1. Introduction
Urbanisation has transformed natural landscapes into densely built environments, resulting in distinct urban climatic patterns inside cities. Urban areas often experience significantly higher temperatures than surrounding rural areas due to factors like increased building density, limited vegetation, and the increased occurrence of heat-retaining surfaces such as asphalt and concrete [
1]. The Urban Heat Island (UHI) effect is a significant challenge in urban climatology, affecting public health, energy consumption, and local ecosystems.
One of the primary drivers of UHI is the replacement of natural surfaces with urban materials [
2]. Buildings, pavements, and roads absorb solar radiation and re-emit it as heat, leading to air temperature increases compared to their rural surroundings [
3,
4,
5,
6]. Urban geometry further amplifies this effect, as narrow streets and tall buildings (so-called urban canyons) trap heat and restrict ventilation, intensifying near-surface warming [
7]. Additionally, anthropogenic heat emissions and climate change can further intensify urban thermal conditions and heat stress in cities [
1,
8,
9,
10,
11]. Although the UHI effect is generally more pronounced during nighttime due to reduced radiative cooling and heat release from urban materials, daytime conditions are essential for understanding surface-driven heating processes controlled by solar radiation [
2,
12]. In particular, solar radiation plays a dominant role in controlling the thermal response of urban materials and small-scale elements such as vehicles. Therefore, daytime measurements are essential to capture radiative heating mechanisms and their immediate impact on near-surface air temperature.
While asphalt and other hard pavements are well-recognised contributors to urban heat storage due to their high thermal mass and large surface coverage [
2,
12], stationary vehicles differ in both scale and thermal behaviour. Unlike pavements, which store heat and release it gradually, vehicle surfaces are typically composed of thin metallic panels with lower effective thermal inertia, allowing them to respond rapidly to solar forcing [
13,
14]. This rapid heating and cooling cycle can generate sharper localised air temperature gradients at pedestrian level, even if their total surface area is smaller than that of surrounding pavements. Therefore, the potential contribution of vehicles is not necessarily a function of areal dominance, but of their distinct radiative and transient thermal dynamics [
2,
15].
In addition to these well-known contributors to urban heat, vehicles represent a less explored but increasingly recognised factor in local thermal amplification. While recent studies have examined the impact of vehicles on urban microclimates in terms of traffic-related heat emissions or vehicle density [
16], the thermal role of vehicle surfaces, including material composition and coating colour, remains largely unaddressed.
Stationary vehicles, particularly those with dark surfaces, absorb substantial solar radiation and re-emit it as heat. Studies have documented significant solar heating in parked vehicles and their potential influence on the surrounding environment [
17,
18,
19]. However, the specific role of vehicle surface colour and material properties on near-vehicle air temperature remains poorly quantified.
Preliminary studies indicate that vehicles with darker colours significantly increase nearby air temperatures. Previous work has shown that black vehicles may elevate surrounding air temperature by up to 3.8 °C compared with lighter ones [
20]. For many years, research on vehicles has focused primarily on emissions produced while driving and how they can affect the urban environment. Indeed, studies have long focused on vehicular emissions of CO
2, NO
x, CO, hydrocarbons, volatile organic compounds, and particulate matter, which contribute to air quality deterioration, greenhouse gas accumulation, and urban smog formation [
21,
22,
23,
24].
Several strategies, such as urban greenery [
25,
26,
27,
28,
29,
30,
31] and reflective materials [
28,
32,
33,
34,
35,
36,
37,
38], have been proposed to mitigate UHI. However, while these strategies target permanent surfaces, transient or semi-permanent urban elements such as vehicles have received little attention.
Many urban climate models represent urban surfaces using simplified thermal and radiative properties, which can limit their ability to capture the behaviour of small or transient elements. In practice, this assumption does not fully reflect observed physical behaviour. Unlike massive urban materials, vehicle surfaces exhibit a much faster thermal response to solar forcing due to their lower thermal mass and metallic composition, leading to sharp and localised air temperature gradients in their immediate surroundings. Metallic vehicle surfaces heat up rapidly under solar exposure and release energy to the surrounding air over short timescales, producing highly localised thermal effects. Field observations have reported near-vehicle air temperature differences of up to several degrees Celsius under strong solar radiation, particularly for dark-coloured vehicles, with differences exceeding 3 °C, while lighter-coloured vehicles typically show increases of up to approximately 2.5 °C [
20].
When such surfaces are omitted or simplified in urban climate models, these rapid radiative and thermal responses may not be adequately captured, potentially contributing to local underestimation of near-surface air temperature under conditions of high solar exposure and limited ventilation.
Capturing these complexities requires three-dimensional (3D) modelling approaches capable of representing radiative exchanges, shading, and heat transfer within complex urban geometries. A range of modelling frameworks exists across different spatial scales. At the urban scale, multi-layer schemes such as the Urban Canopy Model (UCM) and the Building Effect Parameterisation (BEP) implemented in the Weather Research and Forecasting (WRF) model simulate air temperature profiles, heat fluxes, and airflow within urban canyons [
39,
40]. However, these models typically operate at spatial resolutions that do not explicitly resolve small and transient elements such as individual vehicles. At finer spatial scales, building-energy and microclimate simulation tools allow more detailed representation of surface properties, geometry, and radiative processes, including tools such as EnergyPlus, ENVI-met, and SOLWEIG [
41,
42,
43]. These tools provide a useful framework for exploratory assessments of localised thermal effects around individual urban elements, such as those examined in the present study.
Nevertheless, most of these models still neglect vehicles, whose shape, colour, and materials strongly influence local radiative and convective exchanges. The integration of vehicles into 3D urban models therefore represents an emerging area for improving the physical realism of microclimate simulations. Comparing model outputs with empirical data is essential to understand how vehicles act as dynamic thermal elements and to refine their parameterisation within urban climate frameworks.
Previous work based on field measurements has demonstrated that stationary vehicles can significantly influence local air temperature, particularly as a function of surface colour and solar exposure [
20]. However, it remains unclear to what extent commonly used urban microclimate modelling tools are able to reproduce these effects. Evaluating this capability is essential if vehicles are to be explicitly represented in simulation-based assessments of urban heat exposure or mitigation strategies.
Given these gaps in the representation of small and transient urban elements, this study evaluates whether a commonly used 3D building-energy and microclimate modelling workflow (EnergyPlus version 9.0.0 coupled with Honeybee version 0.0.65) can reproduce near-vehicle air temperature patterns with an accuracy comparable to typical measurement uncertainty.
The working hypothesis is that simplified geometric and material representations of vehicles are sufficient to reproduce the magnitude and spatial distribution of near-vehicle air temperature under controlled summer conditions, even though fine-scale turbulence and wake effects cannot be explicitly resolved. Model performance is assessed using standard statistical indicators such as Mean Absolute Error (MAE), Root Mean Square Error (RMSE), bias, and the Pearson correlation coefficient (r), with particular attention to whether errors remain within ranges commonly reported in urban microclimate studies.
The analysis is intentionally limited in scope, based on measurements around four vehicles (two black and two white) at a single parking site in Lisbon during one summer afternoon. The objective is therefore not statistical generalisation, but a methodological feasibility assessment. Because the workflow relies on EnergyPlus, which does not explicitly resolve airflow or turbulence, the results should be interpreted as approximations of local thermal conditions rather than fully resolved micro-scale processes.
By integrating field data with computational simulations, the study provides an initial methodological basis for representing stationary vehicles as distinct urban surfaces in microclimate analyses and for informing future efforts to parameterise vehicle-related materials and radiative properties in urban climate models.
2. Materials and Methods
2.1. Field Measurements
Following the methodology applied by Matias et al. [
20], on-site measurements were conducted on 24 July 2025 in a parking lot located at 38°44′57.2” N, 9°09′22.7” W, in Lisbon, characterised by unobstructed sky exposure and absence of surrounding buildings, ensuring that shading, radiation trapping, and ventilation effects associated with urban canyons are not present. This day was selected for its high air temperatures, low wind speeds, and low relative humidity. In the previous work mentioned, the authors measured the air temperature around just one vehicle of each colour (black and white). In this study, air temperatures were recorded around four vehicles, two black and two white, to assess the influence of vehicle presence on surrounding air temperatures. Using two vehicles per colour helped reduce the influence of individual vehicle characteristics, such as paint condition, body shape, or surface cleanliness, and allowed a preliminary assessment of inter-vehicle variability within each colour group.
All measurements were made at the peak of air temperature, between 1:10 p.m. and 1:40 p.m. Based on the use of a mobile weather station [
44] (located 5 m from the site of measurements), the initial conditions for the measurement were: incoming solar radiation 928 W/m
2, wind speed 2.8 m/s, air temperature 32 °C, 0/8 cloud cover, and relative humidity 36%.
Table 1 summarises the time of measurement in each experiment. During the measurement period, solar elevation was high, with the sun positioned in the southern sector of the sky. All vehicles were oriented facing north, resulting in consistent radiative exposure conditions, with the rear and roof surfaces receiving direct solar radiation.
Measurements were carried out sequentially from one vehicle to another, ensuring that the total time between the first and last measurements did not exceed 30 min. Meteorological conditions remained relatively stable, with only the wind speed presenting some changes during this interval (maximum and average wind speed registered were 3.5 and 1.2 m/s), allowing observations to be considered representative of calm atmospheric conditions.
Figure 1 illustrates the measurement locations, as well as the points where simulated temperatures were extracted. Air temperatures were recorded above the roof of each vehicle at three different heights: 0.2 cm, 20 cm, and 1 m. Measurement locations are defined as follows: Top (T) refers to the central roof area; Front Glass (FG) corresponds to the upper part of the windshield; Front (F) and Front Ahead (FA) represent forward roof sections; Back (B) and Back Glass (BG) correspond to the rear roof area and rear windshield, respectively.
The air temperature around the cars was measured using a handheld Kestrel 5500L weather station (Nielsen-Kellerman, Boothwyn, PA, USA) [
45], protected from direct solar radiation using a white reflective cover positioned above the instrument. The Kestrel 5500L has an accuracy of ±0.5 °C for air temperature measurements, with a resolution of ±0.1 °C and a specification range of −29 °C to 70 °C [
46].
The Kestrel 5500L has a response time of a few seconds under typical outdoor conditions. Although the temperature sensor responds rapidly (on the order of seconds), measurements may be influenced by short-term transients immediately after repositioning. To ensure data reliability, a stabilisation period was allowed before recording each value, following manufacturer recommendations. All measurements were conducted under unobstructed sky conditions, and no shading from nearby structures or vehicles was present during the sampling period. The distance between vehicles was sufficient to avoid mutual shading or significant aerodynamic interference. The four vehicles used in the experiment were of similar size and general geometry, although minor differences in material ageing may exist and are considered when interpreting inter-vehicle variability. All times are reported in local time (UTC + 1).
For on-roof measurements, the Kestrel was mounted on an adjustable pole positioned vertically relative to the ground surface. Measurement heights (0.2 cm, 20 cm, and 1 m) were defined as the vertical distance between the sensor and the nearest point of the roof surface directly beneath it. Because vehicle roofs are slightly curved, the reference surface was taken locally at the measurement point. At the lowest measurement height (0.2 cm above the surface), care was taken to avoid direct conductive influence from the vehicle body by maintaining a small air gap. Measurements at this height should therefore be interpreted as near-surface air temperature rather than true surface temperature. Although this height does not represent standard atmospheric measurement levels, it was included to characterise near-surface thermal gradients in the immediate boundary layer above the vehicles. The sensor position was controlled using an adjustable vertical support to maintain a consistent gap relative to the vehicle surface. Despite this, potential influences from radiative exchange and local airflow disturbance at this height cannot be fully excluded and are considered when interpreting the results.
2.2. Modelling Air Temperature Dynamics Around Vehicles
The simulations were conducted using EnergyPlus (version 9.0.0) [
47] within the Honeybee (version 0.0.65)/LadyBug (0.0.8) plug-ins [
48] for Grasshopper, integrated with Rhinoceros 3D software (version 7) [
49]. The primary aim was to evaluate whether this commonly used software was able to reproduce the impact of black and white vehicle surfaces on surrounding air temperature when exposed to direct solar radiation. The simulation domain was defined as a single thermal zone, within which air temperature is assumed to be spatially uniform according to the EnergyPlus zone heat balance approach.
Figure 2 provides an overview of the Grasshopper/Honeybee workflow developed for the simulation. The computational framework is organised into sequential functional modules responsible for defining meteorological inputs, material parameterisation, thermal simulation, radiative exchange calculation, and output visualisation.
The process begins with the selection of the EPW (EnergyPlus Weather) file, a standardised meteorological dataset containing hourly records of climatic variables such as air temperature, solar radiation, wind speed, and relative humidity, which are used to define the boundary conditions of the simulation. This is followed by the assignment of thermophysical and optical surface properties (thermal conductivity, density, specific heat, absorptance, and emissivity) to vehicle and ground materials. The configured geometry and material definitions are then processed through the EnergyPlus solver to compute surface temperatures and heat fluxes. Subsequently, view factors and radiative exchanges are calculated within the domain. Finally, simulated air temperature values are extracted at predefined measurement points for comparison with field observations.
Honeybee was used as an interface within Grasshopper/Rhinoceros version 7 to generate and manage the EnergyPlus simulation. The air temperature results are computed by the EnergyPlus engine using its zone heat balance model. Computational Fluid Dynamics (CFD)-based models refer to numerical approaches that explicitly resolve airflow and heat transfer processes in space using computational grids, allowing for detailed spatial variations in air temperature and velocity. In contrast, EnergyPlus does not resolve airflow at the micro-scale and does not simulate fluid dynamics around objects. However, spatial variation in simulated air temperature can still be observed in the post-processing stage. This variation arises from differences in radiative exchange, surface temperatures, and local energy balance conditions associated with the surrounding geometry and materials, rather than from resolved airflow processes. Therefore, while the model enables point-based comparison and spatial differentiation around the vehicles, these variations should be interpreted as resulting from radiative and surface-driven effects within a simplified thermal framework.
Air temperature values at specific locations were obtained by extracting point-based outputs within the Honeybee post-processing environment. These values reflect local differences in radiative exchange and surface energy balance associated with the surrounding geometry and materials, rather than independently simulated air temperature fields.
To match in situ conditions, the Lisbon EPW file [
50] was modified for 24 July 2025, replacing the hourly meteorological input for 13:00–14:00 with observed values for air temperature (32 °C) wind speed (2.8 m/s) relative humidity (36%) and cloud cover (0/8), ensuring consistency between simulation inputs and measurements in situ conditions, collected from the mobile weather station placed ~5 m from the vehicles. All other parameters for the EPW file remained unchanged. Solar radiation values were retained from the EPW dataset, as they were considered representative of clear-sky conditions during the measurement period, with values consistent with the high incoming radiation observed in situ. No explicit spin-up period was applied prior to the simulation period. Therefore, initial surface temperatures may not fully represent equilibrium conditions, which can influence simulated air temperatures during the analysed time window.
In standard Honeybee/Ladybug workflows, opaque “wall-type” materials default to low thermal conductivity (0.4–0.6 W/m·K), high density (2500 kg/m
3), and high heat capacity (1100 J/kg·K), values appropriate for concrete or masonry but not for thin steel panels. In this study, surfaces with distinct thermal and optical properties, when compared to building and surface materials, were modelled, including high- and low-reflectance materials and low-emissivity glazing (part 2,
Figure 2).
Vehicle bodies were represented using black and white coatings with a thickness of 0.001 m, combining metallic properties (thermal conductivity, density, specific heat) with optical characteristics (emissivity, absorptance), as detailed in
Table 2.
An iterative parameter adjustment procedure was conducted to ensure that vehicle material properties remained physically realistic while providing consistent agreement with field measurements. Initial simulations employed default Honeybee opaque material properties (thermal conductivity ≈ 0.4 W/m·K; density ≈ 2500 kg/m3; specific heat ≈ 1100 J/kg·K), which are representative of masonry or concrete surfaces but not of thin metallic vehicle panels.
Because vehicle bodies are primarily composed of painted steel sheets with low thermal mass and high conductivity, subsequent simulations adopted metallic properties (thermal conductivity ≈ 50 W/m·K; density ≈ 7800 kg/m
3; specific heat ≈ 500 J/kg·K) within literature-reported ranges for automotive steel and coatings [
51,
52,
53]. Solar absorptance and emissivity values were varied within realistic intervals documented for painted surfaces (white ≈ 0.35–0.45; black ≈ 0.85–0.95), and no parameter values outside these physically plausible ranges were considered, while geometric and boundary-condition parameters remained unchanged. Parameter adjustments were primarily evaluated against near-surface air temperature measurements (0.2 cm and 20 cm above the vehicle surface), where material-related radiative effects are most pronounced and therefore most sensitive to changes in surface properties.
A total of 16 parameter combinations were tested for the white vehicle and 10 for the black vehicle, as summarised in
Appendix A. A greater number of sensitivity tests were conducted for the white vehicle because model outputs exhibited larger temperature variations in response to changes in solar absorptance (≈0.7 °C across the tested range). In contrast, black surfaces showed comparatively smaller temperature differences (≈0.2 °C) within the tested absorptance interval, reflecting their consistently high radiative absorption.
The final parameter sets were selected based on physical plausibility and consistency with published material properties rather than solely on minimising statistical errors. In this context, overfitting is defined as the selection of parameter values that artificially improve agreement with the specific measurement dataset without remaining consistent with physically realistic ranges reported in the literature. This was avoided by constraining all tested parameters within documented intervals for automotive materials and by maintaining consistent values across all vehicles and simulation scenarios, rather than calibrating parameters individually for each case.
A summary of the tested parameter combinations and corresponding simulation outputs for both white and black vehicles is provided in
Appendix A (
Table A1 and
Table A2).
The simulation domain included the full vehicle geometry (roof, bonnet, rear, sides) and immediate surroundings (asphalted surfaces only). To meet Honeybee meshing requirements, curvatures were simplified into a closed polygonal geometry (
Figure 3). Air temperature was extracted at locations corresponding to field measurements (0.2 cm, 20 cm, 1 m above the roof, in front, and at the back;
Figure 2), ensuring comparison between simulated and measured data. As seen in
Figure 1, above the car surface, several measuring points (white circles) were added to extract the air temperature around the car (part 7,
Figure 2). These reference points were manually placed within the Honeybee environment to match the measurement geometry used in the in situ experiment.
2.3. Exploratory Model Evaluation
To evaluate model performance, simulated air temperatures were compared with field measurements using MAE, RMSE, bias, and the Pearson correlation coefficient (r). MAE and RMSE quantify the magnitude of discrepancies between simulated and observed values, while bias indicates whether the model systematically over- or underestimates temperatures. The Pearson coefficient assesses the strength of the spatial relationship between measured and simulated temperatures across different points and heights around the vehicle.
Model evaluation was conducted for each vehicle and at each measurement position to capture the influence of colour, geometry, and distance on model accuracy.
Because EnergyPlus operates using hourly weather inputs, simulated air temperatures were extracted for the hour corresponding to the field experiment period (13:00–14:00). Field measurements collected between 13:10 and 13:40 were obtained under calm meteorological conditions in an open parking area with unobstructed sky exposure.
Overall, this evaluation framework provides an exploratory assessment of the Honeybee/EnergyPlus model’s capacity to reproduce near-vehicle air temperature patterns under real urban conditions, while identifying key limitations related to spatial resolution and unresolved fine-scale turbulence.
3. Results and Discussion
Before evaluating model performance, the thermal impact of the vehicles was assessed based on the measured data alone by comparing air temperature near the vehicles with the reference air temperature recorded at the nearby meteorological station (~5 m from the measurement area). Results show that parked vehicles can locally increase near-surface air temperature by approximately 0.2 to 2.0 °C under typical conditions, with peak differences reaching up to ~3.0 °C, particularly above dark-coloured vehicles and at sun-exposed locations. Overall, black vehicles exhibited higher near-surface air temperature increases compared to white vehicles, confirming the strong influence of surface absorptance on local thermal conditions. These results are consistent with previous works [
20] and demonstrate that vehicles act as active thermal elements capable of significantly modifying near-surface air temperature at the micro-scale.
The global statistical evaluation (
Table 3) provides an overall perspective on model performance across all vehicles. MAE range from 0.6 °C to 0.9 °C, values broadly consistent with those reported in other urban microclimate studies [
54,
55,
56], although direct comparison is limited because most studies are conducted at larger spatial scales (e.g., street or neighbourhood level), whereas the present analysis focuses on near-surface air temperature at the scale of individual objects. Considering the combined instrumental uncertainty (~0.6 °C), some of the reported MAE values fall within the measurement error range, which should be taken into account when interpreting model performance.
Among all cases, white car 1 is best represented by the model (MAE = 0.6 °C, RMSE = 0.7 °C), while black car 2 shows the largest deviation (RMSE ≈ 1.29 °C). Bias values reveal systematic tendencies: the model overestimates air temperature near black car 2 (bias = +0.5 °C) and near black car 1 (bias = +0.8 °C) and slightly overestimates it near white car 1 (+0.3 °C), whereas systematic error is small for white car 2 (bias = −0.03 °C). Spatial correlations are generally low, with only black car 2 showing a moderate correlation (0.42), suggesting that although the model captures overall temperatures, it struggles to reproduce detailed point-to-point variability.
Table 3 therefore provides a reference for the more detailed analyses.
To evaluate model performance, a scatter plot comparing simulated and measured air temperatures is presented in
Figure 4. The scatter plot illustrates the relationship between simulated and measured air temperatures. While the model captures the overall magnitude of air temperature, as indicated by the general clustering of points within a similar temperature range, a substantial dispersion around the 1:1 line is observed. The fitted regression line deviates from the ideal 1:1 relationship, indicating that the model does not fully reproduce the variability in measured temperatures. This confirms that, although absolute errors remain relatively low, the model has limited ability to capture point-to-point spatial variability. This result supports the interpretation that the model is suitable for estimating overall temperature levels and relative differences between vehicle surfaces, but not for resolving detailed spatial variability driven by local radiative and aerodynamic processes.
In this context, the combination of low MAE and low correlation suggests that the model is suitable for estimating average thermal conditions and relative differences between vehicle surfaces, but not for resolving fine-scale spatial gradients driven by local radiative and aerodynamic processes.
The largest discrepancies occur near black car 2, where the model systematically overestimates temperatures (bias = +0.5 °C). A similar, though stronger, tendency is observed for black car 1 (bias = +0.8 °C), in terms of overall error magnitude (RMSE) occur near black car 2. However, the strongest systematic overestimation (bias) is observed for black car 1 (bias = +0.8 °C), followed by black car 2 (bias = +0.5 °C). These patterns suggest that the model does not fully capture the near-surface thermal gradients and radiative processes associated with dark, highly absorptive coatings under direct solar exposure. In contrast, white car 1 shows the smallest errors and a slight overestimation (+0.3 °C), suggesting that cooler surfaces are more accurately represented. White car 2 exhibits minimal systematic bias, indicating a closer balance between simulated and observed temperatures. The generally low spatial correlations further show that, while the model reproduces the overall magnitude of air temperature reasonably well, it struggles to capture fine-scale point-to-point variability around the vehicles, particularly where micro-scale turbulence and radiative exchanges dominate. These patterns help contextualise the results in
Table 3 and guide the subsequent height- and location-specific analyses.
The analysis by measurement height (
Figure 5) reveals distinct vertical patterns. The model shows larger errors near black car 1 at 1 m (MAE ≈ 1.4 °C, negative bias), while the best agreement with measurements occurs at 20 cm (MAE ≈ 0.6 °C). Near black car 2, the model performs well at 1 m (MAE ≈ 0.3 °C, positive bias) but shows larger deviations closer to the surface (MAE ≈ 1.0 °C). For white car 1, the model reproduces measurements most accurately at 1 m (MAE ≈ 0.4 °C) and less accurately at 20 cm and 0.2 cm (≈0.7 °C), whereas white car 2 resembles black car 1, with better agreement near the surface but significant errors at 1 m.
Generally, the model reproduces air temperatures more accurately at heights between 0.2 cm and 1 m above the vehicle surface compared to rear locations (
Figure 5), corresponding to the height range where lower MAE values are observed across most vehicles. This vertical range approximately corresponds to the air layer surrounding pedestrians in close proximity to parked vehicles, suggesting that model performance is highest at heights relevant for human exposure. These results indicate that near-vehicle air temperature patterns within the pedestrian layer can be reasonably approximated using the present modelling approach. However, they also suggest that omitting vehicles from urban microclimate models may contribute to underestimation of near-surface thermal variability, particularly under conditions of strong solar exposure and limited ventilation, as previously highlighted in observational studies [
17,
18,
19,
20].
It is important to contextualise these findings relative to typical urban hard pavements, such as asphalt. While asphalt surfaces exhibit high surface temperatures due to their low albedo and high heat capacity [
32,
33,
34,
35], their thermal response is comparatively gradual and spatially continuous. In contrast, vehicles introduce heterogeneous, elevated surfaces with complex geometry, glazing components, and strong colour-dependent absorptance. Even when occupying a smaller fraction of the total surface area, their elevated position and lower thermal inertia can enhance localised near-surface air temperature gradients, consistent with findings reported in previous studies [
19,
20,
52].
A direct comparison between air temperature above vehicle surfaces and above surrounding asphalt was not included in the present study, as measurements were focused on near-vehicle conditions. Future work should explicitly address this comparison to better quantify the relative thermal contribution of vehicles in relation to conventional urban surfaces commonly represented in urban climate models. This is particularly relevant given that most urban climate models implicitly assume asphalt surfaces in areas occupied by vehicles, potentially overlooking localised thermal effects associated with vehicle presence.
From a modelling perspective, these results suggest that the inclusion of vehicles may improve the representation of transient and spatially heterogeneous micro-scale thermal processes in urban environments.
It should be noted that the present results are derived from an open-site configuration and therefore do not account for urban canyon effects such as reduced sky view factor, multiple reflections between building surfaces, or restricted airflow. These factors may significantly modify radiative and convective exchanges in real urban environments. As such, the findings should be interpreted as representative of isolated vehicle effects rather than fully developed urban canyon conditions.
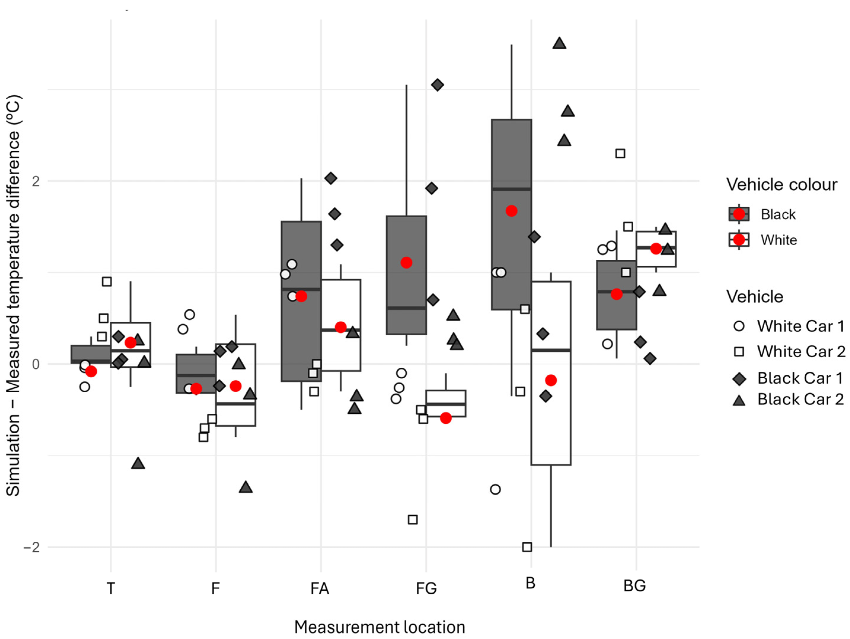
When considering measurement location around the car (
Figure 6), near black car 1, the model shows high errors at the front of the vehicle (MAE ≈ 1.9 °C, underestimation), while it reproduces air temperatures more accurately on the roof (MAE ≈ 0.56 °C) and particularly well at the front roof glass (MAE ≈ 0.13 °C). The rear, however, is associated with significant errors (MAE ≈ 1.5–2.0 °C, positive bias). Black car 2 follows a similar pattern, with the model performing reasonably at the front and roof (≈0.3–0.5 °C) but showing extremely poor results at the rear (MAE ≈ 2.5–3.5 °C). For white car 1, the model reproduces temperatures well at the roof (0.3–0.5 °C) but performs poorly at the rear (≈1.0–1.3 °C), particularly at 1 m. White car 2 again mirrors black car 1, with substantial underestimation at the front, better agreement on the roof, and high errors at the rear. Overall, the model reproduces air temperatures more accurately at the front and top surfaces, while the rear consistently shows the largest discrepancies, likely related to surface orientation and local airflow conditions.
The pronounced errors observed near the vehicle surfaces, and particularly behind the rear, likely reflect physical processes that are not explicitly resolved by the modelling framework. Close to the bodywork, strong thermal gradients and sharp transitions between sunlit and shaded areas may generate heterogeneous radiative and convective conditions. In addition, airflow separation and reduced ventilation commonly occur in the wake region behind bluff bodies, which can favour local heat accumulation, as documented in experimental and numerical studies of flow around obstacles. However, because the EnergyPlus/Honeybee workflow does not explicitly resolve airflow or turbulence, these mechanisms should be interpreted as plausible physical explanations rather than directly demonstrated processes in the present simulations.
The absence of a spin-up (pre-run) period may also contribute to some of the observed discrepancies. Without prior equilibration, initial surface temperatures may not fully represent steady-state conditions, which can influence simulated air temperatures, particularly for materials with rapid thermal response, such as vehicle surfaces under strong solar radiation.
Finally, the simulated vs. measured temperatures by vehicle colour are synthesised in
Figure 7. The model shows higher variability and larger dispersion of errors near black surfaces, whereas near white vehicles, deviations are smaller and more consistent. This suggests that radiative effects associated with darker surfaces may not yet be fully represented in the model’s parameterisation.
The larger dispersion of errors observed near black vehicles may reflect limitations in the representation of radiative processes for highly absorptive surfaces. However, other factors may also contribute to this variability, including differences in vehicle geometry, surface condition, and small variations in exposure or calibration parameters. Because material properties were not independently measured and vehicle geometries were simplified, the present results do not allow the effect of colour to be fully isolated from these additional sources of variability.
Beyond individual vehicles, these findings suggest that, in areas with high vehicle density, cumulative radiative and thermal interactions could potentially influence local microclimates and the spatial heterogeneity of urban heat. However, quantifying such effects would require dedicated simulations or field studies at the parking-lot or neighbourhood scale, which fall beyond the scope of the present work. From a modelling perspective, incorporating vehicle-related parameters, such as colour, surface materials, and parking configuration, may improve the realism of urban climate simulations and support more accurate assessments of heat exposure.
In summary, the combination of global statistics (
Table 3) and detailed boxplots (
Figure 5,
Figure 6 and
Figure 7) indicates that the model reproduces mean air temperatures around vehicles with mean absolute errors ranging from 0.6 to 0.9 °C. Considering that the combined measurement uncertainty is approximately 0.5 °C, part of these errors falls within or close to the observational uncertainty range, supporting the model’s ability to reproduce overall temperature magnitude. However, errors exceed measurement uncertainty at several locations, particularly near vehicle surfaces and rear positions, where deviations can exceed 1 °C. This indicates that, while the model captures general thermal patterns, it does not fully resolve local variability driven by radiative and aerodynamic processes.
For applications aimed at estimating overall temperature magnitude or relative differences between surfaces, this level of agreement may be considered acceptable, whereas resolving fine-scale spatial gradients would require higher-resolution modelling approaches. Intermediate heights and exposed roof surfaces are simulated more accurately, whereas near-surface and rear locations remain challenging. The higher dispersion of errors near dark-coloured vehicles further underscores the need for improved parameterisation of radiative and convective processes to enhance the model’s representation of vehicles as active urban microclimate elements. More broadly, these results emphasise the importance of considering semi-permanent urban elements, such as vehicles, as active thermal surfaces capable of altering local heat distribution. Their omission from most microclimate models may contribute to local underestimation of pedestrian heat exposure and spatial temperature variability, as suggested by the differences observed when vehicles are included in the simulations.
Overall, while the model tested here reproduces mean air temperatures, it exhibits limitations in resolving localised variations related to height, position, and vehicle colour. Tools such as EnergyPlus and Honeybee/Ladybug were not originally designed to parameterise vehicles as active urban elements, and their current material libraries do not fully capture the complex interactions between vehicle geometry, glazing, radiative exchange, and surrounding airflow. The results show the need for further model development.
4. Conclusions
This study provides a methodological assessment of the importance of explicitly representing stationary vehicles in urban microclimate modelling frameworks. While previous work has shown that vehicles can locally increase air temperature, the present study focuses on evaluating how well current modelling approaches reproduce these effects and where their limitations lie, particularly in relation to vehicle colour and position.
Model simulations using Honeybee/EnergyPlus reproduced mean air temperatures around vehicles with reasonable accuracy (MAE: 0.6–0.9 °C; RMSE: 0.74–1.29 °C) but showed reduced performance in capturing fine-scale variability near vehicle surfaces. Errors were strongly dependent on height and position, with the best agreement occurring above the vehicle roof and the largest discrepancies observed near the rear and lower measurement heights, especially for dark-coloured vehicles. These findings indicate that current urban microclimate models may underestimate local thermal effects associated with stationary vehicles.
The results are specific to open-site conditions and may differ under urban canyon configurations, where building geometry and reduced ventilation can alter near-surface thermal dynamics. In addition, the analysis is limited to a single summer case under stable meteorological conditions, and results may differ under varying atmospheric conditions such as changes in wind speed, cloud cover, or seasonal variability.
Overall, the results highlight the need to treat vehicles as distinct, semi-permanent urban surfaces rather than implicitly assimilating them into surrounding materials such as asphalt or building facades. Although individually small, parked vehicles introduce highly localised radiative and thermal contrasts that can alter near-surface air temperature gradients, particularly under strong solar exposure.
These effects are likely to be most relevant in urban canyons and parking areas characterised by high vehicle density, reduced ventilation, and limited sky view factor, where cumulative surface interactions may enhance spatial thermal heterogeneity at pedestrian level.
By providing an initial methodological basis and identifying current modelling limitations, this work supports future efforts aimed at improving the parameterisation of vehicle surfaces and enabling their explicit inclusion in urban microclimate simulations across scales, from object-level analyses to street canyon and neighbourhood-scale applications.