Airborne Measurements of Real-World Black Carbon Emissions from Ships
Abstract
1. Introduction
1.1. Climate and Health Impact of Black Carbon Emissions
1.2. BC Emission Regulations
1.3. Previous Studies
2. Methods and Materials
2.1. Research Area and Regional Context
2.1.1. Belgian Part of the North Sea
2.1.2. North Sea Emission Control Area
2.2. Airborne Remote BC Emission Measurements
2.2.1. Coastguard Aircraft and Sniffer Sensor System
2.2.2. BC Sensor
2.2.3. Fuel Type
2.2.4. SURV Ship Database
2.2.5. NOx Tier Classification
2.2.6. Engine Type
2.3. Analytical Methods and Load-Based Modeling for BC EFs
2.3.1. Analytical Methods for BC EF Calculations
2.3.2. BC Measurement Uncertainty
2.3.3. Data Post-Processing and Signal Quality
2.3.4. Emission Probability Distribution Analysis
2.3.5. Engine Load
2.3.6. Load-Based Emission Modeling Approaches
2.4. Statistical Analysis
3. Results and Discussion
3.1. Dataset Overview and Ship Characteristics
3.1.1. Sample Size and Annual Distribution
3.1.2. Engine Loads
3.1.3. Ship Type, Fuel Type and EGCS
3.1.4. NOx Compliance and Ship Age
3.2. Analysis of BC EFs from Remote Measurements
3.2.1. Summary Statistics of Measured BC EFs and Climate Implications
3.2.2. Probability and Cumulative Distribution of BC EFs
3.2.3. Geospatial Patterns of BC Emissions in the North Sea Region
3.2.4. BC Measurement Uncertainty and Impact of Plume Concentration on Data Quality
3.3. Trend Analysis to Identify Drivers of Variability in BC EFs
3.3.1. Engine Load as a Key Determinant of BC Emission Intensity
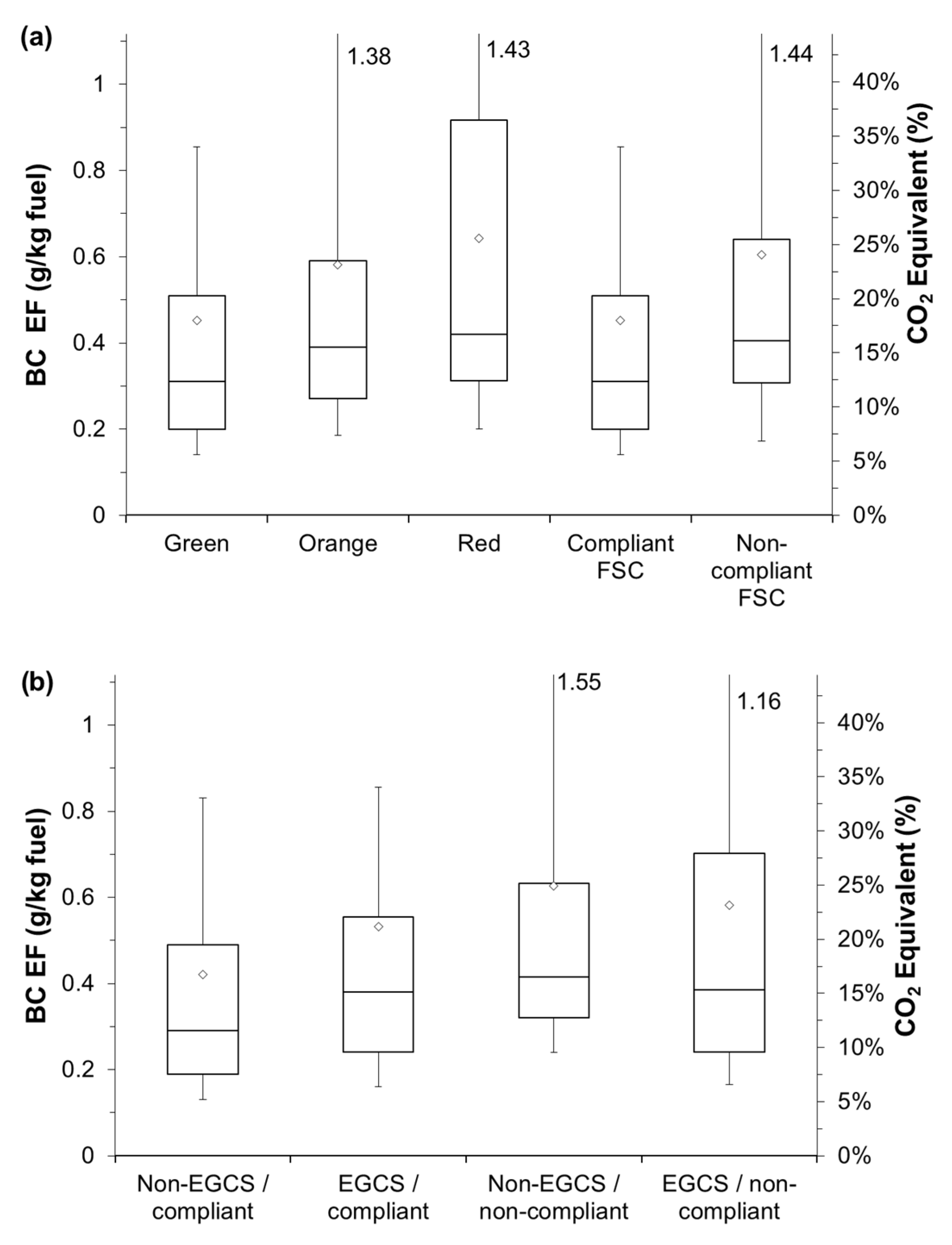
3.3.2. Effect of Fuel Type, EGCS Status, and Ship Type on BC EFs
3.3.3. BC EFs in Relation to NOx Compliance, Ship Age and Engine Type
3.4. Load-Based BC Emission Models
3.4.1. Evaluation of Power and Exponential Decay Models Based on the Full Dataset
3.4.2. Comparison of Refined Models Using High-Plume Concentration Subset with IMO Models
3.4.3. Model Validation by Comparing Observed vs. Modeled BC EFs
4. Conclusions
Supplementary Materials
Author Contributions
Funding
Institutional Review Board Statement
Informed Consent Statement
Data Availability Statement
Acknowledgments
Conflicts of Interest
References
- Bond, T.C.; Sun, H. Can Reducing Black Carbon Emissions Counteract Global Warming? Environ. Sci. Technol. 2005, 39, 5921–5926. [Google Scholar] [CrossRef] [PubMed]
- Hansen, J.; Sato, M.; Kharecha, P.; Russell, G.; Lea, D.W.; Siddall, M. Climate Change and Trace Gases. Philos. Trans. R. Soc. A Math. Phys. Eng. Sci. 2007, 365, 1925–1954. [Google Scholar] [CrossRef] [PubMed]
- Ramanathan, V.; Carmichael, G. Global and Regional Climate Changes Due to Black Carbon. Nat. Geosci. 2008, 1, 221–227. [Google Scholar] [CrossRef]
- Eyring, V.; Isaksen, I.S.A.; Berntsen, T.; Collins, W.J.; Corbett, J.J.; Endresen, O.; Grainger, R.G.; Moldanova, J.; Schlager, H.; Stevenson, D.S. Transport Impacts on Atmosphere and Climate: Shipping. Atmos. Environ. 2010, 44, 4735–4771. [Google Scholar] [CrossRef]
- Shindell, D.; Faluvegi, G. Climate Response to Regional Radiative Forcing during the Twentieth Century. Nat. Geosci. 2009, 2, 294–300. [Google Scholar] [CrossRef]
- Bond, T.C.; Doherty, S.J.; Fahey, D.W.; Forster, P.M.; Berntsen, T.; DeAngelo, B.J.; Flanner, M.G.; Ghan, S.; Kärcher, B.; Koch, D.; et al. Bounding the Role of Black Carbon in the Climate System: A Scientific Assessment. J. Geophys. Res. Atmos. 2013, 118, 5380–5552. [Google Scholar] [CrossRef]
- Hansen, J.; Sato, M.; Ruedy, R.; Nazarenko, L.; Lacis, A.; Schmidt, G.A.; Russell, G.; Aleinov, I.; Bauer, M.; Bauer, S.; et al. Efficacy of Climate Forcings. J. Geophys. Res. Atmos. 2005, 110, D18104. [Google Scholar] [CrossRef]
- Jacobson, M.Z. Correction to “Control of Fossil-Fuel Particulate Black Carbon and Organic Matter, Possibly the Most Effective Method of Slowing Global Warming”. J. Geophys. Res. Atmos. 2005, 110, D14105. [Google Scholar] [CrossRef]
- Samset, B.H.; Lund, M.T.; Aamaas, B. Climate Effects of Black Carbon Emissions: Updated GWP and GTP Values After the IPCC AR6; CICERO: Oslo, Norway, 2023. [Google Scholar]
- Hansen, J.; Nazarenko, L. Soot Climate Forcing via Snow and Ice Albedos. Proc. Natl. Acad. Sci. USA 2004, 101, 423–428. [Google Scholar] [CrossRef]
- Intergovernmental Panel on Climate Change (IPCC). Climate Change 2021—The Physical Science Basis; Cambridge University Press: Cambridge, UK, 2023; ISBN 9781009157896. [Google Scholar]
- Jacobson, M.Z. Control of Fossil-fuel Particulate Black Carbon and Organic Matter, Possibly the Most Effective Method of Slowing Global Warming. J. Geophys. Res. Atmos. 2002, 107, ACH 16-1–ACH 16-22. [Google Scholar] [CrossRef]
- Janssen, N.A.; Gerlofs-Nijland, M.E.; Lanki, T.; Salonen, R.O.; Cassee, F.; Hoek, G.; Fischer, P.; Brunekreef, B.; Krzyzanowski, M. Health Effects of Black Carbon; WHO: Copenhagen, Denmark, 2012. [Google Scholar]
- Song, X.; Hu, Y.; Ma, Y.; Jiang, L.; Wang, X.; Shi, A.; Zhao, J.; Liu, Y.; Liu, Y.; Tang, J.; et al. Is Short-Term and Long-Term Exposure to Black Carbon Associated with Cardiovascular and Respiratory Diseases? A Systematic Review and Meta-Analysis Based on Evidence Reliability. BMJ Open 2022, 12, e049516. [Google Scholar] [CrossRef] [PubMed]
- Niranjan, R.; Thakur, A.K. The Toxicological Mechanisms of Environmental Soot (Black Carbon) and Carbon Black: Focus on Oxidative Stress and Inflammatory Pathways. Front. Immunol. 2017, 8, 763. [Google Scholar] [CrossRef] [PubMed]
- Goriainova, V.; Awada, C.; Opoku, F.; Zelikoff, J.T. Adverse Effects of Black Carbon (BC) Exposure during Pregnancy on Maternal and Fetal Health: A Contemporary Review. Toxics 2022, 10, 779. [Google Scholar] [CrossRef] [PubMed]
- MEPC. Amendments to the Annex of the Protocol of 1997 to Amend the International Convention for the Prevention of Pollution from Ships, 1973, as Modified by the Protocol of 1978 Relating Thereto (2021 Revised MARPOL Annex VI), Resolution MEPC.328(76), Entered into Force on 1 November 2022; IMO: London, UK, 2022. [Google Scholar]
- MEPC. List of Special Areas, Emission Control Areas and Particularly Sensitive Sea Areas, Circular MEPC.1/Circ.778/Rev.3 of 2 July 2008; Marine Environmental Protection Committee, International Maritime Organization: London, UK, 2008; pp. 1–5. [Google Scholar]
- MEPC. Amendments to the Annex of the Protocol of 1997 to Amend the International Convention for the Prevention of Pollution from Ships, 1973, as Modified by the Protocol of 1978 Relating Thereto (Prohibition on the Carriage of Non-Compliant Fuel Oil for Combustion Purposes for Propulsion or Operation on Board a Ship), Resolution MEPC.305(73), Adopted on 26 October 2018, Entered into Force on 1 March 2020; Marine Environment Protection Committee, International Maritime Organization: London, UK, 2018; pp. 1–5. [Google Scholar]
- MEPC. Study on Effects of the Entry into Force of the Global 0.5% Fuel Oil Sulphur Content Limit on Human Health Submitted by Finland. MEPC 70/INF.34; IMO: London, UK, 2016; pp. 1–30. [Google Scholar]
- Comer, B.; Georgeff, E.; Osipova, L. Air Emissions and Water Pollution Discharges from Ships with Scrubbers; International Council on Clean Transportation: Washington, DC, USA, 2020. [Google Scholar]
- Wan, Z.; Zhou, X.; Zhang, Q.; Chen, J. Influence of Sulfur Emission Control Areas on Particulate Matter Emission: A Difference-in-Differences Analysis. Mar. Policy 2021, 130, 104584. [Google Scholar] [CrossRef]
- Bauer, M.; Czech, H.; Anders, L.; Passig, J.; Etzien, U.; Bendl, J.; Streibel, T.; Adam, T.W.; Buchholz, B.; Zimmermann, R. Impact of Fuel Sulfur Regulations on Carbonaceous Particle Emission from a Marine Engine. npj Clim. Atmos. Sci. 2024, 7, 288. [Google Scholar] [CrossRef]
- Kleijn, A. Comparison Air Pollutant Emissions MARPOL Annex VI Compliance Options in 2020; CE Delft: Delft, The Netherlands, 2021. [Google Scholar]
- MEPC. Amendments to the Technical Code on Control of Emission of Nitrogen Oxides from Marine Diesel Engines (NOx Technical Code 2008), Resolution MEPC.177(58), Adopted on 10 October 2008, Entered into Force on 1 July 2010; Marine Environmental Protection Committee, International Maritime Organization: London, UK, 2008. [Google Scholar]
- MEPC. Amendments to the Annex of the Protocol of 1997 to Amend the International Convention for the Prevention of Pollution from Ships, 1973, as Modified by the Protocol of 1978 Relating Thereto. Amendments to MARPOL Annex VI (Designation of the Baltic Sea and the North Sea Emission Control Areas for NOx Tier III Control), Resolution MEPC.268(71), Adopted on 7 July 2017, Entered into Force on 1 January 2019; Marine Environment Protection Committee, International Maritime Organization: London, UK, 2017. [Google Scholar]
- MEPC. Report of the Marine Environmental Protection Committee on Its Sixty-Second Session; IMO: London, UK, 2011; pp. 1–199. [Google Scholar]
- MEPC. Report of the Marine Environmental Protection Committee on Its Sixty-Fifth Session; IMO: London, UK, 2013; pp. 1–166. [Google Scholar]
- MEPC. Report of the Marine Environment Protection Committee on Its Sixty-Eighth Session; IMO: London, UK, 2015; pp. 1–74. [Google Scholar]
- Faber, J.; Hanayama, S.; Zhang, S.; Pereda, P.; Comer, B.; Hauerhof, E.; van der Loeff, W.S.; Smith, T.; Zhang, Y.; Kosaka, H.; et al. Fourth IMO GHG Study 2020 Full Report; IMO: London, UK, 2021. [Google Scholar]
- MEPC. Amendments to the Annex of the International Convention for the Prevention of Pollution from Ships, 1973, as Modified by the Protocol of 1978 Relating Thereto, Amendments to MARPOL Annex I (Prohibition on the Use and Carriage for Use as Fuel of Heavy Fuel Oil by Ships in Arctic Waters), Resolution MEPC.329(76), Adopted on 17 June 2021; IMO: London, UK, 2021. [Google Scholar]
- Comer, B.; Osipova, L.; Georgeff, E.; Mao, X. The International Maritime Organization’s Proposed Arctic Heavy Fuel Oil Ban: Likely Impacts and Opportunities for Improvement; International Council on Clean Transportation: Washington, DC, USA, 2020. [Google Scholar]
- MUDP. Development of Wet Electrostatic Precipitator for Marine Engines; Miljøstyrelsen: Odense, Denmark, 2024. [Google Scholar]
- MEPC. Guidance on Best Practice on Recommendatory Goal-Based Control Measures to Reduce the Impact on the Arctic of Black Carbon Emissions from International Shipping, Resolution MEPC.393(82), Adopted on 4 October 2024; IMO: London, UK, 2024. [Google Scholar]
- PPR. Final Results of a Black Carbon Measurement Campaign with Emphasis on the Impact of the Fuel Oil Quality on Black Carbon Emissions, PPR.8/5/1, Submitted by Finland and Germany; IMO: London, UK, 2021. [Google Scholar]
- Gysel, N.R.; Welch, W.A.; Johnson, K.; Miller, W.; Cocker, D.R. Detailed Analysis of Criteria and Particle Emissions from a Very Large Crude Carrier Using a Novel ECA Fuel. Environ. Sci. Technol. 2017, 51, 1868–1875. [Google Scholar] [CrossRef]
- Johnson, K.; Welch, B.; Miller, W.; Cocker III, D.R.; Russell, R.L.; Yu, J. Black Carbon and Other Gaseous Emissions from an Ocean Going Vessel Main Engine Operating on Two Fuels; California Air Resources Board: Riverside, CA, USA, 2015. [Google Scholar]
- Comer, B.; Olmer, N.; Mao, X.; Roy, B.; Rutherford, D. Black Carbon Emissions and Fuel Use in Global Shipping 2015; International Council on Clean Transportation: Washington, DC, USA, 2017. [Google Scholar]
- Lack, D.A.; Corbett, J.J. Black Carbon from Ships: A Review of the Effects of Ship Speed, Fuel Quality and Exhaust Gas Scrubbing; EGU: Vienna, Austria, 2012. [Google Scholar]
- Petzold, A.; Weingartner, E.; Hasselbach, J.; Lauer, P.; Kurok, C.; Fleischer, F. Physical Properties, Chemical Composition, and Cloud Forming Potential of Particulate Emissions from a Marine Diesel Engine at Various Load Conditions. Environ. Sci. Technol. 2010, 44, 3800–3805. [Google Scholar] [CrossRef]
- Geldenhuys, G.; Wattrus, M.; Forbes, P.B.C. Gas and Particle Phase Polycyclic Aromatic Hydrocarbon Emission Factors from a Diesel Vehicle Engine: Effect of Operating Modes in a Developing Country Context. Atmos. Environ. X 2022, 13, 100158. [Google Scholar] [CrossRef]
- Celik, S.; Drewnick, F.; Fachinger, F.; Brooks, J.; Darbyshire, E.; Coe, H.; Paris, J.-D.; Eger, P.G.; Schuladen, J.; Tadic, I.; et al. Influence of Vessel Characteristics and Atmospheric Processes on the Gas and Particle Phase of Ship Emission Plumes: In Situ Measurements in the Mediterranean Sea and around the Arabian Peninsula. Atmos. Chem. Phys. 2020, 20, 4713–4734. [Google Scholar] [CrossRef]
- Lack, D.A.; Cappa, C.D.; Langridge, J.; Bahreini, R.; Buffaloe, G.; Brock, C.; Cerully, K.; Coffman, D.; Hayden, K.; Holloway, J.; et al. Impact of Fuel Quality Regulation and Speed Reductions on Shipping Emissions: Implications for Climate and Air Quality. Environ. Sci. Technol. 2011, 45, 9052–9060. [Google Scholar] [CrossRef]
- Lack, D.; Lerner, B.; Granier, C.; Baynard, T.; Lovejoy, E.; Massoli, P.; Ravishankara, A.R.; Williams, E. Light Absorbing Carbon Emissions from Commercial Shipping. Geophys. Res. Lett. 2008, 35, L13815. [Google Scholar] [CrossRef]
- Peters, G.P.; Nilssen, T.B.; Lindholt, L.; Eide, M.S.; Glomsrød, S.; Eide, L.I.; Fuglestvedt, J.S. Future Emissions from Shipping and Petroleum Activities in the Arctic. Atmos. Chem. Phys. 2011, 11, 5305–5320. [Google Scholar] [CrossRef]
- Winther, M.; Christensen, J.H.; Plejdrup, M.S.; Ravn, E.S.; Eriksson, Ó.F.; Kristensen, H.O. Emission Inventories for Ships in the Arctic Based on Satellite Sampled AIS Data. Atmos. Environ. 2014, 91, 1–14. [Google Scholar] [CrossRef]
- Olmer, N.; Comer, B.; Roy, B.; Mao, X.; Rutherford, D. Greenhouse Gas Emissions from Global Shipping, 2013–2015; International Council on Clean Transportation: Washington, DC, USA, 2017. [Google Scholar]
- Olmer, N.; Comer, B.; Roy, B.; Mao, X.; Rutherford, D. Greenhouse Gas Emissions from Global Shipping, 2013–2015 Detailed Methodology; International Council on Clean Transportation: Washington, DC, USA, 2017. [Google Scholar]
- Bendl, J.; Saraji-Bozorgzad, M.R.; Käfer, U.; Padoan, S.; Mudan, A.; Etzien, U.; Giocastro, B.; Schade, J.; Jeong, S.; Kuhn, E.; et al. How Do Different Marine Engine Fuels and Wet Scrubbing Affect Gaseous Air Pollutants and Ozone Formation Potential from Ship Emissions? Environ. Res. 2024, 260, 119609. [Google Scholar] [CrossRef]
- Van Roy, W.; Merveille, J.-B.; Scheldeman, K.; Van Nieuwenhove, A.; Schallier, R.; Van Roozendael, B.; Maes, F. Assessment of the Effect of International Maritime Regulations on Air Quality in the Southern North Sea. Atmosphere 2023, 14, 969. [Google Scholar] [CrossRef]
- Van Roy, W.; Van Roozendael, B.; Vigin, L.; Van Nieuwenhove, A.; Scheldeman, K.; Merveille, J.-B.; Weigelt, A.; Mellqvist, J.; Van Vliet, J.; van Dinther, D.; et al. International Maritime Regulation Decreases Sulfur Dioxide but Increases Nitrogen Oxide Emissions in the North and Baltic Sea. Commun. Earth Environ. 2023, 4, 391. [Google Scholar] [CrossRef]
- Van Roy, W.; Merveille, J.-B.; Scheldeman, K.; Van Nieuwenhove, A.; Van Roozendael, B.; Schallier, R.; Maes, F. The Role of Belgian Airborne Sniffer Measurements in the MARPOL Annex VI Enforcement Chain. Atmosphere 2023, 14, 623. [Google Scholar] [CrossRef]
- Duran, V.; Uriondo, Z.; Moreno-Gutiérrez, J. The Impact of Marine Engine Operation and Maintenance on Emissions. Transp. Res. D Transp. Environ. 2012, 17, 54–60. [Google Scholar] [CrossRef]
- Lauer, A.; Eyring, V.; Corbett, J.J.; Wang, C.; Winebrake, J.J. Assessment of Near-Future Policy Instruments for Oceangoing Shipping: Impact on Atmospheric Aerosol Burdens and the Earth’s Radiation Budget. Environ. Sci. Technol. 2009, 43, 5592–5598. [Google Scholar] [CrossRef][Green Version]
- Maes, F.; Cliquet, A.; van Gaever, S.; Lescrauwaet, A.-K.; Pirlet, H.; Verleye, T.; Mees, J.; Herman, R. (Eds.) Raakvlak Marien Onderzoek En Beleid. In Compendium voor Kust en Zee 2013: Een Geïntegreerd Kennisdocument over de Socio-Economische, Ecologische en Institutionele Aspecten van de Kust en zee in Vlaanderen en België; Vlaams Instituut voor de Zee (VLIZ): Oostende, Belgium, 2013; pp. 286–323. [Google Scholar]
- Maut, A. BE AWARE: Technical Sub Report 1: Ship Traffic; Bonn Agreement: London, UK, 2014. [Google Scholar]
- Cotteleer, A. Technical Sub Report 3: Future Traffic Model 2020; Bonn Agreement: London, UK, 2014. [Google Scholar]
- EMSA. Available online: https://Portal.Emsa.Europa.Eu/Group/Thetis-Eu/ (accessed on 7 April 2025).
- Van Roy, W.; Maes, F. Application of Remote Measurements for Compliance Monitoring and Enforcement of SO2 and NOx Emissions Under MARPOL Annex VI; Royal Belgian Institute of Natural Sciences: Brussels, Belgium, 2023. [Google Scholar]
- Van Roy, W.; Schallier, R.; Scheldeman, K.; Van Roozendael, B.; Van Nieuwenhove, A.; Maes, F. Airborne Monitoring of Compliance to Sulfur Emission Regulations by Ocean-Going Vessels in the Belgian North Sea Area. Atmos. Pollut. Res. 2022, 13, 101445. [Google Scholar] [CrossRef]
- Van Roy, W.; Scheldeman, K.; Van Roozendael, B.; Van Nieuwenhove, A.; Schallier, R.; Vigin, L.; Maes, F. Airborne Monitoring of Compliance to NOx Emission Regulations from Ocean-Going Vessels in the Belgian North Sea. Atmos. Pollut. Res. 2022, 13, 101518. [Google Scholar] [CrossRef]
- Van Roy, W.; Van Nieuwenhove, A.; Scheldeman, K.; Van Roozendael, B.; Schallier, R.; Mellqvist, J.; Maes, F. Measurement of Sulfur-Dioxide Emissions from Ocean-Going Vessels in Belgium Using Novel Techniques. Atmosphere 2022, 13, 1756. [Google Scholar] [CrossRef]
- AethLabs MicroAeth® MA Series MA200, MA300, MA350 Operating Manual. Available online: https://aethlabs.com (accessed on 1 July 2025).
- Blanco-Donado, E.P.; Schneider, I.L.; Artaxo, P.; Lozano-Osorio, J.; Portz, L.; Oliveira, M.L.S. Source Identification and Global Implications of Black Carbon. Geosci. Front. 2022, 13, 101149. [Google Scholar] [CrossRef]
- Chakraborty, M.; Giang, A.; Zimmerman, N. Performance Evaluation of Portable Dual-Spot Micro-Aethalometers for Source Identification of Black Carbon Aerosols: Application to Wildfire Smoke and Traffic Emissions in the Pacific Northwest. Atmos. Meas. Tech. 2023, 16, 2333–2352. [Google Scholar] [CrossRef]
- Aakko-Saksa, P.; Kuittinen, N.; Murtonen, T.; Koponen, P.; Aurela, M.; Järvinen, A.; Teinilä, K.; Saarikoski, S.; Barreira, L.M.F.; Salo, L.; et al. Suitability of Different Methods for Measuring Black Carbon Emissions from Marine Engines. Atmosphere 2021, 13, 31. [Google Scholar] [CrossRef]
- EMSA Thetis-EU. Available online: https://portal.emsa.europa.eu/web/thetis-eu (accessed on 1 July 2025).
- IMO. Available online: https://Gisis.Imo.Org/Public/Default.Aspx (accessed on 7 April 2025).
- Beecken, J.; Mellqvist, J.; Salo, K.; Ekholm, J.; Jalkanen, J.P. Airborne Emission Measurements of SO2, NOx and Particles from Individual Ships Using a Sniffer Technique. Atmos. Meas. Tech. 2014, 7, 1957–1968. [Google Scholar] [CrossRef]
- Beecken, J.; Mellqvist, J.; Salo, K.; Ekholm, J.; Jalkanen, J.P.; Johansson, L.; Litvinenko, V.; Volodin, K.; Frank-Kamenetsky, D.A. Emission Factors of SO2, NOx and Particles from Ships in Neva Bay from Ground-Based and Helicopter-Borne Measurements and AIS-Based Modeling. Atmos. Chem. Phys. 2015, 15, 5229–5241. [Google Scholar] [CrossRef]
- Ministerieel Besluit van 8 Januari 2014—Compendium Voor de Monsterneming, Meting en Analyse van Water (WAC)—Meetonzekerheid (VITO); Belgisch Staatsblad: Brussels, Belgium, 2014.
- Sprinthall, R.C. Basic Statistical Analysis, 9th ed.; Pearson: London, UK, 2011; ISBN 9780205052172. [Google Scholar]
- RBINS Physical State of the Sea—Belgian Coastal Zone—COHERENS UKMO; Royal Belgian Institute of Natural Sciences: Brussels, Belgium, 2025. [CrossRef]
- Knudsen, B.; Lallana, A.L.; Ledermann, L. NOx Emissions from Ships in Danish Waters Assessment of Current Emission Levels and Potential Enforcement Models; The Danish Environmental Protection Agency: Odense, Denmark, 2022. [Google Scholar]
- Sturtz, T.M.; Lindhjem, C.; Chan, L.; Yarwood, G. Final Report Link-Based Modeling Emissions Inventory of Marine Vessels (Ocean Going Vessels) in Transit and at Anchor in the Gulf of Mexico; Texas Commission on Environmental Quality: Austin, TX, USA, 2015. [Google Scholar]
- Goldsworthy, L.; Goldsworthy, B. Modelling of Ship Engine Exhaust Emissions in Ports and Extensive Coastal Waters Based on Terrestrial AIS Data—An Australian Case Study. Environ. Model. Softw. 2015, 63, 45–60. [Google Scholar] [CrossRef]
- Yau, P.S.; Lee, S.C.; Corbett, J.J.; Wang, C.; Cheng, Y.; Ho, K.F. Estimation of Exhaust Emission from Ocean-Going Vessels in Hong Kong. Sci. Total Environ. 2012, 431, 299–306. [Google Scholar] [CrossRef]
- Devore, J.; Berk, K.; Carlton, M. Modern Mathematical Statistics with Applications, 3rd ed.; Springer: Berlin/Heidelberg, Germany, 2011. [Google Scholar]
- Johansson, L.; Jalkanen, J.-P.; Kukkonen, J. Global Assessment of Shipping Emissions in 2015 on a High Spatial and Temporal Resolution. Atmos. Environ. 2017, 167, 403–415. [Google Scholar] [CrossRef]
- Global Maritime Hub COSCO Joins Lead Group of Scrubber Users! Available online: https://globalmaritimehub.com/cosco-joins-lead-group-of-scrubber-users.html (accessed on 7 March 2025).
- Van Roy, W.; Merveille, J.-B.; Van Nieuwenhove, A.; Scheldeman, K.; Maes, F. Policy Recommendations for International Regulations Addressing Air Pollution from Ships. Mar. Policy 2024, 159, 105913. [Google Scholar] [CrossRef]
- Degiuli, N.; Martić, I.; Farkas, A.; Gospić, I. The Impact of Slow Steaming on Reducing CO2 Emissions in the Mediterranean Sea. Energy Rep. 2021, 7, 8131–8141. [Google Scholar] [CrossRef]
- SCIPPER. SCIPPER Project Finds High Nitrogen Oxides Emissions of Tier III Vessels from Remote Measurements in North European Seas; The SCIPPER Project (European Union’s Horizon 2020): Brussels, Belgium, 2023. [Google Scholar]
- Heywood, J. Internal Combustion Engine Fundamentals, 2nd ed.; McGraw-Hill Education Ltd.: London, UK, 2018. [Google Scholar]
- DNV-GL. Energy Management Study 2015, Energy Efficient Operation-What Really Matters; DNV: Yokohama, Japan, 2015. [Google Scholar]
- Corbett, J.J.; Lack, D.A.; Winebrake, J.J.; Harder, S.; Silberman, J.A.; Gold, M. Arctic Shipping Emissions Inventories and Future Scenarios. Atmos. Chem. Phys. 2010, 10, 9689–9704. [Google Scholar] [CrossRef]
- Bonn Agreement. BE-AWARE: Summary Report; Bonn Agreement: London, UK, 2014. [Google Scholar]
- Sinha, P.; Hobbs, P.V.; Yokelson, R.J.; Christian, T.J.; Kirchstetter, T.W.; Bruintjes, R. Emissions of Trace Gases and Particles from Two Ships in the Southern Atlantic Ocean. Atmos. Environ. 2003, 37, 2139–2148. [Google Scholar] [CrossRef]
- Rutherford, D.; Director, P.; Comer, B.; Durbin, T.; Jiang, Y.; Yang, J.; Karavalakis, G.; Cocker, D.; Fofi, E.; Jung, H.; et al. Black Carbon Measurement Methods and Emission Factors from Ships; International Council on Clean Transportation: Washington, DC, USA, 2016. [Google Scholar]
- Petzold, A.; Hasselbach, J.; Lauer, P.; Baumann, R.; Franke, K.; Gurk, C.; Schlager, H.; Weingartner, E. Experimental Studies on Particle Emissions from Cruising Ship, Their Characteristic Properties, Transformation and Atmospheric Lifetime in the Marine Boundary Layer. Atmos. Chem. Phys. 2008, 8, 2387–2403. [Google Scholar] [CrossRef]
- Fuglestvedt, J.S.; Shine, K.P.; Berntsen, T.; Cook, J.; Lee, D.S.; Stenke, A.; Skeie, R.B.; Velders, G.J.M.; Waitz, I.A. Transport Impacts on Atmosphere and Climate: Metrics. Atmos. Environ. 2010, 44, 4648–4677. [Google Scholar] [CrossRef]
- Dentener, F.; Kinne, S.; Bond, T.; Boucher, O.; Cofala, J.; Generoso, S.; Ginoux, P.; Gong, S.; Hoelzemann, J.J.; Ito, A.; et al. Emissions of Primary Aerosol and Precursor Gases in the Years 2000 and 1750 Prescribed Data-Sets for AeroCom. Atmos. Chem. Phys. 2006, 6, 4321–4344. [Google Scholar] [CrossRef]








Disclaimer/Publisher’s Note: The statements, opinions and data contained in all publications are solely those of the individual author(s) and contributor(s) and not of MDPI and/or the editor(s). MDPI and/or the editor(s) disclaim responsibility for any injury to people or property resulting from any ideas, methods, instructions or products referred to in the content. |
© 2025 by the authors. Licensee MDPI, Basel, Switzerland. This article is an open access article distributed under the terms and conditions of the Creative Commons Attribution (CC BY) license (https://creativecommons.org/licenses/by/4.0/).
Share and Cite
Van Roy, W.; Merveille, J.-B.; Scheldeman, K.; Van Nieuwenhove, A.; Schallier, R. Airborne Measurements of Real-World Black Carbon Emissions from Ships. Atmosphere 2025, 16, 840. https://doi.org/10.3390/atmos16070840
Van Roy W, Merveille J-B, Scheldeman K, Van Nieuwenhove A, Schallier R. Airborne Measurements of Real-World Black Carbon Emissions from Ships. Atmosphere. 2025; 16(7):840. https://doi.org/10.3390/atmos16070840
Chicago/Turabian StyleVan Roy, Ward, Jean-Baptiste Merveille, Kobe Scheldeman, Annelore Van Nieuwenhove, and Ronny Schallier. 2025. "Airborne Measurements of Real-World Black Carbon Emissions from Ships" Atmosphere 16, no. 7: 840. https://doi.org/10.3390/atmos16070840
APA StyleVan Roy, W., Merveille, J.-B., Scheldeman, K., Van Nieuwenhove, A., & Schallier, R. (2025). Airborne Measurements of Real-World Black Carbon Emissions from Ships. Atmosphere, 16(7), 840. https://doi.org/10.3390/atmos16070840

