Next Article in Journal
Thermal Comfort and Tourism in Mostar (Bosnia and Herzegovina): A Human Bioclimatic Information Sheet for Visitors and Planners
Previous Article in Journal
Cloud Particle Detection in 2D-S Imaging Data via an Adaptive Anchor SSD Model
 
 
Font Type:
Arial Georgia Verdana
Font Size:
Aa Aa Aa
Line Spacing:
Column Width:
Background:
Article

Analysis of Carbon Emission Drivers and Climate Mitigation Pathways in the Energy Industry: Evidence from Shanxi, China

1
Yi Sheng Innovation Education Center, North China University of Science and Technology, Tangshan 063210, China
2
School of Economics and Management, North China University of Science and Technology, Tangshan 063210, China
3
College of Science, North China University of Science and Technology, Tangshan 063210, China
*
Author to whom correspondence should be addressed.
Atmosphere 2025, 16(8), 986; https://doi.org/10.3390/atmos16080986
Submission received: 26 June 2025 / Revised: 6 August 2025 / Accepted: 12 August 2025 / Published: 19 August 2025
(This article belongs to the Section Climatology)

Abstract

In the context of global warming and China’s “dual carbon” goals, Shanxi, as China’s main coal-producing region (accounting for 28.4% of the country’s coal production), is facing the dual challenges of carbon emission reduction and economic development. Based on the data from 1990 to 2019, this study quantitatively analysed the carbon emission driving mechanisms of seven major energy sources in Shanxi, including coal, coke, and gasoline, through the coupling analysis of the Kaya identity and the LMDI model, and explored the climate change mitigation pathways. The results show that the total carbon emissions of Shanxi’s energy sector increased significantly from 1990 to 2019, with coal being the most important emission source. Through the decomposition of the LMDI model, it is found that the effect of economic activity is the core driving force of carbon emission growth, and the improvement of energy intensity is the key inhibitor. It is worth noting that the demographic effect turned negative after 2010, which had a dampening effect on the growth of carbon emissions. In addition, the adjustment of energy structure shows the characteristics of stages: the structural effect of coal has turned from negative to positive after 2010, while the proportion of clean energy, such as natural gas, has increased, indicating that the optimisation of energy structure has achieved initial results. Based on the above findings, the study proposes three major paths for climate mitigation in Shanxi’s energy industry: (1) promote low-carbon upgrading of the industry and reduce the economy’s dependence on high-carbon energy; (2) Strengthen energy efficiency and continuously reduce energy consumption per unit of GDP through technological innovation; (3) accelerate the transformation of the energy structure and expand the proportion of clean energy such as natural gas and renewable energy. This paper innovatively provides an empirical reference for the model-based, coupling-based carbon emissions-driven analysis and climate mitigation strategy design in resource-based areas.

1. Introduction

Against the backdrop of global climate change, the continued escalation of carbon emissions has become one of the core challenges facing human society. In the context of the Paris Agreement, which calls for limiting global temperature rise to 1.5 °C, the world needs to achieve net zero emissions by 2050 [1]. As the world’s second-largest economy, China has pledged to reach peak carbon by 2030 and carbon neutrality by 2060, injecting a strong dose of hope for global climate governance [2,3]. However, according to the International Energy Agency (IEA) for 2024, global carbon dioxide emissions have reached 37.8 billion t with fossil energy combustion contributing more than 75 per cent of the emission share [4]. Against this backdrop, the low-carbon transformation of energy provinces has become the key to China’s fulfilment of its dual-carbon commitment, especially in coal-dependent resource-based regions, where the contradiction between emissions reduction and development is particularly prominent [5,6]. Shanxi, as the largest supplier of China’s coal industry, has long ranked first in the country in terms of coal production [7]. The average share of coal production during the five-year period from 2020 to 2024 is 28.4 per cent of total national production [8,9]. The coal-dominated energy mix has driven high-intensity carbon emissions for a long time, while the gradual depletion of coal resources and the intensification of environmental pressures have led to structural dilemmas. How to achieve a low-carbon transition while sustaining economic growth? How do changes in the energy mix drive the trajectory of carbon emissions in Shanxi? These questions not only concern the sustainable development of Shanxi but also provide key perspectives on the low-carbon transition of global resource-based regions.
Research in the field of energy transition and carbon emissions has provided a solid theoretical and empirical foundation for regional low-carbon development. At the macro level, the Kaya equation, the LMDI decomposition model, and the STIRPAT model have been widely used to analyse the drivers of carbon emissions and reveal the interactive effects of economic growth, energy intensity, and energy structure. In view of the complexity and non-linear characteristics of these drivers. At the regional level, scholars have explored the path dependence mechanism of resource-dependent regions, pointing out that coal dependence significantly increases the cost and difficulty of the low-carbon transition through technological and institutional lock-in. They also show that energy efficiency improvements, deployment of wind and renewable energy, and ‘coal-to-gas’ strategies can effectively reduce regional emissions intensity. These studies highlight the unique challenges of energy transitions in resource-dependent regions and provide a basis for a deeper exploration of regional cases.
In the study of carbon emissions in Shanxi Province, the accounting study based on the IPCC Carbon Emission Factor Method quantifies the contribution of emissions from major energy sources, such as coal and coke, and emphasises the emission reduction potential of industrial structure optimisation and energy efficiency improvement [10,11]. Scholars also analysed the potential for large-scale application of renewable energy in Shanxi, pointing out that synergies between local financial subsidies and technological innovation are crucial to accelerating the transition [12,13]. Recent studies have combined scenario analyses to project long-term carbon emission pathways in Sichuan and Chongqing, emphasising that the active use of clean energy is the key to carbon reduction and emission mitigation [14]. There are also studies focusing on the supply chain emissions of China’s coal industry, revealing the characteristics of the carbon footprint of the whole chain from mining to end-consumption [15]. There are also studies that explore community adaptation in the US energy transition from a sociological perspective, analysing the impact of the decline of the coal industry on resource-dependent regions and the acceptance of clean energy policies by community residents [16,17]. These studies consistently show that the optimisation of the energy mix is a central driver of the low-carbon transition. However, existing analyses have mostly focused on a single energy type or short-term trends, with less systematic examination of multi-energy synergies, long-term evolutionary patterns, and their combined impact on regional emission trajectories.
At the same time, there are still significant gaps in the theoretical depth and regional applicability of existing studies. First, most of the analyses are conducted from a national or cross-regional perspective, ignoring the resource endowment and policy environment of coal-dependent regions such as Shanxi and failing to reflect the diversification of its energy structure from ‘coal-dominated’ to ‘diversified’. Second, most studies focus on the static accounting of a single energy source and lack a systematic framework to quantify the long-term driving mechanism of carbon emissions from multiple energy sources. Third, the existing literature seldom considers the economic and social constraints of the transition, such as the pressure of employment, the cost of clean energy substitution, and the difficulty of policy implementation, which limits the theoretical depth of the research and the value of practical guidance. These gaps not only limit the depth of academic insights but also weaken the significance of the research in guiding low-carbon practices in Shanxi, especially in the complex context of balancing economic growth and emission reduction targets, where more precise and regionalised analytical tools and empirical evidence are urgently needed.
To address the above gaps, this study takes the energy industry in Shanxi Province as an entry point, aiming to reveal the long-term driving mechanism of multi-energy synergies on carbon emissions and to provide a scientific basis for the design of low-carbon transition paths, and to systematically examine the stage-by-stage characteristics of the energy restructuring and the feedback effects of the policies through the integration of the regionalised decomposition analysis and emission accounting. The contributions of this study include the following:
(1)
Focusing on the unique context of Shanxi’s energy industry, systematically identifying the synergistic effects of economic, technological, policy, and other multi-drivers on carbon emissions, and providing targeted guidance for the region’s low-carbon transition. Focusing on the energy industry in Shanxi, identify the emission drivers of multi-energy synergies, and propose targeted strategies for regional low-carbon transition.
(2)
Constructing a dynamic analysis framework for regionalisation, capturing the dynamic inflection points and non-linear effects of the energy structure from coal dominance to diversification, and filling the theoretical gaps in the analysis of multi-energy interactions.
(3)
The long-term driving mechanisms of multi-energy interactions are analysed, precise emission reduction strategies are proposed to optimise the coal consumption structure and accelerate clean energy substitution, enhance the applicability of the transition scenarios in complex economic and social environments, and provide methodological references for low-carbon practices in other coal-dependent regions around the globe (e.g., Queensland, Australia, Silesia, Poland).
In the urgent context of global climate governance, Shanxi’s transition is not only a regional challenge but also a key piece of the global low-carbon jigsaw. This paper aims to provide scientific guidance for policy makers to promote the historic leap of Shanxi’s energy structure from ‘coal dominance’ to diversification and cleanliness.

2. Methodology and Data

Shanxi is a province with a strong resource endowment, and its coal resource share is in the first place in China, with a coal-bearing area of 6.2 × 10 4   km 2 , 39.5% of the provincial territory [18]. At the same time, energy sources such as coke, petrol, and kerosene are also abundant. Based on this background, the analysis of the energy structure of Shanxi Province and the proposal of a comprehensive research method are aimed at comprehensively demonstrating the key elements of the energy transition in Shanxi Province.

2.1. Variable Selection

In order to comprehensively and scientifically reflect the characteristics of the energy structure and the current status of carbon emissions in Shanxi Province, and at the same time, be closely related to the economic development, industrialisation, urbanisation, and living standards of the residents of Shanxi Province. This study has selected the consumption of seven major energy sources in Shanxi Province, namely coal, coke, gasoline, kerosene, diesel oil, fuels, and natural gas, in the last 27 years, which covers the main types of energy consumption in Shanxi Province, with the characteristics of strong data accessibility and scientific accounting, and can provide sufficient samples for long-term trend analysis. At the same time, they can reflect the policy orientation of energy transformation and the correlation between economic and social development, providing strong support for the formulation of reasonable energy policies and emission reduction measures.

2.2. Data Sources

Considering that the use of the LMDI model must be based on the coherence of time series data, and the factor decomposition should reflect the decomposition of carbon emission factors as much as possible, that is, causal identification, since 2019 is the boundary year of the epidemic and the “dual carbon” policy, this paper obtains the data from 1990, 1991, and 1995 to 2019 (1992–1994 due to lack of data, 1990 and 1995) through the Shanxi Provincial Statistical Yearbook. There is no sharp increase or decrease in the degree of annual change in Shanxi Province’s population and regional GDP, and the consumption data of seven major energy sources are collected through the CMSAR database, and based on the development goals such as the “Shanxi Provincial Party Committee Formulates the 2035 Vision and Goals”, the carbon neutrality policy objectives and the actual situation of energy emissions in Shanxi Province are comprehensively analysed to ensure the appropriateness and feasibility of the energy transition pathway. The specific data are shown in Table 1.

2.3. Technological Route

The technical route of this paper follows the principles of scientific, systematic, and practicality, aiming at comprehensively analysing the trend of carbon emission evolution in the energy industry of Shanxi Province and exploring its sustainable transformation path. Figure 1 is our roadmap of technology, and the specific research path involves the following:
First, data on the consumption of seven major energy sources in Shanxi Province, including coal, coke, gasoline, kerosene, diesel, fuel oil, and natural gas, are systematically collected for the period from 1990 to 2019. On this basis, the carbon emissions of each energy source are accurately accounted for based on the emission factor method recommended by the Intergovernmental Panel on Climate Change (IPCC), combined with the carbon emission factors of each energy source. This process strictly follows international standards to ensure the scientific validity and reliability of the carbon emission accounting and provides a solid data basis for subsequent model construction and analysis.
Secondly, an analytical model suitable for the characteristics of the energy industry in Shanxi Province is constructed by taking into account the energy use intensity, population size, and gross regional product of Shanxi Province. On this basis, based on Kaya’s constant equation, the LMDI (Logarithmic Mean Divisia Index) model is further constructed, which is a Logarithmic Mean Divisia Index (LMDI) method to decompose the regional carbon emissions using the carbon emission factor model, and the model integrates the economic output, the industry structure, the energy efficiency, the composition of the energy use, and the carbon emission factor’s Influence [19]. The Kaya Identity is a widely used framework for analysing carbon emissions, which can break down carbon emissions into key factors such as economic activity, energy intensity, energy structure, and population size. This method helps us to gain a deep understanding of the driving mechanisms of carbon emissions and provides a scientific basis for policy-making. The LMDI (Logarithmic Mean Divisia Index) model is a decomposition method based on the logarithmic mean Divisia index, which can quantify the contributions of different factors to carbon emissions. By using this method, we can more accurately analyse the changes in carbon emissions from the energy industry in Shanxi Province and identify the main driving factors.
It is possible to decompose the carbon emissions of Shanxi Province into several key factors, such as economic activity effect, population effect, energy intensity effect, energy structure effect, etc., and to analyse the impact of the seven energy sources on the carbon emissions of Shanxi Province separately. This process not only reveals the degree of contribution of each factor to carbon emissions but also provides a theoretical basis for a deeper understanding of the driving mechanism of carbon emissions in Shanxi Province.
Finally, the model results are systematically analysed, and the evolutionary trends and key influencing factors of carbon emissions from energy industries in Shanxi Province are analysed in depth, taking into account the policy objectives and development plans of Shanxi Province. On this basis, a targeted and feasible low-carbon energy transition path is proposed, aiming to provide scientific decision-making support for Shanxi Province to achieve sustainable development and to ensure that the study can provide practical suggestions for energy transition and carbon emission reduction practices in Shanxi Province.
The steps of the study are divided into four main areas: (1) Collecting the consumption of seven major energy sources in Shanxi Province, namely coal, coke, petrol, kerosene, diesel, fuel, and natural gas, for the past 27 years, and accounting for specific carbon emissions. (2) Considering the energy use intensity, population size, and gross regional product of Shanxi Province, construct a suitable model. (3) On the basis of Kaya’s constant equation, the LMDI model was constructed to separately model the impact of seven energy sources on carbon emissions in Shanxi Province. (4) Analyse the final results of the model to find a suitable energy transition path for Shanxi Province.

3. Carbon Emission Accounting and Modelling

3.1. Current Carbon Accounting

Accurate accounting of carbon emissions from the seven types of energy consumption is crucial to the formulation of scientific and reasonable emission reduction strategies. Based on this, the research chose the emission factor method established by the Intergovernmental Panel on Climate Change (IPCC). The accounting formula is as follows:
E i = j A i j × E F j
Among them, the symbols indicate the meaning of the Table 2:
Through the above formula, detailed and comprehensive emission accounting for energy consumption covering seven key industries is required: coal, coke, gasoline, kerosene, diesel, fuel, and natural gas, and the research also needs to collect data on energy emissions. We collected and cleaned data on energy consumption through the Statistical Yearbook of Shanxi Province and the CMSAR database, and we obtained the consumption of the seven energy sources. Next, the study used the emission factor method to calculate the carbon emissions, which strictly follows the scientific method provided by the IPCC, and the carbon emission factors provided by the IPCC are in the Table 3 (Unit: t CO 2 t).
By collecting energy consumption data from each industry and combining it with the corresponding emission factors, which are obtained based on the {IPCC Guidelines for National Greenhouse Gas Inventories (2006)} [20], the total carbon emissions of the seven energy sources can be accurately calculated in a specific time period. In order to view the overall situation, identify outliers, and show the differences between multiple variables, this study has created a heatmap of the carbon emissions results for the seven energy sources.
It can be observed from Figure 2 that, apart from fuel oil, the carbon emissions of energy sources such as coal and coke in Shanxi Province are increasing year by year. Meanwhile, the proportion of clean energy, like natural gas, is continuously rising. This indicates that although Shanxi Province is aware of the need to reduce emissions, for example, by increasing the use of clean energy like natural gas compared to the main energy sources in use, it is evident that the overall energy-related carbon emissions in Shanxi Province are still on the rise. The calculation of carbon emissions provides solid data support for the establishment of subsequent models. Through data processing and calculation, the carbon emissions of the seven energy industries have been estimated relatively accurately. Below, the characteristics and development trends of the carbon emissions in these seven industries will be analysed separately.

3.1.1. Coal Industry and Coke Industry Emissions

The results of carbon emission accounting show that the carbon emissions from the coal industry in Shanxi Province have shown a clear upward trend since 1990, with an accelerated growth rate after 2000. By 2019, the emissions had approached 100,000 ten-thousand tons. The high dependence on the coal industry, coupled with the neglect of regional industrial structure adjustment and optimisation, has led to the underdevelopment of other industrial sectors and the tertiary sector in Shanxi Province [19]. Meanwhile, the carbon emissions from the coke industry in Shanxi Province have shown significant stage-specific characteristics and dynamic transformation features. From 1990 to 1999, the province was in a period of stable resource use, with carbon emissions remaining relatively stable between 2000 and 4000 ten-thousand tons. During this period, the scale and technological level of coke production were relatively stable. However, from 2000 to 2005, following China’s accession to the World Trade Organisation (WTO) and the subsequent expansion of industrial production capacity, as well as the increased demand for energy due to industrialisation, the carbon emissions from the coke industry in Shanxi Province increased rapidly. Subsequently, from 2006 to 2019, the province entered a period of high-level fluctuation, with significant volatility in carbon emissions. The specific data changes are shown in Figure 3.

3.1.2. Gasoline Industry and Kerosene Industry Emissions

The evolution of gasoline carbon dioxide emissions in Shanxi Province, shown in the Figure 4, exhibits a three-stage characteristic of “slow increase—steep rise—high-level fluctuation”. During the low-speed growth period (1990–2005), the average annual growth rate was less than 3%. This stage is consistent with the early industrialisation process in Shanxi Province, where gasoline consumption was mainly concentrated in the industrial machinery sector, and the growth rate of passenger car ownership was relatively flat. In 2005, the total number of civilian vehicles in the province was only 890,000. Subsequently [20], the province entered the accelerated peak-reaching period (2005–2015), during which emissions broke through 6 million tons and quickly increased to the peak of 8 million tons in 2015, with an average annual growth rate of 4.8%. From 2015 to 2019, the province entered the plateau fluctuation period, with emissions fluctuating at a high level between 7.8 million tons and 8 million tons. Meanwhile, the emissions from the kerosene industry have shown a continuous upward trend, which is closely related to the accelerated industrialisation and urbanisation process in Shanxi Province. Although there was a certain decline in the growth rate of emissions after 2010, it later resumed a continuous upward trend and reached a significant peak in 2019.

3.1.3. Diesel Oil Industry and Fuel Oil Industry Emissions

The evolution of carbon dioxide emissions from diesel energy in Shanxi Province shows a distinct “three-stage leap” characteristic. From 1990 to 2000, it was in a slow-growth period driven by industrialisation. From 2001 to 2008, it entered a period of rapid growth fuelled by globalisation dividends. Emissions surged from 5 million tons to a peak of 14.5 million tons in 2008, significantly higher than the national level during the same period. This led to a positive feedback loop of “diesel consumption—coal transportation”. However, during the high-level fluctuation period under policy intervention (2009–2019), emissions fluctuated between 14 million and 17 million tons.
Compared with coal and coke energy, although the emissions from diesel energy are relatively lower, the growth rate has remained high. This phenomenon indicates that the industry has a rigid path dependence, and emission reduction faces challenges. Meanwhile, the fuel oil industry was in an industrial expansion fluctuation period (1990–2007), with emissions fluctuating between 300,000 and 500,000 tons. It then entered a policy-driven turning-point period (2008–2010), with a reduction of 60%. Finally, it entered a clean-substitution zero-out period (2011–2019), during which emissions plummeted from 200,000 tons, with an average annual reduction of more than 25%. From the perspective of structural characteristics and emission–reduction logic, the zeroing out of fuel oil consumption indicates that it has exited the main energy sequence in Shanxi Province. This “cliff-like transformation” reflects the strong substitutability of fuel oil in the local industrial chain and the low policy cost. The specific data changes are shown in Figure 5.

3.1.4. Natural Gas Industry Emissions

The evolution of emissions from the natural gas industry in Shanxi Province reflects the unique positioning of natural gas as a “transition energy” in the energy structure transformation. During the zero-carbon stagnation period (1990–2005), emissions remained close to zero for a long time. In 2005, the proportion of coal consumption was as high as 89%, while natural gas accounted for only 0.3% of final energy consumption. Subsequently, during the policy-driven initiation period (2005–2010), emissions climbed from nearly zero to about 6 million tons in 2010, with an average annual growth rate of 42%. After that, during the period of rapid expansion from 2010 to 2019, emissions surged from 6 million tons to a peak of nearly 20 million tons in 2019. The specific data changes are shown in Figure 6.

3.2. KAYA-LMDI Model Construction and Analysis

3.2.1. Modelling

The LMDI model is widely used in the analysis of factors affecting carbon emissions. This study uses the LMDI model to analyse the overall carbon emissions in Shanxi Province, decomposed into the contribution of each key reading to the overall change, and on this basis, to provide decision-making support for the path of carbon emission reduction in Shanxi Province, which is a large energy province.
KAYA constant equation in the study of carbon emissions, proposed by Japanese scholar Yoichi Kaya, this equation is mainly used to link C O 2 emissions to economic, policy, population and other factors, for the study of carbon emissions, Kaya constant equation provides a framework through which carbon emissions can be decomposed into the product of several key factors [21]. Based on this, carbon emissions in Shanxi Province can be decomposed into the following:
C O 2 = C O 2 E × E G D P × G D P P O P × P O P
When exploring the decomposition of carbon emission drivers to examine the contribution of each factor to carbon emissions, the logarithm of both sides of the above denomination can be taken and analysed:
ln ( C O 2 ) = ln ( C O 2 E ) + ln ( E G D P ) + ln ( G D P P O P ) + ln ( P O P )
Included among these, CO 2 is carbon dioxide emissions, E is primary energy consumption, GDP is Gross Domestic Product, POP is the Number of people in the province. On the basis of the KAYA constant equation, the LMDI model is based on the exponential analysis method (IDA), which analyses the influencing factors of carbon emissions, and according to the extension of the KAYA constant equation mentioned above, the calculation formula of energy consumption can be obtained:
E = E S i j × E I i × I S i × E D × P S
Through the KAYA constant equation and LMDI model, the influencing factors of carbon emissions from the energy industry in Shanxi Province were decomposed into the following five factors:
(1)
Energy mix effect ( ES ) : Indicates the share of energy type j in sector i in the total sectoral consumption of cold sources.
E S i j = E i j E i
(2)
Energy consumption intensity effects ( EI ) : Expresses energy consumption per unit of gross output value of industry category i.
E I i = E i Y i
(3)
Industrial structure effect ( IS ) : Indicates the share of total output value of industry type i in the total output value of the energy industry.
I S i = Y i Y
(4)
Industrial scale effect ( ED ) : Indicates total energy sector output per unit of population.
E D = Y P
(5)
population size effect ( PS ) : Indicates the total population of the area in Shanxi Province.
P S = P
Converting the above formulae, the final formula for the contribution values of the different decomposition factors is as follows:
(1)
Structural effects of energy consumption:
Δ E E s = i j ( E i j T E i j 0 ) ( ln E i j T ln E i j 0 ) ln E s i T E s i 0
(2)
population structure effect:
Δ E P S = i j ( E ij T E ij 0 ) ( ln E ij T ln E ij 0 ) ln P S T P S 0
(3)
Energy consumption intensity effects:
Δ E E I = i j ( E i j T E i j 0 ) ( ln E i j T ln E i j 0 ) ln E I i T E I i 0
(4)
Industrial structure scale effect:
Δ E I S = i j ( E ij T E ij 0 ) ( ln E ij T ln E ij 0 ) ln I S i T I S i 0
When the contribution value of the influencing factor is greater than zero, it means that the change in the influencing factor in the time period leads to an increase in energy consumption and contributes to the increase in energy consumption, and similarly, when the contribution value of the factor is less than zero, it means that the factor acts as a disincentive.

3.2.2. Model Results

After processing the data and applying the model, the research divided the data into three phases, 1990–2000, 2000–2010, and 2010–2019, and they obtained the following results about the contribution value of carbon emissions, as shown in Table 4:
After synthesising the three phases, the average change in contribution value between 1990 and 2019 can be derived, as shown in the Figure 7.
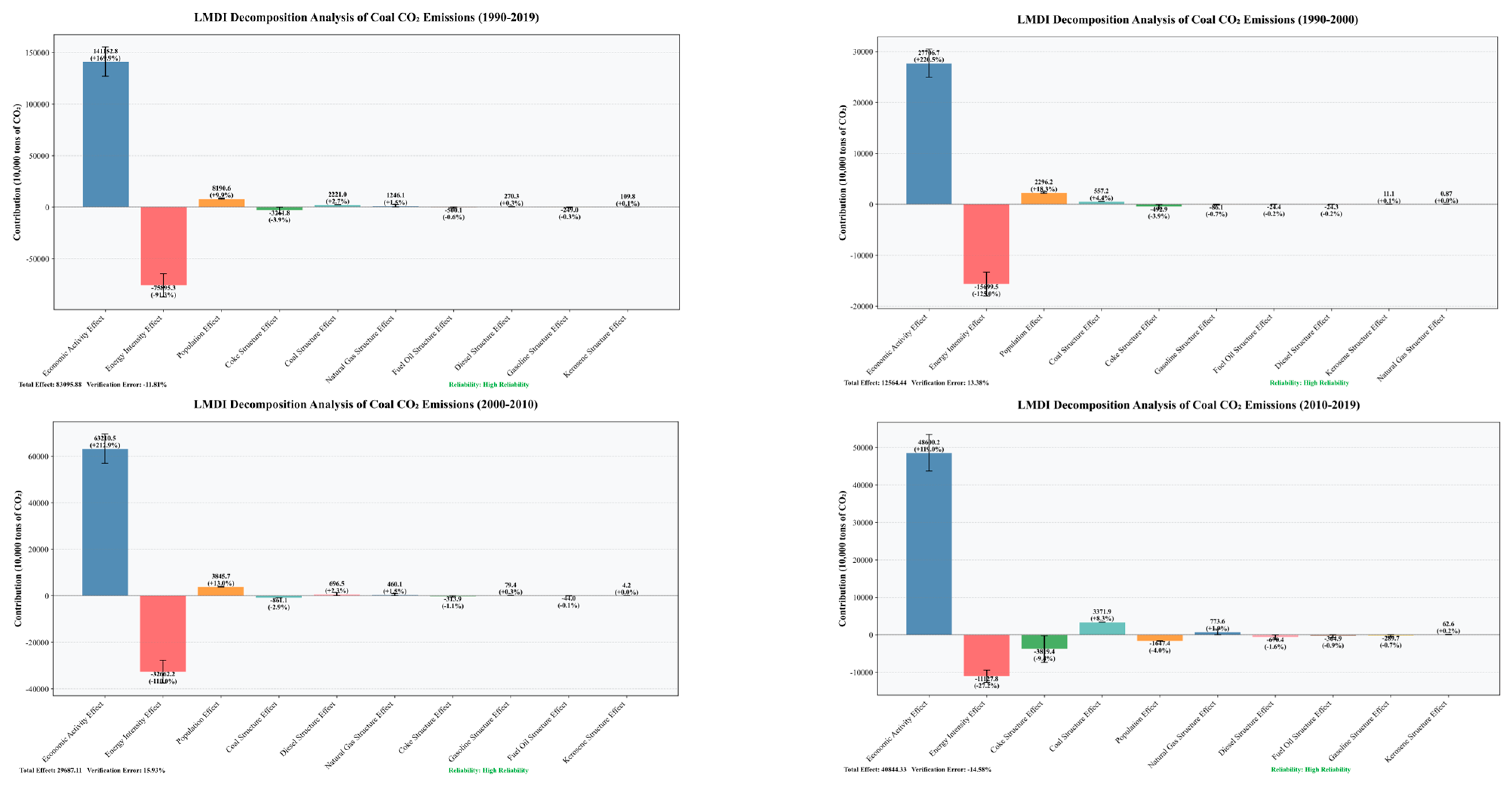
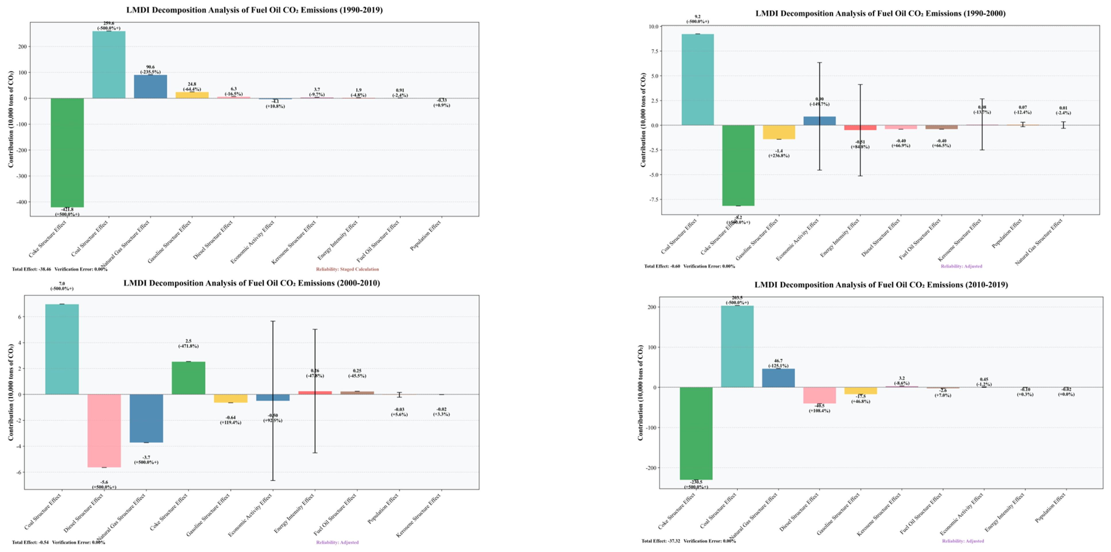
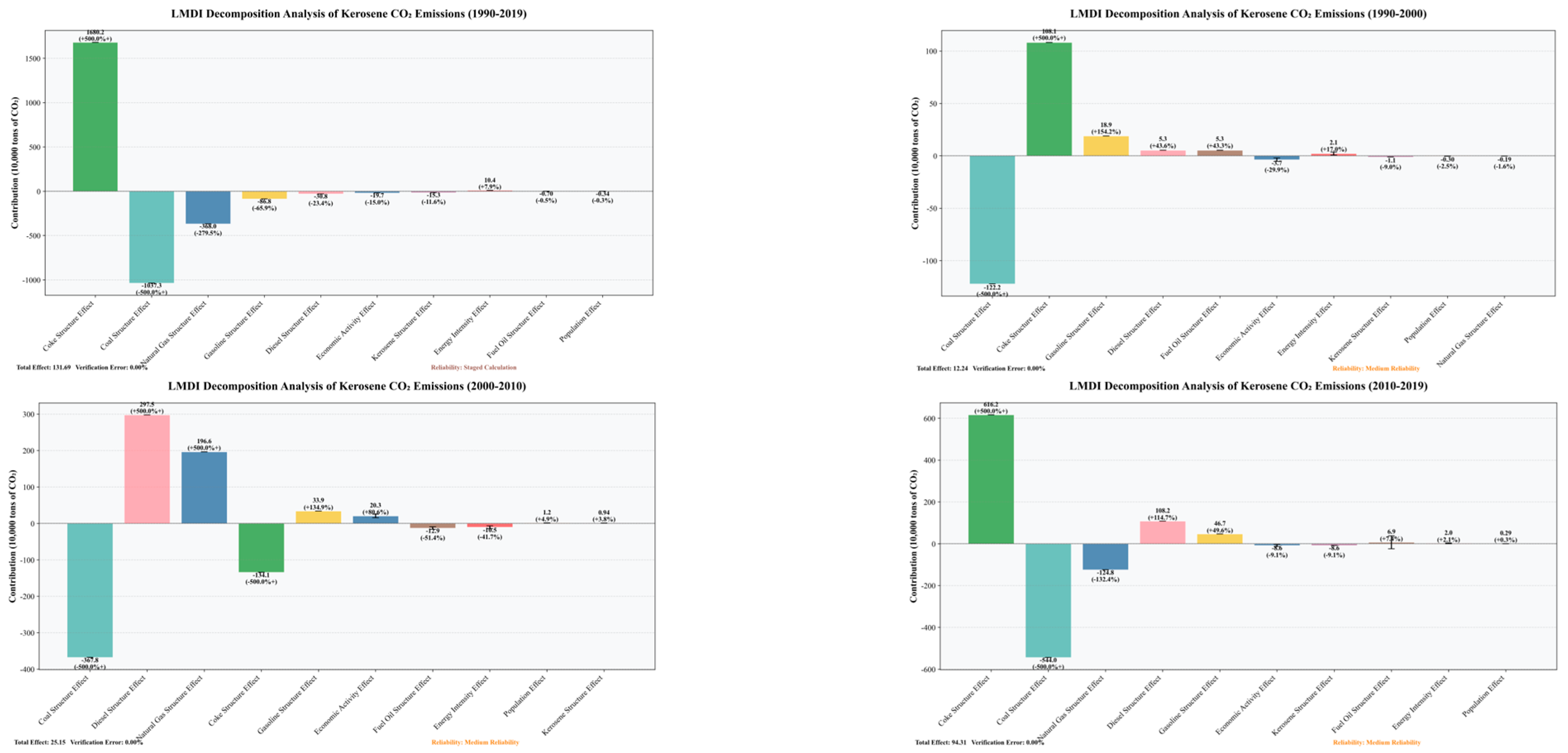
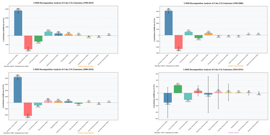
The results of the data analysed by the LMDI model show that the economic activity effect is the largest positive driver, with an increase of 161,584,849,000 t, indicating that economic growth is the main reason for the increase in carbon emissions; the population effect also contributes to the increase in carbon emissions, with an increase of 93,762,000 t, in addition to the energy intensity effect, which is the largest negative factor, with a decrease of 86,881.3 ten-thousand tons. This indicates that the improvement of energy efficiency plays a significant role in slowing down the growth of carbon emissions. As for the energy structure effect, the coal structure effect increased by 22.21 million t, the coke structure effect decreased by 32.618 million t, the gasoline structure effect decreased by 2.49 million t, the kerosene structure effect increased by 1.229 million t, the diesel structure effect increased by 2.703 million t, the fuel oil structure effect decreased by 5.597 million t, and the natural gas structure effect increased by 12.461 million t.

4. Analysis of Results

4.1. Stage Analysis

4.1.1. First-Stage Analysis (7-Year Emissions)

The contribution of carbon emissions during this phase is shown in Figure 8. The total carbon emissions increased by 127,267,700 t in this period, of which the main feature is the increase in emissions brought about by economic growth of up to 325,108,000 t, which is the main factor for the increase in carbon emissions. Shanxi Province has been a city that relies on energy for its development for more than a decade after 1990, and, at the same time, delivers a large amount of energy resources to other provinces and even abroad. Over the past 40 years of reform and opening up, Shanxi is the largest producer and supplier of coal in the country, with coal output accounting for more than a quarter of the national total for a long time, and more than 70% of which is delivered to foreign provinces, and it is also the largest producer and supplier of coke in the country, so economic growth is usually accompanied by an increase in energy consumption, especially in areas where industrialisation and urbanisation are developing rapidly, and, secondly, the reduction of energy intensity in Shanxi province has had a certain mitigating effect on carbon emissions, which suggests that during the this period, although economic growth brought about an increase in carbon emissions, the improvement of energy use efficiency offset part of the emission growth to a certain extent. At the same time, population growth was also a factor in the increase in carbon emissions. At the same time, the population effect also had a pull effect on carbon emissions. With the increase in population, the demand for energy has increased, especially in terms of residential life and the construction of urban infrastructure. Before 2000, the population-pull contribution was 26.929 million t. In addition to this, in the comparison of the seven energy sources, Shanxi Province, as an important energy base in China, is rich in coal and coke, and its economic growth often relies on the development of the coal industry, which has led to a significant increase in carbon emissions. It is significantly higher than the emission reduction effect brought about by the improvement of energy intensity.

4.1.2. Second-Stage Analysis (10-Year Emissions)

The contribution of carbon emissions during this phase is shown in Figure 9. Carbon emissions increased by 402,668,000 tonnes in this stage, which is the fastest-growing stage. (And the economic activity effect is the main factor for the increase in carbon emissions, reaching a contribution value of 73,979.8 million tonnes; meanwhile, population growth is also a factor for the increase in carbon emissions, with a contribution value of 45.009 million tonnes from the population effect). It is worth affirming that Shanxi Province has been aware of the problems of gradual resource depletion and environmental deterioration, and it has carried out direct emission reduction measures such as shutting down the coal fields and improving the energy utilisation rate, which makes the energy intensity effect rise and has a significant reduction effect on carbon emissions. Therefore, the coal structure effect turns from positive to a contribution value of −8.611 million tonnes, indicating that Shanxi Province has made great adjustments in improving the clean use efficiency of coal and reducing the use of high carbon emission coal, which has a certain emission reduction effect on carbon emissions, and lastly, the other energy structure effects, including the coke structure effect (−3.139 million tonnes), the gasoline structure effect (794,000 t), the diesel structure effect (49,000 t), fuel oil structure effect (6,965,000 t), natural gas structure effect (4,601,000 t), etc., which have a relatively small impact on carbon emissions and also affect the change in the total emissions to a certain extent. In summary, between 2000 and 2010, the carbon emissions in Shanxi Province were mainly driven by economic growth and population growth, but the reduction of energy intensity and the adjustment of energy structure mitigated the growth of emissions to a certain extent.

4.1.3. Third-Stage Analysis (10-Year Emissions)

The contribution of carbon emissions during this phase is shown in Figure 10. Carbon emissions increased by 356,811,700 t in this period, which is the fastest-growing period, and the increase in economic activities is still the main factor for the increase in carbon emissions. The energy intensity effect shows that Shanxi Province has achieved some success in improving energy use efficiency, but due to changes in the social environment as well as the economy, the impact of population growth on carbon emissions is relatively small and shows a negative effect in this period, probably because the rate of population growth has not kept up with the rate of growth in energy demand or energy-saving measures have been better implemented in the lives of the residents. Secondly, coal structure adjustment has a certain increasing effect on carbon emissions; meanwhile, the adjustment of coke structure has an obvious reducing effect on carbon emissions.
Between 2010 and 2019, the economic activity effect (557,374,000 t) is the main driver of the emission increase, the energy intensity effect (−127,620,000 t) plays a significant inhibiting role, and the diesel structure effect (0.701 million t) and the natural gas structure effect (7,736,000 t) in this period have a large positive contribution to carbon emissions.

4.2. Energy Classification Analysis

Analysing the seven energy sources as a whole, it can be seen that from 1990 to 2019, as shown in Figure 11. Carbon emissions in Shanxi Province increased significantly, with coal being the main source of carbon emissions, whose emissions grew from a relatively low level in 1990 to 976.88 million t in 2019, and despite fluctuations after reaching a peak of 80.35 million t in 2003, the overall trend has been upward, followed by gasoline and diesel emissions have also increased, reaching 15.5 million t and 72.35 million t of CO2 in 2019, respectively, reflecting the growth of the transport sector, while kerosene and fuel oil emissions are relatively low but also reach 16.44 million t and 15.3 million t in 2019, respectively, probably related to air transport and industrial production, where natural gas, as a cleaner, and more expensive, energy source, has relatively low emissions. An expensive energy source, its emissions are relatively low, at 20 million t in 2019, but their increase may indicate that the energy structure is being optimised, which shows the diversification of the energy structure in Shanxi Province and the need to strengthen coal-cleaning use technologies and promote the optimisation of the energy structure.

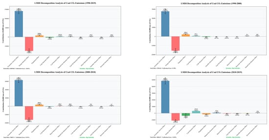
4.2.1. Coal Industry

As can be seen from Figure 12. Coal is the largest source of carbon emissions in Shanxi province, with an increase of 830,958,800 t in the period 1990–2019, in which economic activities are the main reason for the increase in coal carbon emissions, while the improvement of energy intensity has a significant inhibitory effect on coal carbon emissions, and in the period 2010–2019, the structural effect of coal has turned from negative to positive, indicating that the proportion of coal in the energy structure has begun to increase. Regional carbon Emission reduction capacity is an important indicator of a region’s low-carbon economic development, which is affected by multiple factors in the region [22]. Although Shanxi Province is promoting energy transformation, it still relies on coal for basic industrial activities.

4.2.2. Coke Industry

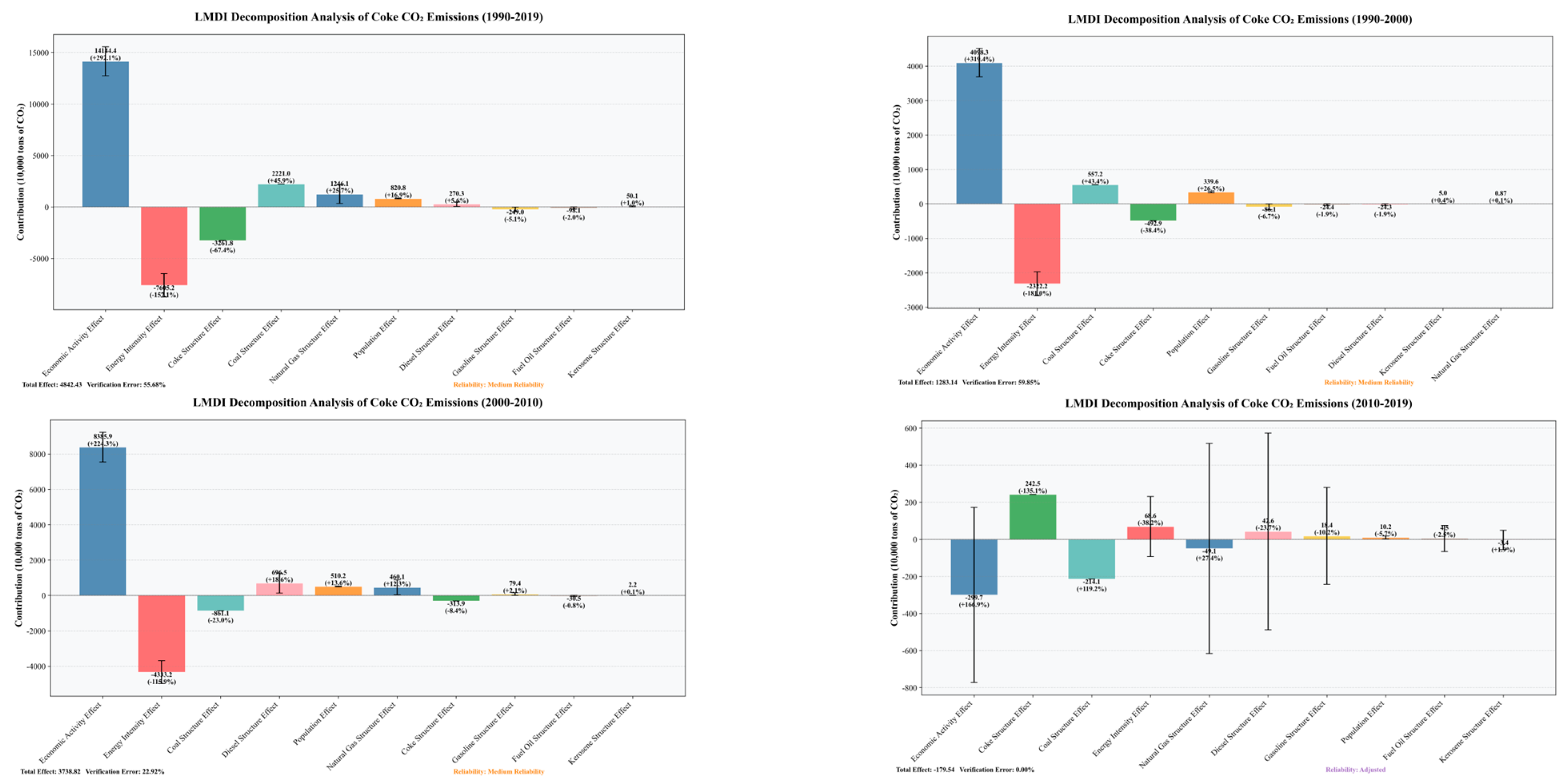
As can be seen from Figure 13. Coke emissions increased by 48,424,300 t from 1990 to 2019 and showed a decrease of −17,954,000 t during 2010–2019, which is mainly due to the significant negative contribution of the coke structure effect (−38,092,100 t).

4.2.3. Petrol Industry

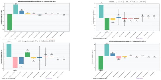
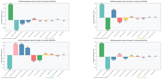
As can be seen from Figure 14. Gasoline emissions increased by 5,174,700 t from 1990 to 2019. The structural effect of gasoline was positive in the period 2000–2010 (802,600 million t), while it turned negative (−288.69 million t) in 2010–2019, indicating that the share of gasoline in the energy mix has decreased in recent years.

4.2.4. Kerosene Industry

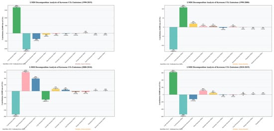
As can be seen from Figure 15. Kerosene emissions are generally small, increasing by 1,131,690 t in 1990–2019. In recent years (2010–2019), the structural effect of kerosene (532,500 t) is positive, indicating an increase in its share of the energy mix.

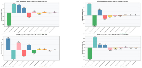
4.2.5. Diesel Industry

As can be seen from Figure 16. Diesel emissions increased by 13,945,700 t from 1990–2019. The structure effect of diesel (6,978,400 t) was significantly positive during the period 2000–2010, whereas it turned negative (−6,682,600 t) during the period 2010–2019, suggesting that the share of diesel in the energy mix has declined in recent years.

4.2.6. Fuel Oil Industry

As can be seen from Figure 17. Fuel oil is the only energy type that shows an overall decrease in emissions from 1990–2019, with a decrease of 384,600 t. The structural effect is negative in all phases, indicating that the share of fuel oil in the energy mix of Shanxi Province continues to decline.

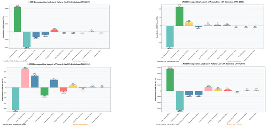
4.2.7. Natural Gas Industry

As can be seen from Figure 18. Natural gas emissions increased by 19,722,200 t from 1990 to 2019, with the fastest increase (13,589,100 t) from 2010 to 2019. The structure effect of natural gas is positive in all stages and shows a growing trend, indicating that the proportion of natural gas in the energy structure of Shanxi Province is increasing. This change has led to an increase in the number and weight of energy-saving and carbon reduction-related indicators in the government performance evaluation system, as the system has evolved from a single-indicator to a multi-objective framework, including sustainable development, social welfare enhancement, social progress, and ecological civilisation, which ultimately leads to increasing pressure on local governments to decarbonise [23]. Shanxi Province is therefore gradually undergoing an energy transition, reducing the use of high-emission energy sources such as coal and maximising the use of clean energy sources such as natural gas.

4.3. Optimization of Energy Structure

From the analysis results of the LMDI model on energy carbon emissions mentioned above, it can be seen that further adjustment and optimisation of energy is one of the most important steps for emission reduction. In order to optimise the energy structure, whether it is the establishment of a carbon market or the imposition of carbon taxes on relevant enterprises, or even the further shutdown of high-emission enterprises, low-carbon development is closely related to the constraints of government policies. The study introduced a scenario analysis framework to conduct an in-depth assessment of the impacts of different policy choices on the carbon emission trajectory of Shanxi Province [24]. As an important tool for policy evaluation, it can quantify the emission reduction effects of different energy policy combinations under controlled variable conditions, providing a scientific path selection for achieving the carbon peak target [25,26].

4.3.1. Scenario Design and Parameter Setting

This study designed five policy scenarios, forming a complete policy intensity gradient from business-as-usual development to radical transformation. The business-as-usual development scenario is based on the natural extension of the historical trend from 2015 to 2019. The average annual GDP growth rate is set as a moderate adjustment based on recent trends. The improvement in energy intensity continues the historical pattern, and the energy structure remains with minor adjustments. The planned target scenario strictly corresponds to the official goals of the *Shanxi Province 14th Five-Year Plan Outline*. The average annual GDP growth rate is set at 6%, and the average annual decline in energy intensity is 3% by 2030.
The Enhanced Policy Scenario builds on the planned targets by increasing policy intensity. The GDP growth is moderately slowed down to 5.5% to support structural transformation. The average annual decline in energy intensity is 4%, reflecting the effectiveness of enhanced energy-saving policies. The energy structure is adjusted to a coal proportion of 75% and a natural gas proportion of 15%.
The Low-Carbon Transition Scenario represents a deep transformation path for structural change. The GDP growth rate of 5% reflects the economic characteristics during the transition period. The average annual decline in energy intensity is 5%, based on the expectation of large-scale application of advanced technologies. The energy structure is significantly adjusted to a coal proportion of 65% and a natural gas proportion of 20%.
The Carbon Neutrality-Oriented Scenario is designed with radical transformation measures targeting long-term carbon neutrality. The GDP growth rate of 4.5% takes into account the economic impact of deep transformation. The average annual decline in energy intensity is 6%, assuming revolutionary technological breakthroughs. The energy structure undergoes a fundamental change to a coal proportion of 50% and a natural gas proportion of 25%.

4.3.2. Analysis Results

The changes in energy structure are the key driving factors for the differences among the scenarios. The Table 5 shows the comparison of energy structures for each scenario in 2030. The calculation results indicate that under the inertial development scenario in 2030, the proportion of coal will only decrease to 84.1%, while the proportion of natural gas will increase to 5.7%. Under the planning target scenario, the respective proportions will be 80% for coal and 12% for natural gas. Under the enhanced policy scenario, the proportions will be 75% for coal and 15% for natural gas. Under the low-carbon transition scenario, the proportions will be 65% for coal and 20% for natural gas. Under the carbon neutrality-oriented scenario, a fundamental shift will be achieved with the coal proportion decreasing to 50% and the natural gas proportion increasing to 25%. These results demonstrate that achieving the carbon peak target requires a deep adjustment of the energy structure, with the coal proportion needing to be reduced to below 65%.

4.3.3. Decomposition Analysis of Driving Factors

The decomposition analysis of driving factors using the Logarithmic Mean Divisia Index (LMDI) method was applied to each scenario, revealing the underlying mechanisms of carbon emission changes under different policy choices. The Table 6 shows the LMDI decomposition results for each scenario from 2019 to 2030.
Positive values in the table indicate a promotion of carbon emission growth, while negative values indicate a suppression of carbon emission growth. In all scenarios, the economic activity effect makes a positive contribution, reflecting the driving role of economic growth on carbon emissions. However, the contribution decreases with the strengthening of policy efforts, from 175.2% in the inertial development scenario to 128.0% in the carbon neutrality-oriented scenario. This change reflects the differences in GDP growth rates under different scenarios and the effects of economic structural adjustments.
The population effect is a negative contribution in all scenarios, reflecting the inhibitory effect of the population decline trend in Shanxi Province on carbon emissions. Its contribution increases with the strengthening of policy efforts, from −1.8% in the inertial development scenario to −7.2% in the carbon neutrality-oriented scenario. The energy intensity effect is the most important driver of emission reduction in all scenarios, with its negative contribution significantly increasing with the strengthening of policy efforts, from −118.0% in the inertial development scenario to −170.3% in the carbon neutrality-oriented scenario. This result indicates that improving energy efficiency is a core pathway to achieving carbon emission reductions. The differences in the annual decline rate of energy intensity under different policy scenarios directly determine the significant differences in emission reduction effects. The analysis results of the energy structure effect are more complex and policy-meaningful. The coal structure effect makes a relatively limited contribution in the inertial development and planning target scenarios, at 2.0% and 8.2%, respectively. However, it becomes an important driver of emission reduction in the enhanced policy, low-carbon transition, and carbon neutrality-oriented scenarios, with negative contributions reaching −223.2%, −171.1%, and −99.9%, respectively. The natural gas structure effect is a positive contribution in the first four scenarios and significantly increases with the strengthening of policy efforts, from 5.8% in the inertial development scenario to 18.6% in the low-carbon transition scenario. However, it turns into a negative contribution of −43.4% in the carbon neutrality-oriented scenario. This reflects that even relatively clean natural gas needs to be replaced by cleaner energy sources under extreme emission reduction scenarios.
This analysis result confirms the key role of energy structure adjustment in achieving the carbon peak target, especially the significant reduction in coal consumption and the rapid development of clean energy. Comparing the decomposition results of different scenarios, it can be found that only when the coal structure effect turns into a significant negative value can absolute carbon emission reduction be achieved.

4.4. The Impact of the Energy Industry on People’s Livelihoods

The decline and shutdown of the coal and other high-carbon energy industries will inevitably lead to a decrease in the happiness index of the people of Shanxi Province and a slowdown in economic development. How to balance the relationship between energy emissions and development has become one of the most important issues in Shanxi Province since the 21st century. Through the exploration of the energy structure of Shanxi Province and the future development trends of the energy industry, the following steps should be taken:
Firstly, it is necessary to further reduce the high-energy-consuming links in the coal industry and introduce low-carbon technologies to ensure the minimal use of coal and other high-energy-consuming energy sources. Secondly, Shanxi Province is currently facing the problems of resource depletion and urban transformation. In addition to reducing the production of non-renewable, high-energy-consuming industries such as coal, it is also essential to substitute coal with other energy sources, such as natural gas, and to utilise clean energy to fill the gap left by the high-energy-consuming industries. In this way, the relationship between people’s livelihoods and high-energy emissions can be properly balanced. This will further drive the development of related industries (such as natural gas, solar energy, and wind energy), creating a virtuous cycle for urban development and injecting new vitality into the urban economy.

5. Conclusions and Recommendations

5.1. Modelling Conclusions

Firstly, the analysis of the model results shows that the economic activity effect is the largest positive driver at all stages, a phenomenon that suggests that the economic development of Shanxi Province is still dependent on high-carbon energy sources, although the province has planned for an energy transition and made significant development concessions for the transition, such as mandatory measures such as the closure of 830 mines [27]. However, with the advancement of policies, emissions from various industries such as power, transport, and construction, which are the drivers of economic development, are also gradually rising, so that carbon emissions in Shanxi Province remain high due to the impact of other economic activities.
Secondly, energy efficiency improvement is the key to slowing down carbon emissions. Through data analysis, it can be found that the energy intensity effect is the most important negative factor, which indicates that technological progress and energy efficiency improvement play an important role in controlling carbon emissions, and that in recent years, improving ‘urban resilience’ has been regarded as a major strategic pathway to promote sustainable urban development. Strategic Path [28]. Energy, as an important part of urban development, on the one hand, involves energy transition; on the other hand, it acts on the use of energy. Energy intensity in Shanxi Province is declining year by year, indicating that the quality of GDP development in Shanxi Province is becoming increasingly cleaner and de-energised development.
On the other hand, the impact of changes in the energy structure has gradually come to the fore, and after analysing the data, it can be found that the proportion of coal in the energy structure is still high and has increased in recent years, while the proportion of coke in the energy structure has significantly declined, and the proportion of natural gas and clean energy in the energy structure has continued to increase, reflecting the trend of the energy structure towards cleaner energy.
Finally, changes in population also have an impact on carbon emissions, with the population effect turning negative for the first time in the 2010–2019 period, suggesting that demographic factors are beginning to dampen carbon growth, which is closely linked to China’s economic development and socio-demographic conditions, such as declining fertility rates and rising ageing, and other socio-demographics.

5.2. Suggestion

(1)
Promoting industrial upgrading and economic transformation:
Reducing the dependence of economic growth on high-carbon energy and developing low-carbon industries and services requires a multifaceted approach. On the one hand, the government should formulate and improve relevant policies and regulations and guide enterprises to reduce their dependence on high-carbon energy by means of tax incentives and financial subsidies, etc.; at the same time, it is necessary to set up and improve the system of personnel training and strengthen the construction of relevant professional disciplines, enhance the co-ordinated development of the region, and develop a differentiated industrial development strategy in different regions according to their own advantages. Different regions should formulate differentiated industrial development strategies according to their own advantages; economically developed regions should develop high-end low-carbon industries and modern service industries, and central and western regions should pay attention to green transformation in undertaking industrial transfers, actively participate in global climate governance, strengthen international cooperation, introduce foreign advanced technology and experience, enhance the competitiveness of low-carbon industries in Shanxi Province, jointly respond to the challenges of climate change, and promote the sustainable development of the economy.
(2)
Improving energy efficiency:
In order to continue to improve energy efficiency, enterprises need to increase the research and development and application of energy-saving technologies, promote advanced energy-saving technologies and equipment, optimise energy management and production processes, and further improve the efficiency of energy use so as to effectively reduce energy consumption per unit of GDP and promote the sustainable development of the economy and society.
(3)
Optimisation of energy structure:
Each energy industry should control the total consumption of coal, improve the level of clean coal use accelerate the development of natural gas and other clean energy, and at the same time, renewable energy sources, such as wind and solar energy, technology and policy support, training of relevant professionals, and the establishment of a professional R&D team, dedicated to the development and transformation of the energy industry.
(4)
Promoting low-carbon lifestyles:
Guiding residents to form low-carbon consumption habits and fully tapping the low-carbon potential of individual residents [29]. Reduce per capita carbon emissions through green actions such as promoting a low-carbon lifestyle for all.

Author Contributions

Conceptualization, J.L.; Data curation, G.Y.; Formal analysis, Y.L.; Investigation, T.L.; Methodology, C.N.; Software, J.S.; Supervision, Y.Z.; Visualization, J.S.; Writing—original draft, C.N.; Writing—review & editing, Y.Z. All authors have read and agreed to the published version of the manuscript.

Funding

This work was supported in part by the Joint Fund of the National Natural Science Foundation of China (No. U21A20114) and Provincial Education Reform Project (2023GJJG230).

Institutional Review Board Statement

Not applicable.

Informed Consent Statement

Not applicable.

Data Availability Statement

The raw data supporting the conclusions of this article will be made available by the authors on request.

Conflicts of Interest

No potential conflicts of interest were reported by the author(s). The funders had no role in the design of the study; in the collection, analyses, or interpretation of data; in the writing of the manuscript; or in the decision to publish the results.

Abbreviations

The following abbreviations are used in this manuscript:
LMDILogarithmic Mean Divisia Index Method: It is a statistical method widely used in factor decomposition analysis, especially in fields such as energy consumption, carbon emissions, and environmental impacts. It is employed to quantify the contribution of different driving factors to a target variable (e.g., changes in total carbon emissions). As an improved version of the Divisia Index Method, it has better applicability and accuracy due to the adoption of logarithmic mean weights.
IPCCIntergovernmental Panel on Climate Change. It assesses the science, impacts, and response strategies of global climate change, providing authoritative scientific evidence for governments to formulate climate policies, yet it does not conduct original research itself; instead, it systematically synthesizes the latest global scientific findings.
Ka-Ya IdentityBreak down a country’s or region’s total carbon emissions into the product of four key drivers, so as to clearly reveal the source and mechanism of carbon emissions.
STIRPAT MODELIt is employed to analyse the driving factors of environmental impacts (such as carbon emissions), attributing these impacts to population size (P), affluence level (A), and technological level (T).
CMSARThe China Stock Market & Accounting Research (CSMAR) Database, developed by Shenzhen CSMAR Data Technology Co., Ltd., is a high-precision research-oriented database tailored for financial and economic studies in China.
EFEmission Factor Method. It is one of the most widely used greenhouse-gas accounting methods, developed and standardized by the IPCC (Intergovernmental Panel on Climate Change). Serving as the “entry-level” approach to carbon accounting, it is broadly applicable across virtually all carbon-emission estimation contexts.

References

  1. International Energy Agency. A Roadmap to Net Zero Emissions in the Global Energy Sector by 2050. Available online: https://iea.blob.core.windows.net/assets/f4d0ac07-ef03-4ef7-8ad3-795340b37679/NetZeroby2050-ARoadmapfortheGlobalEnergySector_Chinese_CORR.pdf (accessed on 23 April 2025).
  2. Central People’s Government of the People’s Republic of China. Strive to Achieve Carbon Peak by 2030 and Carbon Neutrality by 2060—Winning the Tough Battle of Low-Carbon Transformation. Available online: https://www.gov.cn/xinwen/2021-04/02/content_5597403.htm (accessed on 22 April 2025).
  3. Zhang, X.; Zhong, J.; Zhang, X.; Zhang, D.; Miao, C.; Wang, D.; Guo, L. China Can Achieve Carbon Neutrality in Line with the Paris Agreement’s 2 °C Target: Navigating Global Emissions Scenarios, Warming Levels, and Extreme Event Projections. Engineering 2025, 44, 207–214. [Google Scholar] [CrossRef]
  4. International Energy Agency. Global Energy Review 2025. Available online: https://iea.blob.core.windows.net/assets/5b169aa1-bc88-4c96-b828-aaa50406ba80/GlobalEnergyReview2025.pdf (accessed on 23 April 2025).
  5. Fan, M.; Li, M.; Liu, J.; Shao, S. Is high natural resource dependence doomed to low carbon emission efficiency? Evidence from 283 cities in China. Energy Econ. 2022, 115, 106328. [Google Scholar] [CrossRef]
  6. Zhang, Y.-L.; Kang, J.-N.; Liu, L.-C.; Wei, Y.-M. Unveiling the evolution and future prospects: A comprehensive review of low-carbon transition in the coal power industry. Appl. Energy 2024, 371, 123649. [Google Scholar] [CrossRef]
  7. China Energy News Network. Shanxi’s Raw Coal Output Has Ranked First in the Country for Four Consecutive Years. Available online: https://cpnn.com.cn/news/mt/202412/t20241224_1761837.html (accessed on 22 April 2025).
  8. Xinhua News Network. Shanxi’s Raw Coal Output in 2024 Will Exceed a Quarter of the Country’s. Available online: https://news.cctv.com/2025/01/26/ARTIXwWtyhTsWJm14Uur9aNL250126.shtml (accessed on 22 April 2025).
  9. Shanxi Provincial People’s Government. Shanxi Provincial Bureau of Statistics Released Data. Available online: https://tjj.shanxi.gov.cn/sxsj-show/yearData (accessed on 23 April 2025).
  10. Yang, B.Y.; Bai, Z.K.; Zhang, J.J. Environmental impact of mining-associated carbon emissions and analysis of cleaner production strategies in China. Environ. Sci. Pollut. Res. 2021, 28, 13649–13659. [Google Scholar] [CrossRef] [PubMed]
  11. Tu, Q.S.; Hase, F.; Qin, K.; Cohen, J.B.; Khosrawi, F.; Zou, X.R.; Schneider, M.; Lu, F. Quantifying CH4 emissions from coal mine aggregation areas in Shanxi, China, using TROPOMI observations and the wind-assigned anomaly method. Atmos. Chem. Phys. 2024, 24, 4875–4894. [Google Scholar] [CrossRef]
  12. Hou, F.Y.; Chang, D.H.; Wang, Q.X. Assessment of the Sustainability of the Resource-Based Province Shanxi, China Using Emergy Analysis. Sustainability 2022, 14, 15706. [Google Scholar] [CrossRef]
  13. Zheng, Y.L.; Huang, G.H.; Li, Y.P.; Chen, J.P.; Zhou, X.; Luo, B.; Fu, Y.P.; Lin, L.J.; Xu, Z.P.; Tang, W.C. An indeterministic fractional two-stage inter-regional energy system optimization model: A case study for the Province of Shanxi, China. J. Clean. Prod. 2024, 435, 140330. [Google Scholar] [CrossRef]
  14. Xie, X.A.; Li, Y.W.; Zhang, H.; Chang, Z.W.; Zhan, Y. Pathway Simulation and Evaluation of Carbon Neutrality in the Sichuan-Chongqing Region Based on the LEAP Model. Sustainability 2025, 17, 3233. [Google Scholar] [CrossRef]
  15. Li, Z.; Wang, X. Analysis of the influencing factors of China’s coal life-cycle carbon emissions based on LMDI-LCA. Environ. Dev. Sustain. 2024, 26, 17383–17405. [Google Scholar] [CrossRef]
  16. Tarekegne, B.; Kazimierczuk, K.; O’Neil, R. Communities in energy transition: Exploring best practices and decision support tools to provide equitable outcomes. Discov. Sustain. 2022, 3, 12. [Google Scholar] [CrossRef]
  17. Carley, S.; Evans, T.P.; Konisky, D.M. Adaptation, culture, and the energy transition in American coal country. Energy Res. Soc. Sci. 2018, 37, 133–139. [Google Scholar] [CrossRef]
  18. Qin, Z.; Guo, W.J. The process of spatial agglomeration of coal industry in Shanxi Province and its driving factors. Geography 2018, 38, 1535–1542. [Google Scholar] [CrossRef]
  19. Ding, R.; Tian, D.; Wei, Y. Driving Factors and Decoupling Effect of Energy-Related Carbon Emissions in Beijing, 2013–2020. Sustainability 2025, 17, 3940. [Google Scholar] [CrossRef]
  20. 2006 IPCC Guidelines for National Greenhouse Gas Inventories. Available online: https://www.ipcc-nggip.iges.or.jp/public/2006gl/chinese/index.html (accessed on 11 August 2025).
  21. Mao, C.; Luo, J.; Jiao, S.; Zhao, B. Logarithmic Mean Divisia Index Analysis and Dynamic Back Propagation Neural Network Prediction of Transport Carbon Emissions in Henan Province. Energies 2025, 18, 1630. [Google Scholar] [CrossRef]
  22. Hu, F.; Guo, Y.; Wang, K.; Xie, J.; Ding, H.; Chen, J. Evaluation of Regional Carbon Emission Reduction Capacity and Complex Collaborative Development: An Empirical Study of the Yangtze River Delta Region. Processes 2025, 13, 1397. [Google Scholar] [CrossRef]
  23. Li, S.; Wang, Z.; Lv, J. The Role of Local Government Decarbonization Pressures in Enhancing Urban Industrial Intelligence: An Analysis of Proactive and Reactive Corporate Environmental Governance. Sustainability 2025, 17, 4145. [Google Scholar] [CrossRef]
  24. Rong, T.Q.; Zhang, P.Y.; Zhu, H.R.; Jiang, L.; Li, Y.Y.; Liu, Z.Y. Spatial correlation evolution and prediction scenario of land use carbon emissions in China. Ecol. Inform. 2022, 71, 101802. [Google Scholar] [CrossRef]
  25. Ye, F.F.; You, R.Y.; Yang, L.H.; Lu, H.T.; Xie, H.Z. A novel data-driven rule-base approach with driving factor decomposition for multi-scenario prediction on carbon emission reduction. Comput. Ind. Eng. 2025, 206, 111217. [Google Scholar] [CrossRef]
  26. Jin, Y.K.; Sharifi, A.; Li, Z.S.; Chen, S.R.; Zeng, S.Z.; Zhao, S.L. Carbon emission prediction models: A review. Sci. Total Environ. 2024, 927, 172319. [Google Scholar] [CrossRef] [PubMed]
  27. Fan, Y.; Yang, W.; Qi, F.; Zhang, X.; Song, W.; Su, F.; Xie, H. Diversified and efficient utilization and evaluation of the remaining coal resources of closed coal mines in Shanxi Province. Coal Sci. Technol. 2025, 53, 1–11. [Google Scholar]
  28. Gao, E.; Zhang, X. Coupling and Coordination Characteristics of Multidimensional Resilience of Resource-based Cities and Identification of Obstacle Factors: An Empirical Study Based on Prefecture-level Cities in Shanxi Province. Pract. Underst. Math. 2025, 1–14. [Google Scholar] [CrossRef]
  29. Tan, C.; Geng, S.; Tan, Z.; Yin, Z.; Xing, D. Research on China’s dynamic carbon price based on multi-mechanism and multi-agent under “dual carbon”. Syst. Eng. Theory Pract. 2025, 1–21. Available online: https://link.cnki.net/urlid/11.2267.n.20250224.1017.002 (accessed on 11 August 2025).
Figure 1. Technical route.
Figure 1. Technical route.
Atmosphere 16 00986 g001
Figure 2. Carbon emission heat map.
Figure 2. Carbon emission heat map.
Atmosphere 16 00986 g002
Figure 3. Carbon Emissions and Growth Rate of Coal and Coke (1990–2019).
Figure 3. Carbon Emissions and Growth Rate of Coal and Coke (1990–2019).
Atmosphere 16 00986 g003
Figure 4. Carbon Emissions and Growth Rate of Gasoline and Kerosene (1990–2019).
Figure 4. Carbon Emissions and Growth Rate of Gasoline and Kerosene (1990–2019).
Atmosphere 16 00986 g004
Figure 5. Carbon Emissions and Growth Rate of Diesel Oil and Fuel Oil (1990–2019).
Figure 5. Carbon Emissions and Growth Rate of Diesel Oil and Fuel Oil (1990–2019).
Atmosphere 16 00986 g005
Figure 6. Carbon Emissions and Growth Rate of Natural Gas (1990–2019).
Figure 6. Carbon Emissions and Growth Rate of Natural Gas (1990–2019).
Atmosphere 16 00986 g006
Figure 7. LMDI Decomposition Analysis of Total CO2 Emissions (1990–2019).
Figure 7. LMDI Decomposition Analysis of Total CO2 Emissions (1990–2019).
Atmosphere 16 00986 g007
Figure 8. LMDI Decomposition Analysis of Total CO2 Emissions (1990–2000).
Figure 8. LMDI Decomposition Analysis of Total CO2 Emissions (1990–2000).
Atmosphere 16 00986 g008
Figure 9. LMDI Decomposition Analysis of Total CO2 Emissions (2000–2010).
Figure 9. LMDI Decomposition Analysis of Total CO2 Emissions (2000–2010).
Atmosphere 16 00986 g009
Figure 10. LMDI Decomposition Analysis of Total CO2 Emissions (2010–2020).
Figure 10. LMDI Decomposition Analysis of Total CO2 Emissions (2010–2020).
Atmosphere 16 00986 g010
Figure 11. Time Series of Carbon Emissions by Energy Type in Shanxi Province (1990–2019).
Figure 11. Time Series of Carbon Emissions by Energy Type in Shanxi Province (1990–2019).
Atmosphere 16 00986 g011
Figure 12. LMDI Decomposition Analysis of Coal CO2 Emissions Variation Combination Chart (1990–2019).
Figure 12. LMDI Decomposition Analysis of Coal CO2 Emissions Variation Combination Chart (1990–2019).
Atmosphere 16 00986 g012
Figure 13. LMDI Decomposition Analysis of Coke CO2 Emissions Variation Combination Chart (1990–2019).
Figure 13. LMDI Decomposition Analysis of Coke CO2 Emissions Variation Combination Chart (1990–2019).
Atmosphere 16 00986 g013
Figure 14. LMDI Decomposition Analysis of Gasoline CO2 Emissions Variation Combination Chart (1990–2019).
Figure 14. LMDI Decomposition Analysis of Gasoline CO2 Emissions Variation Combination Chart (1990–2019).
Atmosphere 16 00986 g014
Figure 15. LMDI Decomposition Analysis of Kerosene CO2 Emissions Variation Combination Chart (1990–2019).
Figure 15. LMDI Decomposition Analysis of Kerosene CO2 Emissions Variation Combination Chart (1990–2019).
Atmosphere 16 00986 g015
Figure 16. LMDI Decomposition Analysis of Diesel CO2 Emissions Variation Combination Chart (1990–2019).
Figure 16. LMDI Decomposition Analysis of Diesel CO2 Emissions Variation Combination Chart (1990–2019).
Atmosphere 16 00986 g016
Figure 17. LMDI Decomposition Analysis of Fuel CO2 Emissions Variation Combination Chart (1990–2019).
Figure 17. LMDI Decomposition Analysis of Fuel CO2 Emissions Variation Combination Chart (1990–2019).
Atmosphere 16 00986 g017
Figure 18. LMDI Decomposition Analysis of Natural Gas CO2 Emissions Variation Combination Chart (1990–2019).
Figure 18. LMDI Decomposition Analysis of Natural Gas CO2 Emissions Variation Combination Chart (1990–2019).
Atmosphere 16 00986 g018
Table 1. Display of important data.
Table 1. Display of important data.
Statistical YearCO2 Emissions/10 k TPopulation/Ten ThousandGross Domestic Product/Hundred Million
199017,389.8722898.96468.51
199117,389.8722941.86468.51
199532,796.2573077.281076.03
199633,653.4133109.261292.11
199732,272.923140.891476
199833,236.4833172.21611.08
199930,292.6923203.631667.1
200031,407.2873247.81845.72
200135,179.3393271.632029.53
200243,008.7133293.712324.8
200348,647.3693314.292854.25
200451,430.263335.073495.99
200556,159.3953355.214079.38
200662,219.483374.554713.6
200764,241.453392.585935.58
200863,124.7793410.647222.98
200962,530.733427.367147.61
201067,088.4543574.118903.9
201173,955.0933562.3710,894.41
201277,225.5953548.2111,683.11
201379,194.8153534.9811,987.23
201481,095.643528.4912,094.71
201593,090.3163518.6211,836.39
201692,133.0593514.4811,946.4
201797,087.7313510.4614,484.27
2018103,926.6683502.4715,958.13
2019109,327.2223496.8816,961.61
Table 2. Model symbol representation.
Table 2. Model symbol representation.
SymbolMeaning
E i Indicates the carbon emissions of that energy source
A i j Represents activity data for the j fossil energy
E F j Represents the carbon emission factor of category j fossil energy
iRepresents different industries
j Different departments
Table 3. Emission factor data.
Table 3. Emission factor data.
Type of EnergyEmission Factor/kg CO 2 /kg
Coal2.53
Coke3.04
Gasoline3.14
Kerosene3.20
Diesel fuel3.22
Fuel3.06
Natural gas1.96
Table 4. Diagram of the results of the phased effect decomposition.
Table 4. Diagram of the results of the phased effect decomposition.
Effect/Time Period1990–20002000–20102010–2019
Economic Activity Effect32,510.873,979.855,737.4
Population Effect2694.34500.9−1889.3
Energy Intensity Effect−18,421.6−38,227.0−12,762.0
Coal structure Effect557.2−861.13371.9
Coke structure Effect−492.9−313.9−3819.4
Gasoline structure Effect−86.179.4−3819.4
Kerosene structure Effect12.94.970.1
Diesel fuel structure Effect−24.3696.5−670.4
Fuel structure Effect−24.4−51.9−408.4
Natural gas structure Effect0.87460.1773.6
Table 5. Comparison of energy structures across scenarios.
Table 5. Comparison of energy structures across scenarios.
ScenarioCoal ProportionNatural Gas ProportionProportion of Other Energy SourcesMagnitude of Structural Adjustment
Inertial development84.1%5.7%10.2%Fine-tuning
Planning target80.0%12.0%8.0%Moderate adjustment
Enhanced policy75.0%15.0%10.0%Significant adjustment
Low-carbon transition65.0%20.0%15.0%Deep adjustment
Carbon neutrality orientation50.0%25.0%25.0%Fundamental transformation
Table 6. Decomposition analysis of driving factors.
Table 6. Decomposition analysis of driving factors.
ScenarioEconomic Activity EffectPopulation EffectEnergy Intensity EffectCoal Structure EffectNatural Gas Structure Effect
Inertial development+175.2−1.8−118+2.0+5.8
Planning target+163.4−1.8−135.7+8.2+7.8
Enhanced policy+151.6−2.7−152.5−223.2+12.0
Low-carbon transition+139.8−4.5−169.3−171.1+18.6
Carbon neutrality-oriented+128.0−7.2−170.3−99.9−42.4
Disclaimer/Publisher’s Note: The statements, opinions and data contained in all publications are solely those of the individual author(s) and contributor(s) and not of MDPI and/or the editor(s). MDPI and/or the editor(s) disclaim responsibility for any injury to people or property resulting from any ideas, methods, instructions or products referred to in the content.

Share and Cite

MDPI and ACS Style

Ning, C.; Li, J.; Shen, J.; Lei, Y.; Li, T.; Zhang, Y.; Yang, G. Analysis of Carbon Emission Drivers and Climate Mitigation Pathways in the Energy Industry: Evidence from Shanxi, China. Atmosphere 2025, 16, 986. https://doi.org/10.3390/atmos16080986

AMA Style

Ning C, Li J, Shen J, Lei Y, Li T, Zhang Y, Yang G. Analysis of Carbon Emission Drivers and Climate Mitigation Pathways in the Energy Industry: Evidence from Shanxi, China. Atmosphere. 2025; 16(8):986. https://doi.org/10.3390/atmos16080986

Chicago/Turabian Style

Ning, Chen, Jiangping Li, Jingyi Shen, Yunxin Lei, Ting Li, Yanan Zhang, and Gaiyan Yang. 2025. "Analysis of Carbon Emission Drivers and Climate Mitigation Pathways in the Energy Industry: Evidence from Shanxi, China" Atmosphere 16, no. 8: 986. https://doi.org/10.3390/atmos16080986

APA Style

Ning, C., Li, J., Shen, J., Lei, Y., Li, T., Zhang, Y., & Yang, G. (2025). Analysis of Carbon Emission Drivers and Climate Mitigation Pathways in the Energy Industry: Evidence from Shanxi, China. Atmosphere, 16(8), 986. https://doi.org/10.3390/atmos16080986

Note that from the first issue of 2016, this journal uses article numbers instead of page numbers. See further details here.

Article Metrics

Back to TopTop