Tropical Atlantic Response to Last Millennium Volcanic Forcing
Abstract
1. Introduction
2. Experiments
2.1. Data and Methods
2.2. Model Details and Volcanic Forcing
3. Results
3.1. Tropical Atlantic During the Last Millennium
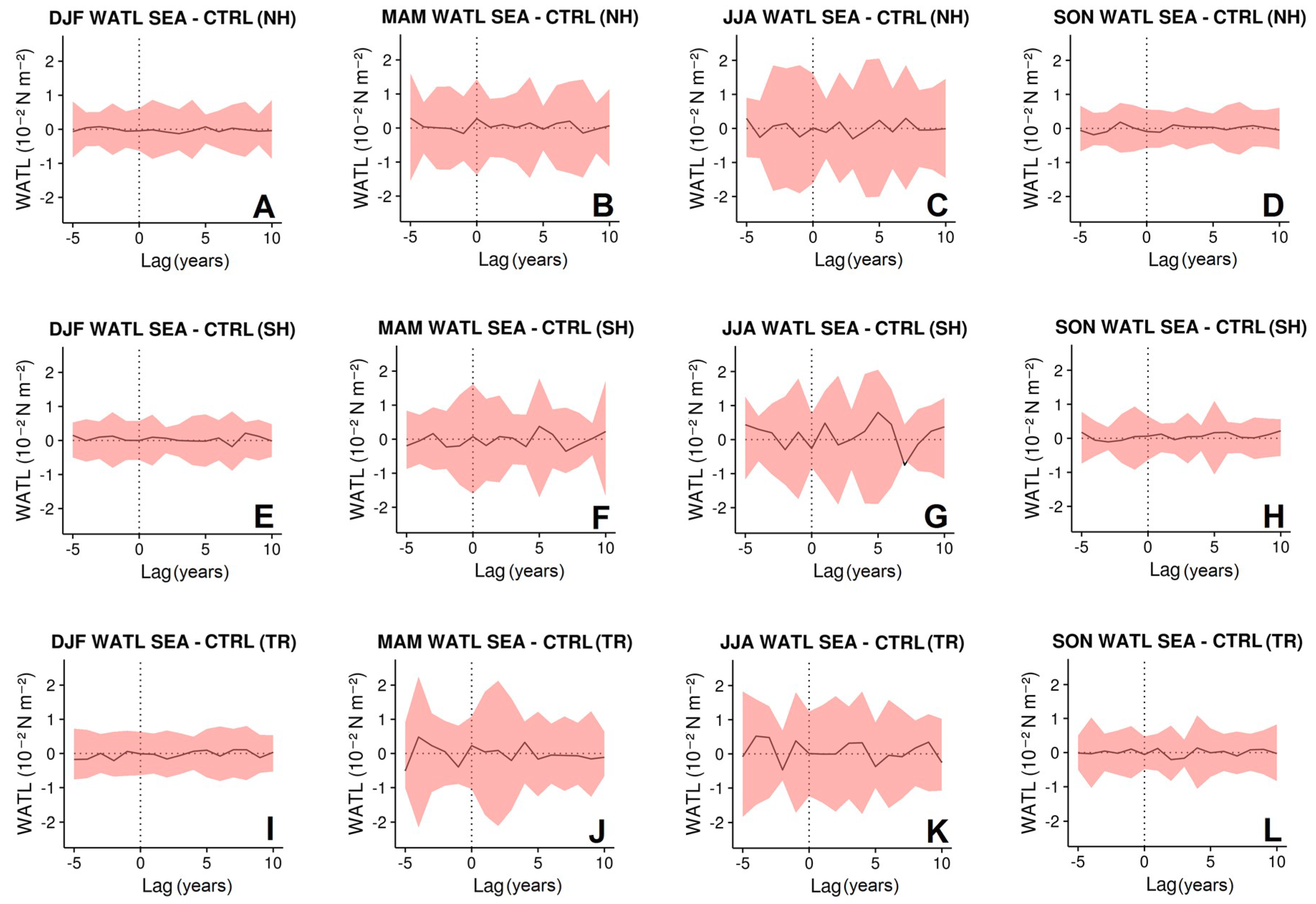
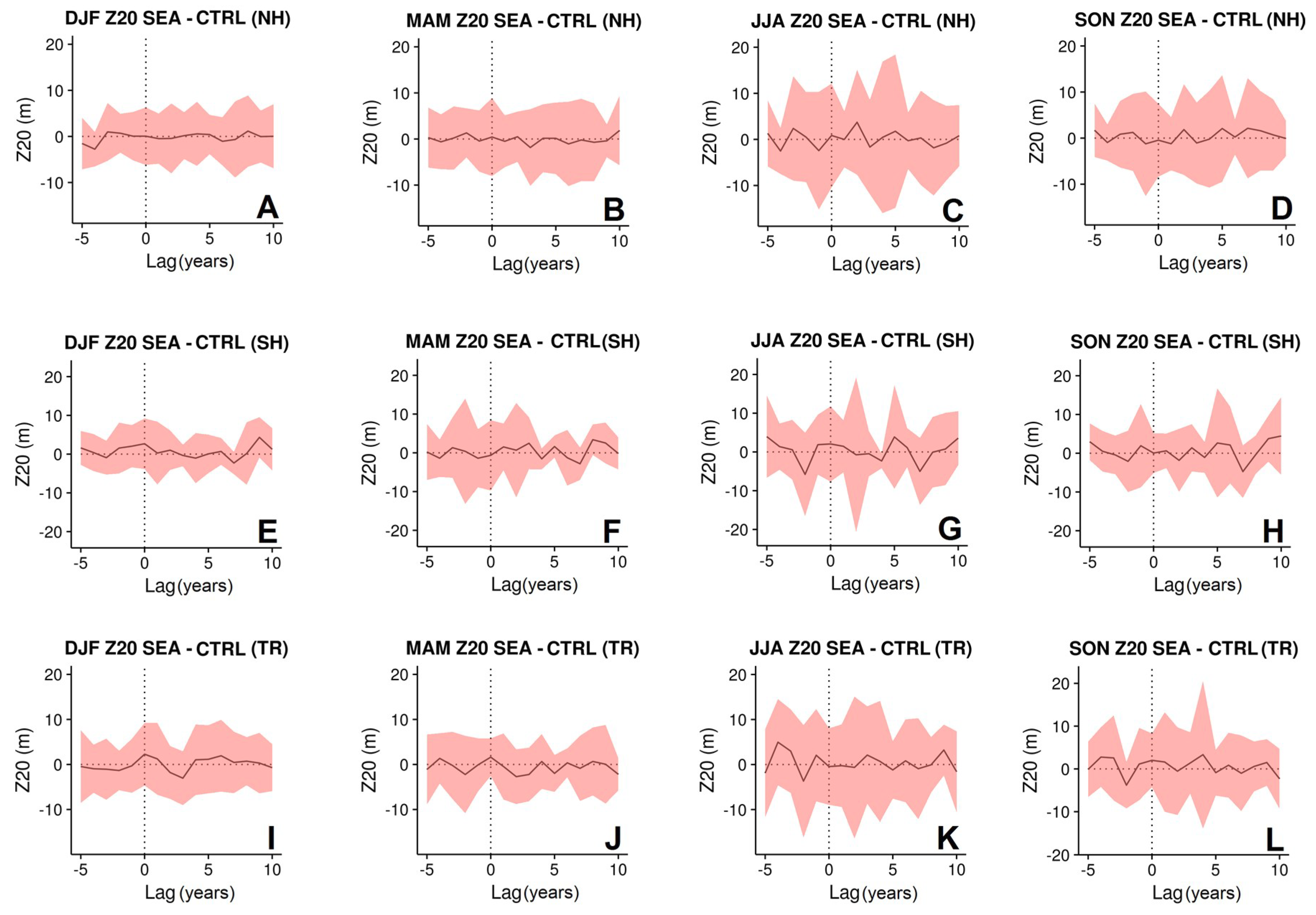
3.2. Air–sea Interaction in the Tropical Atlantic
3.3. Effects on Tropical Atlantic
3.3.1. Precipitation
3.3.2. ITCZ shifts
4. Discussion
5. Conclusions
Author Contributions
Funding
Acknowledgments
Conflicts of Interest
References
- Zebiak, S.E. Air-sea interaction in the equatorial Atlantic region. J. Clim. 1993, 6, 1567–1586. [Google Scholar] [CrossRef]
- Chang, P.; Yamagata, T.; Schopf, P.; Behera, S.K.; Carton, J.; Kessler, W.S.; Meyers, G.; Qu, T.; Schott, F.; Shetye, S.; et al. Climate fluctuations of tropical coupled systems–The role of ocean dynamics. J. Clim. 2006, 19, 5122–5174. [Google Scholar] [CrossRef]
- Keenlyside, N.S.; Latif, M. Understanding equatorial Atlantic interannual variability. J. Clim. 2007, 20, 131–142. [Google Scholar] [CrossRef]
- Lübbecke, J.F.; McPhaden, M.J. A comparative stability analysis of Atlantic and Pacific Niño modes. J. Clim. 2013, 26, 5965–5980. [Google Scholar] [CrossRef]
- Dippe, T.; Greatbatch, R.J.; Ding, H. On the relationship between Atlantic Niño variability and ocean dynamics. Clim. Dyn. 2018, 51, 597–612. [Google Scholar] [CrossRef]
- Carton, J.A.; Cao, X.; Giese, B.S.; Da Silva, A.M. Decadal and interannual SST variability in the Tropical Atlantic Ocean. J. Phys. Oceanogr. 1996, 26, 1165–1175. [Google Scholar] [CrossRef]
- Ruiz-Barradas, A.; Carton, J.A.; Nigam, S. Structure of interannual-to-decadal climate variability in the Tropical Atlantic sector. J. Clim. 2000, 13, 3285–3297. [Google Scholar] [CrossRef]
- Tokinaga, H.; Xie, S.P. Weakening of the equatorial Atlantic cold tongue over the past six decades. Nat. Geosci. 2011, 4, 222–226. [Google Scholar] [CrossRef]
- Carton, J.A.; Huang, B. Warm events in the Tropical Atlantic. J. Phys. Oceanogr. 1994, 24, 888–903. [Google Scholar] [CrossRef]
- Servain, J.; Wainer, I.; Ayina, H.L.; Roquet, H. The relationship between the simulated climatic variability modes of the Tropical Atlantic. Int. J. Climatol. 2000, 20, 939–953. [Google Scholar] [CrossRef]
- Okumura, Y.; Xie, S.P. Interaction of the Atlantic equatorial cold tongue and the African monsoon. J. Clim. 2004, 17, 3589–3602. [Google Scholar] [CrossRef]
- Stenchikov, G.L.; Kirchner, I.; Robock, A.; Graf, H.F.; Antuna, J.C.; Grainger, R.; Lambert, A.; Thomason, L. Radiative forcing from the 1991 Mount Pinatubo volcanic eruption. J. Geophys. Res. 1998, 10, 13837–13857. [Google Scholar] [CrossRef]
- Zielinski, G.A. Use of paleo-records in determining variability within the volcanism-climate system. Quat. Sci. Rev. 2000, 19, 417–438. [Google Scholar] [CrossRef]
- Miller, G.H.; Geirsdóttir, A.; Zhong, Y.; Larsen, D.J.; Otto-Bliesner, B.L.; Holland, M.M.; Bailey, D.A.; Refsnider, K.A.; Lehman, S.J.; Southon, J.R.; et al. Abrupt onset of the Little Ice Age triggered by volcanism and sustained by sea-ice/ocean feedbacks. Geophys. Res. Lett. 2012, 39, L02708. [Google Scholar] [CrossRef]
- Sigl, M.; Winstrup, M.; McConnell, J.R.; Welten, K.C.; Plunkett, G.; Ludlow, F.; Büntgen, U.; Caffee, M.; Chellman, N.; Dahl-Jensen, D.; et al. Timing and climate forcing of volcanic eruptions for the past 2500 years. Nature 2015, 523, 543–549. [Google Scholar] [CrossRef] [PubMed]
- Lavigne, F.; Degeai, J.P.; Komorowski, J.C.; Guillet, S.; Robert, V.; Lahitte, P.; Oppenheimer, C.; Stoffel, M.; Vidal, C.M.; Surono; et al. Source of the great A.D. 1257 mystery eruption unveiled, Samalas volcano, Rinjani Volcanic Complex, Indonesia. Proc. Natl. Acad. Sci. USA 2013, 110, 16742–16747. [Google Scholar] [CrossRef] [PubMed]
- Gao, C.; Robock, A.; Ammann, C. Volcanic forcing of climate over the last 1500 years: An improved ice core-based index for climate models. J. Geophys. Res. 2008, 113, D23111. [Google Scholar] [CrossRef]
- Crowley, T.J.; Unterman, M.B. Technical details concerning development of a 1200 yr proxy index for global volcanism. Earth Syst. Sci. Data 2013, 5, 187–197. [Google Scholar] [CrossRef]
- Toohey, M.; Sigl, M. Volcanic stratospheric sulfur injections and aerosol optical depth from 500 BCE to 1900 CE. Earth Syst. Sci. Data 2017, 9, 809–831. [Google Scholar] [CrossRef]
- Brönnimann, S.; Kramer, D. Tambora and the “Year Without A Summer” of 1816. A Perspective on Earth and Human Systems Science; Swiss Commission for Atmospheric Chemistry and Physics: Gerlafingen, Switzerland, 2016; p. 48. ISBN 978-3-905835-46-5. [Google Scholar] [CrossRef]
- Anchukaitis, K.J.; Breitenmoser, P.; Briffa, K.R.; Buchwal, A.; Büntgen, U.; Cook, E.R.; D’Arrigo, R.D.; Esper, J.; Evans, M.N.; Frank, D.; et al. Tree rings and volcanic cooling. Nat. Geosci. 2012, 5, 836–837. [Google Scholar] [CrossRef]
- Ding, H.; Carton, J.A.; Chepurin, G.A.; Stenchikov, G.; Robock, A.; Sentman, L.T.; Krasting, J.P. Ocean response to volcanic eruptions in Coupled Model Intercomparison Project 5 simulations. J. Geophys. Res. Oceans 2014, 119, 5622–5637. [Google Scholar] [CrossRef]
- Stenchikov, G.L.; Delworth, T.L.; Ramaswamy, V.; Stouffer, R.J.; Wittenberg, A.; Zeng, F. Volcanic signals in oceans. J. Geophys. Res. 2009, 114, D16104. [Google Scholar] [CrossRef]
- Church, J.A.; White, N.J.; Arblaster, J.M. Significant decadal-scale impact of volcanic eruptions on sea level and ocean heat content. Nature 2005, 438, 74–77. [Google Scholar] [CrossRef] [PubMed]
- Iles, C.E.; Hegerl, G.C.; Schurer, A.P.; Zhang, X. The effect of volcanic eruptions on global precipitation. J. Geophys. Res. Atmos. 2013, 118, 8770–8786. [Google Scholar] [CrossRef]
- Liu, F.; Chai, J.; Wang, B.; Liu, J.; Zhang, X.; Wang, Z. Global monsoon precipitation responses to large volcanic eruptions. Sci. Rep. 2016, 6, 24331. [Google Scholar] [CrossRef] [PubMed]
- Robock, A.; Taylor, K.E.; Stenchikov, G.L.; Liu, Y. GCM evaluation of a mechanism for El Niño triggering by the El Chichón ash cloud. Geophys. Res. Lett. 1995, 22, 2369–2372. [Google Scholar] [CrossRef]
- Mann, M.E.; Cane, M.A.; Zebiak, S.E.; Clement, A. Volcanic and solar forcing of the tropical Pacific over the past 1000 years. J. Clim. 2005, 18, 447–456. [Google Scholar] [CrossRef]
- Emile-Geay, J.; Seager, R.; Cane, M.A.; Cook, E.R.; Haug, G.H. Volcanoes and ENSO over the past millennium. J. Clim. 2008, 21, 3134–3148. [Google Scholar] [CrossRef]
- Christiansen, B. Volcanic eruptions, large-scale modes in the northern hemisphere, and the El Niño-Southern Oscillation. J. Clim. 2008, 21, 910–922. [Google Scholar] [CrossRef]
- Stevenson, S.; Otto-Bliesner, B.; Fasullo, J.; Brady, E. “El Niño Like” hydroclimate responses to last millennium volcanic eruptions. J. Clim. 2016, 29, 2907–2921. [Google Scholar] [CrossRef]
- Predybaylo, E.; Stenchikov, G.L.; Wittenberg, A.T.; Zeng, F. Impacts of a Pinatubo-size volcanic eruption on ENSO. J. Geophys. Res. Atmos. 2017, 122, 925–947. [Google Scholar] [CrossRef]
- Khodri, M.; Izumo, T.; Vialard, J.; Janicot, S.; Cassou, C.; Lengaigne, M.; Mignot, J.; Gastineau, G.; Guilyardi, E.; Lebas, N.; et al. Tropical explosive volcanic eruptions can trigger El Niño by cooling tropical Africa. Nat. Commun. 2017, 8, 778. [Google Scholar] [CrossRef] [PubMed]
- Colose, C.M.; LeGrande, A.N.; Vuille, M. The influence of volcanic eruptions on the climate of tropical South America during the last millennium in an isotope-enabled general circulation model. Clim. Past 2016, 12, 961–979. [Google Scholar] [CrossRef]
- Stevenson, S.; Fasullo, J.T.; Otto-Bliesner, B.L.; Tomas, R.A.; Gao, C. Role of eruption season in reconciling model and proxy responses to tropical volcanism. Proc. Natl. Acad. Sci. USA 2017, 114, 1822–1826. [Google Scholar] [CrossRef] [PubMed]
- Adams, J.B.; Mann, M.E.; Ammann, C.M. Proxy evidence for an El Niño-like response to volcanic forcing. Nature 2003, 426, 274–278. [Google Scholar] [CrossRef] [PubMed]
- Li, J.; Xie, S.P.; Cook, E.R.; Morales, M.S.; Christie, D.A.; Johnson, N.C.; Chen, F.; D’Arrigo, R.; Fowler, A.M.; Gou, X.; et al. El Niño modulations over the past seven centuries. Nat. Clim. Chang. 2013, 3, 822–826. [Google Scholar] [CrossRef]
- Wahl, E.R.; Diaz, H.F.; Smerdon, J.E.; Ammann, C.M. Late winter temperature response to large tropical volcanic eruptions in temperate western North America: Relationship to ENSO phases. Glob. Planet. Chang. 2014, 122, 238–250. [Google Scholar] [CrossRef]
- Anchukaitis, K.J.; Buckley, B.M.; Cook, E.R.; Cook, B.I.; D’Arrigo, R.D.; Ammann, C.M. Influence of volcanic eruptions on the climate of the Asian monsoon region. Geophys. Res. Lett. 2010, 37, L22703. [Google Scholar] [CrossRef]
- McGregor, S.; Timmermann, A. The effect of explosive tropical volcanism on ENSO. J. Clim. 2011, 24, 2178–2191. [Google Scholar] [CrossRef]
- Stoffel, M.; Khodri, M.; Corona, C.; Guillet, S.; Poulain, V.; Bekki, S.; Guiot, J.; Luckman, B.H.; Oppenheimer, C.; Lebas, N.; et al. Estimates of volcanic-induced cooling in the Northern Hemisphere over the past 1500. Nat. Geosci. 2015, 8, 784–790. [Google Scholar] [CrossRef]
- Ohba, M.; Shiogama, H.; Yokohata, T.; Watanabe, M. Estimates of volcanic-induced cooling in the Northern Hemisphere over the past 1500. J. Clim. 2013, 26, 784–790. [Google Scholar] [CrossRef]
- Haywood, J.M.; Jones, A.; Bellouin, N.; Stephenson, D. Asymmetric forcing from stratospheric aerosols impacts Sahelian rainfall. Nat. Clim. Chang. 2013, 3, 660–665. [Google Scholar] [CrossRef]
- Wang, L.C.; Jin, F.F.; Wu, C.R.; Hsu, H.H. Dynamics of upwelling annual cycle in the equatorial Atlantic Ocean. Geophys. Res. Lett. 2017, 44, 3737–3743. [Google Scholar] [CrossRef]
- Deppenmeier, A.L.; Haarsma, R.J.; Hazeleger, W. The Bjerknes feedback in the Tropical Atlantic in CMIP5 models. Clim. Dyn. 2016, 47, 2691–2707. [Google Scholar] [CrossRef]
- Otto-Bliesner, B.L.; Brady, E.C.; Fasullo, J.; Jahn, A.; Landrum, L.; Stevenson, S.; Rosenbloom, N.; Mai, A.; Strand, G. Climate variability and change since 850 C.E.: An ensemble approach with the Community Earth System Model (CESM). Bull. Amer. Meteor. Soc. 2016, 97, 735–754. [Google Scholar] [CrossRef]
- Zuo, M.; Man, W.; Zhou, T.; Guo, Z. Different impacts of Northern, Tropical, and Southern volcanic eruptions on the Tropical Pacific SST in the Last Millennium. J. Clim. 2018, 31, 6729–6744. [Google Scholar] [CrossRef]
- Lübbecke, J.F.; McPhaden, M.J. Symmetry of the Atlantic Niño mode. Geophys. Res. Lett. 2017, 44, 965–973. [Google Scholar] [CrossRef]
- Yang, H.; Wang, F. Revisiting the thermocline depth in the equatorial Pacific. J. Clim. 2009, 22, 3856–3863. [Google Scholar] [CrossRef]
- Hurrell, J.; Holland, M.M.; Gent, P.R.; Ghan, S.; Kay, J.E.; Kushner, P.J.; Lamarque, J.F.; Large, W.G.; Lawrence, D.; Lindsay, K.; et al. The community earth system model: A framework for collaborative research. Bull. Amer. Meteor. Soc. 2013, 94, 1339–1360. [Google Scholar] [CrossRef]
- Braconnot, P.; Harrison, S.; Kageyama, M.; Bartlein, P.J.; Masson-Delmotte, V.; Abe-Ouchi, A.; Otto-Bliesner, B.; Zhao, Y. Evaluation of climate models using palaeoclimatic data. Nat. Clim. Chang. 2012, 2, 417–424. [Google Scholar] [CrossRef]
- Schmidt, G.A.; Jungclaus, J.H.; Ammann, C.M.; Bard, E.; Braconnot, P.; Crowley, T.J.; Delaygue, G.; Joos, F.; Krivova, N.A.; Muscheler, R.; et al. Climate forcing reconstructions for use in PMIP simulations of the last millennium (v1.0). Geosci. Model Dev. 2011, 4, 33–45. [Google Scholar] [CrossRef]
- Schmidt, G.A.; Jungclaus, J.H.; Ammann, C.M.; Bard, E.; Braconnot, P.; Crowley, T.J.; Delaygue, G.; Joos, F.; Krivova, N.A.; Muscheler, R.; et al. Climate forcing reconstructions for use in PMIP simulations of the last millennium (v1.1). Geosci. Model Dev. 2012, 5, 185–191. [Google Scholar] [CrossRef]
- Berger, A. Long-term variations of daily insolation and quaternary climatic changes. J. Atmos. Sci. 1978, 35, 2362–2367. [Google Scholar] [CrossRef]
- Vieira, L.E.A.; Solanki, S.K.; Krivova, N.A.; Usoskin, I. Evolution of the solar irradiance during the Holocene. Astron. Astrophys. 2011, 531, A6. [Google Scholar] [CrossRef]
- Pongratz, J.; Reick, C.H.; Raddatz, T.; Claussen, M. A reconstruction of global agricultural areas and land cover for the last millennium. Glob. Biogeochem. Cycles 2008, 22, GB3018. [Google Scholar] [CrossRef]
- Hurtt, G.C.; Chini, L.P.; Frolking, S.; Betts, R.A.; Feddema, J.; Fischer, G.; Fisk, J.P.; Hibbard, K.; Houghton, R.A.; Janetos, A.; et al. Harmonization of land-use scenarios for the period 1500–2100: 600 years of global gridded annual land-use transitions, wood harvest, and resulting secondary lands. Clim. Chang. 2011, 109, 117–161. [Google Scholar] [CrossRef]
- Gent, P.R.; Danabasoglu, G.; Donner, L.J.; Holland, M.M.; Hunke, E.C.; Jayne, S.R.; Lawrence, D.M.; Neale, R.B.; Rasch, P.J.; Vertenstein, M.; et al. The Community Climate System Model version 4. J. Clim. 2011, 24, 4973–4991. [Google Scholar] [CrossRef]
- Landrum, L.; Otto-Bliesner, B.L.; Wahl, E.R.; Conley, A.; Lawrence, P.J.; Rosenbloom, N.; Teng, H. Last millennium climate and its variability in CCSM4. J. Clim. 2013, 26, 1085–1111. [Google Scholar] [CrossRef]
- Bjerknes, J. Atmospheric teleconnections from the equatorial Pacific. Mon. Weather. Rev. 1969, 97, 163–172. [Google Scholar] [CrossRef]
- Richter, I.; Xie, S.P.; Morioka, Y.; Doi, T.; Taguchi, B.; Behera, S. Phase locking of equatorial Atlantic variabililty through the seasonal migration of the ITCZ. Clim. Dyn. 2016, 48, 1–15. [Google Scholar] [CrossRef]
- Richter, I.; Xie, S.P.; Wittenberg, A.T.; Masumoto, Y. Tropical Atlantic biases and their relation to surface wind stress and terrestrial precipitation. Clim. Dyn. 2012, 38, 985–1001. [Google Scholar] [CrossRef]
- Nobre, P.; Shukla, J. Variations of sea surface temperature, wind stress, and rainfall over the Tropical Atlantic and South America. J. Clim. 1996, 9, 2464–2479. [Google Scholar] [CrossRef]
- Iles, C.E.; Hegerl, G.C. The global precipitation response to volcanic eruptions in the CMIP5 models. Environ. Res. Lett. 2014, 9, 104012. [Google Scholar] [CrossRef]
- Grodsky, S.A.; Carton, J.A.; Nigam, S.; Okumura, Y.M. Tropical Atlantic biases in CCSM4. J. Clim. 2012, 25. [Google Scholar] [CrossRef]
- Richter, I.; Xie, S.P. On the origin of equatorial Atlantic biases in coupled general circulation models. Clim. Dyn. 2008, 31, 587–598. [Google Scholar] [CrossRef]
- Siongco, A.C.; Hohenegger, C.; Stevens, B. The Atlantic ITCZ bias in CMIP5 models. Clim. Dyn. 2015, 45, 1169–1180. [Google Scholar] [CrossRef]
- Breugem, W.P.; Hazeleger, W.; Haarsma, R. Multimodel study of Tropical Atlantic variability and change. Geophys. Res. Lett. 2006, 33, L23706. [Google Scholar] [CrossRef]
- Li, G.; Xie, S.P. Origins of tropical-wide SST biases in CMIP multi-model ensembles. Geophys. Res. Lett. 2012, 39, L22703. [Google Scholar] [CrossRef]
- Otterå, O.H.; Bentsen, M.; Drange, H.; Suo, L. External forcing as a metronome for Atlantic multidecadal variability. Nat. Geosci. 2010, 3, 688–694. [Google Scholar] [CrossRef]
- Robock, A. Volcanic eruptions and climate. Rev. Geophys. 2000, 38, 191–219. [Google Scholar] [CrossRef]











| Class | Year of Eruption |
|---|---|
| Northern (NH) | 1176, 1213, 1600, 1641, 1762 (Laki 1), 1835 |
| Southern (SH) | 1275, 1341, 1452 (Kuwae) |
| Tropical (TR) | 1258 (Samalas), 1284, 1809, 1815 (Tambora) |
| Process | VOLC 1 | CTRL 1 |
|---|---|---|
| Zonal advection feedback | (0.41 ± 0.01) × 10−2 N m−2 K−1 | (0.46 ± 0.01) × 10−2 N m−2 K−1 |
| Thermocline feedback | (4.28 ± 0.05) m/10−2 N m−2 | (4.02 ± 0.06) m/10−2 N m−2 |
| Amplification of ATL3 SST | (2.00 ± 0.05) K m−1 | (2.15 ± 0.06) K m−1 |
© 2018 by the authors. Licensee MDPI, Basel, Switzerland. This article is an open access article distributed under the terms and conditions of the Creative Commons Attribution (CC BY) license (http://creativecommons.org/licenses/by/4.0/).
Share and Cite
Figueiredo Prado, L.; Wainer, I.; Leite da Silva Dias, P. Tropical Atlantic Response to Last Millennium Volcanic Forcing. Atmosphere 2018, 9, 421. https://doi.org/10.3390/atmos9110421
Figueiredo Prado L, Wainer I, Leite da Silva Dias P. Tropical Atlantic Response to Last Millennium Volcanic Forcing. Atmosphere. 2018; 9(11):421. https://doi.org/10.3390/atmos9110421
Chicago/Turabian StyleFigueiredo Prado, Luciana, Ilana Wainer, and Pedro Leite da Silva Dias. 2018. "Tropical Atlantic Response to Last Millennium Volcanic Forcing" Atmosphere 9, no. 11: 421. https://doi.org/10.3390/atmos9110421
APA StyleFigueiredo Prado, L., Wainer, I., & Leite da Silva Dias, P. (2018). Tropical Atlantic Response to Last Millennium Volcanic Forcing. Atmosphere, 9(11), 421. https://doi.org/10.3390/atmos9110421

