Next Article in Journal
Assessing Climate Efficiency with Random Forest, DEA, and SHAP in the Eastern Black Sea Region, Türkiye
Previous Article in Journal
Improving Indoor Air Quality in a University Teaching Complex: Continuous Monitoring and the Impact of Renovation Works
Previous Article in Special Issue
Evaluation of Wind Field for ERA5 Reanalysis Data in Offshore East China Sea
 
 
Font Type:
Arial Georgia Verdana
Font Size:
Aa Aa Aa
Line Spacing:
Column Width:
Background:
Article

A Convective Initiation Nowcasting Algorithm Based on FY-4B Satellite AGRI and GHI Data

1
College of Aviation Meteorology, Civil Aviation Flight University of China, Chengdu 618307, China
2
China Meteorological Administration Aviation Meteorology Key Laboratory, Chengdu 618307, China
3
Mianyang Flight College, Civil Aviation Flight University of China, Mianyang 621000, China
4
Chengdu Municipal Meteorological Department, Chengdu 621072, China
*
Author to whom correspondence should be addressed.
Atmosphere 2026, 17(4), 380; https://doi.org/10.3390/atmos17040380
Submission received: 10 March 2026 / Revised: 31 March 2026 / Accepted: 3 April 2026 / Published: 8 April 2026
(This article belongs to the Special Issue Meteorological Issues for Low-Altitude Economy)

Abstract

Based on the Advanced Geostationary Radiation Imager (AGRI) and Geostationary High-speed Imager (GHI) information in the Fengyun-4B (FY-4B) satellite, we propose a convective initiation (CI) nowcasting algorithm for Sichuan Province, China. The algorithm optimizes satellite reflectance by considering multi-channel brightness differences, visible reflectance, and cloud-top cooling by exploiting the Farneback optical flow, where the cloud is followed by false cooling due to cloud motion. Moreover, the high temporal resolution of GHI enables the detection of early cumulus cloud growth. The algorithm was developed using daytime CI events in the coverage area of Mianyang radar station from 22 July to 9 August 2023, and the remaining areas in the Chengdu scan area were used for validation. The results showed that the proposed method achieves a probability of detection (POD) of 83.1%, a false alarm ratio (FAR) of 33.0%, and a critical success index (CSI) of 58.9%. Compared with the AGRI-only method and the SATCAST algorithm, the POD increases by 5.4% and 8.4%, respectively, while the CSI improves by 1.3% and 2.3%. The average lead time reaches 34.2 min, which is 4.6 min longer than AGRI-only and 7.9 min longer than SATCAST. This suggests that AGRI and GHI data improve the spatiotemporal resolution of CI nowcasting. This approach improves the early detection of convective initiation under the climatic background of warm cloud convection in Sichuan, offering new insights for short-term warnings of regional convective weather.
Keywords:
FY-4B; CI; AGRI; GHI; optical flow

Graphical Abstract

1. Introduction

Severe convection remains a major challenge for short-term weather nowcasting, typically referring to intense weather phenomena occurring within mesoscale convective systems or isolated convective cells. The horizontal scale of such weather events generally does not exceed 200 km, with some extending only a few kilometers. Severe convective weather is generally categorized into six types: squall lines, tornadoes, hail, thunderstorm winds, short-duration heavy precipitation, and thunderstorms [1,2]. These phenomena share common characteristics: they are of a brief duration and have limited spatial impact, high suddenness, and abrupt changes in meteorological variables. Such weather phenomena significantly impact public safety, transportation, and societal operations, causing flight delays, urban flooding, and traffic congestion [3]. Therefore, achieving effective nowcasting of convective initiation, particularly at near-term scales, holds significant importance.
Within the lifecycle of severe convective development, the convective initiation (CI) phase marks the inception of convection and holds significant research and operational value. The consequences of convection, including shear, boundary layer convergence lines, horizontal convective vortices, microcyclones, and topography, are complicated [4,5,6,7]. In practice, most studies define CI events as areas that first exceed 35 dBZ in Doppler radar observations [8,9,10]. Nowcasting methods are broadly classified into two types: one uses radar detection data to directly detect echo evolution, and the other uses meteorological satellite imagery to analyze trends in the radiative structure of convective clouds. While radar data can detect CI reliably, they have coverage limitations. Satellite radiometric sensors have wider coverage, more information, and better characterize atmospheric changes by exploiting the differential radiation absorption of different atmospheric components, which compensates for radar data limitations [11].
Various research studies, like the one carried out by Maddox [12], have demonstrated that infrared brightness temperature data often show many changes during the development of mesoscale convection systems, and a method of convective monitoring based on geostationary satellite imagery has been proposed. Baum [13,14] used MODIS satellite images to measure clouds’ temperature changes. Several algorithms are used for convective initiation detection, including the MB06 algorithm (also known as SATCAST) [15], which detects convective initiation via a joint assessment of the different physical thresholds as a reference [16]. UWCI utilizes a local box averaging technique to constrain pixel brightness temperature noise to achieve a more stable nowcast [17].
Recently, the use of deep learning was proposed for CI identification, which has led to various technological advances being made. The CIUnet model proposed by Li Yang [18] effectively detects convective initiation regions based on multi-temporal infrared brightness temperature channel data. Various research studies indicate that brightness temperature channel derivatives (e.g., the brightness temperature rate of change) better characterize the developmental potential of deep convective clouds compared with single-channel brightness temperature. Han [19] established a machine learning workflow utilizing random forests for CI nowcasting. Zhang and He [20] employed lightweight neural networks for convective cloud identification. However, deep learning models still face limitations in terms of high data requirements, complex model structures, and lack of interpretability.
Research on convective initiation in China has developed relatively recently. Guo Wei [21] employed a modified MB06* algorithm using data from the Kuaihua-8 satellite to nowcast convective initiation in the Shanghai region, achieving improved results with the modified algorithm. For the FY-4A satellite, the RDCMS algorithm was developed based on the SATCAST algorithm and integrated into FY-4A satellite data products, yielding favorable results [22,23,24]. Zhuge and Zou [25] utilized the Kuaihua-8 satellite to address the suboptimal performance of the MB06 algorithm domestically; they incorporated reflectance-related criteria for daytime nowcasting, achieving improved results.
The Fengyun-4 series represents China’s independently developed new generation of geostationary satellites. The latest available satellite data originate from the FY-4B satellite. Beyond carrying an Advanced Geostationary Radiation Imager (AGRI) sensor similar to FY-4A, FY-4B features a Geostationary High-Speed Imager (GHI) sensor with high spatiotemporal resolution, achieving 250 m × 250 m resolution, positioning it among the world’s leading sensors. This study incorporates these observations into a CI nowcasting algorithm. The algorithm was implemented at Chengdu University from July to August 2023.
Traditional CI nowcasting algorithms, such as SATCAST, are primarily designed based on satellite observations with temporal resolutions of approximately 10–15 min. As a result, cloud-top cooling rates are estimated over relatively long time intervals, which may introduce temporal smoothing effects and lead to the underestimation of rapid cooling signals associated with early convective development, thereby causing missed or delayed detection. In this study, high-temporal-resolution observations from GHI are incorporated to better resolve short-term variations in cloud-top temperature. Although the overall nowcasting framework still operates at a 15-min update cycle, the inclusion of high-frequency data reduces uncertainties in cooling rate estimation and enhances sensitivity to early-stage convective development. In addition, motion-compensated cloud analysis based on optical flow is applied to distinguish true physical cooling from apparent cooling caused by cloud advection. The objectives of this study are (1) to develop a physical convective initiation nowcasting algorithm using FY-4B AGRI and GHI observations; (2) to improve early detection through high-temporal-resolution data and motion-compensated cloud analysis; and (3) to evaluate the algorithm’s performance against existing methods using radar observations and statistical metrics.

2. Materials and Methods

2.1. Radar and Satellite Data

The radar data used in this study are Doppler radar echo base data from Mianyang Airport and the Chengdu Meteorological Bureau; we used the former for algorithm development, and the latter was used for evaluation of the algorithm. Both radar data have a resolution of approximately 6 min. The radar coverage area from Mianyang Airport was utilized to determine the algorithm threshold, spanning latitudes of 30.5° N, 32.5° N and longitudes of 103.6° E, 106° E. For algorithm validation, data within a 230 km radius of Mianyang Airport were excluded from the Chengdu radar scan area. The Chengdu radar scan area spans latitudes of 28.5° N, 32.5° N and longitudes of 102° E, 106° E. Data were collected between 22 July and 9 August 2023. The first period coincided with Chengdu University, enabling comprehensive GHI scans. The latter period partially covered Sichuan Province within the GHI scan area. The FY-4B satellite activates the GHI sensor only during major national observation missions. Since 2023, scanning missions targeting the Sichuan region have been infrequent. In this study, convective initiation (CI) is defined as the first occurrence of the radar composite reflectivity reaching or exceeding 35 dBZ at a given location. This radar-based criterion is used as the reference standard for evaluating satellite-derived CI predictions.
The satellite data utilized in this study comprise FY-4B satellite AGRI sensor L1 data and GHI 250 m L1 data. The AGRI features a temporal resolution of 15 min, while the GHI achieves a temporal resolution of approximately 1 min. The detailed information for AGRI and GHI is listed in Table 1 and Table 2. The specific timing distribution of scans within an hour is detailed in Table 3. The GHI possesses high spatial and temporal resolution, capabilities unavailable to the AGRI, representing world-leading standards. However, due to these high spatial and temporal resolutions, the GHI sensor scans a 2000 km × 2000 km region rather than a full-disk image like the AGRI sensor [26]. Unlike the AGRI sensor, the GHI sensor lacks multiple infrared windows, resulting in limited available data. Therefore, it is necessary to combine the GHI data with the AGRI data in algorithms to leverage the strengths of both datasets. To simulate the scenario of timely satellite data acquisition in actual operations, this study uses the GHI data from the 3 min preceding the AGRI data timepoint as an approximate substitute for the GHI sensor at the AGRI scan time. Typhoon Doksuri made land fall in China on 28 July 2023, prompting temporary monitoring of the typhoon’s trajectory within the GHI scanning area from July 28 to August 4. Consequently, GHI data could not be utilized for convective initiation nowcasting in Sichuan Province during this period.
In the remainder of this study, channel names will be denoted by both their physical representation and channel number; for example, TBB13 will be used to denote the 10.8 μm band blackbody temperature (TBB) data.
This study also incorporates precipitation data from the Global Precipitation Measurement (GPM) mission for auxiliary validation. Numerous studies have employed precipitation data as evidence for convective activity [18,26,27]. This study utilizes 2 h cumulative precipitation as supplementary validation.

2.2. Algorithm Development

2.2.1. Algorithm Overview

The workflow of the algorithm is illustrated in Figure 1.
This study draws upon the algorithmic criteria proposed by Zhuge and Zou [25] (2018) and Mecikalski and Bedka [15] (2006) to extract the indicators outlined in Table 4 from satellite channels.
In the following section, the physical significance of the indicators is outlined.
REFGHI denotes the normalized reflectance of GHI 250m-resolution data within the tile area. This criterion filters out regions with higher reflectance in cloud imagery. Typically, cumulus clouds exhibit higher reflectance, while stratus and cirrus clouds show lower reflectance. This criterion further identifies convective clouds. Satellite-received reflectance varies significantly throughout the day. Zhao Fengmei [28] studied cirrus reflectance using MODIS satellite data and found that cirrus reflectance is influenced not only by cloud thickness but also by the solar zenith angle. To extend the usable timeframe of the GHI, reflectance data undergo solar altitude angle correction.
TBB13 is the blackbody brightness temperature at 10.8 μm. Blackbody brightness around 10.8 μm mainly refers to the cloud-top height, and when clouds grow upward, this decreases.
TBB09-TBB13 is the water vapor brightness temperature channel window difference. This is generally used to detect cloud-top height compared with the tropopause. Positive values indicate that the maximum cloud height is above or close to tropopause, and negative values show areas where the convection may start. The criterion increases with the volume of the cloud. Large cumulus clouds usually have a higher value.
TBB14-TBB13, referred to as “split-window”, is often used to measure the optical thickness of the cloud and, in general, to distinguish the cirrus clouds from the deep convection clouds. Areas near zero are cumulus clouds, and areas above zero may be high-cirrus clouds.
Delta TBBGHI mainly describes the cooling rate of cloud tops, and it is the most direct measure of convection initiation. It exploits the high temporal resolution of GHI data, based on obtaining the bright surface temperature in 3 min and 6 min prior to the AGRI scan. Since the time–resolution difference between FY-4B AGRI and GHI products is the same for the same timescale, we transform these data into another 15-min bright semichemic change in the CI, which further characterizes the fast evolution features during the cloud-top ascent of convection initiation. For most cases, values lower than zero indicate cloud ascent, and faster development is associated with higher absolute values.
Delta (TBB09-TBB13) and Delta (TBB14-TBB13) are both calculated by subtracting the current time from the optical flow simulation. These two metrics characterize the temporal variation in the cloud-top height relative to the tropopause and the temporal variation in cloud thickness, respectively. Similarly to Delta TBB13, they serve as criteria for describing cumulus cloud development.
Most convective initiation algorithms treat the cloud-top cooling rate as a key parameter. For instance, the MB06 algorithm assigns a score of 2 to the infrared cooling rate criterion during scoring, while other criteria receive a score of 1. Zhuge opted to exclude the cloud-top cooling rate as a final criterion from algorithmic scoring. In this study, the cloud-top cooling rate serves as a necessary condition. Convective initiation is identified only when the cooling rate threshold is satisfied and four or more of the remaining six criteria are simultaneously fulfilled. Since convective initiation inevitably introduces some spatial error, this study considers the algorithm’s prediction accurate when the distance between the location where the radar combined reflectivity first reaches the 35 dBZ threshold and the satellite-predicted location is less than 10 km.
The following section details the data processing methods employed in this study, along with the logic for determining the algorithm threshold and the minimum number of satisfied instances for the algorithm in the Sichuan region.

2.2.2. Data Processing

With bilinear interpolation, the resolutions of AGRI and GHI data are matched for later steps. Then, a cumulus mask is employed to identify the immature cumulus, which is the main target for CI detection. The cumulus mask is defined using the following criteria: REFGHI > 0.4, TBB13 > 253.15 K, and TBB09-TBB13 > −10 °C. This procedure effectively selects developing cumulus clouds while excluding non-convective cloud types and mature convective systems. Reflectance is primarily used to identify cloud presence; however, cloud-type discrimination is achieved through thermal infrared constraints. In particular, brightness temperature and brightness temperature differences help distinguish optically thin cirrus clouds from deeper convective clouds, as cirrus clouds typically exhibit distinct thermal signatures associated with higher cloud tops and lower optical thickness.
Mature convective clouds are excluded from brightness temperature calculations because they typically have much lower cloud-top temperatures than at the beginning of the process.
Aerosols and dust may enhance visible reflectance; however, they typically do not satisfy the thermal characteristics associated with convective cloud development, such as low brightness temperature and significant cooling signals. Therefore, the combined use of reflectance and thermal criteria effectively reduces false identification caused by aerosols, dust, and optically thin clouds.
Traditional CI detection methods often rely on spatial overlap between cloud regions at consecutive time steps. However, when cloud displacement is significant, such overlap-based approaches may lead to mismatches and erroneous estimation of cloud-top cooling. The Farneback optical flow method is employed to compensate for horizontal cloud motion between successive satellite images. This procedure reduces the number of apparent cloud-top cooling signals induced by advection rather than vertical development. Similar approaches have been shown to improve CI detection performance in previous studies [29,30,31]. Two TBB13 images taken 15 min apart are first converted into grayscale images and compute the Farneback optical flow field. Based on the obtained optical flow information, the brightness temperature field is advected along the optical flow vectors to the current time. This simulates the distribution of the cloud body in that moment under the assumption that it undergoes only horizontal translation, with no internal development or dissipation occurring.

2.2.3. Algorithm Criterion Threshold

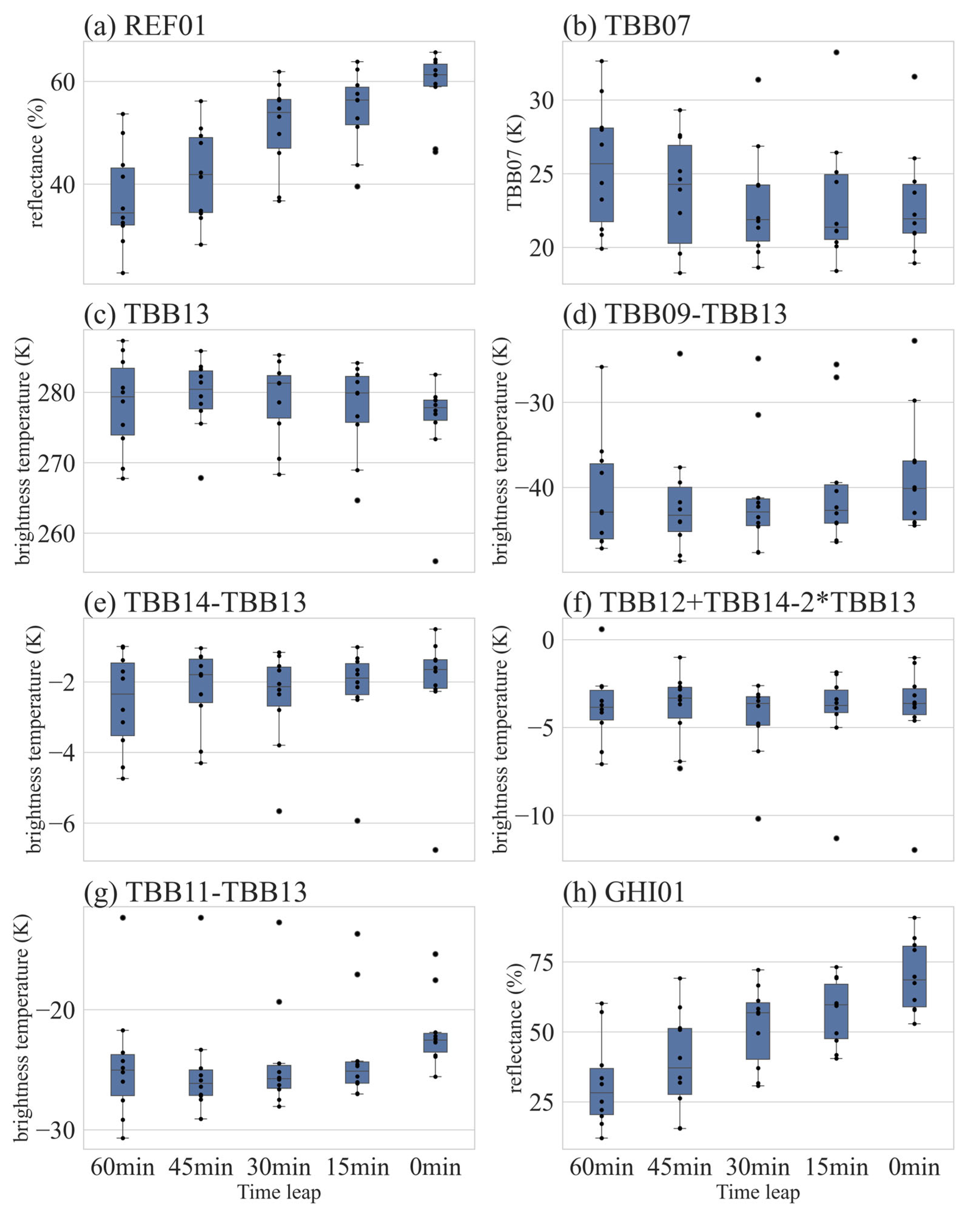
To determine the threshold values for the convective initiation criteria, 10 CI cases within the radar coverage of Mianyang Airport were manually selected as development samples. Only cases without significant cloud splitting or merging during their evolution were considered in order to ensure clear identification of the cloud objects associated with CI. Thus, the validation dataset is spatially independent from the development dataset. After obtaining the coordinates of the radar echo target area, a 10 km × 10 km region centered on these coordinates was established. The closest cloud object within this region was designated as the target for convective initiation, and its various criteria were statistically analyzed. Figure 2 displays box plots of the selected criteria’s distances relative to the convective initiation event time at 60 min, 45 min, 30 min, 15 min, and 0 min prior. The 0 min mark represents the start time of the AGRI scan preceding event occurrence.
This study also adopted the processing method for representative brightness temperatures. Simply put, the average brightness temperature value of the lowest 25% of pixels in the TBB13 within a cloud object was used to represent the brightness temperature of that cloud object.
The nowcast results were evaluated using the POD (probability of detection), FAR (false alarm ratio), and CSI (critical success index). To ensure that the average nowcast lead time was about 30 min, thresholds were selected 30 min prior to CI occurrence. We performed a full evaluation to ensure the exact selection of the algorithm. Also, a sensitivity analysis was conducted to evaluate the impact of threshold selection. We tested the different algorithm sets, from the 10th percentile and 25th percentile to the 50th percentile of several classic criteria, namely REFGHI, TBB13, TBB09-TBB13, TBB14-TBB13, delta TBB09-TBB13, and delta TBB14-TBB13. TBB11-TBB13 is similar to TBB09-TBB13, so it was not used in this section. The AGRI tri-spectral difference performs better when there are fewer cloud types, while when it comes to complex cloud type conditions, it may perform poorly. Therefore, regarding the algorithm that targets Sichuan, which has complex cloud types, this variable was not included in the present analysis.
To evaluate the performance of the algorithm sets, each set’s POD, FAR, CSI, and F1 scores were calculated. The F1 score is the harmonic mean of the accuracy and recall that we can consider to be the accuracy and coverage of the algorithm. It is closer to 1, for which a target can be correctly observed and false positives can be eliminated. PR curves were employed to evaluate the performance for each algorithm set. The results are shown in Figure 3. The PR curves corresponding to different percentile thresholds exhibit a high degree of overlap, suggesting that the algorithm shows relatively low sensitivity to threshold variations, while the 25th percentile provides the best balance between detection and false alarms, and provides the highest F1 score of 0.765.
In the 50th percentile, accuracy tends to decrease as recall increases because of the high risk of false alarms. The 10th percentile, however, seems to be more restrictive and may miss weaker or early-stage convection.
The coefficient of variation for threshold selection was employed to analyze the sensitivity of the POD, FAR, and CSI in Figure 4. In regard to score 4, the CSI was low in terms of sensitivity, the POD showed middling sensitivity, and the FAR displayed high sensitivity. The reason why the FAR showed such high sensitivity was that the FP was sensitive to the threshold selection. The CSI remained low in terms of sensitivity, meaning that the algorithm was robust within the studied climatic regime.
Based on the results outlined above, we are able to build upon the algorithm as follows: Delta TBBGHI < −2 K/15 min convection will have occurred in the region if four or more of the six criteria are satisfied. Typically, cumulonimbus clouds will be cloudy. It can be observed that Sichuan typically shows overcast conditions with warm-sector convection in the summer. For that reason, when radar echoes exceed 35 dBZ, TBB13 might still be high at that point in the case of low cooling. The criteria are therefore relaxed to better detect these convection cases.
The proposed CI detection algorithm is based on physically interpretable satellite observations such as visible reflectance, brightness temperature (TBB), brightness temperature differences (BTDs), and cloud-top cooling, all of which are closely related to the microphysical and dynamical effects of convection clouds. The cumulus cloud mask is important to reduce the effects of non-convective clouds such as thin clouds. By combining reflectance thresholds and texture properties, the mask removes actively developing cumulus clouds and can reduce contamination from optically thin cloud layers. Environmental factors such as water vapor inhomogeneity and condensed moisture are not directly described, but they are well estimated in the satellite observations. For instance, the brightness temperature and the variation in its timescale are sensitive to cloud-top height and cooling, which are strongly affected by atmospheric moisture and latent heat releases, and the brightness temperature between infrared channels indirectly relates the cloud optical thickness and microphysical properties. We also compare the results with those of the algorithm without GHI data and the original SATCAST algorithm.

3. Results

3.1. Average Performance

This study selected the periods from 22 to 27 July 2023 and from 5 to 9 August 2023 as the research periods. The 2023 period coincided with Chengdu University, with the GHI scan area centered precisely in Chengdu. Nowcasts were considered successful when the first radar echo reached 35 dBZ within a 10 km radius of the satellite-predicted location. This spatial tolerance accounts for the displacement of convective clouds due to environmental wind, as CI is predicted prior to its actual occurrence. Given typical cloud motion speeds (5–15 m/s), a displacement of several kilometers can occur within a 10–15 min period, making a 10 km threshold physically reasonable.
A representative CI event occurring at 23:00 UTC on 4 August 2023 (07:00 Beijing time on 5 August) was selected as a case study to illustrate the performance of the algorithm. The dates and numbers of CI events are listed in Table 5.
There are 166 convective initiation cases recorded. We correctly nowcasted 138 cases, missed 28 cases, and had 68 false positives. In order to assess the GHI data contributions and the performance of our proposed algorithm, we compared the proposed AGRI + GHI algorithm, AGRI only, and the original SATCAST algorithm. The data statistics of SATCAST are summarized in Table 6.
To verify statistical stability, we used bootstrap resampling. The CI events were repeated 1000 times, and we estimated the POD, FAR, and CSI for each sample. We also estimated the 95% confidence intervals from 2.5 to 97.5% of the distributions. The results are given in Table 7. The POD is 83.1% (95% CI: 77.5–88.6%), the FAR is 33% (96% CI: 26.3–39.6%), and the CSI is 58.9% (95% CI: 52.6–65.4%). We can conclude that the algorithm has some ability to nowcast convective initiations in the Chengdu radar scan area.
All three algorithms were evaluated over an identical temporal period and radar-observed CI events to ensure fair comparison. The results show that with the inclusion of the GHI data and modified threshold, the CI nowcast algorithm’s performance improved in the study area.

3.2. Lead Time

To quantitatively evaluate the improvement in forecast timeliness, the average lead time of correctly predicted CI events was calculated for the three algorithms. The proposed algorithm incorporating GHI data achieved an average lead time of 34.2 min, which is longer than that of the AGRI-only algorithm (29.6 min) and the original SATCAST algorithm (26.3 min). These results indicate that the inclusion of high-temporal-resolution GHI observations can effectively extend the prediction lead time for convective initiation. Figure 5 presents the cumulative distribution functions (CDFs) of lead time for the three algorithms. The results show that the method incorporating the GHI generally provides longer lead times compared with both the algorithm without the GHI and the original SATCAST algorithm. Specifically, the CDF curve of the GHI-based method consistently shifted to the right, indicating that a larger proportion of convective initiation events can be detected earlier. In contrast, the SATCAST algorithm shows the shortest lead times overall, with its CDF curve located on the left side of the plot. The algorithm without the GHI exhibits intermediate performance between the two. These results demonstrate that the inclusion of GHI information can effectively extend the lead time for convective initiation prediction.
Overall, the integration of GHI observations increases the mean lead time by 4.6 min compared with the AGRI-only algorithm and by 7.9 min compared with the original SATCAST algorithm.
For different CI forming methods, a simple classification was performed. CI events in Chengdu were divided into individual and merging types. The spatial scale of CI events in this study typically ranges from approximately 2 to 10 km for individual CI, while larger scales may occur in merging systems. This range is consistent with the characteristic size of developing cumulus clouds and early-stage convective elements and also supports the use of a 10 km spatial tolerance in the evaluation. Lead time distribution for different event types is shown in Figure 6. For individual-type CI events, the average lead time is 36.69 min (95% CI: 33.57–39.84), while the merging-type events had a shorter lead time of 27.47 min (95% CI: 23.45–31.82). Although merging systems exhibit stronger cooling signals, their rapid intensification shortens the time interval between detectable cloud-top cooling and the radar-defined CI threshold, resulting in shorter lead times. The scale of the merging CI events in this study could reach 10 km, and then combined with the rest of the convection, mesoscale convective systems could be formed. Further investigation is required.
The proposed algorithm shows more pronounced advantages under specific convective scenarios. First, it performs better in small-scale convective initiation events, where traditional infrared-based methods often fail to capture early cloud development due to limited spatial and temporal resolution. Second, the method demonstrates clear improvements in weak or slowly developing convection, in which cloud-top cooling signals are subtle and may not satisfy conventional cooling rate thresholds. The high temporal resolution of the GHI enables the detection of continuous but small cooling trends in such cases. Third, the algorithm is particularly effective for warm-cloud-convection environments, such as those frequently observed in Sichuan during the summer, where cloud-top temperatures remain relatively high even when the radar reflectivity exceeds 35 dBZ. In these situations, the integration of reflectance-based indicators and motion-compensated cooling analysis provides an additional discriminatory capability beyond traditional infrared thresholds.

3.3. Case Study

Figure 7 presents the radar reflectivity evolution from 23:09 to 23:49 on 4 August 2023. Radar observations indicate that convective echoes corresponding to cases A and B appeared at 23:26, case C at 23:32, and case D at 23:38. The corresponding detection results of the proposed algorithm are shown in Figure 8, while Figure 9 and Figure 10 display the results of the algorithm without GHI data and of the original SATCAST algorithm, respectively. The orange shaded regions denote locations where convective initiation (CI) was predicted.
The proposed algorithm nowcasted cases A, B, and D at 23:00 and case C at 23:15, providing lead times relative to radar detection. In contrast, the algorithm without GHI data nowcasted case A at 23:15 and case D at 23:30, and the original SATCAST algorithm showed similar results, nowcasting case A at 23:15 and case D at 23:30. Both failed to detect cases B and C, and the lead times for cases A and D were less than those of the proposed algorithm. The proposed algorithm provides longer lead times for multiple convective cells in this case. This improvement is particularly evident for small-scale CI events, suggesting that incorporating GHI data enhances the early-stage detection capability.
Figure 8 shows three false alarms marked by white squares, and Figure 9 and Figure 10 show two for the algorithms without the GHI and SATCAST. Among them, we noticed that false alarms E and F were nowcasted by all algorithms; E reached 19 dBZ and F reached 16 dBZ. These false alarms may have been caused by suppressed convection.
In order to gain a clearer understanding of how this algorithm performs for a CI event, case D was analyzed. Before 23:30, the TBB of case D was above 280 K and did not show a rapid cooling rate. However, with GHI data, a small continuous cooling trend was detected. At 23:30, the TBB of case D dropped to 272 K, meaning that it was determined by the remaining algorithms, and at 23:38, the CR reached 35 dBZ. With high-temporal-resolution data, a small cooling trend can be detected, which provides a longer nowcasting lead time.
We also tested the performance of our algorithm in Hangzhou (34.24° N, 120.2° E), where the GHI was scanned on 22 August 2023. The results were degraded, suggesting that one of the thresholds is not valid for all climate situations.

4. Conclusions

In this study, we developed a convective initiation algorithm for the Sichuan region using FY-4B AGRI and GHI data. The algorithm uses the Farneback optical flow method to reduce the influence of cloud movement, and it also leverages the high spatial and temporal resolution of the GHI. It can employ L1 data and does not require the GHI at the time of the AGRI scan, and nowcasting can be initiated when AGRI data are provided. The proposed algorithm reaches a POD of 83.1% (95% CI: 77.5–88.6%), an FAR of 33% (96% CI: 26.3–39.6%), and a CSI of 58.9% (95% CI: 52.6–65.4%). By incorporating high-temporal-resolution GHI observations and motion-compensated cooling analysis, the algorithm is able to identify cloud growth signals earlier than AGRI-only and SATCAST methods, which provide a 5–8 min lead time on average.
By quantifying the threshold of CI cases of GHI scan times in Mianyang, we derived the CI determination thresholds appropriate for Sichuan. Similar thresholds for other regions of the Chengdu radar were found to be reasonable, and we could infer the convective onset due to warm clouds in Sichuan and provide guidance. Compared with the algorithm without GHI data and SATCAST, the improvement in lead time was approximately 5–8 min. Convective clouds evolve rapidly, and even a few minutes of additional lead time can significantly improve early warning capabilities. The relatively high false alarm ratio (FAR) can be attributed to multiple factors. First, the radar-based definition of convective initiation is relatively strict, and some clouds that exhibit clear growth signals may not reach this threshold and are therefore counted as false alarms. Second, certain cumulus clouds may undergo initial development but fail to transition into deep convection, resulting in detectable cooling and reflectance changes without producing strong radar echoes. These factors collectively lead to an increase in the number of false alarms, which remains a common challenge in convective initiation nowcasting. It is also notable that the algorithm for Sichuan might not be suitable for other climate contexts because thresholds depend on the thermodynamic regime, as outlined by Guo [21].
Wind conditions may affect the quality of the nowcasting algorithm. Strong winds can cause rapid cloud formation and complex motions that may cause uncertainty in optical flow estimation and motion-enhanced cooling rates, so the performance of the algorithm may be less accurate than expected, and the number of false alarms may be higher. However, we partially mitigate the effect of cloud advection by explicitly taking into account cloud motion.
Although GHI data possess high spatiotemporal resolution, satellite configuration and data characteristics prevent a concentrated long-term observation of a single region, resulting in sparse data samples. Additionally, to meet national observation requirements during major weather events, other regions must be monitored, limiting the number of convective initiation cases available for this study. Although this period includes multiple convective initiation events under typical atmospheric conditions, it may not fully represent all convective regimes. Different CI-type analyses over multiple regions, the long term, and with different lead times should be included in future work. The CI types used in this study were divided into individual and merging types, which were designed by the system that the CI was developed from. Additionally, the triggering type for classification should be considered in the future. Furthermore, there is room for improvement in utilizing the temporal resolution of GHI data. The algorithm occasionally generates false alarms at certain timepoints, a common issue across most convective initiation detection methods. A combination of satellite data and ground observation data may make a difference in reducing the FAR. Reducing high false alarm rates remains an area for targeted research in warm cloud convective initiation.
In this study, machine learning-based approaches were not included in the comparison, primarily due to data-related constraints, including the limited number of convective initiation events and the lack of large-scale labeled datasets required for training and validation. Under such conditions, purely data-driven models may suffer from overfitting and reduced generalization capability. Therefore, a physical framework was adopted to provide a more robust and interpretable solution. The integration of physical indicators with machine learning methods with radar data and AGRI satellite data will be explored in future work.

Author Contributions

Data collection and analysis, Z.Y., Z.C. and W.S.; conceptualization, review, editing, supervision, and funding acquisition, Z.C. and W.S.; data collection, Y.H. (Yu Huang), Y.H. (Yuwen Huang), Z.W. and W.Z. All authors have read and agreed to the published version of the manuscript.

Funding

This research was jointly supported by the National Natural Science Foundation of China (Grant No. 42105087), the Open Foundation of China Meteorological Administration Key Laboratory for Aviation Meteorology (Grant No. HKQXM-2024015), and the Fundamental Research Funds for the Central Universities (Grant No. 25CAFUC04049).

Institutional Review Board Statement

Not applicable.

Informed Consent Statement

Not applicable.

Data Availability Statement

Satellite data in this study can be downloaded from https://satellite.nsmc.org.cn/DataPortal/cn/home/index.html (accessed on 2 April 2026). The radar data presented in this study are available on request from the corresponding author. The data are not publicly available due to the confidentiality policy of Sichuan Meteorological Observatory.

Acknowledgments

We sincerely thank Civil Aviation Flight University of China, Mianyang Flight College, Chengdu Municipal Meteorological Department for sharing radar data, and the National Satellite Meteorological Centre for the satellite data.

Conflicts of Interest

The authors declare no conflicts of interest.

References

  1. Cui, L. Prospect of convective initiation identification based on new generation geostationary meteorological satellite. Adv. Meteorol. Sci. Technol. 2022, 12, 80–84. [Google Scholar] [CrossRef]
  2. Li, W.; Wang, H.; Wang, Y.; Wu, Q. Convective initiation nowcasting and statistical evaluation based on satellite data. Acta Sci. Nat. Univ. Pekin. 2014, 50, 819–824. [Google Scholar] [CrossRef]
  3. Duan, L.; Liu, Z.; Zhang, B. Convective initiation nowcasting based on Himawari-8 satellite data. Aeronaut. Comput. Tech. 2022, 52, 37–41. [Google Scholar]
  4. Cui, X.; Chen, M.; Qin, R.; Han, L. Research advances in the convective initiation mechanisms. Meteor. Mon. 2021, 47, 1297–1318. [Google Scholar]
  5. Peters, J.M.; Morrison, H.; Nelson, T.C.; Marquis, J.N.; Mulholland, J.P.; Nowotarski, C.J. The Influence of Shear on Deep Convection Initiation. Part I: Theory. J. Atmos. Sci. 2022, 79, 1669–1690. [Google Scholar] [CrossRef]
  6. Peters, J.M.; Morrison, H.; Nelson, T.C.; Marquis, J.N.; Mulholland, J.P.; Nowotarski, C.J. The Influence of Shear on Deep Convection Initiation. Part II: Simulations. J. Atmos. Sci. 2022, 79, 1691–1711. [Google Scholar] [CrossRef]
  7. Shan, Y.; Lin, H.; Fu, W.; Jiang, J.; Huang, Q. The features of MCS during its initiation over Tibetan plateau in summer. J. Trop. Meteorol. 2003, 19, 61–66. [Google Scholar]
  8. Roberts, R.D.; Rutledge, S. Nowcasting Storm Initiation and Growth Using GOES-8 and WSR-88D Data. Weather Forecast. 2003, 18, 562–584. [Google Scholar] [CrossRef]
  9. Qin, D.; Fang, Z. Research Progress of geostationary satellite-based convective initiation. Meteor. Mon. 2014, 40, 7–17. [Google Scholar] [CrossRef]
  10. Zhu, L.; Jiang, X.; Lu, P.; Shi, R. Analysis of the convective triggering mechanism of a warm-sector rainstorm in the Ya’an region. Chin. J. Atmos. Sci. 2024, 48, 1693–1710. [Google Scholar] [CrossRef]
  11. Yao, X.; Cao, X. Research progress and prospect of atmospheric convection initiation. Trans. Atmos. Sci. 2023, 46, 940–949. [Google Scholar] [CrossRef]
  12. Maddox, R.A. Meoscale Convective Complexes. Bull. Am. Meteorol. Soc. 1980, 61, 469–475. [Google Scholar]
  13. Baum, B.A.; Menzel, W.P.; Frey, R.A.; Tobin, D.C.; Holz, R.E.; Ackerman, S.A.; Heidinger, A.K.; Yang, P. MODIS Cloud-Top Property Refinements for Collection 6. J. Appl. Meteorol. Climatol. 2012, 51, 1145–1163. [Google Scholar] [CrossRef]
  14. Baum, B.A.; Soulen, P.F.; Strabala, K.I.; King, M.D.; Ackerman, S.A.; Menzel, W.P.; Yang, P. Remote Sensing of Cloud Properties Using MODIS Airborne Simulator Imagery during SUCCESS: 2. Cloud Thermodynamic Phase. J. Geophys. Res. 2000, 105, 11781–11792. [Google Scholar] [CrossRef]
  15. Mecikalski, J.R.; Bedka, K.M. Nowcasting Convective Initiation by Monitoring the Evolution of Moving Cumulus in Daytime GOES Imagery. Mon. Weather Rev. 2006, 134, 49–78. [Google Scholar] [CrossRef]
  16. Walker, J.R.; MacKenzie, W.M.; Mecikalski, J.R.; Jewett, C.P. An Enhanced Geostationary Satellite–Based Convective Initiation Algorithm for 0–2-h Nowcasting with Object Tracking. J. Appl. Meteorol. Climatol. 2012, 51, 1931–1949. [Google Scholar] [CrossRef]
  17. Sieglaff, J.M.; Cronce, L.M.; Feltz, W.F.; Bedka, K.M.; Pavolonis, M.J.; Heidinger, A.K. Nowcasting Convective Storm Initiation Using Satellite-Based Box-Averaged Cloud-Top Cooling and Cloud-Type Trends. J. Appl. Meteorol. Climatol. 2011, 50, 110–126. [Google Scholar] [CrossRef]
  18. Li, Y. Using Deep Learning for Severe Convective Nowcasting. Ph.D. Thesis, Nanjing University of Information Science and Technology, Nanjing, China, 2023. [Google Scholar]
  19. Han, D.; Lee, J.; Im, J.; Sim, S.; Lee, S.; Han, H. A Novel Framework of Detecting Convective Initiation Combining Automated Sampling, Machine Learning, and Repeated Model Tuning from Geostationary Satellite Data. Remote Sens. 2019, 11, 1454. [Google Scholar] [CrossRef]
  20. Zhang, J.; He, M. Methodology for Severe Convective Cloud Identification Using Lightweight Neural Network Model Ensembling. Remote Sens. 2024, 16, 2070. [Google Scholar] [CrossRef]
  21. Guo, W.; Cui, L.; Gu, W.; Wang, C.; Ma, B. Summer convective initiation nowcasting in Shanghai based on Himawari-8 satellite. Meteor. Mon. 2018, 44, 1229–1236. [Google Scholar] [CrossRef]
  22. Yang, J.; Zhang, Z.; Wei, C.; Lu, F.; Guo, Q. Introducing the New Generation of Chinese Geostationary Weather Satellites, Fengyun-4. Bull. Am. Meteorol. Soc. 2017, 98, 1637–1658. [Google Scholar] [CrossRef]
  23. Guo, W.; Gu, W.; Cui, L. Analysis of the application effect of FY4A convective initiation product on monitoring and nowcasting strong convective weather in Shanghai. Infrared 2022, 43, 42–48. [Google Scholar] [CrossRef]
  24. Jiang, X.; Zhang, L.; Zhang, X.; Yao, S. Classification and identification of FY-4A convective initiation products in summer on the Qinghai-Tibet Plateau. Torrential Rain Disaster 2024, 43, 214–223. [Google Scholar] [CrossRef]
  25. Zhuge, X.; Zou, X. Summertime Convective Initiation Nowcasting over Southeastern China Based on Advanced Himawari Imager Observations. J. Meteorol. Soc. Jpn. 2018, 96, 337–353. [Google Scholar] [CrossRef]
  26. Li, J.; Min, M.; Li, B.; Wei, X.; Liu, Z.; Zheng, Y.; Zhang, X.; Qin, D.; Sun, F.; Ma, Z.; et al. SWIPE based on Fengyun-4 geostationary meteorological satellite and its applications. Meteorol. Sci. Technol. 2023, 51, 771–784. [Google Scholar] [CrossRef]
  27. Zhou, X.; Zhou, S.; Qin, D.; Sun, Y. Analysis of Cloud Top Features During Convective Initiation Using FY-2F Satellite Scan Data. Meteor. Mon. 2019, 45, 216–227. [Google Scholar] [CrossRef]
  28. Zhao, F.; Dai, C.; Wei, H.; Zhu, X.; Ma, J. Calculating the reflectance of cirrus clouds based on cirrus properties from MODIS. Infrared Laser Eng. 2018, 47, 270–276. [Google Scholar] [CrossRef]
  29. Qi, D.; Yang, L.; Zhou, M.; Zhu, W. Convective nowcasting using improved optical flow method and satellite TBB data. J. Trop. Meteorol. 2023, 39, 47–54. [Google Scholar] [CrossRef]
  30. Farneback, G. Polynomial Expansion for Orientation and Motion Estimation; Linköping University: Linköping, Sweden, 2002. [Google Scholar]
  31. Ji, C. Research on Detection and Nowcast Method of Convective Cloud Based on FY-4A Satellite. Master’s Thesis, Nanjing University of Information Science and Technology, Nanjing, China, 2020. [Google Scholar] [CrossRef]
Figure 1. Algorithm workflow.
Figure 1. Algorithm workflow.
Atmosphere 17 00380 g001
Figure 2. The cases’ interested fields’ changes 60 min before CI occurs: (a) AGRI channel 1 normalized reflectance; (b) AGRI TBB07; (c) AGRI TBB13; (d) AGRI TBB09-TBB13; (e) AGRI TBB14-TBB13; (f) AGRI tri-spectral difference; (g) AGRI TBB11-TBB13; and (h) GHI channel 1 normalized reflectance.
Figure 2. The cases’ interested fields’ changes 60 min before CI occurs: (a) AGRI channel 1 normalized reflectance; (b) AGRI TBB07; (c) AGRI TBB13; (d) AGRI TBB09-TBB13; (e) AGRI TBB14-TBB13; (f) AGRI tri-spectral difference; (g) AGRI TBB11-TBB13; and (h) GHI channel 1 normalized reflectance.
Atmosphere 17 00380 g002
Figure 3. PR curve of the algorithms: the blue line indicates the 25th percentage threshold, the orange line indicates the 50th, and the green line indicates the 10th.
Figure 3. PR curve of the algorithms: the blue line indicates the 25th percentage threshold, the orange line indicates the 50th, and the green line indicates the 10th.
Atmosphere 17 00380 g003
Figure 4. Coefficient of variation for threshold selection.
Figure 4. Coefficient of variation for threshold selection.
Atmosphere 17 00380 g004
Figure 5. CDFs of lead time for the proposed method with GHI (blue line), the method without GHI (orange line), and the original SATCAST algorithm (green line). The lead time statistics are calculated using the correctly predicted CI events.
Figure 5. CDFs of lead time for the proposed method with GHI (blue line), the method without GHI (orange line), and the original SATCAST algorithm (green line). The lead time statistics are calculated using the correctly predicted CI events.
Atmosphere 17 00380 g005
Figure 6. Lead time distribution for individual-type CI events and merging-type CI events, which were detected by the proposed algorithm.
Figure 6. Lead time distribution for individual-type CI events and merging-type CI events, which were detected by the proposed algorithm.
Atmosphere 17 00380 g006
Figure 7. Radar images at (a) 23:09; (b) 23:15; (c) 23:20; (d) 23:26; (e) 23:32; (f) 23:38; (g) 23:43; and (h) 23:49 (UTC). The red circles represent the CI events occurred at 23:26, they are marked as case A and B. The yellow circle represents the CI event occurred at 23:32, it is marked as case C, the purple circle represents the CI events occurred at 23:38, it is marked as case D.
Figure 7. Radar images at (a) 23:09; (b) 23:15; (c) 23:20; (d) 23:26; (e) 23:32; (f) 23:38; (g) 23:43; and (h) 23:49 (UTC). The red circles represent the CI events occurred at 23:26, they are marked as case A and B. The yellow circle represents the CI event occurred at 23:32, it is marked as case C, the purple circle represents the CI events occurred at 23:38, it is marked as case D.
Atmosphere 17 00380 g007
Figure 8. CI nowcasts with GHI data at (a) 23:00; (b) 23:15; (c) 23:30; and (d) 23:45 (UTC). White boxes: false alarms; circles: hits. Colors for CI event occurrence times follow Figure 7.
Figure 8. CI nowcasts with GHI data at (a) 23:00; (b) 23:15; (c) 23:30; and (d) 23:45 (UTC). White boxes: false alarms; circles: hits. Colors for CI event occurrence times follow Figure 7.
Atmosphere 17 00380 g008
Figure 9. CI nowcasts without GHI data at (a) 23:00; (b) 23:15; (c) 23:30; and (d) 23:45 (UTC). White boxes: false alarms; circles: hits. Colors for CI event occurrence times follow Figure 7.
Figure 9. CI nowcasts without GHI data at (a) 23:00; (b) 23:15; (c) 23:30; and (d) 23:45 (UTC). White boxes: false alarms; circles: hits. Colors for CI event occurrence times follow Figure 7.
Atmosphere 17 00380 g009
Figure 10. SATCAST nowcasts at (a) 23:00; (b) 23:15; (c) 23:30; and (d) 23:45 (UTC). White boxes: false alarms; circles: hits. Colors for CI event occurrence times follow Figure 7.
Figure 10. SATCAST nowcasts at (a) 23:00; (b) 23:15; (c) 23:30; and (d) 23:45 (UTC). White boxes: false alarms; circles: hits. Colors for CI event occurrence times follow Figure 7.
Atmosphere 17 00380 g010
Table 1. FY-4B AGRI sensor data.
Table 1. FY-4B AGRI sensor data.
ChannelWavelength (μm)Resolution (km)Primary Use
10.471Small-particle aerosols, true color composites
20.650.5Vegetation, image navigation registration, stellar observation
30.8251Vegetation, airborne aerosols over water surfaces
41.3792Cirrus clouds
51.612Low cloud/snow identification, water cloud/ice cloud discrimination
62.252Cirrus clouds, aerosols, particle size
73.75 (high)2Clouds and other high-albedo targets, fire points
83.75 (low)4Low-albedo targets, ground surface
96.254Upper-level moisture
106.954Mid-level moisture
117.424Low-level moisture
128.554Clouds
1310.84Clouds, surface temperature, etc.
1412.04Clouds, total water vapor content, surface temperature
1513.34Clouds, water vapor
Table 2. FY-4B GHI sensor data.
Table 2. FY-4B GHI sensor data.
ChannelWavelength (μm)Resolution (km)Primary Use
1Full color0.25Surface, vegetation, stars
20.445~0.4950.5Small-particle aerosols, true color composites
30.52~0.570.5Aerosols, true color composites
40.62~0.670.5Aerosols, true color composites
51.371~1.3860.5Cirrus clouds
61.58~1.640.5Low cloud/snow identification, water cloud/ice cloud discrimination
710.3~12.52Clouds, surface temperature, etc.
Table 3. FY-4B GHI and AGRI scan time over 1 h.
Table 3. FY-4B GHI and AGRI scan time over 1 h.
AGRI Scan TimeGHI Scan Time
0 min1 min, 2 min, 3 min, 4 min, 6 min, 7 min, 8 min, 9 min, 11 min, 12 min
15 min16 min, 17 min, 18 min, 19 min, 21 min, 22 min, 23 min, 24 min, 26 min, 27 min
30 min31 min, 32 min, 33 min, 34 min, 36 min, 37 min, 38 min, 39 min, 41 min, 42 min
45 min46 min, 47 min, 48 min, 49 min, 51 min, 52 min, 53 min, 54 min, 56 min, 57 min
Table 4. Algorithm index and physical meaning.
Table 4. Algorithm index and physical meaning.
Involved FieldsThresholdMeaning
REFGHI>0.5Cloud
TBB13<283.15 KCloud
TBB09-TBB13(−45, −10) KCloud-top height relative to the tropopause
TBB14-TBB13(−5, 0) KCloud thickness
Delta TBBGHI<−2 K/15 minCloud cooling rate
Delta(TBB09-TBB13)>3 K/15 minTemporal variation in cloud-top height relative to the tropopause
Delta(TBB14-TBB13)>0 K/15 minTime variation in cloud thickness
Table 5. Time and number of CI events.
Table 5. Time and number of CI events.
TimeCI EventsTPFNFP
24 July 2023221936
25 July 2023191727
26 July 202310558
27 July 202313678
5 August 20232927212
6 August 2023201738
7 August 2023242227
8 August 20232925413
Sum1661382868
Table 6. Original SATCAST algorithm index.
Table 6. Original SATCAST algorithm index.
Interest FieldsThreshold
TBB13<273.15 K
TBB09-TBB13(−35, −10) K
TBB15-TBB13(−25, −5) K
Delta TBB13<−4 K/15 min
Delta(TBB09-TBB13)>3 K/15 min
Delta(TBB14-TBB13)>3 K/15 min
Timing of TBB13 drop below 0 °CWithin prior 30 min
Table 7. Performance comparison of three CI detection algorithms.
Table 7. Performance comparison of three CI detection algorithms.
AlgorithmHitMissFalsePODFARCSI
Algorithm with GHI data138286883.1% (95% CI: 77.5–88.6%)33% (95% CI: 26.3–39.6%)58.9% (95% CI: 52.6–65.4%)
Algorithm without GHI data129375877.7% (95% CI: 71.4–83.7%)31% (95% CI: 24.3–37.5%)57.6% (95% CI: 51.3–64.3%)
Original SATCAST124425374.7% (95% CI: 67.8–81.3%)29.9% (95% CI: 23.4–36.6%)56.6% (95% CI: 50.2–63.5%)
Disclaimer/Publisher’s Note: The statements, opinions and data contained in all publications are solely those of the individual author(s) and contributor(s) and not of MDPI and/or the editor(s). MDPI and/or the editor(s) disclaim responsibility for any injury to people or property resulting from any ideas, methods, instructions or products referred to in the content.

Share and Cite

MDPI and ACS Style

Yang, Z.; Cheng, Z.; Sang, W.; Zhang, W.; Huang, Y.; Huang, Y.; Wang, Z. A Convective Initiation Nowcasting Algorithm Based on FY-4B Satellite AGRI and GHI Data. Atmosphere 2026, 17, 380. https://doi.org/10.3390/atmos17040380

AMA Style

Yang Z, Cheng Z, Sang W, Zhang W, Huang Y, Huang Y, Wang Z. A Convective Initiation Nowcasting Algorithm Based on FY-4B Satellite AGRI and GHI Data. Atmosphere. 2026; 17(4):380. https://doi.org/10.3390/atmos17040380

Chicago/Turabian Style

Yang, Zongxin, Zhigang Cheng, Wenjun Sang, Wen Zhang, Yu Huang, Yuwen Huang, and Zhi Wang. 2026. "A Convective Initiation Nowcasting Algorithm Based on FY-4B Satellite AGRI and GHI Data" Atmosphere 17, no. 4: 380. https://doi.org/10.3390/atmos17040380

APA Style

Yang, Z., Cheng, Z., Sang, W., Zhang, W., Huang, Y., Huang, Y., & Wang, Z. (2026). A Convective Initiation Nowcasting Algorithm Based on FY-4B Satellite AGRI and GHI Data. Atmosphere, 17(4), 380. https://doi.org/10.3390/atmos17040380

Note that from the first issue of 2016, this journal uses article numbers instead of page numbers. See further details here.

Article Metrics

Back to TopTop