The Influence of Ambient Particulate Matter on the Human Respiratory Tract in Major Academic Centers
Abstract
1. Introduction
2. Methods
2.1. Sampling Sites
2.2. Study Area 1—Wrocław, Poland
2.3. Study Area 2—Poznań, Poland
- Poznań–Polanka (urban background)—a 5 m-high platform in a mixed residential–recreation zone close to Lake Malta, free from direct traffic emissions,
- Poznań–Jana Pawła II (traffic)—2 m above ground and <20 m from a six-lane arterial road carrying >40,000 vehicles day−1.
2.4. Air Sampling
2.5. Exposure Dose Model 2 (ExDoM2)
2.6. Statistical Analysis
3. Results and Discussion
3.1. Particulate Matter Mass Concentrations
3.2. Deposited Mass of PM in the Human Respiratory Tract
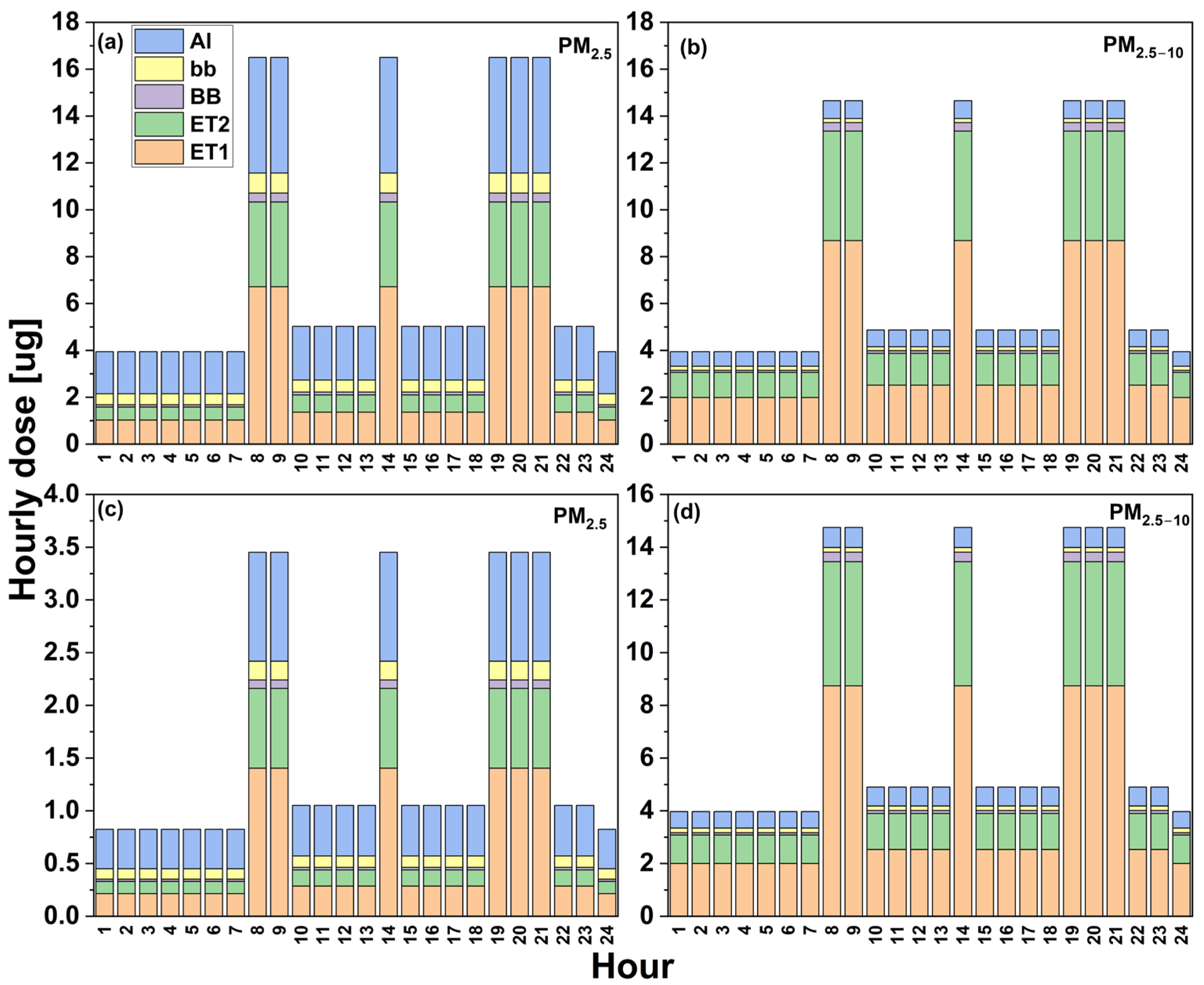
3.2.1. Wrocław
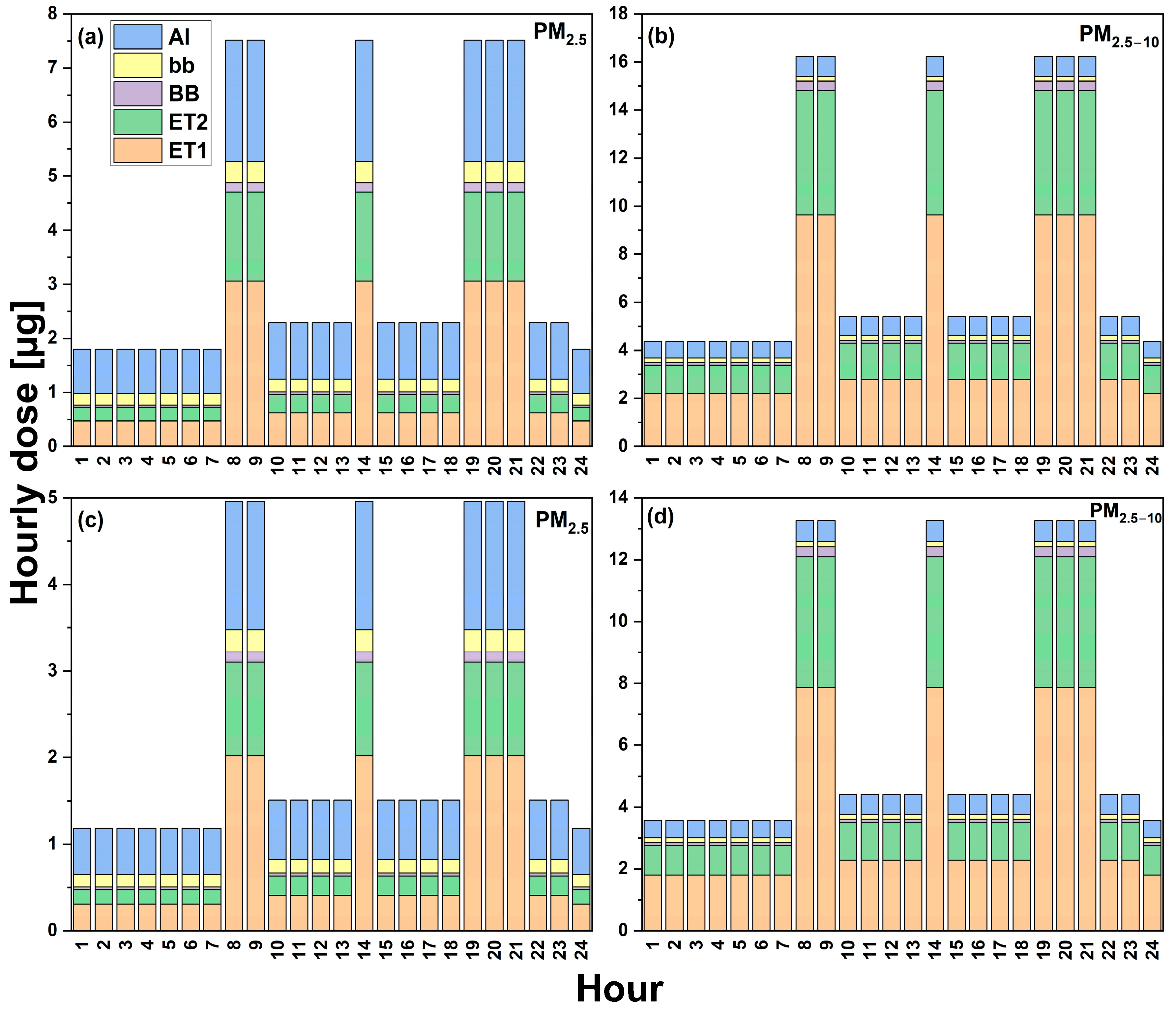
3.2.2. Poznań Jana Pawła II Street
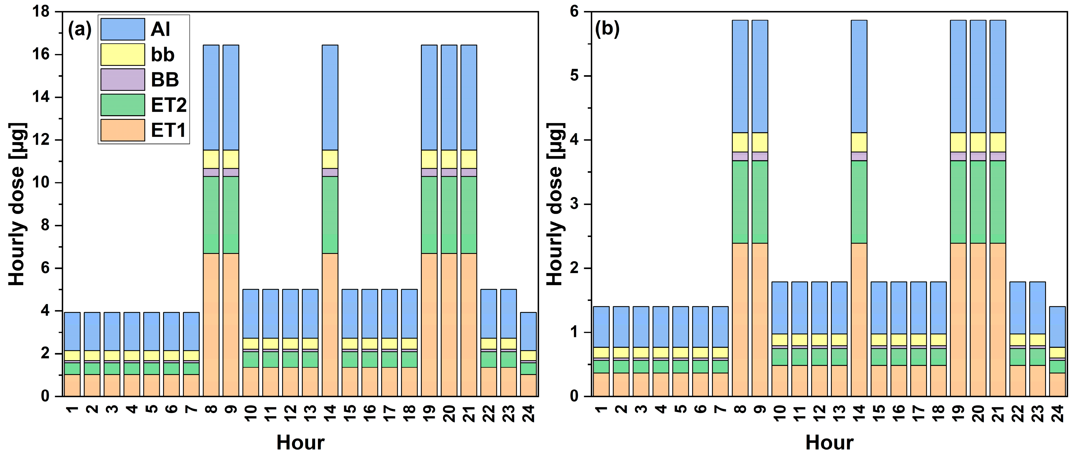
3.2.3. Poznań Polanka
4. Conclusions
Author Contributions
Funding
Institutional Review Board Statement
Informed Consent Statement
Data Availability Statement
Acknowledgments
Conflicts of Interest
References
- Cohen, A.J.; Brauer, M.; Burnett, R.; Anderson, H.R.; Frostad, J.; Estep, K.; Balakrishnan, K.; Brunekreef, B.; Dandona, L.; Dandona, R.; et al. Estimates and 25-year trends of the global burden of disease attributable to ambient air pollution: An analysis of data from the Global Burden of Diseases Study 2015. Lancet 2017, 389, 1907–1918. [Google Scholar] [CrossRef]
- Burnett, R.; Chen, H.; Szyszkowicz, M.; Fann, N.; Hubbell, B.; Pope, C.A., III; Apte, J.S.; Brauer, M.; Cohen, A.; Weichenthal, S.; et al. Global estimates of mortality associated with long-term exposure to outdoor fine particulate matter. Proc. Natl. Acad. Sci. USA 2018, 115, 9592–9597. [Google Scholar] [CrossRef]
- Zhang, Y.; Ding, Z.; Xiang, Q.; Wang, W.; Huang, L.; Mao, F. Short-term effects of ambient PM1 and PM2.5 air pollution on hospital admission for respiratory diseases: Case-crossover evidence from Shenzhen, China. Int. J. Hyg. Environ. Health 2020, 224, 113418. [Google Scholar] [CrossRef] [PubMed]
- Henning, R.J. Particulate Matter Air Pollution is a Significant Risk Factor for Cardiovascular Disease. Curr. Probl. Cardiol. 2024, 49, 102094. [Google Scholar] [CrossRef]
- Jedrychowski, W.A.; Perera, F.P.; Camann, D.; Spengler, J.; Butscher, M.; Mroz, E.; Majewska, R.; Flak, E.; Jacek, R.; Sowa, A. Prenatal exposure to polycyclic aromatic hydrocarbons and cognitive dysfunction in children. Environ. Sci. Pollut. Res. 2015, 22, 3631–3639. [Google Scholar] [CrossRef]
- Environmental Protection Agency (EPA). Air Pollution and Cardiovascular Disease Basics (Last Updated on 24 October 2024). Available online: https://www.epa.gov/air-research/air-pollution-and-cardiovascular-disease-basics (accessed on 10 February 2026).
- Health Effects Institute. State of Global Air 2024; Special Report; Health Effects Institute: Boston, MA, USA, 2024; Available online: https://healtheffects.org/announcements/new-state-global-air-report-finds-air-pollution-second-leading-risk-factor-death (accessed on 10 February 2026).
- Lelieveld, J.; Haines, A.; Burnett, R.; Tonne, C.; Klingmüller, K.; Münzel, T.; Pozzer, A. Air pollution deaths attributable to fossil fuels: Observational and modelling study. BMJ 2023, 383, e077784. [Google Scholar] [CrossRef]
- European Environment Agency (EEA). Monitoring Station Classifications and Criteria for Including Them in the EEA’s Assessment Products. Available online: https://www.eea.europa.eu/en/topics/in-depth/air-pollution/monitoring-station-classifications-and-criteria (accessed on 10 February 2026).
- Directive (EU) 2024/2881 of the European Parliament and of the Council of 23 October 2024 on Ambient Air Quality and Cleaner Air for Europe. Available online: https://eur-lex.europa.eu/legal-content/pl/TXT/?uri=CELEX:32024L2881 (accessed on 7 December 2024).
- Shah, A.S.V.; Lee, K.K.; McAllister, D.A.; Hunter, A.; Nair, H.; Whiteley, W.; Langrish, J.P.; Newby, D.E.; Mills, N.L. Short term exposure to air pollution and stroke: Systematic review and meta-analysis. BMJ 2015, 350, h1295. [Google Scholar] [CrossRef] [PubMed]
- WHO. WHO Global Air Quality Guidelines; World Health Organization: Geneva, Switzerland, 2021; Available online: https://www.who.int/publications/i/item/9789240034228 (accessed on 10 February 2026).
- International Commission on Radiological Protection (ICRP). Human respiratory tract model for radiological protection. ICRP Publication 66. Ann. ICRP 1994, 24, 1–3. [Google Scholar]
- Chalvatzaki, E.; Chatoutsidou, S.E.; Lazaridis, M. Regional deposited dose in the human respiratory tract using different particulate metrics. J. Environ. Expo. Assess. 2022, 1, 18. [Google Scholar] [CrossRef]
- MPPD. Multiple-Path Particle Dosimetry Model. Available online: https://www.ara.com/mppd (accessed on 10 February 2026).
- Martins, V.; Cruz Minguillón, M.; Moreno, T.; Querol, X.; de Miguel, E.; Capdevila, M.; Lazaridis, M. Deposition of aerosol particles from a subway microenvironment in the human respiratory tract. J. Aerosol Sci. 2015, 90, 103–113. [Google Scholar] [CrossRef]
- Anjilvel, S.; Asgharian, B. A multiple-path model of particle deposition in the rat lung. Fundam. Appl. Toxicol. 1995, 28, 41–50. [Google Scholar] [CrossRef]
- Kuprat, A.P.; Jalali, M.; Jan, T.; Corley, R.A.; Asgharian, B.; Price, O.; Singh, K.; Colby, S.; Darquenne, C. Efficient bi-directional coupling of 3D computational fluid-particle dynamics and 1D multiple path particle dosimetry lung models for multiscale modeling of aerosol dosimetry. J. Aerosol Sci. 2021, 151, 105647. [Google Scholar] [CrossRef]
- Ferguson, M.D.; Migliaccio, C.; Ward, T. Comparison of how ambient PMc and PM2.5 influence the inflammatory potential. Inhal. Toxicol. 2013, 25, 766–773. [Google Scholar] [CrossRef]
- Löndahl, J.; Massling, A.; Swietlicki, E.; Bräuner, E.V.; Ketzel, M.; Pagels, J.; Loft, S. Experimentally determined human respiratory tract deposition of airborne particles at a busy street. Environ. Sci. Technol. 2009, 43, 4659–4664. [Google Scholar] [CrossRef] [PubMed]
- European Environment Agency (EEA). Air Quality in Europe 2022; EEA Report No. 05/2022; European Environment Agency: Copenhagen, Denmark, 2022. [Google Scholar] [CrossRef]
- Chlebowska-Styś, A. Identyfikacja Źródeł Emisji Pyłu Zawieszonego na Terenie Poznania. Ph.D. Thesis, Politechnika Wrocławska, Wrocław, Poland, 2020. [Google Scholar]
- Dubicki, A.; Dubicka, M.; Szymanowski, M. Klimat Wrocławia. Sr. Wrocławia-Inf. 2002, 9–20. Available online: http://eko.org.pl/wroclaw/pdf/raport2002.pdf (accessed on 10 January 2026).
- Pachurka, Ł.; Gruszecka-Kosowska, A.; Kobus, D.; Sówka, I. Assessment of inhalational exposure of residents of Wroclaw, Krakow and Warszawa to benzo[a]pyrene. Ecol. Chem. Eng. A 2018, 25, 39–49. [Google Scholar] [CrossRef]
- Chief Inspectorate of Environmental Protection (GIOŚ). Roczna Ocena Jakości Powietrza w Województwie Dolnośląskim. Raport Wojewódzki za Rok 2023. (In Polish). Available online: https://powietrze.gios.gov.pl/pjp/rwms/publications/card/2017 (accessed on 3 March 2025).
- Kondracki, J. Geografia Fizyczna Polski; PWN: Warszawa, Poland, 1967. [Google Scholar]
- Chief Inspectorate of Environmental Protection (GIOŚ). Roczna Ocena Jakości Powietrza w Województwie Wielkopolskim. Raport Wojewódzki za Rok 2023; GIOŚ: Warszawa, Poland, 2024; (In Polish). Available online: https://powietrze.gios.gov.pl/pjp/rwms/publications/card/2016 (accessed on 3 March 2025).
- MCZ Umwelttechnik. Low-Volume Sampler LVS16. Available online: https://www.mcz.de/umwelttechnik_23_Low-Volume-Sampler-LVS16_en.php (accessed on 11 February 2026).
- Air Diagnostics and Engineering, Inc. Indoor Sampling Equipment. Available online: https://airdiagnostics.com/indoor_samp_equip.php (accessed on 11 February 2026).
- EN 12341:2014; Ambient Air—Standard Gravimetric Measurement Method for the Determination of the PM10 or PM2.5 Mass Concentration of Suspended Particulate Matter. European Committee for Standardization: Brussels, Belgium, 2014.
- Minister of the Environment. Regulation of the Minister of the Environment of 13 September 2012 on assessing the contents of substances in the air. J. Laws 2012, 1032. [Google Scholar]
- PN-EN 12341:2014-07; Powietrze Atmosferyczne—Standardowa Metoda Grawimetryczna Oznaczania Stężenia Masowego pyłu Zawieszonego PM10 lub PM2.5. Polski Komitet Normalizacyjny: Warszawa, Poland, 2014. (In Polish)
- Chalvatzaki, E.; Lazaridis, M. Development and application of a dosimetry model (ExDoM2) for calculating internal dose of specific particle-bound metals in the human body. Inhal. Toxicol. 2015, 27, 308–320. [Google Scholar] [CrossRef]
- Aleksandropoulou, V.; Lazaridis, M. Development and application of a model (ExDoM) for calculating the respiratory tract dose and retention of particles under variable exposure conditions. Air Qual. Atmos. Health 2013, 6, 13–26. [Google Scholar] [CrossRef]
- Pitz, M.; Cyrys, J.; Karg, E.; Wiedensohler, A.; Wichmann, H.E.; Heinrich, J. Variability of apparent particle density of an urban aerosol. Environ. Sci. Technol. 2003, 37, 4336–4342. [Google Scholar] [CrossRef] [PubMed]
- DeCarlo, P.F.; Slowik, J.G.; Worsnop, D.R.; Davidovits, P.; Jimenez, J.L. Particle morphology and density characterization by combined mobility and aerodynamic diameter measurements. Part 1: Theory. Aerosol Sci. Technol. 2004, 38, 1185–1205. [Google Scholar] [CrossRef]
- Geller, M.; Biswas, S.; Sioutas, C. Determination of particle effective density in urban environments with a Differential Mobility Analyzer and Aerosol Particle Mass Analyzer. Aerosol Sci. Technol. 2006, 40, 709–723. [Google Scholar] [CrossRef]
- Malloy, Q.G.J.; Nakao, S.; Qi, L.; Austin, R.; Stothers, C.; Hagino, H.; Cocker, D.R., III. Real-time aerosol density determination utilizing a modified scanning mobility particle size aerosol particle mass analyzer system. Aerosol Sci. Technol. 2009, 43, 673–678. [Google Scholar] [CrossRef]
- Mann, H.B.; Whitney, D.R. On a test of whether one of two random variables is stochastically larger than the other. Ann. Math. Stat. 1947, 18, 50–60. [Google Scholar] [CrossRef]
- Junninen, H.; Mønster, J.; Rey, M.; Cancelinha, J.; Douglas, K.; Duane, M.; Forcina, V.; Müller, A.; Lagler, F.; Marelli, L.; et al. Quantifying the Impact of Residential Heating on the Urban Air Quality in a Typical European Coal Combustion Region. Environ. Sci. Technol. 2009, 43, 7964–7970. [Google Scholar] [CrossRef]
- World Health Organization (WHO). WHO’s Urban Ambient Air Pollution Database—Update 2016, Version 0.2; World Health Organization: Geneva, Switzerland, 2016. [Google Scholar]
- Pastuszka, J.S.; Rogula-Kozłowska, W.; Zajusz-Zubek, E. Characterization of PM10 and PM2.5 and associated heavy metals at the crossroads and urban background sites in Zabrze, Upper Silesia, Poland, during the smog episodes. Environ. Monit. Assess. 2010, 168, 613–627. [Google Scholar] [CrossRef]
- Juda-Rezler, K.; Reizer, M.; Oudinet, J.P. Determination and analysis of PM10 source apportionment during episodes of air pollution in Central Eastern European urban areas: The case of wintertime 2006. Atmos. Environ. 2011, 45, 6557–6566. [Google Scholar] [CrossRef]
- Rogula-Kozłowska, W.; Błaszczak, B.; Rogula-Kopiec, P.; Klejnowski, K.; Mathews, B.; Szopa, S. Physicochemical Characteristics of Fine Ambient Aerosol from Quasi-Rural Area in Southern Poland. Int. J. Environ. Res. 2014, 8, 751–764. [Google Scholar]
- Samek, L.; Bartyzel, J.; Martins, V.; Lazaridis, M.; Zimnoch, M.; Ryś, A.; Almeida, S.M. The influence of COVID-19 pandemic on deposited dose of outdoor particulate matter in human respiratory tract: A case study from Krakow, Southern Poland. Air Qual. Atmos. Health 2024, 17, 1841–1849. [Google Scholar] [CrossRef]
- Mammi-Galani, E.; Chalvatzaki, E.; Lazaridis, M. Personal Exposure and Dose of Inhaled Ambient Particulate Matter Bound Metals in Five European Cities. Aerosol Air Qual. Res. 2016, 16, 1452–1463. [Google Scholar] [CrossRef]
- Chalvatzaki, E.; Chatoutsidou, S.E.; Mammi-Galani, E.; Almeida, S.M.; Gini, M.I.; Eleftheriadis, K.; Diapouli, E.; Lazaridis, M. Estimation of the Personal Deposited Dose of Particulate Matter and Particle-Bound Metals Using Data from Selected European Cities. Atmosphere 2018, 9, 248. [Google Scholar] [CrossRef]










| Location | Station Type | Sampler and Filters | Flow Rate | Volume Control | Notes |
|---|---|---|---|---|---|
| Wrocław–Kosiby | Urban background | Harvard impactor, quartz filters (37 mm, PALLFLEX) | 10 dm3/min | Actaris flow meter | Height: approx. 2 m; surroundings: park, residential buildings, road 130 m away |
| Poznań–Jana Pawła II | Traffic station | Harvard-type impactor, Whatman QM-A filters (37 mm) | 10 dm3/min | Actaris flow meter | Height: approx. 2–3 m; surroundings: city center, busy street, 50 m from the road |
| Poznań–Polanka | Urban background | MicroPNS LVS 16-Split, Whatman QM-A filters (47 mm) | 2.3 m3/h (according to [30]) | Built-in microprocessor with flow control and temperature/pressure compensation | Height: 5 m; surroundings: residential area, shopping center, close to Lake Malta |
| Location | Station Type | Sampling Period | Surroundings | Meteorological Features | Main Emission Sources | Terrain and Ventilation Remarks |
|---|---|---|---|---|---|---|
| Wrocław–Kosiby | Urban background station | Winter 2016, Spring 2016 | Parks, residential buildings, CHP plant (5 km), road (130 m) | Urban heat island, fog, high humidity, low air circulation | Heating, traffic, industry | Oder valley, limited ventilation |
| Poznań–Jana Pawła II | Traffic station | Autumn 2016, Summer 2017 | Busy road, city center | Westerly winds, winter calms, inversions | Road traffic, local heating | Dense buildings, stagnant air |
| Poznań–Polanka | Urban background station | Autumn 2016, Summer 2017 | Residential area, shopping center, lake | Similar to Jana Pawła II | Individual heating, local sources | Better airflow, but still winter exposure |
| Fraction | Type of Comparison | Station | Season | h |
|---|---|---|---|---|
| PM2.5 | Seasonal | Wrocław | Winter 2016 vs. Spring 2016 | 1 |
| PM2.5–10 | Seasonal | Wrocław | Winter 2016 vs. Spring 2016 | 1 |
| PM2.5 | Seasonal | Poznań–Polanka | Autumn 2016 vs. Summer 2017 | 1 |
| PM2.5 | Seasonal | Poznań–Jana Pawła | Autumn 2016 vs. Summer 2017 | 1 |
| PM2.5–10 | Seasonal | Poznań–Jana Pawła | Autumn 2016 vs. Summer 2017 | 0 |
| PM2.5 | Station | Polanka vs. Jana Pawła | Autumn 2016 | 1 |
| PM2.5 | Station | Polanka vs. Jana Pawła | Summer 2017 | 1 |
Disclaimer/Publisher’s Note: The statements, opinions and data contained in all publications are solely those of the individual author(s) and contributor(s) and not of MDPI and/or the editor(s). MDPI and/or the editor(s) disclaim responsibility for any injury to people or property resulting from any ideas, methods, instructions or products referred to in the content. |
© 2026 by the authors. Licensee MDPI, Basel, Switzerland. This article is an open access article distributed under the terms and conditions of the Creative Commons Attribution (CC BY) license.
Share and Cite
Grzywa, P.; Mucha, F.; Chlebowska-Styś, A.; Pachurka, Ł.; Martins, V.; Samek, L.; Almeida, S.M.; Lazaridis, M.; Sówka, I. The Influence of Ambient Particulate Matter on the Human Respiratory Tract in Major Academic Centers. Atmosphere 2026, 17, 237. https://doi.org/10.3390/atmos17030237
Grzywa P, Mucha F, Chlebowska-Styś A, Pachurka Ł, Martins V, Samek L, Almeida SM, Lazaridis M, Sówka I. The Influence of Ambient Particulate Matter on the Human Respiratory Tract in Major Academic Centers. Atmosphere. 2026; 17(3):237. https://doi.org/10.3390/atmos17030237
Chicago/Turabian StyleGrzywa, Patryk, Filip Mucha, Anna Chlebowska-Styś, Łukasz Pachurka, Vânia Martins, Lucyna Samek, Susana Marta Almeida, Mihalis Lazaridis, and Izabela Sówka. 2026. "The Influence of Ambient Particulate Matter on the Human Respiratory Tract in Major Academic Centers" Atmosphere 17, no. 3: 237. https://doi.org/10.3390/atmos17030237
APA StyleGrzywa, P., Mucha, F., Chlebowska-Styś, A., Pachurka, Ł., Martins, V., Samek, L., Almeida, S. M., Lazaridis, M., & Sówka, I. (2026). The Influence of Ambient Particulate Matter on the Human Respiratory Tract in Major Academic Centers. Atmosphere, 17(3), 237. https://doi.org/10.3390/atmos17030237

