Impact of Winter Air Supply Strategies on Thermal Comfort in Yamen Buildings: A Case Study of the Jiangsu Provincial Judicial Commissioner’s Office
Abstract
1. Introduction
2. Materials and Methods
2.1. Research Methods
2.2. Field Measurement of the Building
2.2.1. Measured Building
2.2.2. Measurement Methods
2.3. Simulation Model Establishment
2.3.1. Thermal Environment Simulation Model Establishment
2.3.2. CFD Model Construction
2.4. Thermal Comfort Simulation of Typical Spaces in the Yamen Building
2.4.1. Development of the Baseline Model
2.4.2. Simulation Scenario Setup
2.4.3. Evaluation Criteria
3. Results
3.1. Measurement Results
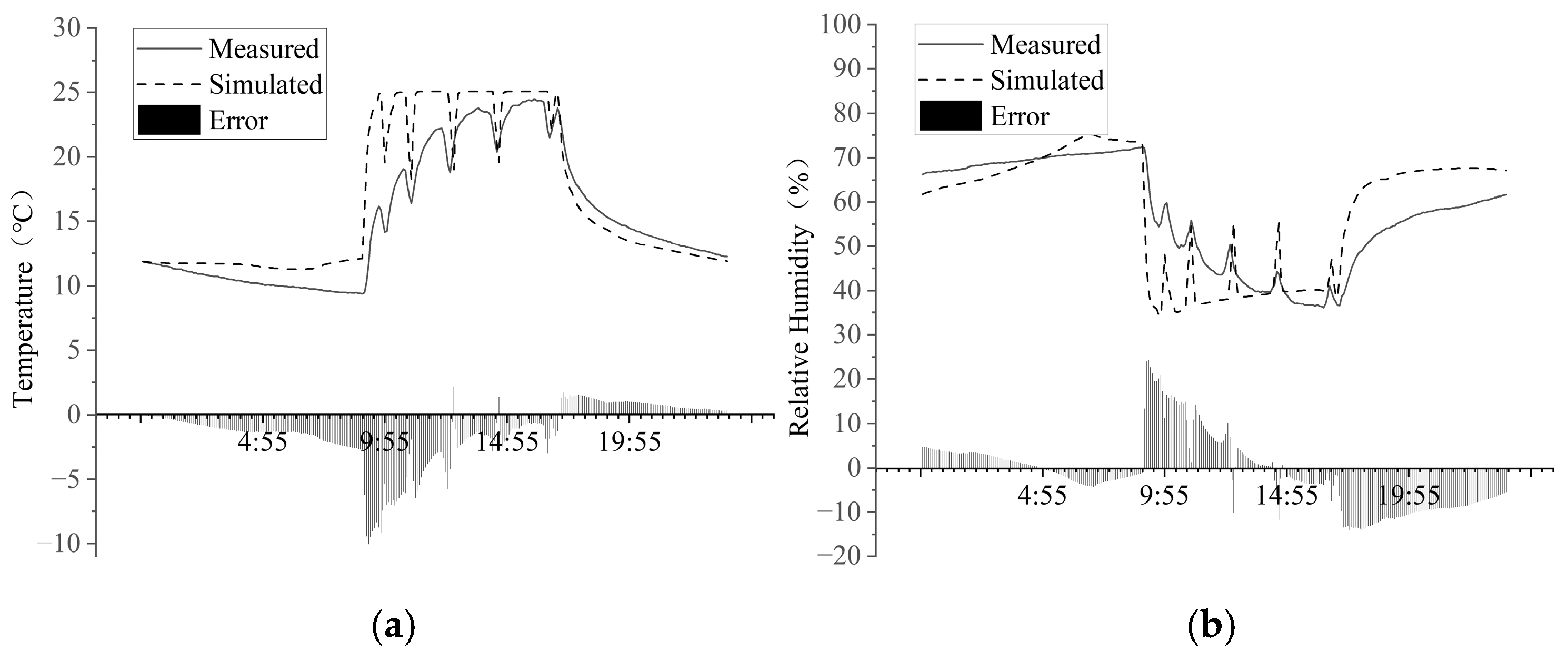
3.2. Simulation Validation
3.2.1. Thermal Environment Simulation Validation
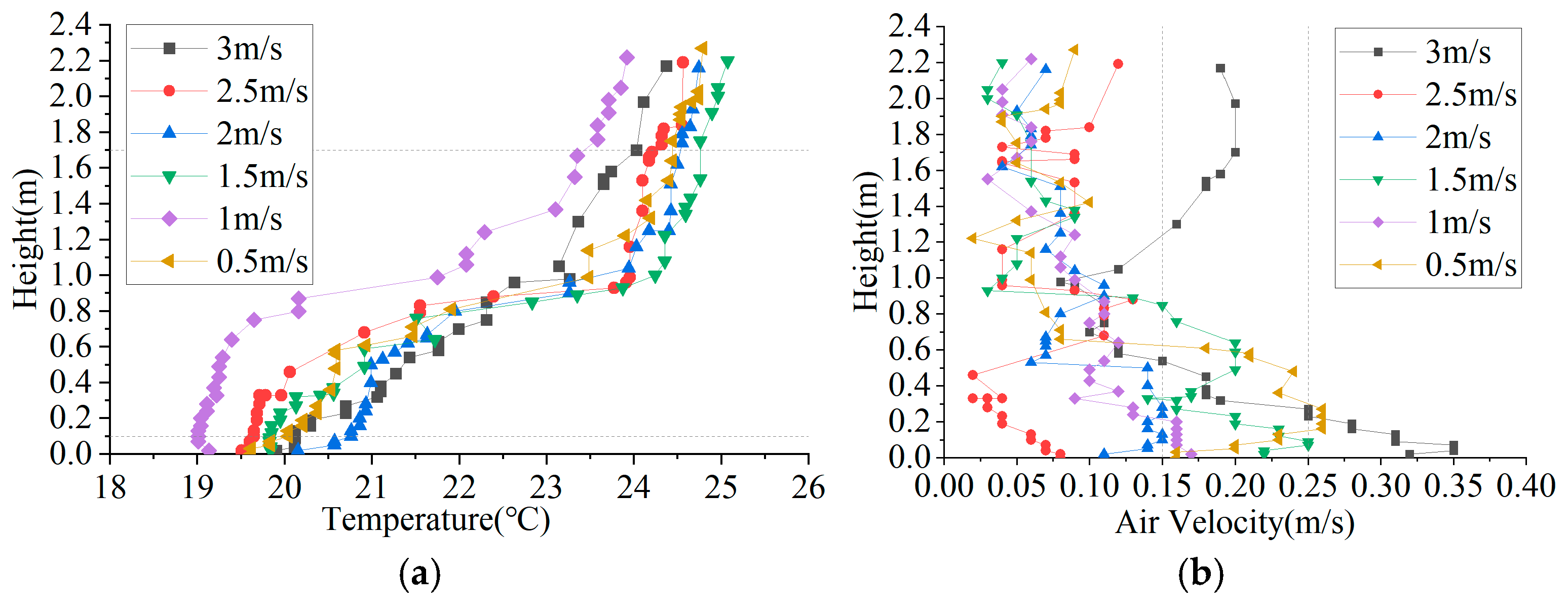
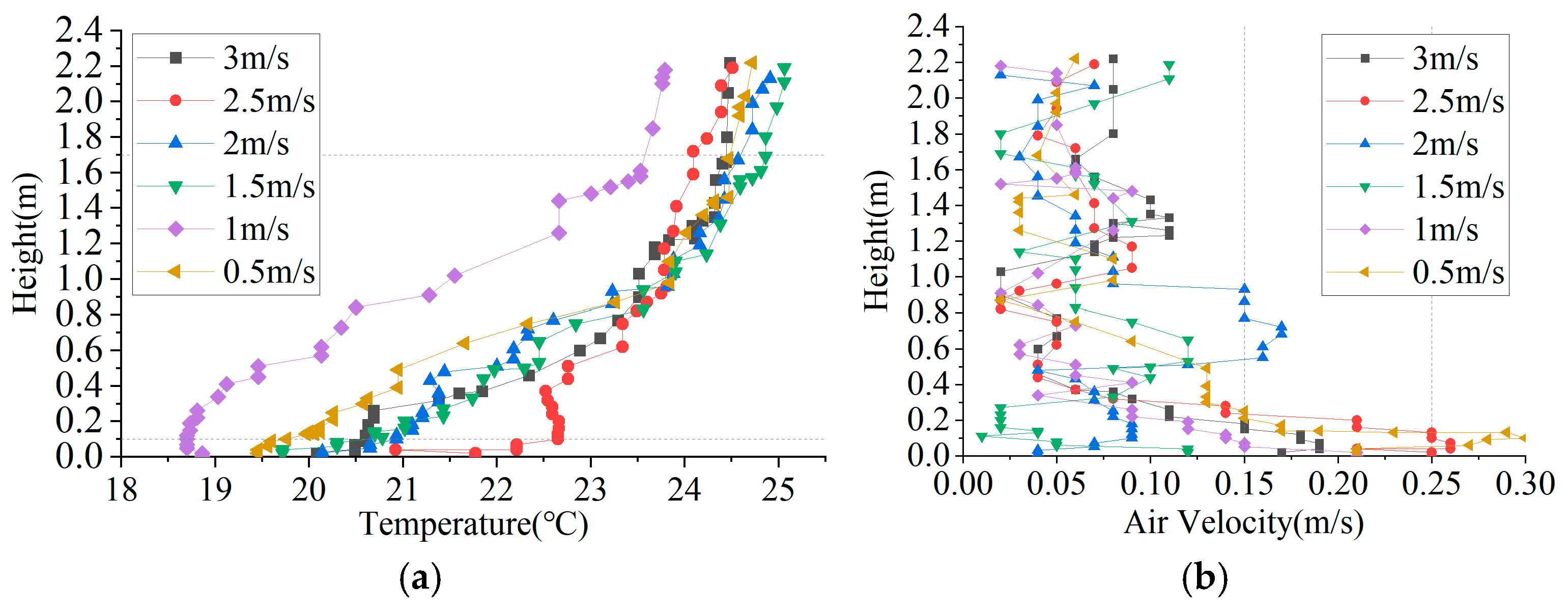
3.2.2. CFD Simulation Validation
3.2.3. Grid Independence Verification
3.2.4. Simulation Validation Results
3.3. Main Simulation Results of Thermal Comfort in the Rear Hall
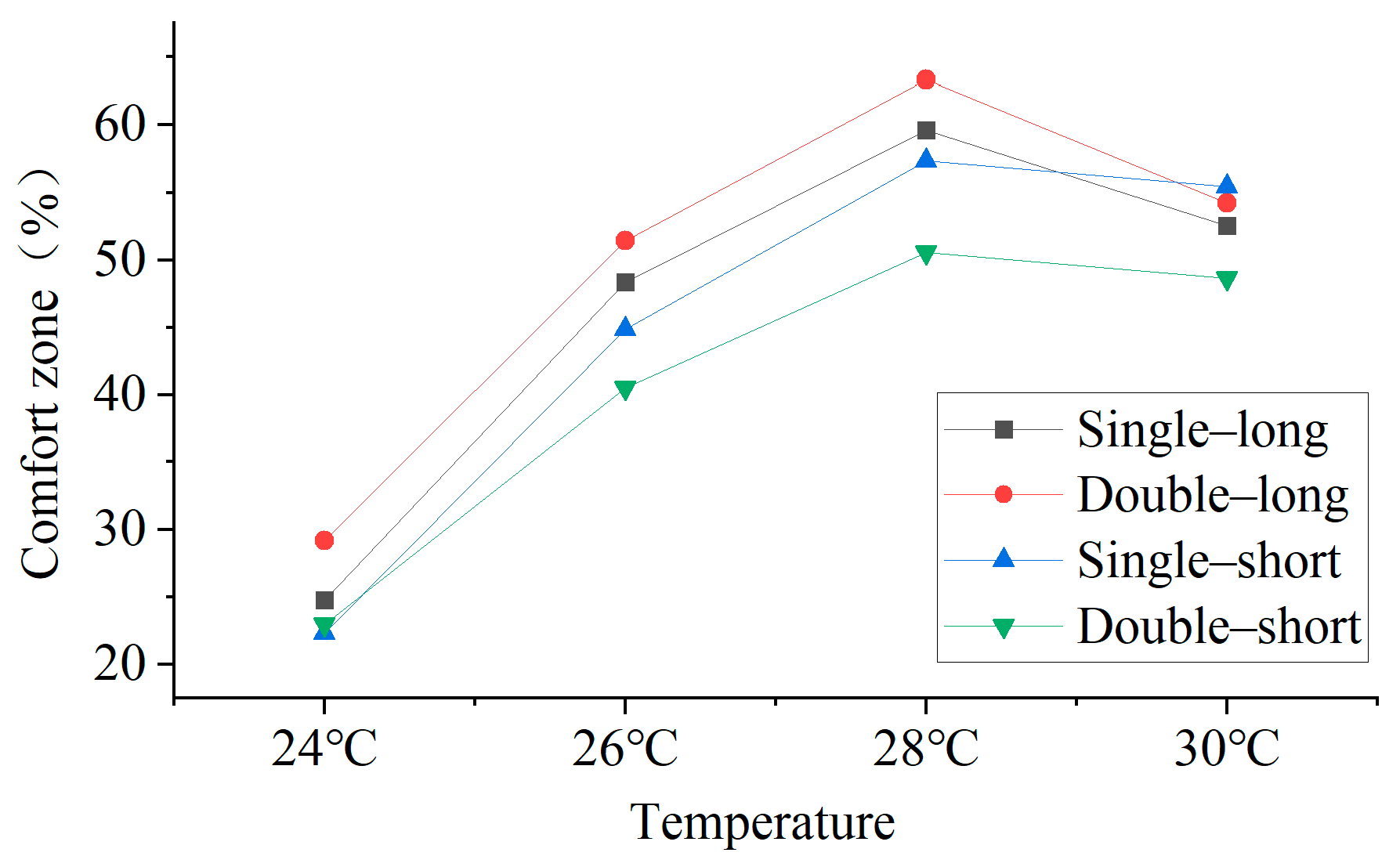
3.3.1. Comparison of PMV–PPD Comfort Zone Percentages
3.3.2. Effect of Supply Air Angle on the Distribution of Indoor Comfort Zones
3.3.3. Effect of Supply Air Velocity on the Distribution of Indoor Comfort Zones
3.3.4. Effect of Supply Air Location on the Distribution of Indoor Comfort Zones
4. Discussion
5. Conclusions
- For yamen-type high and large historic spaces, the key to winter heating lies in achieving a dynamic balance between jet momentum and thermal buoyancy. Compared with structural modifications to air supply outlets, fine-tuning operational parameters—such as supply air velocity and angle—can improve the thermal environment more efficiently under the premise of minimal intervention and is therefore more consistent with heritage conservation requirements. In addition, parametric simulations enable the identification of suitable operational ranges, providing a practical and quantitative basis for the commissioning and optimization of heating systems in heritage buildings subject to conservation constraints;
- Supply air velocity is the dominant parameter for improving indoor thermal comfort. Increasing the air velocity enhances jet momentum and air mixing, thereby reducing heat accumulation near the ceiling, alleviating vertical temperature stratification, and increasing the proportion of the comfort zone. However, excessively high velocities (≥2.5 m/s) tend to induce draft discomfort near the floor, whereas excessively low velocities (<1.5 m/s) provide insufficient momentum, leading to the coexistence of heat stagnation in the upper zone and cold air stagnation near the floor. Overall, a moderate supply air velocity of approximately 2 m/s achieves a balance between temperature uniformity and airflow comfort, representing a more favorable operational range;
- The supply air angle influences circulation stability and heat distribution by regulating the wall-attachment effect and the directional components of jet momentum. A low angle (30°) can reduce vertical temperature gradients; however, the weakened wall-attachment effect may cause the jet to transition to a free jet, leading to local overcooling and draft discomfort near the floor. A high angle (90°) provides a more stable and comfortable environment in the occupied zone but is associated with pronounced heat accumulation near the ceiling. An intermediate angle (75°) represents a compromise, balancing temperature uniformity, airflow sensation, and heat utilization. Accordingly, for yamen-type historic buildings, differentiated supply air angles may be selected based on functional requirements: lower angles for rapid warming of occupied areas (with appropriate velocity control), higher angles (90°) for static comfort and heritage conservation priorities, and intermediate angles (75°) for integrated performance;
- The influence of air supply layout on thermal comfort is relatively limited, whereas the supply air temperature exhibits a clearly identifiable optimum. When the supply air temperature is set to 28 °C, all layout configurations achieve the highest comfort level; however, this value is dependent on spatial geometry, outdoor conditions, and thermal loads. The key role of air supply location lies in establishing a short and stable dominant circulation pathway: single-sided air supply along the long side reduces jet interference and momentum decay, thereby facilitating downward heat transport and mitigating heat accumulation in the upper zone, which is well suited to elongated yamen-type spaces.
Author Contributions
Funding
Institutional Review Board Statement
Informed Consent Statement
Data Availability Statement
Acknowledgments
Conflicts of Interest
Abbreviations
| PMV | Predicted Mean Vote |
| PPD | Predicted Percentage of Dissatisfied |
| CFD | Computational Fluid Dynamics |
| HVAC | Heating, Ventilation and Air Conditioning |
References
- Liu, D.; Xu, Z. Discussion on the Spatial Layout and Value of Yamen Buildings from the Perspective of Traditional Construction: A Case Study of the Yamen in Neixiang County, Henan. Art Educ. 2023, 237, 237–240. [Google Scholar]
- Li, X. General Commander’s Office during the Ming and Qing Dynasties under Hierarchy. Anhui Archit. 2012, 19, 12,38. [Google Scholar] [CrossRef]
- Jiangsu Provincial Database of Immovable Cultural Relics. The Jiangsu Provincial Judicial Commissioner’s Office [DB/OL]. Available online: https://www.jslib.org.cn/trsnjapp/zjzy/bkydsjk.html (accessed on 23 September 2025).
- Bi, X.; Li, C.; Chen, W.; Cao, D.; Ma, Y. Study on Thermal Environment Analysis and Passive Optimization Strategy of Traditional Brick and Wood Dwellings in Mountainous Area of Southern Henan Province. Build. Sci. 2022, 38, 23–30. [Google Scholar]
- Qi, Z.; Xiao, X.; Gao, X. A Comparative Study on Indoor Thermal Environment of Traditional Dwellings in Multi-cultural Interleaving Area: A case study of Ulanqab Area. Build. Energy 2024, 52, 85–93,106. [Google Scholar]
- Zhu, Y.; Liu, L.; Sang, G.; Cui, X. Effect of advanced insulation materials and passive optimization strategies on interior thermal comfort of traditional houses in winter. Građevinar 2024, 76, 633–646. [Google Scholar] [CrossRef]
- Kakouei, M.; Sutrisna, M.; Rasheed, E.; Feng, Z. Enhancing the Energy Performance of Historic Buildings Using Heritage Building Information Modelling: A Case Study. Sustainability 2025, 17, 6655. [Google Scholar] [CrossRef]
- Kang, Y.; Yuk, H.; Jo, H.H.; Kim, S. Indoor thermal environment assessment of a historic building for a thermal and energy retrofit scenario using a CFD model. Case Stud. Therm. Eng. 2024, 63, 105330. [Google Scholar] [CrossRef]
- Yang, X.; Wang, H.; Su, C.; Wang, X.; Wang, Y. Heat transfer between occupied and unoccupied zone in large space building with floor-level side wall air-supply system. Build. Simul. 2020, 13, 1221–1233. [Google Scholar] [CrossRef]
- Cai, N.; Huang, C.; Cao, W. Study on a Simultaneously Solving Model for Stratified Air Conditioning under Low Sidewall Air Supply System in a Large Space Building. J. Refrig. 2011, 32, 42–47. [Google Scholar]
- Cai, N.; Wang, M.; Li, Z.; Zhang, D.; Huang, C. Experimental study on vertical temperature distribution of indoor air in large space buildings under nozzle air supply conditions in summer. J. Nanjing Univ. Sci. Technol. 2019, 43, 600–606. [Google Scholar]
- Xu, Y.; Wang, X.; Shi, C.; Huai, X.; Wang, F. Vertical temperature profiles and cooling load in large spaces ventilated by stratified air-conditioning systems: Scale-model experiment and nodal modeling. J. Therm. Sci. Eng. Appl. 2020, 12, 051008. [Google Scholar] [CrossRef]
- Cheng, Y.; Lin, Z.; Wu, W.; Yao, T. Performance evaluation of stratum ventilation with slot diffusers using CFD. In Proceedings of the Indoor Air 2014, Hong Kong, China, 7–12 July 2014. [Google Scholar]
- Cheng, Y.; Lin, Z.; Yao, T.; Wu, W. Numerical comparison of indoor air quality and local thermal comfort in a classroom with three ventilation methods. In Proceedings of the Indoor Air 2014, Hong Kong, China, 7–12 July 2014. [Google Scholar]
- Lin, Z.; Chow, T.T.; Tsang, C.F.; Fong, K.F.; Chan, L.S. Stratum ventilation for a workshop under elevated indoor temperature. Int. J. Vent. 2010, 9, 47–57. [Google Scholar] [CrossRef]
- Cheng, F.; Li, Y.; Wu, Y.; Cheng, Y.; Lin, Z. Experimental study of air distribution and heating performances of deflection ventilation. Energy Build. 2023, 282, 112800. [Google Scholar] [CrossRef]
- Cheng, F.; Wu, Y.; Gao, S.; Liao, C.; Cheng, Y. Experimental study of thermal comfort in a field environment chamber with stratum ventilation system in winter. Build. Environ. 2022, 207, 108445. [Google Scholar] [CrossRef]
- Karimipanah, T.; Awbi, H.B. Theoretical and experimental investigation of impinging jet ventilation and comparison with wall displacement ventilation. Build. Environ. 2002, 37, 1329–1342. [Google Scholar] [CrossRef]
- Chen, H.; Janbakhsh, S.; Larsson, U.; Moshfegh, B. Numerical investigation of ventilation performance of different air supply devices in an office environment. Build. Environ. 2015, 90, 37–50. [Google Scholar] [CrossRef]
- Tan, D.; Li, B.; Cheng, Y.; Liu, H.; Chen, J. Airflow pattern and performance of wall confluent jets ventilation for heating in a typical office space. Indoor Built Environ. 2020, 29, 67–83. [Google Scholar] [CrossRef]
- Yin, H.; Huo, Y.; Wang, Y.; Ji, D.; Wang, J.; Ma, Z.; Li, A. Numerical investigation on mechanisms and performance of column attachment ventilation for winter heating. Build. Environ. 2021, 202, 108025. [Google Scholar] [CrossRef]
- Xu, L.; Zhang, J.; Liu, Y.; Zeng, S. Study on a Air Supply Heating Mode Using Coupled Airflow in Large Space. Refrig. Air Cond. 2023, 37, 180–186. [Google Scholar]
- Wu, J.; Xu, L.; Shen, J. Research on the cross-contamination in the confined conference room with the radiant floor heating system integrated with the down-supply ventilation. Heliyon 2023, 9, e14389. [Google Scholar] [CrossRef]
- Gao, R.; Zhang, H.; Li, A.; Wen, S.; Du, W.; Deng, B. Research on optimization and design methods for air distribution system based on target values. Build. Simul. 2021, 14, 721–735. [Google Scholar] [CrossRef]
- Dong, Z.; Zhang, L.; Yang, Y.; Li, Q.; Huang, H. Numerical study on coupled operation of stratified air distribution system and natural ventilation under multi-variable factors in large space buildings. Energies 2021, 14, 8130. [Google Scholar] [CrossRef]
- Chen, H.; Wu, Y.; Wang, Y.; Zhang, S.; Lei, X. Simulation on Indoor Thermal Comfort of High and Large Space Buildings Based on Modelica and CFD. Build. Energy 2025, 53, 76–84,110. [Google Scholar]
- Li, Z.; Lu, J.; Li, Y.; Cao, S.; Li, Z. Analysis of Large Space Building Energy Consumption Based on EnergyPlus and CFD Coupling Strategy. Build. Energy 2019, 47, 76–81. [Google Scholar]
- JGJ/T 347–2014; Standard for Test Methods of Building Thermal Environment. Ministry of Housing and Urban-Rural Development of the People’s Republic of China: Beijing, China, 2014.
- ASHRAE. ASHRAE Handbook—Fundamentals; American Society of Heating, Refrigerating and Air-Conditioning Engineers: Atlanta, GA, USA, 2021. [Google Scholar]
- Gilani, S.; Montazeri, H.; Blocken, B. CFD simulation of stratified indoor environment in displacement ventilation: Validation and sensitivity analysis. Build. Environ. 2016, 95, 299–313. [Google Scholar] [CrossRef]
- ANSI/ASHRAE Standard 55-2023; Thermal Environmental Conditions for Human Occupancy. ASHRAE: Atlanta, GA, USA, 2023.
- ISO 7730:2005; Ergonomics of the Thermal Environment: Analytical Determination and Interpretation of Thermal Comfort Using Calculation of the PMV and PPD Indices and Local Thermal Comfort Criteria. ISO: Geneva, Switzerland, 2005.
- Awbi, H.B. Ventilation of Buildings; Routledge: London, UK, 2002. [Google Scholar]
- Wang, X.; Yang, Y.; Xu, Y.; Wang, F.; Zhang, Q.; Huang, C.; Shi, C. Prediction of vertical thermal stratification of large space buildings based on Block-Gebhart model: Case studies of three typical hybrid ventilation scenarios. J. Build. Eng. 2021, 41, 102452. [Google Scholar] [CrossRef]
- Royapoor, M.; Roskilly, T. Building model calibration using energy and environmental data. Energy Build. 2015, 94, 109–120. [Google Scholar] [CrossRef]
- Palaić, D.; Štajduhar, I.; Ljubic, S.; Wolf, I. Development, calibration, and validation of a simulation model for indoor temperature prediction and HVAC system fault detection. Buildings 2023, 13, 1388. [Google Scholar] [CrossRef]
- ASHRAE Guideline 14-2023; Measurement of Energy, Demand, and Water Savings. ASHRAE: Atlanta, GA, USA, 2023.
- Zhang, S.; Lin, Z.; Ai, Z.; Wang, F.; Cheng, Y.; Huang, C. Effects of operation parameters on performances of stratum ventilation for heating mode. Build. Environ. 2019, 148, 55–66. [Google Scholar] [CrossRef]
- Ye, X.; Zhu, H.; Kang, Y.; Zhong, K. Heating energy consumption of impinging jet ventilation and mixing ventilation in large-height spaces: A comparison study. Energy Build. 2016, 130, 697–708. [Google Scholar] [CrossRef]
- Yang, X.; Ye, X.; Zuo, B.; Zhong, K.; Kang, Y. Analysis of the factors influencing the airflow behavior in an impinging jet ventilation room. In Proceedings of the Building Simulation, Bruges, Belgium, 1–3 September 2021; pp. 749–762. [Google Scholar]





















| Building Envelope | North and South Walls | East and West Walls | Glass | Wooden Door | Roof |
|---|---|---|---|---|---|
| Thickness (mm) | 280 | 390 | 40 | 390 | 300 |
| Material composition | Brick wall plastering | single-layer glass | wood blue tiles | wood | concrete bricks |
| U value (W/m2 × K) | 3.13 | 1.58 | 5.7 | 2.82 | 1.02 |
| Boundary | East Wall | West Wall | South Wall | North Wall | South Roof | North Roof |
| Temperature (°C) | 16.81 | 16.83 | 16.86 | 16.63 | 18.54 | 18.21 |
| Boundary | Ground | North Wall Window | South Wall Door | South Wall Window | East Wall Door | West Wall Door |
| Temperature (°C) | 18.99 | 18.78 | 17.35 | 18.71 | 17.15 | 17.07 |
| Boundary | East Wall | West Wall | South Wall | North Wall | South Roof | North Roof |
| Temperature (°C) | 18.32 | 18.28 | 16.83 | 16.58 | 19.71 | 19.46 |
| Boundary | Ground | South Wall Door | South Wall Window1 | South Wall Window2 | North Wall Door | North Wall Window |
| Temperature (°C) | 19.44 | 17.74 | 19.77 | 20.65 | 17.36 | 18.88 |
| Project | Supply Air Velocity (m/s) | Supply Area (mm2) | Length and Width (mm) |
|---|---|---|---|
| V1 | 3.0 | 90,000 | 100 × 900 |
| V2 | 2.5 | 108,000 | 120 × 900 |
| V3 | 1.5 | 180,000 | 200 × 900 |
| V4 | 1.5 | 180,000 | 200 × 900 |
| V5 | 1.0 | 270,000 | 200 × 1350 |
| V6 | 0.5 | 540,000 | 300 × 1800 |
| Height | 0.1 m | 0.6 m | 1.1 m | 1.7 m | 3 m | RMSE | CVRMSE |
|---|---|---|---|---|---|---|---|
| Measured | 20.50 | 22.00 | 24.00 | 24.40 | 25.56 | 0.77 °C | 3.31% |
| Simulated | 20.62 | 23.05 | 23.35 | 23.67 | 24.70 | ||
| Error value | −0.58% | −4.57% | 2.77% | 3.07% | 3.49% |
| Grids | 0.1 m | 0.6 m | 1.1 m | 1.7 m | 3 m | Average Error |
|---|---|---|---|---|---|---|
| 100 K | 5.04% | 10.66% | 4.55% | 4.36% | 2.76% | 5.48% |
| 200 K | 1.30% | 3.38% | 3.99% | 0.79% | 0.88% | 0.2% |
| 400 K | 2.46% | 4.88% | 1.29% | 1.29% | 2.08% | 0.53% |
| Section | 90° [°C] | 75° [°C] | 60° [°C] | 45° [°C] | 30° [°C] |
|---|---|---|---|---|---|
| Center | 4.56 | 3.83 | 5.90 | 4.73 | 3.66 |
| Supply | 1.45 | 4.33 | 4.23 | 2.12 | 3.58 |
| Section | 3 m/s [°C] | 2.5 m/s [°C] | 2 m/s [°C] | 1.5 m/s [°C] | 1 m/s [°C] | 0.5 m/s [°C] |
|---|---|---|---|---|---|---|
| Center | 3.92 | 4.56 | 3.79 | 4.93 | 4.33 | 4.40 |
| Supply | 3.84 | 1.45 | 3.24 | 3.89 | 4.83 | 4.72 |
Disclaimer/Publisher’s Note: The statements, opinions and data contained in all publications are solely those of the individual author(s) and contributor(s) and not of MDPI and/or the editor(s). MDPI and/or the editor(s) disclaim responsibility for any injury to people or property resulting from any ideas, methods, instructions or products referred to in the content. |
© 2025 by the authors. Licensee MDPI, Basel, Switzerland. This article is an open access article distributed under the terms and conditions of the Creative Commons Attribution (CC BY) license.
Share and Cite
Wu, J.; Chen, Y.; Deng, Y. Impact of Winter Air Supply Strategies on Thermal Comfort in Yamen Buildings: A Case Study of the Jiangsu Provincial Judicial Commissioner’s Office. Atmosphere 2026, 17, 38. https://doi.org/10.3390/atmos17010038
Wu J, Chen Y, Deng Y. Impact of Winter Air Supply Strategies on Thermal Comfort in Yamen Buildings: A Case Study of the Jiangsu Provincial Judicial Commissioner’s Office. Atmosphere. 2026; 17(1):38. https://doi.org/10.3390/atmos17010038
Chicago/Turabian StyleWu, Jie, Yiyu Chen, and Yi Deng. 2026. "Impact of Winter Air Supply Strategies on Thermal Comfort in Yamen Buildings: A Case Study of the Jiangsu Provincial Judicial Commissioner’s Office" Atmosphere 17, no. 1: 38. https://doi.org/10.3390/atmos17010038
APA StyleWu, J., Chen, Y., & Deng, Y. (2026). Impact of Winter Air Supply Strategies on Thermal Comfort in Yamen Buildings: A Case Study of the Jiangsu Provincial Judicial Commissioner’s Office. Atmosphere, 17(1), 38. https://doi.org/10.3390/atmos17010038

