an average air temperature of 22.0 °C and relative humidity of 83.4% on a typical day. Summer is from June to September, which are the hottest months of the year, with an average air temperature of 28.7 °C and a relative humidity of approximately 80.3% on a typical day. The daily maximum temperatures in summer range from 34.4 °C to 35.9 °C [23].
To evaluate the suitability of tree models in subtropical hot-humid climate zones, four common tree species in Guangzhou were selected, namely, Michelia alba, Mangifera indica, Ficus microcarpa, and Bauhinia blakeana. The four typical tree species have an obvious influence on microclimates due to their broad tree crowns, and these species are used frequently in landscape design. Because the selected Bauhinia blakeana tree specimen was significantly trimmed after the spring measurement, the same species (Bauhinia blakeana) at a different location was chosen for the summer measurement instead (the aim of this study is to compare the discrepancy between modeled and observed data respectively, so it is acceptable to change an individual tree; the photographs and locations of these two selected Bauhinia blakeana trees are shown in Figure 1). The study areas were located in the central urban area of Guangzhou. To avoid the thermal influence of other trees and buildings, the test was conducted in an open field. Photographs of the studied trees and the locations of the study sites are shown in Figure 1.

2.1.2. Property Parameter Measurements

The physical parameters of the studied trees are shown in Table 1. The tree crown geometries were measured by using a meter scale beneath the tree trunk, which can be used to facilitate the scaling process when using the photographic camera shots in AutoCAD programs to obtain the height and crown diameter. The root geometry was measured by the TRU™ (tree radar unit) System (Tree Radar, Inc., Silver Spring, MD, USA), which is a field instrument that uses ground-penetrating radar (GPR) technology to noninvasively determine the structural root mass. The post-processing data were analyzed by TreeWin™ Software (Tree Radar, Inc., Silver Spring, MD, USA), the proprietary software module of TRU. The leaf albedo was measured by a spectrophotometer (U-4100, Hitachi, Tokyo, Japan), three leaves of each tree species were measured, and averages were taken (due to a lack of professional instrument, the albedo in this study was observed from individual leaves rather than foliage, which may cause a small difference from the actual situation). The LAI was measured by a plant canopy analyzer (LAI-2200C, LI-COR Biosciences, Lincoln, NE, USA) and recomputed by FV2200 software (v2.1) [14], and this process was repeated three times on average. Meanwhile, the LAD (leaf area density) of each layer (1 m/layer) was calculated from LAI by the empirical equation from Lalic et al. [24].

2.1.3. Microclimate Parameter Measurements

The field measurements were carried out in spring (17, 28–30 of April 2017) and summer (26–29 July 2017) from 9:00–19:00 (because of the restrictions on site use, the measurement of Ficus microcarpa ended at 17:00 in the summer). The reason for selecting these days is that the weather on those days was sunny and can represent the typical weather conditions in spring and summer. The evaluation in this study focused primarily on plant physiological and microclimatic parameters. For physiological parameters, the transpiration rate and leaf surface temperature were observed. For microclimatic parameters, the air temperature and humidity as well as solar radiation were observed. Special attention was paid to the difference between the presence and absence of tree cover and the thermal effect in the tree crown. Therefore, measurement points were arranged in nearby treeless sites, underneath the tree canopy, and in the tree crown.
The measuring instruments and their accuracy are shown in Table 2. The physiological parameters of trees were measured through a portable photosynthesis system with a transparent leaf chamber. The measurements were taken at 5 m height (for Michelia alba, a height of 3 m was used) using a scaffold in four directions (south, east, north, and west), recording data after values stabilized and repeating three times to acquire an average. The air temperature and relative humidity in the canopy shade were collected by HOBO data loggers that were mounted in radiation shields made of stainless steel tubes at a height of 1.5 m. The open-ended tubes were wrapped with aluminum foil in which there was a small electric fan for ventilation. The HOBO data loggers for air temperature and humidity in the tree crown were placed in louvered radiation shielding screens and hung in tree crowns at a height of 5 m (3 m for Michelia alba). The meteorological data for the treeless site were measured by an automatic portable weather station. The locations of the measuring instruments are illustrated in Figure 2.
The data recorded by the HOBO loggers were stored in their own storage spaces. The output signals of the four-component radiation sensors were collected using a data collector (Agilent 34970A, Agilent Technologies, Santa Clara, CA, USA). All the microclimatic variables were sampled every 5 min, and the instantaneous value was taken every hour for comparison. The portable photosynthesis system was set to record data automatically every 2 s for 3 min after stability was attained. For comparison with the modeled values, the measured transpiration rate unit (mmol H2O m−2 s−1) was converted into g H2O m−2 s−1, and the measured air relative humidity was converted into air absolute humidity (g kg−1) with the corresponding air temperature.

2.2. ENVI-Met Simulation

The experimental sites were simulated using ENVI-met models (v4.2 Science) that were built based on the actual environment with a resolution of 1 m in reference to the study of [18] (Figure 3). To create stable lateral boundary conditions for the core model and keep numerical stability [18], four nesting grids were set for the area surrounding the main model with the same surface materials as the main model. In the vertical direction, varying grid sizes were used. For the space below 2 m, equidistant grids were used with a fine resolution of 0.2 m, and for the space above 2 m, telescoping grids were used with a telescoping factor of 10%. Furthermore, the ENVI-met model includes three different types of lateral boundary conditions for the 1D boundary model, and the forced lateral boundary conditions were chosen in this study according to the results of Chen [25]. The simulation ran for 24 h, starting at 0:00 and ending at 23:00. The elements of buildings and pavements were defined in the ENVI-met settings according to the test results of Yang [26].
In Albero, the special editor program for modeling trees in 3D in ENVI-met, three types of parameters are needed to build a model for a tree: the geometry of the tree crown (height of the tree and crown diameter), leaf properties (LAD and foliage albedo), and the geometry of the roots (root diameter, depth and form of root, and RAD (root area density)).The property parameters of each studied tree were input using the measured data (Table 1). For the sake of simplification, the typical geometry of the tree crown was rotated as a whole tree. The default RAD values were used due to a lack of specialized instruments. The other trees within the experimental range were simplified as several typical tree species, for which models were constructed with actual shape and properties. The root geometries of these typical trees were default values because the tree radar cannot distinguish the roots of trees close to one another.
Table 3 summarizes the major meteorological parameters input for ENVI-met simulation. The background meteorological data during the studied period of time (hourly air temperature and humidity and initial wind speed and direction) were measured by the automatic portable weather station. The adjustment factor of solar radiation was calculated from the measured midday solar radiation and the built-in data in the ENVI-met model. The ENVI-met default values for specific humidity at 2500 m and roughness length were adopted. The initial soil temperature was set as the measured value, and the soil humidity was set in reference to the results of Yang [27].

2.3. Quantitative Evaluation of Model Performance

The accuracy of the simulation performance was also examined using difference measures of the model evaluation, which have been used by Yang et al. [26], Lee et al. [15], and Acero et al. [28]. These measures include the mean bias error (MBE), mean absolute error (MAE), root mean square error (RMSE), systematic root mean square error (RMSEs), unsystematic root mean square error (RMSEu) and Willmott’s index of agreement (d). The simulation results are regarded as reliable if these measures are close to the following requirements: RMSEs→0, RMSEu→RMSE, and d→1. The detailed explanations for the quantitative metrics can be found in Refs. [29,30].

3. Results and Discussion

3.1. Microclimatic Parameters

3.1.1. Microclimatic Parameters in Nearby Treeless Sites

The comparison between modeled and observed air temperature, air humidity, and solar radiation in nearby treeless sites was conducted first. Figure 4 shows that the tendencies of solar radiation were consistent among these tree species between the prediction and measurements. This relation was also evident in the statistical results: d was 0.86 in spring and 0.89 in summer (Table 4). However, for the numerical value, the modeled solar radiation only fit well with the observed values at midday (approximately 13:00) and presented clear overestimation during the morning periods and at night. In this study, the MAE values were 169.84 W m−2 in spring and 147.19 W m−2 in summer, which means there were relatively large differences between the modeled and observed solar radiation values in treeless sites. The reason for this discrepancy is the limitation of the software. In ENVI-met, the observed solar radiation cannot be matched hourly, and can only be adjusted from the built-in data by the correction factor (0.5–1.5) [20,31,32]. The statistical results also showed that the systematic discrepancies were because the value of RMSES was greater than the value of RMSEu (Table 4).
Figure 5 indicates that the air temperature and humidity in treeless sites exhibited good relationships between the measured and modeled values. This relationship was also clear in the statistical results: the d of air temperature was 0.96 in spring and 0.94 in summer, and the d of air humidity was 0.98 in spring and 0.81 in summer (Table 4). However, ENVI-met clearly has a tendency to overestimate the air temperature while underestimating the air humidity, which was also reported by Yang et al. [26] and Lee et al. [15]. Moreover, the values of air temperature (humidity) were overestimated (underestimated) more under the background meteorological conditions of summer. The MAE of air temperature was 0.78 °C in spring and 1.03 °C in summer. The MAE of air humidity was 0.82 g kg−1 in spring and 2.05 g kg−1 in summer. In our study, the RMSES of air temperature was high, and the RMSEu did not approach the RMSE magnitudes, indicating that there were errors that occurred consistently [28]. This error has much to do with the limitations of the input solar radiation. The simulation results (e.g., those for air temperature and humidity) for the whole system were significantly affected by the overestimated solar radiation.
The evaluation of microclimatic parameters in nearby treeless sites found that ENVI-met has a tendency to overestimate the solar radiation and air temperature while underestimating the air humidity, which was foundational work for the evaluation of the tree model in the next step. It is easier to assess the tree model and identify the strong and weak points when simulating trees.

3.1.2. Direct Solar Radiation in Canopy Shading

For the solar radiation in canopy shading, there was a consistent trend between the predictions and measurements (Figure 6). This consistency was also clear in the statistical results: d was 0.86 in spring and 0.87 in summer (Table 5). For the numerical values, the modeled value was slightly higher than the corresponding observed value during the morning and dusk periods in spring and from the morning to midday in summer (with an average difference of 34.89 W m−2 and 33.66 W m−2, respectively, in spring and summer). Moreover, the value of RMSEu was much larger than that of RMSEs (the value of RMSEu was 250.03 W m−2 in spring and 241.65 W m−2 in summer; the value of RMSEs was 51.70 W m−2 in spring and 15.33 W m−2 in summer), which means that the error was likely caused by unsystematic errors, such as errors during equipment operation [27]. Meanwhile, the RMSEu was very close to RMSE (the value of RMSE was 255.32 W m−2 in spring and 242.15 W m−2 in summer), indicating that the model made the best predictions under the present conditions.
The degree of canopy filtration for solar radiation is shown by the filtration rate (Figure 7). The filtration rate = (1 − the solar radiation in canopy shading/the solar radiation in treeless sites) × 100%. Except for the results for Ficus microcarpa and Bauhinia blakeana (in summer), there were some differences between the modeled and observed filtration rates. This discrepancy was due to the fluctuation in observed solar radiation in canopy shading. During the experiment, the sun’s energy was transmitted directly onto the measuring probe through gaps in the crown, resulting in an instantaneous increase in solar radiation in the canopy shading measurements. For the numerical values, the modeled mean filtration rate was slightly higher than the observed rate. In spring (summer), the average modeled filtration rate was 78% (81%), while the observed rate was 66% (79%). Except for the unsystematic errors (experiment operation), the overestimation of solar radiation in treeless sites also resulted in an overestimated calculated filtration rate.
The deviation of the modeled solar radiation in shade and the filtration rate from the measured values may occur for three reasons:
  • First, a simplified calculation method was used in ENVI-met. The attenuation of diffuse solar radiation and the scattering of direct solar radiation by vegetation were not calculated in ENVI-met (only the attenuation of direct solar radiation was calculated). However, in urban environments, the radiative interactions (reflection, diffusion, and transmission) between surrounding buildings and tree foliage elements have a very significant impact on the whole system and should be calculated [21].
  • Second, simplified rotary crown models were used. Because the geometry of an actual tree crown is very heterogeneous and difficult to digitize correctly, the geometries of tree crowns were simplified to latticework with a resolution of 1 m, which may cause deviations.
  • In this study, unsystematic errors resulted from experimental operation. The canopies of the trees were not uniformly dense. The sun’s energy was transmitted directly to the measuring probe through gaps in the crown, which may cause an instantaneous increase in solar radiation in the canopy shade, which would never occur in the simulation. This error is difficult to avoid, but future experiments will attempt to avoid this problem.

3.1.3. Air Temperature in Canopy Shading

The trends were consistent between the predictions and measurements for these tree species (Figure 8). Figure 8 also indicates that ENVI-met had a better performance for air temperature (Ta) under the background meteorological conditions of spring. This result was also clear in the statistical results: d was 0.92 in spring and 0.61 in summer, and MAE was 1.37 °C in spring and 3.14 °C in summer (Table 5). The RMSEs was higher than RMSEu, and the RMSEu did not approach the RMSE magnitudes, indicating that there were errors that occurred consistently [28]. The results of Ta were consistent with those of other studies: MAE ranged from 0.83–1.82 °C, and the RMSEs was also higher than the RMSEu, which was also reported by Acero et al. [28]. The modeled solar radiation under the tree canopies was higher than the observations, which may cause the overestimation of Ta in the shade.
The cooling effect of canopy shade is reflected by the air temperature difference between nearby treeless sites and canopy shading areas at a height of 1.5 m (ΔTa). As shown in Figure 9, the modeled ΔTa ranged from 0.01–1.34 °C in spring to 0.02–1.3 °C in summer. The observed ΔTa ranged from −0.071 °C to 2.56 °C in spring to −0.57 °C to 4.39 °C in summer. Certain phenomena such as ΔTa < 0 (the Ta in shading was higher than that in the sun, such as for Bauhinia blakeana at 19:00 in spring) did not appear in the simulation. The modeled ΔTa was lower than the observed values, with an average of 0.69 °C lower in spring and 2.10 °C lower in summer. Yang [27] reported that ENVI-met tends to overestimate the Ta of the ground layer, especially in canopy shade areas, which means that ΔTa tends to be underestimated more and is consistent with the results in this study. The fluctuation findings are consistent with the results of Fang et al. [32]: compared to the observations, the modeled values can reflect only the general trends, and the modeled fluctuation is always more stable than the observed values.
Figure 10 depicts the comparison between the modeled and observed Ta in the tree crown. ENVI-met appeared to present a good fit between modeled and observed Ta in the tree crown with slight overestimation. This result was also clear in the statistical results, which were 0.90 in spring and 0.70 in summer with MBE and MAE values of 1.36 °C in spring and 2.33 °C in summer. The RMSEs was higher than RMSEu in both spring and summer, indicating that there were errors that occurred consistently [28]. These findings show that ENVI-met not only tends to overestimate the Ta of the ground layer but also tends to overestimate that in the tree crown. Moreover, the modeled Ta difference in the four directions was lower than the observed values, with the modeled average range of 0.07 °C (in spring) and 0.11 °C (in summer), while the observed average range was 0.42 °C (in spring) and 0.41 °C (in summer).

3.1.4. Air Humidity in Canopy Shading

Figure 11 compares the modeled and observed air absolute humidity in canopy shade. The main tendency of the observations throughout the day was reproduced by the ENVI-met model well, with d values of 0.96 and 0.71 in spring and summer, respectively (Table 5). For numerical values, the modeled humidity in canopy shading areas was lower than the observed data in both spring and summer (MBE values of −1.09 g kg−1 and −2.08 g kg−1 and MAE values of 1.11 g kg−1 and 2.11 g kg−1 in spring and summer, respectively). Such systematic errors (RMSES > RMSEU) were consistent with the tendency to overestimate Ta.
Figure 12 depicts the humidity difference between the treeless sites and the shaded sites, and reflects the differences in humidity among the trees. The range of the modeled humidity difference was apparently lower than the observations. The modeled average range was 0.51 g kg−1 (2.31 g kg−1), and the observed range was 2.27 g kg−1 (5.54 g kg−1) in spring (summer). In ENVI-met, one tree is unlikely to affect the local humidity to a large degree if there is an overestimation of ΔTa or any degree of wind. Furthermore, the ENVI-met model did not reflect certain phenomena seen in the observations, as the air humidity in the sun was sometimes higher than that in the shade. In actual situations, the moisture brought by the wind from other places might explain the result, while in ENVI-met, the simulation range is limited, and the model cannot incorporate real-time wind speed and direction.
For the air’s absolute humidity in the tree crown, ENVI-met presented accurate estimated trends throughout the day (Figure 13) (d values of 0.95 and 0.68 in spring and summer, respectively). The model tended to underestimate the observed humidity, which was 1.22 g kg−1 lower in spring and 2.27 g kg−1 lower in summer (MBE). The MAE was 1.22 g kg−1 in spring and 2.31 g kg−1 in summer. Consistent with the air temperature in the tree crown, the modeled air humidity difference in the four directions was also lower than the observed values.

3.2. Physiological Parameters

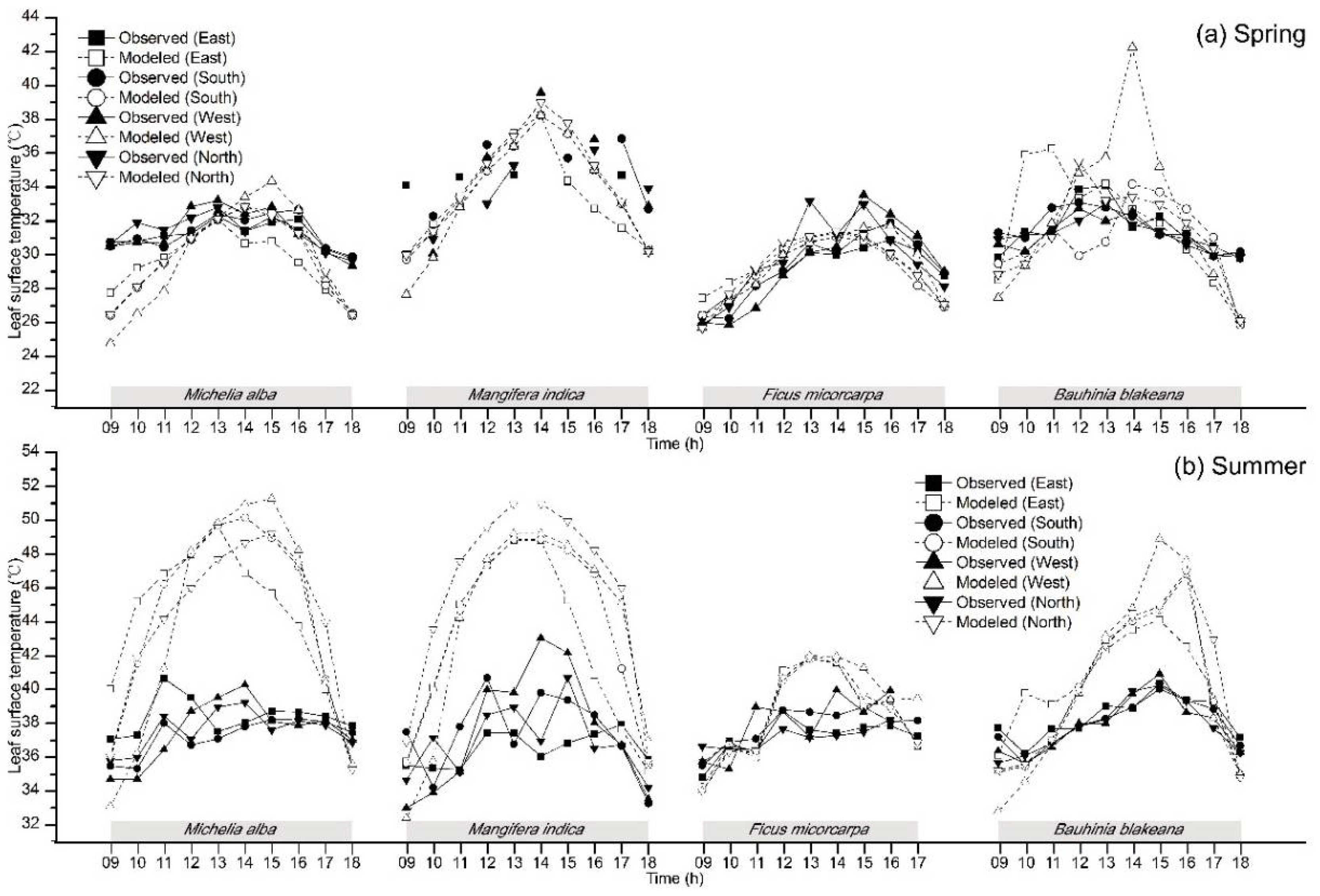
3.2.1. Leaf Surface Temperature

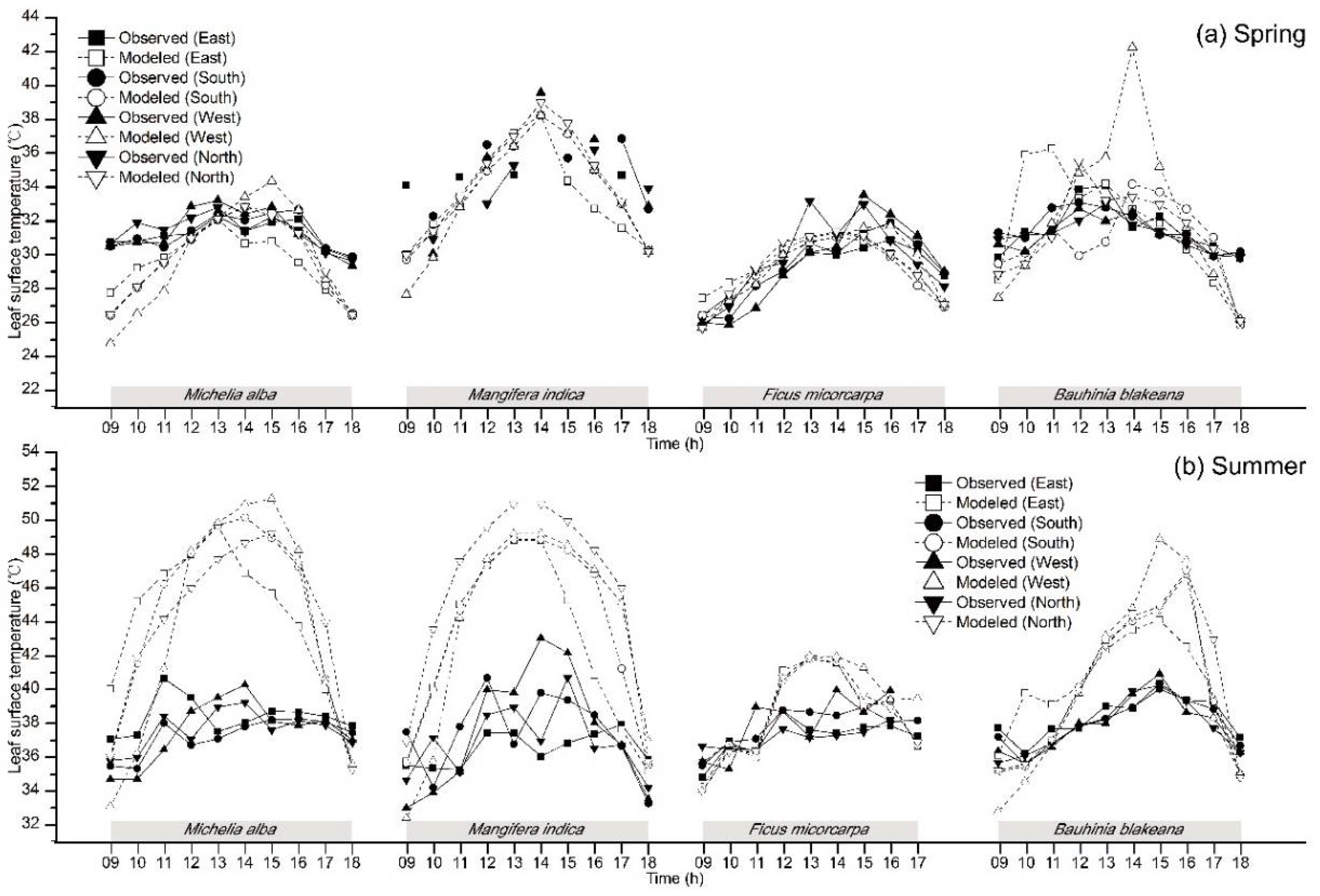
For leaf surface temperature, d was very close to 1 in both spring and summer, which means that ENVI-met produced accurate estimations of trends (Table 5). In spring, the modeled leaf surface temperature was slightly lower than the observed values during morning and dusk (with an average difference of 1.88 °C and 2.00 °C, respectively) and was higher than the observations from midday to afternoon (with an average difference of 1.08 °C) (Figure 14a). The value of MAE was 1.77 °C in spring. In summer, the modeled leaf surface temperature was clearly higher than the observations during the daytime (10:00–17:00), with an average difference of 5.24 °C. Especially for Michelia alba and Mangifera indica, the overestimation ranged up to approximately 11 °C (Figure 14b). The value of MAE was 4.82 °C in summer.
This performance has also been reported in other works. Zhan [33] had a similar result, finding a good fit between the modeled and observed leaf surface temperatures in ENVI-met, but found that the model tends to overestimate the measurements, especially in summer afternoons. There are two possible reasons for this deviation.
  • The main reason might be the simplified calculation of the vegetation model. In ENVI-met, the radiation heat transfer between the upper surface of leaves and the sky is not calculated. The same is true of the radiation heat transfer between lower surface of leaves and the ground. Moreover, the heat storage for leaves and the heat convection between leaf surface and surrounding air is not taken into account. The heat cannot dissipate through convection as the leaf surface temperature increases. Consequently, due to the simplified calculation method in ENVI-met, the heat absorbed by leaf cannot dissipate through convection, resulting in the overestimated leaf surface temperature.
  • The second reason might be the overestimated solar radiation and air temperature in the tree crown. They may cause higher initial values and a very large increase in leaf surface temperature. Meanwhile, the underestimated vapor flux in the vegetation model (Figure 15) may also cause the higher leaf surface temperature.

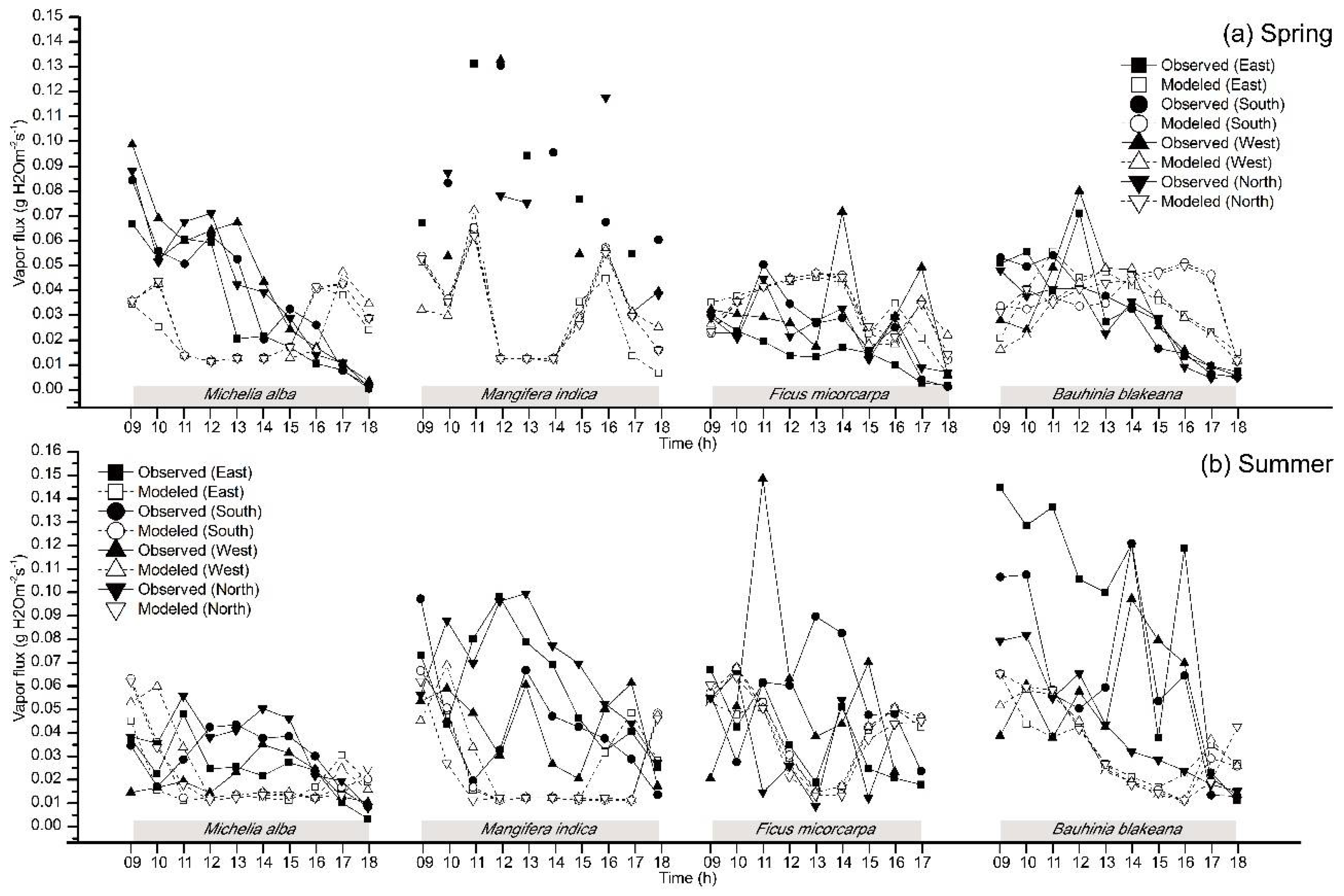
3.2.2. Water Vapor Flux

This study compared the modeled vapor flux of the tree canopy and the observed transpiration rate due to the lack of instrumentation for measuring vapor flux directly. The vapor flux of a single tree comprises three elements, including tree transpiration, evaporation from the soil surface, and canopy interception moisture [34]. Transpiration is the main source of vapor [35]. In this study, the surface under the tree canopy was almost all hard paving materials, and the three days before the test were all clear sky days; thus, the canopy-intercepted moisture evaporated completely. Therefore, the vapor flux in this study is approximately equal to the tree transpiration rate, and the above comparison is acceptable.
Figure 15 indicates that there were some differences between the trends of prediction and measurement. This result was also found in the statistical results: d was small (0.38) in spring, and was 0.47 in summer (Table 5). For the numerical values, in spring, the modeled vapor flux was lower than the observed data, with an average difference of approximately 0.01 g H2O m−2 s−1 during morning and afternoon (Figure 15a). From Figure 5b, it appears that in summer, the modeled vapor fluxes of the four tree species were all significantly lower than the observed data during the daytime (with an average difference of 0.05 g H2O m−2 s−1), especially at midday. In fact, a midday depression in transpiration in response to heat stress is a common water-saving adaptation [36,37,38]. This water-saving strategy is also reflected in ENVI-met’s vegetation model: in the A-gs model, trees attempt to optimize their carbon gain in relation to water loss. The model assumes this relation to be less beneficial and induces higher stomatal resistance to save water after midday [39]. However, the observed data do not show significantly reduced values, pointing to an underestimation of available soil water and an overestimation of the heat stress in the model [18]. Moreover, the RMSEs of vapor flux was greater than the RMSEu, and thus the errors appear to be mostly caused by systematic errors. For vapor flux, the multifactor action of the overestimated incoming solar radiation, air temperature, and leaf surface temperature result in the closing of stomata and the reduction of the vapor flux.
Other researchers have performed similar work. Lindén et al. [17] and Simon [18] compared the modeled and measured transpiration rate of a whole tree and found that the transpiration rate exhibits a good relationship between measured and modeled values under most conditions, especially during clear sky days. A distinct discrepancy appears during fully cloudy days and at night. However, two differences between their work and this study cannot be ignored. First, sap flow, by which the transpiration rate of the whole tree can be measured accurately, was used in their study. Second, the ENVI-met version they used can output the transpiration rate of a whole tree directly, but this version is not yet openly available. Consequently, the differences in the evaluation results might be conditioned by the influence of different instruments and software versions.
Additionally, it cannot be ignored that the measured transpiration rate in this study was likely overestimated, as it was assumed that all leaves transpired at the same rate in one direction as the measured sunlit leaves. For simplification, the leaves in the shade were not measured and were calculated in the same way as the sunlit leaves. In fact, from the empirical findings of an individual study, the sunlit leaves transpired at rates that were three times as high as those of the leaves in the shade [5], which might result in the overestimation of measured values, thus resulting in only a fair relationship between modeled and measured data. To rectify this shortcoming, the leaves in the shade should also be measured in future research.

4. Conclusions

To evaluate the suitability of ENVI-met vegetation models in subtropical hot-humid climate zones, thereby providing strong support for future studies of the outdoor thermal environment to guide tree arrangement strategies from the viewpoint of optimizing the thermal environment, this study comprehensively compared the modeled and observed physiological parameters (leaf surface temperature and vapor flux) and thermal effects (solar radiation, air temperature, and humidity) of four common tree species (Michelia alba, Mangifera indica, Ficus microcarpa, and Bauhinia blakeana) in both spring and summer in Guangzhou, China. Different quantitative metrics were calculated to evaluate the accuracy of ENVI-met. This study shows that the ENVI-met model (v4.2 Science) is capable of modeling the physiological and thermal performance of trees in hot-humid regions with some room for improvement. The main conclusions are as follows:
  • In the ENVI-met model, the most fundamental weakness is the limitation on solar radiation input, which cannot be input hourly and should be improved in the future. The built-in solar radiation data and the correction factor result in clearly overestimated solar radiation, especially in treeless sites. Moreover, the overestimated solar radiation causes ENVI-met to overestimate the air temperature while underestimating the air humidity.
  • For the tree model in ENVI-met, the discrepancy between modeled and observed microclimate parameters was acceptable. For leaf surface temperature and vapor flux, the water-saving adaptation of trees showed in model at midday is a positive result; however, the accuracy of the estimated trends throughout the day and the numerical values needs to be improved in the future. Furthermore, the combined action from the fundamental weakness of ENVI-met (as discussed above) and the simplified calculation of the tree model is the main reason for the simulation errors. ENVI-met is an interactive system, and the simulation results of microclimate parameters affect the simulation results of the physiological parameters of trees and vice versa, which can be improved systematically in the future.
The thermal effect of trees, meaning the differences between nearby treeless sites and shaded areas, are all underestimated in ENVI-met for each microclimate variable. Meanwhile, the predictions for the four directions in the tree crown are also lower than the observed ones, including leaf surface temperature, vapor flux, and air temperature and humidity. The simulation can express only generalized variations, and therefore the modeled data are more stable than the measured ones.
This study broadens the range of applications for ENVI-met, thus positioning this method as a strong fundamental research tool for future studies on the outdoor thermal environment and tree arrangement in hot-humid areas. However, some areas should be optimized in future studies. The experimental subjects in this study were relatively limited (a single tree in daytime). More complex surroundings, a longer period of evaluation time, and more detailed tree models can be considered in further study. Furthermore, the software currently has limitations for inputting hourly solar radiation, wind speed, and wind directions. When the software is enhanced, the evaluation can be conducted more comprehensively.

Author Contributions

Z.L. organized the paper, wrote most of the text, and prepared all figures. Z.L. and S.Z. conceived, designed and performed the experiments; L.Z. provided valuable ideas, guidance with the presentation.

Funding

This work was supported by the State Key Laboratory of Subtropical Building Science, South China University of Technology, China (Projects No. 2017KB10) and the National Key Research and Development Program, China (Projects No. 2016YFC0700205).

Acknowledgments

The helpful comments of Xiaoshan Fang, Qinglin Meng, Lei Zhang and Qiong Li is greatly appreciated. The help of SePing Dai and Wei Wang from Guangzhou Institute of Forestry and Landscape Architecture is greatly appreciated. Without their instruments (Portable Photosynthesis System), the experiment could not be completed. Thanks to the volunteers who helped us with the experiment.

Conflicts of Interest

The authors declare no conflict of interest. The founding sponsors had no role in the design of the study; in the collection, analyses, or interpretation of data; in the writing of the manuscript, and in the decision to publish the results.

References

  1. Ballinas, M.; Barradas, V.L. Transpiration and stomatal conductance as potential mechanisms to mitigate the heat load in Mexico City. Urban For. Urban Green. 2016, 20, 152–159. [Google Scholar] [CrossRef]
  2. Bowler, D.E.; Buyungali, L.M.; Knight, T.M.; Pullin, A.S. Urban greening to cool towns and cities: A systematic review of the empirical evidence. Landsc. Urban Plan. 2010, 97, 147–155. [Google Scholar] [CrossRef]
  3. Chatzidimitriou, A.; Axarli, K. Street canyon geometry effects on microclimate and comfort: A case study in thessaloniki. Procedia Environ. Sci. 2017, 38, 643–650. [Google Scholar] [CrossRef]
  4. Streiling, S.; Matzarakis, A. Influence of single and small clusters of trees on the bioclimate of a city: A case study. J. Arboric. 2003, 29, 309–316. [Google Scholar]
  5. Konarska, J.; Uddling, J.; Holmer, B.; Lutz, M.; Lindberg, F.; Pleijel, H.; Thorsson, S. Transpiration of urban trees and its cooling effect in a high latitude city. Int. J. Biometeorol. 2016, 60, 159–172. [Google Scholar] [CrossRef] [PubMed]
  6. Huang, Y.J.; Akbari, H.; Taha, H.; Rosenfeld, A.H. The potential of vegetation in reducing summer cooling loads in residential buildings. J. Appl. Meteorol. 2010, 26, 1103–1116. [Google Scholar] [CrossRef]
  7. Kotzen, B. An investigation of shade under six different tree species of the Negev desert towards their potential use for enhancing micro-climatic conditions in landscape architectural development. J. Arid Environ. 2003, 55, 231–274. [Google Scholar] [CrossRef]
  8. Marti-Ibanez, F. On the development of an urban passive thermal comfort system in Cairo, Egypt. Build. Environ. 2009, 44, 1907–1916. [Google Scholar]
  9. Morakinyo, T.E.; Kong, L.; Lau, K.L.; Yuan, C.; Ng, E. A study on the impact of shadow-cast and tree species on in-canyon and neighborhood’s thermal comfort. Build. Environ. 2017, 115, 1–17. [Google Scholar] [CrossRef]
  10. Zölch, T.; Maderspacher, J.; Wamsler, C.; Pauleit, S. Using green infrastructure for urban climate-proofing: An evaluation of heat mitigation measures at the micro-scale. Urban For. Urban Green. 2016, 20, 305–316. [Google Scholar] [CrossRef]
  11. Bruse, M. Envi-Met 3.0: Updated Model Overview; University of Bochum: Bochum, Germany, 2004. [Google Scholar]
  12. Bruse, M.; Fleer, H. Simulating surface–plant–air interactions inside urban environments with a three dimensional numerical model. Environ. Model. Softw. 1998, 13, 373–384. [Google Scholar] [CrossRef]
  13. Lenzholzer, S.; Brown, R.D. Post-positivist microclimatic urban design research: A review. Landsc. Urban Plan. 2016, 153, 111–121. [Google Scholar] [CrossRef]
  14. Fahmy, M.; El-Hady, H.; Mahdy, M.M. LAI and Albedo measurements based methodology for numerical simulation of urban tree’s microclimate: A case study in Egypt. Int. J. Sci. Eng. Res. 2013, 7, 790–797. [Google Scholar]
  15. Lee, H.; Mayer, H.; Chen, L. Contribution of trees and grasslands to the mitigation of human heat stress in a residential district of freiburg, southwest Germany. Landsc. Urban Plan. 2016, 148, 37–50. [Google Scholar] [CrossRef]
  16. Zhang, L.; Zhan, Q.M.; Lan, Y.L. Effects of the tree distribution and species on outdoor environment conditions in a hot summer and cold winter zone: A case study in Wuhan residential quarters. Build. Environ. 2018, 130, 27–39. [Google Scholar] [CrossRef]
  17. Linden, J.; Simon, H.; Fonti, P.; Esper, J.; Bruse, M. Observed and Modeled transpiration cooling from urban trees in Mainz, Germany. In Proceedings of the ICUC9—International Conference on Urban Climate Jointly with Symposium on the Urban Environment, Toulouse, France, 20–24 July 2015; University of Toulouse: Toulouse, France, 2015. [Google Scholar]
  18. Simon, H. Modeling Urban Microclimate: Development, Implementation and Evaluation of New and Improved Calculation Methods for the Urban Microclimate Model ENVI-Met. Ph.D. Thesis, Johannes Gutenberg-University Mainz, Mainz, Germany, 2016. [Google Scholar]
  19. Shinzato, P.; Yoshida, D.; Duarte, D. Parametrization of tropical plants using ENVI-met v.4 and its impact on urban microclimates—Sao Paulo case study. In Proceedings of the International Conference on Countermeasures to Urban Heat Islands, Singapore, 30 May–1 June 2016; Elsevier: New York, NY, USA. [Google Scholar]
  20. Huttner, S. Further Development and Application of the 3D Microclimate Simulation ENVI-Met; Johannes Gutenberg-University Mainz: Mainz, Germany, 2012. [Google Scholar]
  21. Krayenhoff, E.S.; Christen, A.; Martilli, A.; Oke, T.R. A multi-layer radiation model for urban neighbourhoods with trees. Bound.-Lay. Meteorol. 2014, 151, 139–178. [Google Scholar] [CrossRef]
  22. Li, K.; Zhang, Y.; Zhao, L. Outdoor thermal comfort and activities in the urban residential community in a humid subtropical area of china. Energy Build. 2016, 133, 498–511. [Google Scholar] [CrossRef]
  23. Zhang, Q.; Huang, J. Chinese Typical Year Weather Data for Architectural Use; China Machine Press: Beijing, China, 2004. (In Chinese) [Google Scholar]
  24. Lalic, B.; Mihailovic, D.T. An empirical relation describing leaf-area density inside the forest for environmental modeling. J. Appl. Meteorol. 2004, 43, 641–645. [Google Scholar] [CrossRef]
  25. Chen, Z.L. Research of Vegetation System’s Effects on Outdoor Thermal Environ-Ment of Residential Communities in Hot-Humid Climate. Ph.D. Thesis, South China University of Technology, Guangzhou, China, 2010. (In Chinese). [Google Scholar]
  26. Yang, X.; Zhao, L.; Bruse, M.; Meng, Q. Evaluation of a microclimate model for predicting the thermal behavior of different ground surfaces. Build. Environ. 2013, 60, 93–104. [Google Scholar] [CrossRef]
  27. Yang, X.S. A Simulation Method for the Effects of Urban Microclimate on Building Cooling Energy Use. Ph.D. Thesis, South China University of Technology, Guangzhou, China, 2012. (In Chinese). [Google Scholar]
  28. Acero, J.A.; Arrizabalaga, J. Evaluating the performance of ENVI-met model in diurnal cycles for different meteorological conditions. Theor. Appl. Climatol. 2018, 131, 455–469. [Google Scholar] [CrossRef]
  29. Stunder, M.; Sethuraman, S. A statistical evaluation and comparison of coastal point source dispersion models. Atmos. Environ. 1986, 20, 301–315. [Google Scholar] [CrossRef]
  30. Willmott, C.J. Some comments on the evaluation of model performance. Bull. Am. Meteorol. Soc. 1982, 63, 1309–1313. [Google Scholar] [CrossRef]
  31. Acero, J.A.; Herranz-Pascual, K. A comparison of thermal comfort conditions in four urban spaces by means of measurements and modelling techniques. Build. Environ. 2015, 93, 245–257. [Google Scholar] [CrossRef]
  32. Fang, X.; Shen, L.; Meng, Q. The study on microclimate simulation of Country Park based on ENVI-met software—Take the east gate entrance area of Guangdong Tianlu lake Country Park for example. In Proceedings of the 3rd International Conference on Mechatronics, Robotics and Automation, Shenzhen, China, 20–21 April 2015; Atlantis Press: Paris, France. [Google Scholar]
  33. Zhan, H.J.; Xie, W.J.; Sun, H.; Huang, H.G. Using ENVI-met to simulate 3D temperature distribution in vegetated scenes. J. Beijing For. Univ. 2014, 36, 64–74. [Google Scholar]
  34. Niu, X.; Jiang, H.; Fang, C.; Chen, X.; Sun, H. Water vapor flux features of an evergreen and deciduous broadleaf mixed forest in mount Tianmu area. J. Zhejiang Univ. 2016, 33, 216–224. [Google Scholar]
  35. Moreira, M.; Sternberg, L.; Martinelli, L.; Victoria, R.; Barbosa, E.; Bonates, L.; Nepstad, D. Contribution of transpiration to forest ambient Vapour based on isotopic measurements. Glob. Chang. Biol. 1997, 3, 439–450. [Google Scholar] [CrossRef]
  36. Brodribb, T.J.; Holbrook, N.M. Diurnal depression of leaf hydraulic conductance in a tropical tree species. Plant Cell Environ. 2004, 27, 820–827. [Google Scholar] [CrossRef]
  37. Gindaba, J.; Rozanov, A.; Negash, L. Response of seedlings of two eucalyptus and three deciduous tree species from ethiopia to severe water stress. For. Ecol. Manag. 2004, 201, 119–129. [Google Scholar] [CrossRef]
  38. Kosugi, Y.; Takanashi, S.; Matsuo, N.; Nik, A.R. Midday depression of leaf CO2 exchange within the crown of dipterocarpus sublamellatus in a lowland dipterocarp forest in peninsular Malaysia. Tree Physiol. 2009, 29, 505–515. [Google Scholar] [CrossRef] [PubMed]
  39. Bruse, M. Envi-Met Implementation of the Jacobs A−Gs Model to Calculate the Stomata Conductance. Available online: http://www.envi-met.net/documents/new_a_gs.pdf (accessed on 16 February 2004).
Figure 1. Photographs of the studied trees and the locations of the study sites.
Figure 1. Photographs of the studied trees and the locations of the study sites.
Atmosphere 09 00198 g001
Figure 2. The locations of measuring instruments. RH: relative humidity; Ta: air temperature.
Figure 2. The locations of measuring instruments. RH: relative humidity; Ta: air temperature.
Atmosphere 09 00198 g002
Figure 3. Study areas and their models.
Figure 3. Study areas and their models.
Atmosphere 09 00198 g003
Figure 4. Comparison of modeled and observed solar radiation in treeless areas: (a) in spring (b) in summer.
Figure 4. Comparison of modeled and observed solar radiation in treeless areas: (a) in spring (b) in summer.
Atmosphere 09 00198 g004
Figure 5. Comparison of modeled and observed air temperature and humidity in treeless areas: (a) in spring (b) in summer.
Figure 5. Comparison of modeled and observed air temperature and humidity in treeless areas: (a) in spring (b) in summer.
Atmosphere 09 00198 g005
Figure 6. Comparison of modeled and observed solar radiation in tree canopy shading.
Figure 6. Comparison of modeled and observed solar radiation in tree canopy shading.
Atmosphere 09 00198 g006
Figure 7. Comparison of modeled and observed solar radiation filtration rate.
Figure 7. Comparison of modeled and observed solar radiation filtration rate.
Atmosphere 09 00198 g007
Figure 8. Comparison of modeled and observed air temperatures in canopy shade areas.
Figure 8. Comparison of modeled and observed air temperatures in canopy shade areas.
Atmosphere 09 00198 g008
Figure 9. Comparison of modeled and observed air temperature differences between treeless areas and canopy shade areas.
Figure 9. Comparison of modeled and observed air temperature differences between treeless areas and canopy shade areas.
Atmosphere 09 00198 g009
Figure 10. Comparison of modeled and observed air temperatures in tree crown for four directions.
Figure 10. Comparison of modeled and observed air temperatures in tree crown for four directions.
Atmosphere 09 00198 g010
Figure 11. Comparison of modeled and observed air absolute humidity in canopy shade areas.
Figure 11. Comparison of modeled and observed air absolute humidity in canopy shade areas.
Atmosphere 09 00198 g011
Figure 12. Comparison of modeled and observed air absolute humidity difference between treeless areas and canopy shade areas.
Figure 12. Comparison of modeled and observed air absolute humidity difference between treeless areas and canopy shade areas.
Atmosphere 09 00198 g012
Figure 13. Comparison of modeled and observed air absolute humidity in the tree crown in four directions.
Figure 13. Comparison of modeled and observed air absolute humidity in the tree crown in four directions.
Atmosphere 09 00198 g013
Figure 14. Comparison of modeled and observed leaf surface temperature in four directions: (a) in spring; (b) in summer. The instrument did not operate properly on the measuring day for Mangifera indica, causing discontinuous observed values.
Figure 14. Comparison of modeled and observed leaf surface temperature in four directions: (a) in spring; (b) in summer. The instrument did not operate properly on the measuring day for Mangifera indica, causing discontinuous observed values.
Atmosphere 09 00198 g014
Figure 15. Comparison of modeled and observed vapor flux in four directions: (a) in spring; (b) in summer. The instrument did not operate properly on the measuring day for Mangifera indica, causing discontinuous observed values.
Figure 15. Comparison of modeled and observed vapor flux in four directions: (a) in spring; (b) in summer. The instrument did not operate properly on the measuring day for Mangifera indica, causing discontinuous observed values.
Atmosphere 09 00198 g015
Table 1. The physical parameters of the studied trees. LAD: leaf area density; LAI: leaf area index.
Table 1. The physical parameters of the studied trees. LAD: leaf area density; LAI: leaf area index.
TypeItemMichelia albaMangifera indicaFicus microcarpaBauhinia blakeana (in Spring)Bauhinia blakeana (in Summer)
Geometry of tree crownHeight of tree (m)6.89.48.18.814.4
Crown diameter (m)4.49.811.09.19.4
Height under branch (m)2.22.51.31.81.6
Geometry of rootsDepth of root (m)0.450.450.600.600.60
Diameter of root (m)6781010
Leaf propertiesLeaf albedo0.280.270.310.310.31
LAI (m2/m2)1.912.363.884.274.17
LAD (m2/m3)
At 1 m-----
At 2 m0.120.070.160.140.06
At 3 m0.250.120.290.250.08
At 4 m0.490.200.540.440.11
At 5 m0.620.340.920.750.16
At 6 m0.440.511.081.060.22
At 7 m-0.560.881.020.31
At 8 m-0.480.010.610.43
At 9 m-0.08--0.56
At 10 m----0.64
At 11 m----0.63
At 12 m----0.57
At 13 m----0.39
At 14 m----0.01
Table 2. Instrument types, locality, and accuracy.
Table 2. Instrument types, locality, and accuracy.
Variable TypeVariableName of InstrumentsSensor Type and LocalityAccuracySample
Plant physiological indexesTranspiration ratePortable Photosynthesis SystemLI-6400, LI-COR Biosciences, Lincoln, NE, USAMaximum error of H2O analyzer: ±1.0 mmol/mol, @0~75 mmol/molSetting of data recording after stability, recording every 2 s, continuous reading for 3 min
Leaf surface temperature
Meteorological indexesAir temperatureHOBO pro v2 data loggerHOBO U23-001, Onset Computer Corporation, Cape Cod, MA, USA±0.2 °C5 min
Relative humidity±2.5%
Solar radiation4-component radiation sensorNR01, Campbell Scientific, Inc., Logan, UT, USA-5 min
Air temperature, relative humidity, solar radiation of the reference pointAutomatic portable weather stationWatchDog 2900ET, Spectrum Technologies, Plainfield, IL, USATa: ±0.6 °C5 min
RH: ±3%
Solar radiation: ±5%
Wind speed: ±5%
Wind direction: ±7°
Table 3. Inputs of background meteorological values.
Table 3. Inputs of background meteorological values.
Tree SpeciesMichelia albaMangifera indicaFicus microcarpaBauhinia blakeanaMichelia albaMangifera indicaFicus microcarpaBauhinia blakeana
Date of simulation2017.04.292017.04.172017.04.282017.04.302017.07.282017.07.272017.07.262017.07.29
Wind speed at 10 m (m/s)4.55.113.002.003.55.103.004.00
Wind direction (°)13523122013516016845144
Roughness length0.010.010.010.010.010.010.010.01
Initial temperature atmosphere (K)299.35301.25296.43299.05307.36304.35306.23306.25
Relative humidity at 2 m (%)68.7744669.662.568.962.369.5
Solar adjust factor0.680.700.850.570.880.930.800.82
Specific humidity (2500 m) (%)7.07.07.07.07.07.07.07.0
Soil upper layer (0–20 cm) initial temperature (K)295.20297.00296.50298.00302.00303.00303.10303.00
Soil middle layer (20–50 cm) initial temperature (K)294.90297.00296.10298.00302.00303.00302.70303.00
Soil deep layer (>50 cm) initial temperature (K)294.40296.00295.00297.00301.00302.00302.50302.00
Soil upper layer (0–20 cm) moisture content (%)3030303030303030
Soil middle layer (20–50 cm) moisture content (%)3535353535353535
Soil deep layer (>50 cm) moisture content (%)4040404040404040
Table 4. Quantitative measures of ENVI-met model performance with observed data in treeless sites *.
Table 4. Quantitative measures of ENVI-met model performance with observed data in treeless sites *.
SeasonVariableSample SizeDifference Measures
MBEMAERMSERMSESRMSEud
SpringSolar radiation (W/m2)44169.37169.84226.72180.88136.680.86
Air temperature (°C)440.660.781.040.750.720.96
Air absolute humidity (g/kg)44−0.690.820.980.810.560.98
SummerSolar radiation (W/m2)42104.09147.19185.52136.19125.980.89
Air temperature (°C)421.031.031.131.040.450.94
Air absolute humidity (g/kg)42−2.022.052.192.060.760.81
* The difference measure terms have the units of the corresponding variable. d: Willmott’s index of agreement; MAE: mean absolute error; MBE: mean bias error; RMSE: root mean square error; RMSEs: systematic RMSE; RMSEu: unsystematic RMSE.
Table 5. Quantitative measures of ENVI-met model performance with observed data in tree canopy shading and in tree crown *.
Table 5. Quantitative measures of ENVI-met model performance with observed data in tree canopy shading and in tree crown *.
VariableMeasure SiteSample SizeDifference Measures
MBEMAERMSERMSESRMSEud
(a) In spring
Solar radiation (W/m2)In tree canopy shading44−4.8044.44255.3251.70250.030.78
Air temperature (°C)In tree canopy shading441.361.371.681.390.950.92
In tree crown1761.361.361.631.390.840.90
Air absolute humidity (g/kg)In tree canopy shading44−1.091.111.341.150.690.96
In tree crown176−1.211.221.441.310.600.95
Leaf surface temperature (°C)In tree canopy139−0.631.772.260.642.161.00
Vapor flux (g H2O m−2 s−1)In tree canopy140−0.010.020.030.030.010.38
(b) In summer
Solar radiation (W/m2)In tree canopy shading4212.2629.42242.1515.33241.650.87
Air temperature (°C)In tree canopy shading423.143.143.973.142.440.61
In tree crown1682.332.332.482.330.850.70
Air absolute humidity (g/kg)In tree canopy shading42−2.082.112.402.091.190.71
In tree crown168−2.272.312.532.221.230.68
Leaf surface temperature (°C)In tree canopy1544.274.826.164.444.270.99
Vapor flux (g H2O m−2 s−1)In tree canopy154−0.020.030.040.030.020.47
* The difference measure terms have the units of the corresponding variable.

Share and Cite

MDPI and ACS Style

Liu, Z.; Zheng, S.; Zhao, L. Evaluation of the ENVI-Met Vegetation Model of Four Common Tree Species in a Subtropical Hot-Humid Area. Atmosphere 2018, 9, 198. https://doi.org/10.3390/atmos9050198

AMA Style

Liu Z, Zheng S, Zhao L. Evaluation of the ENVI-Met Vegetation Model of Four Common Tree Species in a Subtropical Hot-Humid Area. Atmosphere. 2018; 9(5):198. https://doi.org/10.3390/atmos9050198

Chicago/Turabian Style

Liu, Zhixin, Senlin Zheng, and Lihua Zhao. 2018. "Evaluation of the ENVI-Met Vegetation Model of Four Common Tree Species in a Subtropical Hot-Humid Area" Atmosphere 9, no. 5: 198. https://doi.org/10.3390/atmos9050198

APA Style

Liu, Z., Zheng, S., & Zhao, L. (2018). Evaluation of the ENVI-Met Vegetation Model of Four Common Tree Species in a Subtropical Hot-Humid Area. Atmosphere, 9(5), 198. https://doi.org/10.3390/atmos9050198

Note that from the first issue of 2016, this journal uses article numbers instead of page numbers. See further details here.

Article Metrics

Back to TopTop