Impacts of Traffic Tidal Flow on Pollutant Dispersion in a Non-Uniform Urban Street Canyon
Abstract
1. Introduction
2. Model Description
2.1. Geometric Model
2.2. Mathematical Model
- Continuity Equation:
- Momentum conservation Equation (N-S):
- Turbulence kinetic Equation k:
- Turbulent kinetic energy dissipation rate ε:
2.3. Boundary Conditions
2.3.1. Inlet Boundary
2.3.2. Outlet Boundary
2.3.3. Lateral Boundary
2.4. Measurement of the Traffic Pollution Source in the Street
2.5. Meshing Skills and Computational Procedure
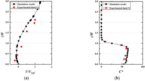
2.6. Model Validation
3. Results and Discussion
3.1. Impact Analysis of Non-Uniform Pollution Source
3.1.1. Concentration Distribution of CO at Pedestrian Breathing Height
3.1.2. Influence of Height Variation of Street Building on Non-Uniform Distribution Characteristics of the Pollution Source
3.1.3. Analysis of Spatial Distribution Characteristics of CO Concentration in Specific Section
3.2. Influence of Wind Speed and Wind Direction on the Non-Uniform Distribution of Pollution Sources
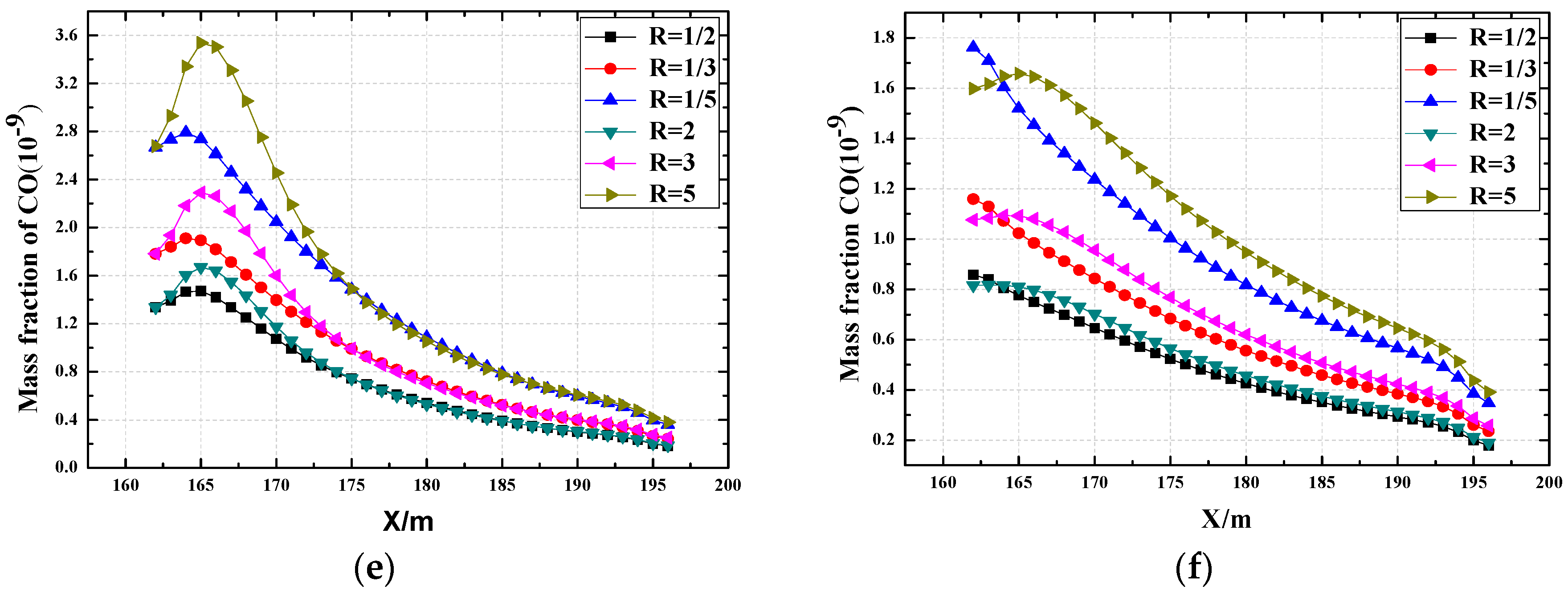
3.3. Influence of Source Intensity on Pollution Levels in Street Space
4. Conclusions
Acknowledgments
Author Contributions
Conflicts of Interest
References
- Gong, T.; Ming, T.; Huang, X.; de Richter, R.K.; Wu, Y.; Liu, W. Numerical analysis on a solar chimney with an inverted U-type cooling tower to mitigate urban air pollution. Sol. Energy 2017, 147, 68–82. [Google Scholar] [CrossRef]
- Song, J.; Guang, W.; Li, L.; Xiang, R. Assessment of Air Quality Status in Wuhan, China. Atmosphere 2016, 7, 56. [Google Scholar] [CrossRef]
- Deng, Q.; Lu, C.; Yu, Y.; Li, Y.; Sundell, J.; Norbäck, D. Early life exposure to traffic-related air pollution and allergic rhinitis in preschool children. Respir. Med. 2016, 121, 67–73. [Google Scholar] [CrossRef] [PubMed]
- Deng, Q.; Chan, L.; Wei, J.; Zhao, J.; Deng, L.; Xiang, Y. Association of outdoor air pollution and indoor renovation with early childhood ear infection in China. Chemosphere 2017, 169, 288–296. [Google Scholar] [CrossRef] [PubMed]
- Nicholson, S.E. A pollution model for street-level air. Atmos. Environ. 1975, 9, 19. [Google Scholar] [CrossRef]
- Andreou, E.; Axarli, K. Investigation of urban canyon microclimate in traditional and contemporary environment. Experimental investigation and parametric analysis. Renew. Energy 2012, 43, 354–363. [Google Scholar] [CrossRef]
- Prajapati, S.K.; Tripathi, B.D.; Pathak, V. Distribution of vehicular pollutants in street canyons of Varanasi, India: A different case. Environ. Monit. Assess. 2009, 148, 167–172. [Google Scholar] [CrossRef] [PubMed]
- Salizzoni, P.; Soulhac, L.; Mejean, P. Street canyon ventilation and atmospheric turbulence. Atmos. Environ. 2009, 43, 5056–5067. [Google Scholar] [CrossRef]
- Allegrini, J.; Dorer, V.; Carmeliet, J. Wind tunnel measurements of buoyant flows in street canyons. Build. Environ. 2013, 59, 315–326. [Google Scholar] [CrossRef]
- Stabile, L.; Arpino, F.; Buonanno, G.; Russi, A.; Frattolillo, A. A simplified benchmark of ultrafine particle dispersion in idealized urban street canyons: A wind tunnel study. Build. Environ. 2015, 93, 186–198. [Google Scholar] [CrossRef]
- Wang, Y.; Huang, Z.; Liu, Y.; Yu, Q.; Ma, W. Back-Calculation of Traffic-Related PM10 Emission Factors Based on Roadside Concentration Measurements. Atmosphere 2017, 8, 99. [Google Scholar] [CrossRef]
- Chew, L.; Nazarian, N.; Norford, L. Pedestrian-Level Urban Wind Flow Enhancement with Wind Catchers. Atmosphere 2017, 8, 159. [Google Scholar] [CrossRef]
- Zhou, Y.; Deng, Q. Numerical simulation of inter-floor airflow and impact on pollutant transport in high-rise buildings due to buoyancy-driven natural ventilation. Indoor Built Environ. 2014, 23, 246–258. [Google Scholar] [CrossRef]
- Soulhac, L.; Mejean, P.; Perkins, R.J. Modelling the transport and dispersion of pollutants in street canyons. Int. J. Environ. Pollut. 2001, 16, 404–416. [Google Scholar] [CrossRef]
- Kim, J.J.; Baik, J.J. A numerical study of the effects of ambient wind direction on flow and dispersion in urban street canyons using the RNG—Turbulence model. Atmos. Environ. 2004, 38, 3039–3048. [Google Scholar] [CrossRef]
- Balogun, A.A.; Tomlin, A.S.; Wood, C.R.; Barlow, J.F.; Belcher, S.E.; Smalley, R.J.; Lingard, J.J.N.; Arnold, S.J.; Dobre, A.; Robins, A.G. In-Street Wind Direction Variability in the Vicinity of a Busy Intersection in Central London. Bound.-Layer Meteorol. 2010, 136, 489–513. [Google Scholar] [CrossRef][Green Version]
- Kim, J.J.; Baik, J.J. Effects of inflow turbulence intensity on flow and pollutant dispersion in an urban street canyon. J. Wind Eng. Ind. Aerodyn. 2003, 91, 309–329. [Google Scholar] [CrossRef]
- Chan, A.T.; So, E.S.; Samad, S.C. Erratum to “Strategic guidelines for street canyon geometry to achieve sustainable street air quality” (Atmospheric Environment 35 (24) 4089–4098). Atmos. Environ. 2001, 35, 5679. [Google Scholar] [CrossRef]
- Chan, A.T.; So, E.S.; Samad, S.C. Strategic guidelines for street canyon geometry to achieve sustainable street air quality. Atmos. Environ. 2001, 35, 5681–5691. [Google Scholar] [CrossRef]
- Chang, C.H.; Meroney, R.N. Concentration and flow distributions in urban street canyons: Wind tunnel and computational data. J. Wind Eng. Ind. Aerodyn. 2003, 91, 1141–1154. [Google Scholar] [CrossRef]
- Liu, C.; Barth, M.C.; Leung, D.Y.C. Large-Eddy Simulation of Flow and Pollutant Transport in Street Canyons of Different Building-Height-to-Street-Width Ratios. J. Appl. Meteorol. 2004, 43, 1410–1424. [Google Scholar] [CrossRef]
- Kang, Y.S.; Baik, J.J.; Kim, J.J. Further studies of flow and reactive pollutant dispersion in a street canyon with bottom heating. Atmos. Environ. 2008, 42, 4964–4975. [Google Scholar] [CrossRef]
- Kim, J.J.; Baik, J.J. Effects of Street-Bottom and Building-Roof Heating on Flow in Three-Dimensional Street Canyons. Adv. Atmos. Sci. 2010, 27, 513–527. [Google Scholar] [CrossRef]
- Kim, J.J.; Pardyjak, E.; Kim, D.Y.; Han, K.S.; Kwon, B.H. Effects of building-roof cooling on flow and air temperature in urban street canyons. Asia Pac. J. Atmos. Sci. 2014, 50, 365–375. [Google Scholar] [CrossRef]
- Gronemeier, T.; Raasch, S.; Ng, E. Effects of Unstable Stratification on Ventilation in Hong Kong. Atmosphere 2017, 8, 168. [Google Scholar] [CrossRef]
- Lateb, M.; Meroney, R.N.; Yataghene, M.; Fellouah, H.; Saleh, F.; Boufadel, M.C. On the use of numerical modelling for near-field pollutant dispersion in urban environments—A review. Environ. Pollut. 2016, 208, 271–283. [Google Scholar] [CrossRef] [PubMed]
- Nosek, Š.; Kukačka, L.; Kellnerová, R.; Jurčáková, K.; Jaňour, Z. Ventilation Processes in a Three-Dimensional Street Canyon. Bound.-Layer Meteorol. 2016, 159, 1–26. [Google Scholar] [CrossRef]
- Gu, Z.; Zhang, Y.; Cheng, Y.; Lee, S.C. Effect of uneven building layout on air flow and pollutant dispersion in non-uniform street canyons. Build. Environ. 2011, 46, 2657–2665. [Google Scholar] [CrossRef]
- Nosek, Š.; Kukačka, L.; Jurčáková, K.; Kellnerová, R.; Jaňour, Z. Impact of roof height non-uniformity on pollutant transport between a street canyon and intersections. Environ. Pollut. 2017, 227, 125. [Google Scholar] [CrossRef] [PubMed]
- Tominaga, Y.; Mochida, A.; Yoshie, R.; Kataoka, H.; Nozu, T.; Yoshikawa, M.; Shirasawa, T. AIJ guidelines for practical applications of CFD to pedestrian wind environment around buildings. J. Wind Eng. Ind. Aerodyn. 2008, 96, 1749–1761. [Google Scholar] [CrossRef]
- Ming, T.; Gong, T.; Peng, C.; Li, Z. Pollutant Dispersion in Built Environment; Springer: Singapore, 2017. [Google Scholar]
- de_Richter, R.; Ming, T.; Davies, P.; Liu, W.; Caillol, S. Removal of non-CO2 greenhouse gases by large-scale atmospheric solar photocatalysis. Prog. Energy Combust. Sci. 2017, 60, 68–96. [Google Scholar] [CrossRef]
- Chan, T.L.; Dong, G.; Leung, C.W.; Cheung, C.S.; Hung, W.T. Validation of a two-dimensional pollutant dispersion model in an isolated street canyon. Atmos. Environ. 2002, 36, 861–872. [Google Scholar] [CrossRef]
- Blocken, B.; Stathopoulos, T.; Saathoff, P.; Wang, X. Numerical evaluation of pollutant dispersion in the built environment: Comparisons between models and experiments. J. Wind Eng. Ind. Aerodyn. 2008, 96, 1817–1831. [Google Scholar] [CrossRef]
- Nazridoust, K.; Ahmadi, G. Airflow and pollutant transport in street canyons. J. Wind Eng. Ind. Aerodyn. 2006, 94, 491–522. [Google Scholar] [CrossRef]
- Blocken, B.; Stathopoulos, T.; Carmeliet, J.; Hensen, J.L.M. Application of computational fluid dynamics in building performance simulation for the outdoor environment: An overview. J. Build. Perform. Simul. 2011, 4, 157–184. [Google Scholar] [CrossRef]
- Tominaga, Y.; Stathopoulos, T. CFD modeling of pollution dispersion in a street canyon: Comparison between LES and RANS. J. Wind Eng. Ind. Aerodyn. 2011, 99, 340–348. [Google Scholar] [CrossRef]
- Xie, X.; Liu, C.H.; Leung, D.Y.C.; Leung, M.K.H. Characteristics of air exchange in a street canyon with ground heating. Atmos. Environ. 2006, 40, 6396–6409. [Google Scholar] [CrossRef]
- Xie, X.; Liu, C.H.; Leung, D.Y.C. Impact of building facades and ground heating on wind flow and pollutant transport in street canyons. Atmos. Environ. 2007, 41, 9030–9049. [Google Scholar] [CrossRef]
- Hang, J.; Li, S. Effect Of Urban Morphology On Wind Condition In Idealized City Models. Atmos. Environ. 2009, 43, 869–878. [Google Scholar] [CrossRef]
- Yakhot, V.; Orszag, S.A. Renormalization group and local order in strong turbulence. Nucl. Phys. B 1987, 2, 417–440. [Google Scholar] [CrossRef]
- Li, X.; Liu, C.H.; Leung, D.Y.C. Development of a k–ε model for the determination of air exchange rates for street canyons. Atmos. Environ. 2005, 39, 7285–7296. [Google Scholar] [CrossRef]
- Hang, J.; Li, Y.; Sandberg, M.; Buccolieri, R.; Sabatino, S.D. The influence of building height variability on pollutant dispersion and pedestrian ventilation in idealized high-rise urban areas. Build. Environ. 2012, 56, 346–360. [Google Scholar] [CrossRef]
- Rajapaksha, I.; Nagai, H.; Okumiya, M. A ventilated courtyard as a passive cooling strategy in the warm humid tropics. Renew. Energy 2003, 28, 1755–1778. [Google Scholar] [CrossRef]
- Leung, K.K.; Liu, C.H.; Wong, C.C.C.; Lo, J.C.Y.; Ng, G.C.T. On the study of ventilation and pollutant removal over idealized two-dimensional urban street canyons. Build. Simul. 2012, 5, 359–369. [Google Scholar] [CrossRef]
- Wang, H.; Chen, Q. A new empirical model for predicting single-sided, wind-driven natural ventilation in buildings. Energy Build. 2012, 54, 386–394. [Google Scholar] [CrossRef]
- Zhang, K.; Yao, L. Research on the relationship between driving behavior and exhaust emission. Highw. Automot. Appl. 2014, 160, 39–43. [Google Scholar]
- Patankar, S.V. Numerical Heat Transfer and Fluid Flow; CRC press: Boca Raton, FL, USA, 1980; pp. 125–126. [Google Scholar]
- Michioka, T.; Takimoto, H.; Kanda, M. Large-Eddy Simulation for the Mechanism of Pollutant Removal from a Two-Dimensional Street Canyon. Bound.-Layer Meteorol. 2011, 138, 195–213. [Google Scholar] [CrossRef]
















| Speed Range km/h | Emission Rate mg/(veh s) | ||
|---|---|---|---|
| NOx | HC | CO | |
| 0–10 | 0.20013 | 0.53241 | 5.90124 | 
| 10–20 | 0.67005 | 1.01235 | 19.86452 | 
| 20–30 | 1.65470 | 1.05106 | 22.14546 | 
| 30–40 | 2.03404 | 1.10454 | 23.14653 | 
| 40–50 | 3.10247 | 1.22414 | 26.15460 | 
| 50–60 | 2.75461 | 1.45127 | 24.15641 | 
| 60–70 | 4.05120 | 1.10021 | 14.48432 | 
| 70–80 | 4.16471 | 1.01145 | 9.08424 | 
| 80–90 | 3.45153 | 1.02104 | 4.11461 | 
| 90–100 | 2.13451 | 1.01412 | 2.21457 | 
| >100 | 1.02465 | 1.01214 | 0.94564 | 
| Experimental Value | Time | Morning | Evening | Noon | Other Times | 
| 6:00–8:30 | 17:30–20:00 | 11:30–13:00 | 8:30–11:30 | ||
| 13:00–17:30 | |||||
| Traffic flow on the left side (vehicle) | 62 | 30 | 30 | 16 | |
| Driving speed on the left side (km/h) | 11 | 25 | 25 | 40 | |
| CO emission rate (mg/s) | 19.86 | 22.14 | 22.15 | 26.15 | |
| Pollution source intensity on the left side (kg/m3 s) | 9.93 × 10−7 | 5.5 × 10−7 | 5.5 × 10−7 | 3.3 × 10−7 | |
| Traffic flow on the right side (vehicle) | 28 | 72 | 30 | 16 | |
| Driving speed on the right side (km/h) | 25 | 11 | 25 | 40 | |
| CO emission rate (mg/s) | 22.14 | 19.86 | 22.15 | 26.15 | |
| Pollution source intensity on the right side (kg/m3 s) | 5.54 × 10−7 | 1.15 × 10−6 | 5.5 × 10−7 | 3.3 × 10−7 | 
| Pollution Source at the Left Side (kg/m3 s) | Pollution Source at the Right Side (kg/m3 s) | 
|---|---|
| 2 × 10−7 | 1 × 10−7 | 
| 3 × 10−7 | 1 × 10−7 | 
| 5 × 10−7 | 1 × 10−7 | 
| 1 × 10−7 | 2 × 10−7 | 
| 1 × 10−7 | 3 × 10−7 | 
| 1 × 10−7 | 5 × 10−7 | 
© 2018 by the authors. Licensee MDPI, Basel, Switzerland. This article is an open access article distributed under the terms and conditions of the Creative Commons Attribution (CC BY) license (http://creativecommons.org/licenses/by/4.0/).
Share and Cite
Ming, T.; Fang, W.; Peng, C.; Cai, C.; De Richter, R.; Ahmadi, M.H.; Wen, Y. Impacts of Traffic Tidal Flow on Pollutant Dispersion in a Non-Uniform Urban Street Canyon. Atmosphere 2018, 9, 82. https://doi.org/10.3390/atmos9030082
Ming T, Fang W, Peng C, Cai C, De Richter R, Ahmadi MH, Wen Y. Impacts of Traffic Tidal Flow on Pollutant Dispersion in a Non-Uniform Urban Street Canyon. Atmosphere. 2018; 9(3):82. https://doi.org/10.3390/atmos9030082
Chicago/Turabian StyleMing, Tingzhen, Weijie Fang, Chong Peng, Cunjin Cai, Renaud De Richter, Mohammad Hossein Ahmadi, and Yuangao Wen. 2018. "Impacts of Traffic Tidal Flow on Pollutant Dispersion in a Non-Uniform Urban Street Canyon" Atmosphere 9, no. 3: 82. https://doi.org/10.3390/atmos9030082
APA StyleMing, T., Fang, W., Peng, C., Cai, C., De Richter, R., Ahmadi, M. H., & Wen, Y. (2018). Impacts of Traffic Tidal Flow on Pollutant Dispersion in a Non-Uniform Urban Street Canyon. Atmosphere, 9(3), 82. https://doi.org/10.3390/atmos9030082
 
        

 
       