Runaway Climate Across the Wider Caribbean and Eastern Tropical Pacific in the Anthropocene: Threats to Coral Reef Conservation, Restoration, and Social–Ecological Resilience
Abstract
1. Introduction
2. Materials and Methods
3. Results
3.1. Regional Temperature Anomaly Patterns 1940–2023
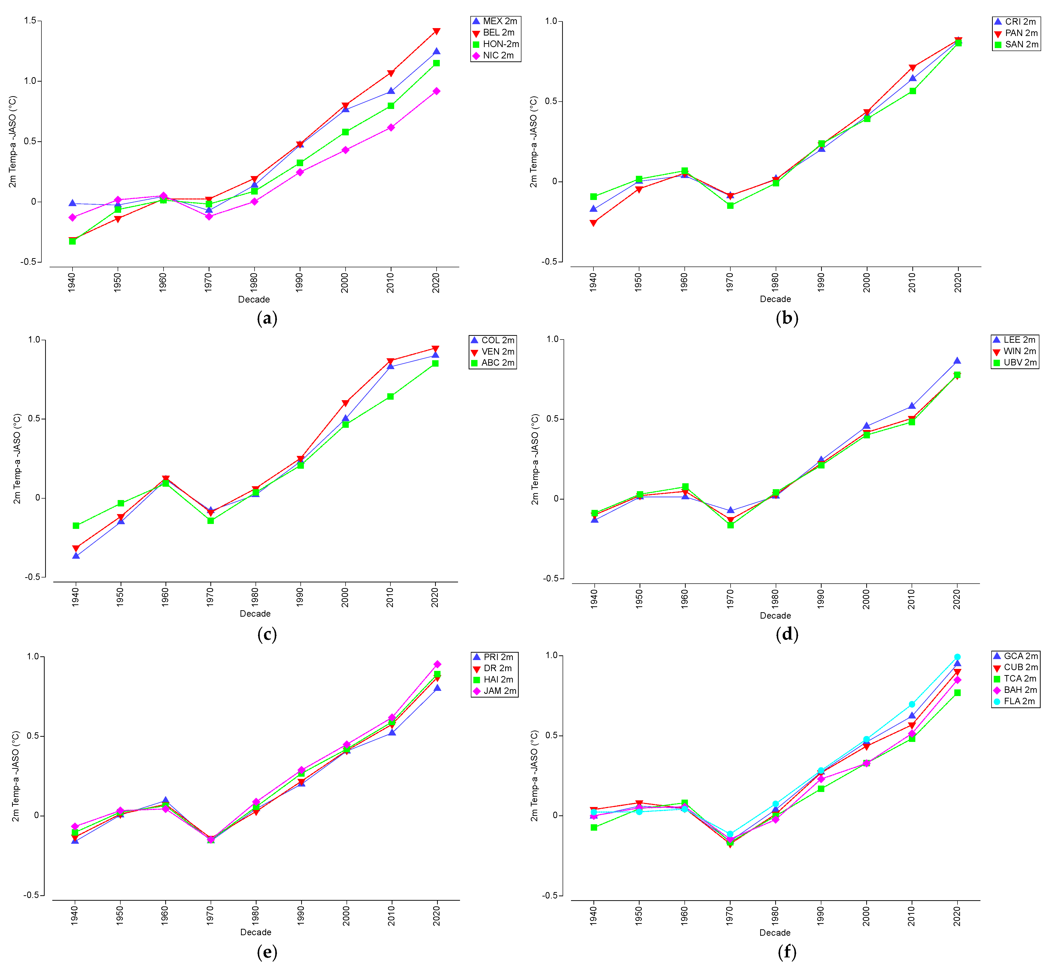
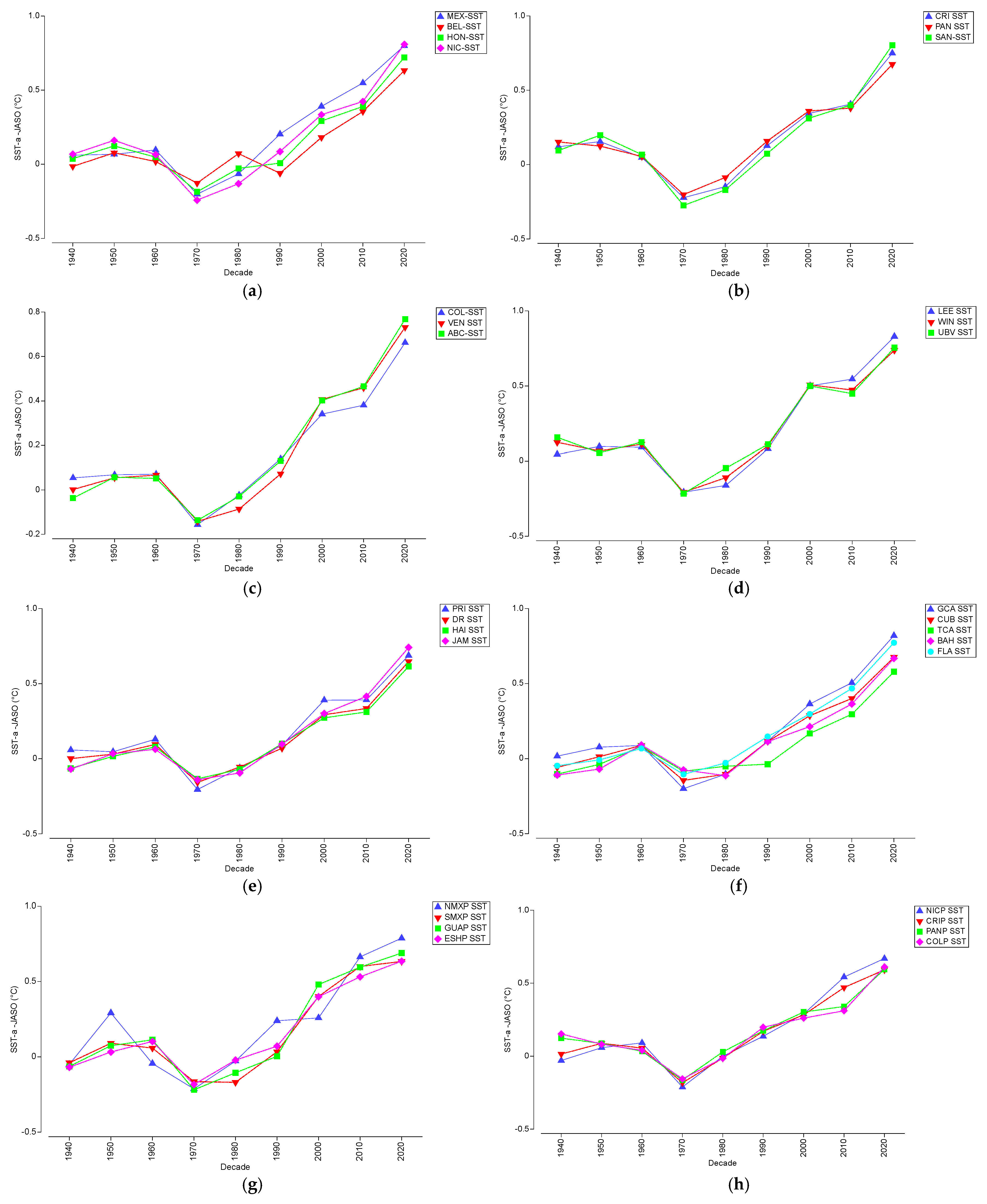
3.2. Country-Level Temperature Anomaly Patterns 1940–2023
3.3. Modeled Historical Variation in Temperature Anomalies 1851–2100—Scenario 4.5
3.4. Modeled Historical Variation in Temperature Anomalies 1851–2100—Scenario 8.5
3.5. Observed Vs. Modeled Variation in JASO Temperature Anomalies in 2015–2024
4. Discussion
4.1. Spatio-Temporal Variation in JASO Temperature Anomalies 1940–2023
4.2. Spatio-Temporal Variation in JASO Temperature Anomalies 1851–2100—Scenario 4.5
4.3. Spatio-Temporal Variation in JASO Temperature Anomalies 1851–2100—Scenario 8.5
4.4. Factors Explaining Regional SST Warming Trends
4.5. Regional Consequences of Projected Warming Trends
4.6. SOS for Coral Reefs—The Urgency for Adaptive Coral Conservation and Restoration Strategies
4.6.1. Select and Cultivate Climate-Resilient Coral Species
4.6.2. Increase Restoration Efficiency, Focusing on Scale and Cost Effectiveness of Deployment
4.6.3. Advanced Coral Propagation Techniques
4.6.4. Ensure the Restoration of Endangered Coral Species Proceeds Within a Population-Genetics Management Context
4.6.5. Dynamic Site Selection
4.6.6. Enhanced Monitoring and Rapid Response
4.6.7. Thermal Tolerance and Pre-Stress Conditioning
4.6.8. Support a Holistic Approach to Coral Reef Ecosystem Restoration [194,195]
4.6.9. Integration of Local and Traditional Knowledge
4.6.10. Restoration of Adjacent Ecosystems
4.6.11. Innovation in Restoration Techniques
4.6.12. Climate-Ready Infrastructure
4.6.13. Policy, Funding, International Cooperation, and Governance
4.6.14. Adaptive Management and Continuous Learning
4.6.15. Develop and Promote the Use of Standardized Terms and Metrics for Coral Reef Restoration
4.6.16. Support Coral Reef Restoration Practitioners Working in Diverse Geographic Locations
4.6.17. Public Awareness and Education
4.7. Timely Adaptation and Mitigation Strategies for Developing Nations and Small Island Developing States Across the WC and ETP
4.7.1. Promote National–Regional Lobbying, Activism and Advocacy Actions for Change
4.7.2. Promote Sustainable Development
4.7.3. Water Resource Management
4.7.4. Integrated Waste Management Systems
4.7.5. Ecosystem-Based Adaptation
4.7.6. Restore Shallow Coral Reef Resilience
4.7.7. Sustainable Fisheries Management
4.7.8. Sustainable Tourism
4.7.9. Renewable Energy Development
4.7.10. Climate Resilient Infrastructure
4.7.11. Disaster Risk Reduction
4.7.12. Education and Capacity Building of Different Societal Sectors
5. Conclusions
Supplementary Materials
Author Contributions
Funding
Institutional Review Board Statement
Informed Consent Statement
Data Availability Statement
Acknowledgments
Conflicts of Interest
References
- IPCC. Climate change 2021: The physical science basis. In Contribution of Working Group I to the Sixth Assessment Report of the Intergovernmental Panel on Climate Change; Cambridge University Press: Cambridge, UK, 2021; Available online: www.ipcc.ch/report/ar6/wg1/ (accessed on 15 October 2024).
- Hobday, A.J.; Alexander, L.V.; Perkins, S.E.; Smale, D.A.; Straub, S.C.; Oliver, E.C.; Benthuysen, J.A.; Burrows, M.T.; Donat, M.G.; Feng, M.; et al. A hierarchical approach to defining marine heatwaves. Prog. Oceanogr. 2016, 141, 227–238. [Google Scholar] [CrossRef]
- Dutheil, C.; Lal, S.; Lengaigne, M.; Cravatte, S.; Menkès, C.; Receveur, A.; Börgel, F.; Gröger, M.; Houlbreque, F.; Le Gendre, R.; et al. The massive 2016 marine heatwave in the Southwest Pacific: An “El Niño–Madden-Julian Oscillation” compound event. Sci. Adv. 2024, 10, eadp2948. [Google Scholar] [CrossRef]
- Hoegh-Guldberg, O.; Skirving, W.; Dove, S.G.; Spady, B.L.; Norrie, A.; Geiger, E.F.; Liu, G.; De La Cour, J.L.; Manzello, D.P. Coral reefs in peril in a record-breaking year. Science 2023, 382, 1238–1240. [Google Scholar] [CrossRef]
- Goessling, H.F.; Rackow, T.; Jung, T. Recent global temperature surge intensified by record-low planetary albedo. Science 2025, 387, 68–73. [Google Scholar] [CrossRef] [PubMed]
- Mejias-Rivera, C.L.; Courtney, T.A. Ocean warming, heat stress, and coral bleaching in Puerto Rico. Caribb. J. Sci. 2024, 54, 132–149. [Google Scholar] [CrossRef]
- Lachs, L.; Bozec, Y.M.; Bythell, J.C.; Donner, S.D.; East, H.K.; Edwards, A.J.; Golbuu, Y.; Gouezo, M.; Guest, J.R.; Humanes, A.; et al. Natural selection could determine whether Acropora corals persist under expected climate change. Science 2024, 386, 1289–1294. [Google Scholar] [CrossRef] [PubMed]
- Baum, J.K.; Claar, D.C.; Tietjen, K.L.; Magel, J.M.; Maucieri, D.G.; Cobb, K.M.; McDevitt-Irwin, J.M. Transformation of coral communities subjected to an unprecedented heatwave is modulated by local disturbance. Sci. Adv. 2023, 9, eabq5615. [Google Scholar] [CrossRef]
- Wang, S.; Foster, A.; Lenz, E.A.; Kessler, J.D.; Stroeve, J.C.; Anderson, L.O.; Turetsky, M.; Betts, R.; Zou, S.; Liu, W.; et al. Mechanisms and impacts of Earth system tipping elements. Rev. Geophys. 2023, 61, e2021RG000757. [Google Scholar] [CrossRef]
- Donovan, M.K.; Burkepile, D.E.; Kratochwill, C.; Shlesinger, T.; Sully, S.; Oliver, T.A.; Hodgson, G.; Freiwald, J.; van Woesik, R. Local conditions magnify coral loss after marine heatwaves. Science 2021, 372, 977–980. [Google Scholar] [CrossRef]
- Wiedenmann, J.; D’Angelo, C.; Smith, E.G.; Hunt, A.N.; Legiret, F.E.; Postle, A.D.; Achterberg, E.P. Nutrient enrichment can increase the susceptibility of reef corals to bleaching. Nat. Clim. Change 2013, 3, 160–164. [Google Scholar] [CrossRef]
- Vega Thurber, R.L.; Burkepile, D.E.; Fuchs, C.; Shantz, A.A.; McMinds, R.; Zaneveld, J.R. Chronic nutrient enrichment increases prevalence and severity of coral disease and bleaching. Global Change Biol. 2014, 20, 544–554. [Google Scholar] [CrossRef]
- Burkepile, D.E.; Shantz, A.A.; Adam, T.C.; Munsterman, K.S.; Speare, K.E.; Ladd, M.C.; Rice, M.M.; Ezzat, L.; McIlroy, S.; Wong, J.C.; et al. Nitrogen identity drives differential impacts of nutrients on coral bleaching and mortality. Ecosystems 2020, 23, 798–811. [Google Scholar] [CrossRef]
- Fernandes de Barros Marangoni, L.; Ferrier-Pagès, C.; Rottier, C.; Bianchini, A.; Grover, R. Unravelling the different causes of nitrate and ammonium effects on coral bleaching. Sci. Rep. 2020, 10, 11975. [Google Scholar] [CrossRef] [PubMed]
- Lesser, M.P. Eutrophication on coral reefs: What is the evidence for phase shifts, nutrient limitation and coral bleaching. BioScience 2021, 71, 1216–1233. [Google Scholar] [CrossRef]
- Starko, S.; Fifer, J.E.; Claar, D.C.; Davies, S.W.; Cunning, R.; Baker, A.C.; Baum, J.K. Marine heatwaves threaten cryptic coral diversity and erode associations among coevolving partners. Sci. Adv. 2023, 9, eadf0954. [Google Scholar] [CrossRef]
- Romanou, A.; Hegerl, G.; Seneviratne, S.; Abis, B.; Bastos, A.; Conversi, A.; Landolfi, A.; Kim, H.; Lerner, P.; Mekus, J.; et al. Extreme events contributing to tipping elements and tipping points. Surv. Geophys. 2024, 2024, 1–46. [Google Scholar] [CrossRef]
- Wunderling, N.; Donges, J.F.; Kurths, J.; Winkelmann, R. Interacting tipping elements increase risk of climate domino effects under global warming. Earth Syst. Dyn. Disc. 2021, 12, 601–619. [Google Scholar] [CrossRef]
- Wunderling, N.; Winkelmann, R.; Rockström, J.; Loriani, S.; Armstrong McKay, D.I.; Ritchie, P.D.; Sakschewski, B.; Donges, J.F. Global warming overshoots increase risks of climate tipping cascades in a network model. Nature Clim. Change. 2023, 13, 75–82. [Google Scholar] [CrossRef]
- Wunderling, N.; von der Heydt, A.S.; Aksenov, Y.; Barker, S.; Bastiaansen, R.; Brovkin, V.; Brunetti, M.; Couplet, V.; Kleinen, T.; Lear, C.H.; et al. Climate tipping point interactions and cascades: A review. Earth Syst. Dyn. 2024, 15, 41–74. [Google Scholar] [CrossRef]
- Braun, C.D.; Lezama-Ochoa, N.; Farchadi, N.; Arostegui, M.C.; Alexander, M.; Allyn, A.; Bograd, S.J.; Brodie, S.; Crear, D.P.; Curtis, T.H.; et al. Widespread habitat loss and redistribution of marine top predators in a changing ocean. Sci. Adv. 2023, 9, eadi2718. [Google Scholar] [CrossRef]
- Laufkötter, C.; Zscheischler, J.; Frölicher, T.L. High-impact marine heatwaves attributable to human-induced global warming. Science 2020, 369, 1621–1625. [Google Scholar] [CrossRef] [PubMed]
- Dalton, S.J.; Carroll, A.G.; Sampayo, E.; Roff, G.; Harrison, P.L.; Entwistle, K.; Huang, Z.; Salih, A.; Diamond, S.L. Successive marine heatwaves cause disproportionate coral bleaching during a fast phase transition from El Niño to La Niña. Sci. Total Environ. 2020, 715, 136951. [Google Scholar] [CrossRef]
- Asner, G.P.; Vaughn, N.R.; Martin, R.E.; Foo, S.A.; Heckler, J.; Neilson, B.J.; Gove, J.M. Mapped coral mortality and refugia in an archipelago-scale marine heat wave. Proc. Natl. Acad. Sci. USA 2022, 119, e2123331119. [Google Scholar] [CrossRef] [PubMed]
- Shlesinger, T.; van Woesik, R. Oceanic differences in coral-bleaching responses to marine heatwaves. Sci. Total Environ. 2023, 871, 162113. [Google Scholar] [CrossRef]
- Goreau, T.J.; Hayes, R.L. 2023 Record marine heat waves: Coral reef bleaching HotSpot maps reveal global sea surface temperature extremes, coral mortality, and ocean circulation changes. Oxf. Open Clim. Change 2024, 4, kgae005. [Google Scholar] [CrossRef]
- Godinot, C.; Houlbrèque, F.; Grover, R.; Ferrier-Pagès, C. Coral uptake of inorganic phosphorus and nitrogen negatively affected by simultaneous changes in temperature and pH. PLoS ONE 2011, 6, e25024. [Google Scholar] [CrossRef]
- Hughes, T.P.; Rodrigues, M.J.; Bellwood, D.R.; Ceccarelli, D.; Hoegh-Guldberg, O.; McCook, L.; Moltschaniwskyj, N.; Pratchett, M.S.; Steneck, R.S.; Willis, B. Phase shifts, herbivory, and the resilience of coral reefs to climate change. Current Biol. 2007, 17, 360–365. [Google Scholar] [CrossRef]
- Leggat, W.P.; Camp, E.F.; Suggett, D.J.; Heron, S.F.; Fordyce, A.J.; Gardner, S.; Deakin, L.; Turner, M.; Beeching, L.J.; Kuzhiumparambil, U.; et al. Rapid coral decay is associated with marine heatwave mortality events on reefs. Curr. Biol. 2019, 29, 2723–2730. [Google Scholar] [CrossRef]
- Anderson, J.J.; Gurarie, E.; Bracis, C.; Burke, B.J.; Laidre, K.L. Modeling climate change impacts on phenology and population dynamics of migratory marine species. Ecol. Mod. 2013, 264, 83–97. [Google Scholar] [CrossRef]
- Alvarez-Filip, L.; Estrada-Saldívar, N.; Pérez-Cervantes, E.; Molina-Hernández, A.; González-Barrios, F.J. A rapid spread of the stony coral tissue loss disease outbreak in the Mexican Caribbean. PeerJ 2019, 7, e8069. [Google Scholar] [CrossRef]
- Bernal-Sotelo, K.; Acosta, A.; Cortés, J. Decadal change in the population of Dendrogyra cylindrus (Scleractinia: Meandrinidae) in old providence and St. Catalina Islands, Colombian Caribbean. Front. Mar. Sci. 2019, 5, 513. [Google Scholar] [CrossRef]
- Chan, A.N.; Lewis, C.L.; Neely, K.L.; Baums, I.B. Fallen pillars: The past, present, and future population dynamics of a rare, specialist coral–algal symbiosis. Front. Mar. Sci. 2019, 6, 218. [Google Scholar] [CrossRef]
- Estrada-Saldívar, N.; Molina-Hernández, A.; Pérez-Cervantes, E.; Medellín-Maldonado, F.; González-Barrios, F.J.; Alvarez-Filip, L. Reef-scale impacts of the stony coral tissue loss disease outbreak. Coral Reefs 2020, 39, 861–866. [Google Scholar] [CrossRef]
- Estrada-Saldívar, N.; Quiroga-García, B.A.; Pérez-Cervantes, E.; Rivera-Garibay, O.O.; Alvarez-Filip, L. Effects of the stony coral tissue loss disease outbreak on coral communities and the benthic composition of Cozumel reefs. Front. Mar. Sci. 2021, 8, 632777. [Google Scholar] [CrossRef]
- Jones, N.P.; Kabay, L.; Semon Lunz, K.; Gilliam, D.S. Temperature stress and disease drives the extirpation of the threatened pillar coral, Dendrogyra cylindrus, in southeast Florida. Sci. Rep. 2021, 11, 14113. [Google Scholar] [CrossRef]
- Cavada-Blanco, F.; Croquer, A.; Vermeij, M.; Goergen, L.; Rodriguez, R. Dendrogyra cylindrus: Extinction risk assessment. In The Red List of Threatened Species; IUCN: Gland, Switzerland, 2022. [Google Scholar]
- Alvarez-Filip, L.; González-Barrios, F.J.; Pérez-Cervantes, E.; Molina-Hernández, A.; Estrada-Saldívar, N. Stony coral tissue loss disease decimated Caribbean coral populations and reshaped reef functionality. Commun. Biol. 2022, 5, 440. [Google Scholar] [CrossRef]
- Mellin, C.; Brown, S.; Cantin, N.; Klein-Salas, E.; Mouillot, D.; Heron, S.F.; Fordham, D.A. Cumulative risk of future bleaching for the world’s coral reefs. Sci. Adv. 2024, 10, eadn9660. [Google Scholar] [CrossRef] [PubMed]
- Hays, G.C.; Richardson, A.J.; Robinson, C. Climate change and marine plankton. Trends Ecol. Evol. 2005, 20, 337–344. [Google Scholar] [CrossRef]
- Pesce, M.; Critto, A.; Torresan, S.; Giubilato, E.; Santini, M.; Zirino, A.; Ouyang, W.; Marcomini, A. Modelling climate change impacts on nutrients and primary production in coastal waters. Sci. Total Environ. 2018, 628, 919–937. [Google Scholar] [CrossRef]
- Raven, J.A.; Beardall, J. Influence of global environmental change on plankton. J. Plankton Res. 2021, 43, 779–800. [Google Scholar] [CrossRef]
- Möllmann, C.; Müller-Karulis, B.; Kornilovs, G.; St. John, M.A. Effects of climate and overfishing on zooplankton dynamics and ecosystem structure: Regime shifts, trophic cascade, and feedback loops in a simple ecosystem. ICES J. Mar. Sci. 2008, 65, 302–310. [Google Scholar] [CrossRef]
- Kirby, R.R.; Beaugrand, G.; Lindley, J.A. Synergistic effects of climate and fishing in a marine ecosystem. Ecosystems 2009, 12, 48–61. [Google Scholar] [CrossRef]
- Pratchett, M.S.; Munday, P.L.; Graham, N.A.; Kronen, M.; Pinca, S.; Friedman, K.; Brewer, T.D.; Bell, J.D.; Wilson, S.K.; Cinner, J.E.; et al. Vulnerability of coastal fisheries in the tropical Pacific to climate change. In Vulnerability of Tropical Pacific Fisheries and Aquaculture to Climate Change; Bell, J.D., Johnson, J.E., Hobday, A.J., Eds.; Secretariat of the Pacific Community: Noumea, New Caledonia, 2011; Chapter 9; pp. 167–185. [Google Scholar]
- Hayashida, H.; Matear, R.J.; Strutton, P.G. Background nutrient concentration determines phytoplankton bloom response to marine heatwaves. Global Change Biol. 2020, 26, 4800–4811. [Google Scholar] [CrossRef]
- Wyatt, A.M.; Resplandy, L.; Marchetti, A. Ecosystem impacts of marine heat waves in the Northeast Pacific. Biogeosciences 2022, 19, 5689–5705. [Google Scholar] [CrossRef]
- Kauppi, L.; Göbeler, N.; Norkko, J.; Norkko, A.; Romero-Ramirez, A.; Bernard, G. Changes in macrofauna bioturbation during repeated heatwaves mediate changes in biogeochemical cycling of nutrients. Front. Mar. Sci. 2023, 9, 1070377. [Google Scholar] [CrossRef]
- Serrano, O.; Arias-Ortiz, A.; Duarte, C.M.; Kendrick, G.A.; Lavery, P.S. Impact of marine heatwaves on seagrass ecosystems. In Ecosystem Collapse and Climate Change; Springer International Publishing: Cham, Switzerland, 2021; pp. 345–364. [Google Scholar]
- Alvarez-Filip, L.; Dulvy, N.K.; Gill, J.A.; Côté, I.M.; Watkinson, A.R. Flattening of Caribbean coral reefs: Region-wide declines in architectural complexity. Proc. R. Soc. B: Biol. Sci. 2009, 276, 3019–3025. [Google Scholar] [CrossRef]
- Alvarez-Filip, L.; Paddack, M.J.; Collen, B.; Robertson, D.R.; Côté, I.M. Simplification of Caribbean reef-fish assemblages over decades of coral reef degradation. PLoS ONE 2015, 10, e0126004. [Google Scholar] [CrossRef]
- Hernández-Delgado, E.A.; Alejandro-Camis, P.; Cabrera-Beauchamp, G.; Fonseca-Miranda, J.S.; Gómez-Andújar, N.X.; Gómez, P.; Guzmán-Rodríguez, R.; Olivo-Maldonado, I.; Suleimán-Ramos, S.E. Stronger hurricanes and climate change in the Caribbean Sea: Threats to the sustainability of endangered coral species. Sustainability 2024, 16, 1506. [Google Scholar] [CrossRef]
- Allison, E.H.; Perry, A.L.; Badjeck, M.C.; Adger, W.N.; Brown, K.; Conway, D.; Halls, A.S.; Pilling, G.M.; Reynolds, J.D.; Andrew, N.L.; et al. Vulnerability of national economies to the impacts of climate change on fisheries. Fish Fish. 2009, 10, 173–196. [Google Scholar] [CrossRef]
- Burge, C.A.; Eakin, C.M.; Friedman, C.S.; Froelich, B.; Hershberger, P.K.; Hofmann, E.E.; Petes, L.E.; Prager, K.C.; Weil, E.; Willis, B.L.; et al. Climate change influences on marine infectious diseases: Implications for management and society. Annu. Rev. Mar. Sci. 2014, 6, 249–277. [Google Scholar] [CrossRef]
- Tracy, A.M.; Pielmeier, M.L.; Yoshioka, R.M.; Heron, S.F.; Harvell, C.D. Increases and decreases in marine disease reports in an era of global change. Proc. R. Soc. B 2019, 286, 20191718. [Google Scholar] [CrossRef] [PubMed]
- Byers, J.E. Marine parasites and disease in the era of global climate change. Annu. Rev. Mar. Sci. 2021, 13, 397–420. [Google Scholar] [CrossRef] [PubMed]
- Armstrong McKay, D.I.; Staal, A.; Abrams, J.F.; Winkelmann, R.; Sakschewski, B.; Loriani, S.; Fetzer, I.; Cornell, S.E.; Rockström, J.; Lenton, T.M. Exceeding 1.5 °C global warming could trigger multiple climate tipping points. Science 2022, 377, eabn7950. [Google Scholar] [CrossRef]
- Lenton, T.M.; Held, H.; Kriegler, E.; Hall, J.W.; Lucht, W.; Rahmstorf, S.; Schellnhuber, H.J. Tipping elements in the Earth’s climate system. Proc. Natl. Acad. Sci. USA 2008, 105, 1786–1793. [Google Scholar] [CrossRef]
- Lenton, T.M. Environmental tipping points. Annu. Rev. Environ. Resour. 2013, 38, 1–29. [Google Scholar] [CrossRef]
- Goldblatt, C.; Watson, A.J. The runaway greenhouse: Implications for future climate change, geoengineering and planetary atmospheres. Philos. Trans. Royal Soc. A Math. Phys. Eng. Sci. 2012, 370, 4197–4216. [Google Scholar] [CrossRef]
- Hernández-Delgado, E.A.; Laureano, R. Bringing back the fish: Sustainable success of community-based restoration of Elkhorn coral (Acropora palmata) in Vega Baja, Puerto Rico (2008–2023). Sustainability 2024, 16, 5985. [Google Scholar] [CrossRef]
- Dietz, S.; Rising, J.; Stoerk, T.; Wagner, G. Economic impacts of tipping points in the climate system. Proc. Natl. Acad. Sci. USA 2021, 118, e2103081118. [Google Scholar] [CrossRef] [PubMed]
- Kopp, R.E.; Hayhoe, K.; Easterling, D.R.; Hall, T.; Horton, R.; Kunkel, K.E.; LeGrande, A.N. Potential surprises—Compound extremes and tipping elements. In Climate Science Special Report: Fourth National Climate Assessment; Wuebbles, D.J., Fahey, D.W., Hibbard, K.A., Dokken, D.J., Stewart, B.C., Maycock, T.K., Eds.; US Global Change Research Program: Washington, DC, USA, 2017; Volume 1, pp. 411–429. [Google Scholar]
- Smith, K.E.; Burrows, M.T.; Hobday, A.J.; Sen Gupta, A.; Moore, P.J.; Thomsen, M.; Wernberg, T.; Smale, D.A. Socioeconomic impacts of marine heatwaves: Global issues and opportunities. Science 2021, 374, eabj3593. [Google Scholar] [CrossRef]
- Emanuel, K.A. Downscaling CMIP5 climate models shows increased tropical cyclone activity over the 21st century. Proc. Natl. Acad. Sci. USA 2013, 110, 12219–12224. [Google Scholar] [CrossRef]
- Knutson, T.R.; Sirutis, J.J.; Vecchi, G.A.; Garner, S.; Zhao, M.; Kim, H.-S.; Bender, M.; Tuleya, R.E.; Held, I.M.; Villarini, G. Dynamical downscaling projections of twenty-first-century Atlantic Hurricane activity: CMIP3 and CMIP5 model-based scenarios. J. Clim. 2013, 26, 6591–6617. [Google Scholar] [CrossRef]
- Hernández-Delgado, E.A. The emerging threats of climate change on tropical coastal ecosystem services, public health, local economies and livelihood sustainability of small islands: Cumulative impacts and synergies. Mar. Pollut. Bull. 2015, 101, 5–28. [Google Scholar] [CrossRef] [PubMed]
- Climate Reanalyzer (n.d.). [Monthly Reanalysis Timeseries]. Climate Change Institute, University of Maine. Available online: https://climatereanalyzer.org/ (accessed on 10 November 2024).
- Hersbach, H.; Bell, B.; Berrisford, P.; Biavati, G.; Horányi, A.; Muñoz Sabater, J.; Nicolas, J.; Peubey, C.; Radu, R.; Rozum, I.; et al. ERA5 Monthly Averaged Data on Single Levels from 1940 to Present. Copernicus Climate Change Service (C3S) Climate Data Store (CDS). 2023. Available online: https://cds.climate.copernicus.eu/datasets/reanalysis-era5-single-levels-monthly-means?tab=overview (accessed on 1 October 2024).
- Eyring, V.; Bony, S.; Meehl, G.A.; Senior, C.A.; Stevens, B.; Stouffer, R.J.; Taylor, K.E. Overview of the Coupled Model Intercomparison Project Phase 6 (CMIP6) experimental design and organization. Geosci. Model Dev. 2016, 9, 1937–1958. [Google Scholar] [CrossRef]
- Anderson, M.J.; Gorley, R.N.; Clarke, K.R. PERMANOVA+ for PRIMER: Guide to Software and Statistical Methods; Massey University: Auckland, New Zealand; PRIMER-e Ltd.: Plymouth, UK, 2008. [Google Scholar]
- Clarke, K.R.; Gorley, R.N.; Somerfield, P.J.; Warwick, R.M. Change in Marine Communities: An Approach to Statistical Analysis and Interpretation, 3rd ed.; PRIMER-E: Plymouth, UK, 2014. [Google Scholar]
- Philander, S.G.; Rasmusson, E.M. The southern oscillation and El Niño. Adv. Geophys. 1985, 28, 197–215. [Google Scholar]
- Vega, M.J.; Alvarez-Silva, O.; Restrepo, J.C.; Ortiz, J.C.; Otero, L.J. Interannual variability of wave climate in the Caribbean Sea. Ocean Dyn. 2020, 70, 965–976. [Google Scholar] [CrossRef]
- Tartaglione, C.A.; Smith, S.R.; O’Brien, J.J. ENSO impact on hurricane landfall probabilities for the Caribbean. J. Clim. 2003, 16, 2925–2931. [Google Scholar] [CrossRef]
- Klotzbach, P.J. The influence of El Niño–Southern Oscillation and the Atlantic multidecadal oscillation on Caribbean tropical cyclone activity. J. Clim. 2011, 24, 721–731. [Google Scholar] [CrossRef]
- Hurrell, J.W.; Deser, C. North Atlantic climate variability: The role of the North Atlantic Oscillation. J. Mar. Syst. 2010, 79, 231–244. [Google Scholar] [CrossRef]
- Hetzinger, S.; Pfeiffer, M.; Dullo, W.C.; Garbe-Schönberg, D.; Halfar, J. Rapid 20th century warming in the Caribbean and impact of remote forcing on climate in the northern tropical Atlantic as recorded in a Guadeloupe coral. Palaeogeogr. Palaeoclimatol. Palaeoecol. 2010, 296, 111–124. [Google Scholar] [CrossRef]
- Jury, M.; Malmgren, B.A.; Winter, A. Subregional precipitation climate of the Caribbean and relationships with ENSO and NAO. J. Geophys. Res. Atmos. 2007, 112, D16107. [Google Scholar] [CrossRef]
- Moron, V.; Gouirand, I.; Taylor, M. Weather types across the Caribbean basin and their relationship with rainfall and sea surface temperature. Clim. Dyn. 2016, 47, 601–621. [Google Scholar] [CrossRef]
- Stephenson, T.S.; Vincent, L.A.; Allen, T.; Van Meerbeeck, C.J.; McLean, N.; Peterson, T.C.; Taylor, M.A.; Aaron-Morrison, A.P.; Auguste, T.; Bernard, D.; et al. Changes in extreme temperature and precipitation in the Caribbean region, 1961–2010. Int. J. Climatol. 2014, 34, 2957–2971. [Google Scholar] [CrossRef]
- Simonti, A.L.; Eastman, J.R. 2005 Caribbean mass coral bleaching event: A sea surface temperature empirical orthogonal teleconnection analysis. J. Geophys. Res. Ocean. 2010, 115, C11009. [Google Scholar] [CrossRef]
- Vimont, D.J.; Kossin, J.P. The Atlantic meridional mode and hurricane activity. Geophys. Res. Lett. 2007, 34, L07709. [Google Scholar] [CrossRef]
- Lizcano-Sandoval, L.D.; Marulanda-Gómez, Á.; López-Victoria, M.; Rodriguez-Ramirez, A. Climate change and Atlantic Multidecadal Oscillation as drivers of recent declines in coral growth rates in the Southwestern Caribbean. Front. Mar. Sci. 2019, 6, 38. [Google Scholar] [CrossRef]
- Jury, M.R. MJO influence in the Caribbean. Theor. Appl. Climatol. 2020, 139, 1559–1567. [Google Scholar] [CrossRef]
- Mantua, N.J.; Hare, S.R. The Pacific decadal oscillation. J. Oceanogr. 2002, 58, 35–44. [Google Scholar] [CrossRef]
- Nidheesh, A.G.; Lengaigne, M.; Vialard, J.; Izumo, T.; Unnikrishnan, A.S.; Cassou, C. Influence of ENSO on the Pacific decadal oscillation in CMIP models. Clim. Dyn. 2017, 49, 3309–3326. [Google Scholar] [CrossRef]
- Pierrehumbert, R.T. Thermostats, radiator fins, and the local runaway greenhouse. J. Atm. Sci. 1995, 52, 1784–1806. [Google Scholar] [CrossRef]
- Wang, C. Variability of the Caribbean low-level jet and its relations to climate. Clim. Dyn. 2007, 29, 411–422. [Google Scholar] [CrossRef]
- Wang, C.; Lee, S.K. Atlantic warm pool, Caribbean low-level jet, and their potential impact on Atlantic hurricanes. Geophys. Res. Lett. 2007, 34, L02703. [Google Scholar] [CrossRef]
- Li, H.; Misra, V. Thirty-two-year ocean–atmosphere coupled downscaling of global reanalysis over the Intra-American Seas. Clim. Dyn. 2014, 43, 2471–2489. [Google Scholar] [CrossRef]
- Montoya-Sánchez, R.A.; Devis-Morales, A.; Bernal, G.; Poveda, G. Seasonal and interannual variability of the mixed layer heat budget in the Caribbean Sea. J. Mar. Syst. 2018, 187, 111–127. [Google Scholar] [CrossRef]
- Rajasree, V.P.; Cao, X.; Ramsay, H.; Ocasio, K.M.; Kilroy, G.; Alvey, G.R., III; Chang, M.; Nam, C.C.; Fudeyasu, H.; Teng, H.F.; et al. Tropical cyclogenesis: Controlling factors and physical mechanisms. Trop. Cyclone Res. Rev. 2023, 12, 165–181. [Google Scholar] [CrossRef]
- Jones, P.D.; Harpham, C.; Harris, I.; Goodess, C.M.; Burton, A.; Centella-Artola, A.; Taylor, M.A.; Bezanilla-Morlot, A.; Campbell, J.D.; Stephenson, T.S.; et al. Long-term trends in precipitation and temperature across the Caribbean. Int. J. Climatol. 2016, 36, 3314–3333. [Google Scholar] [CrossRef]
- Zhao, L.; Xu, J.; Powell, A.M.; Jiang, Z. Uncertainties of the global-to-regional temperature and precipitation simulations in CMIP5 models for past and future 100 years. Theor. Appl. Climatol. 2015, 122, 259–270. [Google Scholar] [CrossRef]
- Zhou, C.; Wang, K. Land surface temperature over global deserts: Means, variability, and trends. J. Geophys. Res. Atmos. 2016, 121, 14344–14357. [Google Scholar] [CrossRef]
- Sun, X.; Ren, G.; Xu, W.; Li, Q.; Ren, Y. Global land-surface air temperature change based on the new CMA GLSAT data set. Sci. Bull. 2017, 62, 236–238. [Google Scholar] [CrossRef] [PubMed]
- Sun, C.; Jiang, Z.; Li, W.; Hou, Q.; Li, L. Changes in extreme temperature over China when global warming stabilized at 1.5 °C and 2.0 °C. Sci. Rep. 2019, 9, 14982. [Google Scholar] [CrossRef]
- Sun, X.; Ren, G.; Ren, Y.; Lin, W.; Zhang, P.; Zhang, S.; Xue, X. Asian climate warming since 1901: Observation and simulation. Clim. Res. 2023, 91, 67–82. [Google Scholar] [CrossRef]
- Duan, J.; Li, L.; Chen, L.; Zhang, H. Time-dependent warming amplification over the Tibetan Plateau during the past few decades. Atm. Sci. Lett. 2020, 21, e998. [Google Scholar] [CrossRef]
- Nita, I.A.; Sfîcă, L.; Voiculescu, M.; Birsan, M.V.; Micheu, M.M. Changes in the global mean air temperature over land since 1980. Atm. Res. 2022, 279, 106392. [Google Scholar] [CrossRef]
- Ren, G.; Zhan, Y.; Ren, Y.; Wen, K.; Zhang, Y.; Sun, X.; Zhang, P.; Zheng, X.; Qin, Y.; Zhang, S.; et al. Observed changes in temperature and precipitation over Asia, 1901–2020. Clim. Res. 2023, 90, 31–43. [Google Scholar] [CrossRef]
- Gautam, R.; Pathak, B.; Bhuyan, P.K.; Borgohain, A.; Kundu, S.S. Long-term trend analysis of surface temperature over North-East India and adjoining regions based on CRU and ERA5 reanalysis. J. Earth Syst. Sci. 2024, 133, 141. [Google Scholar] [CrossRef]
- Li, Q.; Dong, W.; Li, W.; Gao, X.; Jones, P.; Kennedy, J.; Parker, D. Assessment of the uncertainties in temperature change in China during the last century. Chin. Sci. Bull. 2010, 55, 1974–1982. [Google Scholar] [CrossRef]
- Yosef, Y.; Aguilar, E.; Alpert, P. Detecting and adjusting artificial biases of long-term temperature records in Israel. Int. J. Climatol. 2018, 38, 3273–3289. [Google Scholar] [CrossRef]
- You, Q.; Min, J.; Fraedrich, K.; Zhang, W.; Kang, S.; Zhang, L.; Meng, X. Projected trends in mean, maximum, and minimum surface temperature in China from simulations. Glob. Planet Change 2014, 112, 53–63. [Google Scholar] [CrossRef]
- Hu, G.; Zhao, L.; Wu, T.; Wu, X.; Park, H.; Li, R.; Zhu, X.; Ni, J.; Zou, D.; Hao, J.; et al. Continued warming of the permafrost regions over the Northern Hemisphere under future climate change. Earth’s Future 2022, 10, e2022EF002835. [Google Scholar] [CrossRef]
- Bove, C.B.; Mudge, L.; Bruno, J.F. A century of warming on Caribbean reefs. PloS Clim. 2022, 1, e0000002. [Google Scholar] [CrossRef]
- Antuña-Marrero, J.C.; Otterå, O.H.; Robock, A.; Mesquita, M.D. Modelled and observed sea surface temperature trends for the Caribbean and Antilles. Int. J. Climatol. 2016, 36, 1873–1886. [Google Scholar] [CrossRef]
- Shi, J.; Hu, C. South Florida estuaries are warming faster than global oceans. Environ. Res. Lett. 2022, 18, 014003. [Google Scholar] [CrossRef]
- Shears, N.T.; Bowen, M.M. Half a century of coastal temperature records reveal complex warming trends in western boundary currents. Sci. Rep. 2017, 7, 14527. [Google Scholar] [CrossRef] [PubMed]
- Alpert, A.E.; Cohen, A.L.; Oppo, D.W.; DeCarlo, T.M.; Gaetani, G.A.; Hernández-Delgado, E.A.; Winter, A.; Gonneea, M.E. Twentieth century warming of the tropical Atlantic captured by Sr-U paleothermometry. Paleoceanography 2017, 32, 146–160. [Google Scholar] [CrossRef]
- Bustos Usta, D.F.; Torres Parra, R.R. Ocean and atmosphere changes in the Caribbean Sea during the twenty-first century using CMIP5 models. Ocean Dyn. 2021, 71, 757–777. [Google Scholar] [CrossRef]
- Karmalkar, A.V.; Taylor, M.A.; Campbell, J.; Stephenson, T.; New, M.; Centella, A.; Benzanilla, A.; Charlery, J. A review of observed and projected changes in climate for the islands in the Caribbean. Atmósfera 2013, 26, 283–309. [Google Scholar] [CrossRef]
- Enfield, D.B.; Mestas-Nuñez, A.M.; Trimble, P.J. The Atlantic multidecadal oscillation and its relation to rainfall and river flows in the continental US. Geophys. Res. Lett. 2001, 28, 2077–2080. [Google Scholar] [CrossRef]
- Alexander, M.A.; Kilbourne, K.H.; Nye, J.A. Climate variability during warm and cold phases of the Atlantic Multidecadal Oscillation (AMO) 1871–2008. J. Mar. Syst. 2014, 133, 14–26. [Google Scholar] [CrossRef]
- Delworth, T.L.; Zhang, R.; Mann, M.E. Decadal to centennial variability of the Atlantic from observations and models. Ocean Circ.: Mech. Impacts 2007, 173, 131–148. [Google Scholar]
- Kavvada, A.; Ruiz-Barradas, A.; Nigam, S. AMO’s structure and climate footprint in observations and IPCC AR5 climate simulations. Clim. Dyn. 2013, 41, 1345–1364. [Google Scholar] [CrossRef]
- Mann, M.E.; Steinman, B.A.; Miller, S.K. On forced temperature changes, internal variability, and the AMO. Geophys. Res. Lett. 2014, 41, 3211–3219. [Google Scholar] [CrossRef]
- Steinman, B.A.; Mann, M.E.; Miller, S.K. Atlantic and Pacific multidecadal oscillations and Northern Hemisphere temperatures. Science 2015, 347, 988–991. [Google Scholar] [CrossRef] [PubMed]
- Mann, M.E.; Steinman, B.A.; Miller, S.K. Absence of internal multidecadal and interdecadal oscillations in climate model simulations. Nat. Comm. 2020, 11, 49. [Google Scholar] [CrossRef] [PubMed]
- Zhang, W.; Mei, X.; Geng, X.; Turner, A.G.; Jin, F.F. A nonstationary ENSO–NAO relationship due to AMO modulation. J. Clim. 2019, 32, 33–43. [Google Scholar] [CrossRef]
- Mann, M.E.; Steinman, B.A.; Brouillette, D.J.; Miller, S.K. Multidecadal climate oscillations during the past millennium driven by volcanic forcing. Science 2021, 371, 1014–1019. [Google Scholar] [CrossRef]
- Houghton, J. The science of global warming. Int. Sci. Rev. 2001, 26, 247–257. [Google Scholar] [CrossRef]
- Sanderson, M.G.; Hemming, D.L.; Betts, R.A. Regional temperature and precipitation changes under high-end (≥4 °C) global warming. Phil. Trans. Royal Soc. A Math. Phys. Eng. Sci. 2011, 369, 85–98. [Google Scholar] [CrossRef]
- Donnelly, C.; Greuell, W.; Andersson, J.; Gerten, D.; Pisacane, G.; Roudier, P.; Ludwig, F. Impacts of climate change on European hydrology at 1.5, 2 and 3 degrees mean global warming above preindustrial level. Clim. Change 2017, 143, 13–26. [Google Scholar] [CrossRef]
- Raftery, A.E.; Zimmer, A.; Frierson, D.M.; Startz, R.; Liu, P. Less than 2 °C warming by 2100 unlikely. Nat. Clim. Change 2017, 7, 637–641. [Google Scholar] [CrossRef]
- Wang, X.; Jiang, D.; Lang, X. Climate change of 4 °C global warming above pre-industrial levels. Adv. Atm. Sci. 2018, 35, 757–770. [Google Scholar] [CrossRef]
- Pielke, R., Jr.; Burgess, M.G.; Ritchie, J. Plausible 2005-2050 emissions scenarios project between 2 and 3 degrees C of warming by 2100. Environ. Res. Lett. 2022, 17, 024027. [Google Scholar] [CrossRef]
- Bärring, L.; Strandberg, G. Does the projected pathway to global warming targets matter? Environ. Res. Lett. 2018, 13, 024029. [Google Scholar] [CrossRef]
- Betts, R.A.; Collins, M.; Hemming, D.L.; Jones, C.D.; Lowe, J.A.; Sanderson, M.G. When could global warming reach 4 °C? Phil. Trans. Royal Soc. A Math. Phys. Eng. Sci. 2011, 369, 67–84. [Google Scholar] [CrossRef] [PubMed]
- Chang, E.K.; Guo, Y.; Xia, X. CMIP5 multimodel ensemble projection of storm track change under global warming. J. Geophys. Res. Atmos. 2012, 117, D23118. [Google Scholar] [CrossRef]
- Arnell, N.W.; Gosling, S.N. The impacts of climate change on river flow regimes at the global scale. J. Hydrol. 2013, 486, 351–364. [Google Scholar] [CrossRef]
- Brander, K. Impacts of climate change on fisheries. J. Mar. Syst. 2010, 79, 389–402. [Google Scholar] [CrossRef]
- Hollowed, A.B.; Barange, M.; Beamish, R.J.; Brander, K.; Cochrane, K.; Drinkwater, K.; Foreman, M.G.; Hare, J.A.; Holt, J.; Ito, S.I.; et al. Projected impacts of climate change on marine fish and fisheries. ICES J. Mar. Sci. 2013, 70, 1023–1037. [Google Scholar] [CrossRef]
- Erauskin-Extramiana, M.; Arrizabalaga, H.; Hobday, A.J.; Cabré, A.; Ibaibarriaga, L.; Arregui, I.; Murua, H.; Chust, G. Large-scale distribution of tuna species in a warming ocean. Global Change Biol. 2019, 25, 2043–2060. [Google Scholar] [CrossRef] [PubMed]
- Reyer, C.P.; Adams, S.; Albrecht, T.; Baarsch, F.; Boit, A.; Canales Trujillo, N.; Cartsburg, M.; Coumou, D.; Eden, A.; Fernandes, E.; et al. Climate change impacts in Latin America and the Caribbean and their implications for development. Reg. Environ. Change 2017, 17, 1601–1621. [Google Scholar] [CrossRef]
- Prager, S.D.; Ríos, A.R.; Schiek, B.; Almeida, J.S.; González, C.E. Climate change vulnerability and economic impacts in the agricultural sector in Latin America and the Caribbean. In IDB Technical Note IDB-TN-01915, Inter-American Development Bank (IDB); International Center for Tropical Agriculture (CIAT): Cali, Colombia, 2020. [Google Scholar]
- Lachaud, M.A.; Bravo-Ureta, B.E.; Ludena, C.E. Economic effects of climate change on agricultural production and productivity in Latin America and the Caribbean (LAC). Agric. Econ. 2022, 53, 321–332. [Google Scholar] [CrossRef]
- Soong, J.L.; Phillips, C.L.; Ledna, C.; Koven, C.D.; Torn, M.S. CMIP5 models predict rapid and deep soil warming over the 21st century. J. Geophys. Res: Biogeosci. 2020, 125, e2019JG005266. [Google Scholar] [CrossRef]
- Brienen, R.J.; Phillips, O.L.; Feldpausch, T.R.; Gloor, E.; Baker, T.R.; Lloyd, J.; López-González, G.; Monteagudo-Mendoza, A.; Malhi, Y.; Lewis, S.L.; et al. Long-term decline of the Amazon carbon sink. Nature 2015, 519, 344–348. [Google Scholar] [CrossRef]
- Crowther, T.W.; Todd-Brown, K.E.; Rowe, C.W.; Wieder, W.R.; Carey, J.C.; Machmuller, M.B.; Snoek, B.L.; Fang, S.; Zhou, G.; Allison, S.D.; et al. Quantifying global soil carbon losses in response to warming. Nature 2016, 540, 104–108. [Google Scholar] [CrossRef] [PubMed]
- Qin, Y.; Xiao, X.; Wigneron, J.P.; Ciais, P.; Brandt, M.; Fan, L.; Li, X.; Crowell, S.; Wu, X.; Doughty, R.; et al. Carbon loss from forest degradation exceeds that from deforestation in the Brazilian Amazon. Nat. Clim. Change 2021, 11, 442–448. [Google Scholar] [CrossRef]
- Neelin, J.D.; Münnich, M.; Su, H.; Meyerson, J.E.; Holloway, C.E. Tropical drying trends in global warming models and observations. Proc. Natl. Acad. Sci. USA 2006, 103, 6110–6115. [Google Scholar] [CrossRef] [PubMed]
- Cashman, A.; Nurse, L.; John, C. Climate change in the Caribbean: The water management implications. J. Environ. Dev. 2010, 19, 42–67. [Google Scholar] [CrossRef]
- Taylor, M.A.; Stephenson, T.S.; Chen, A.A.; Stephenson, K.A. Climate change and the Caribbean: Review and response. Caribb. Stud. 2012, 40, 169–200. [Google Scholar] [CrossRef]
- Hernández-Delgado, E.A. Climate change impacts on Caribbean coastal ecosystems: Emergent ecological and environmental geography challenges. In Routledge Handbook of Latin America and the Environment; Routledge: London, UK, 2023; pp. 36–50. [Google Scholar]
- Lugo, A.E. Effects and outcomes of Caribbean hurricanes in a climate change scenario. Sci. Total Environ. 2000, 262, 243–251. [Google Scholar] [CrossRef]
- Bishop, M.L.; Payne, A. Climate change and the future of Caribbean development. J. Dev. Stud. 2012, 48, 1536–1553. [Google Scholar] [CrossRef]
- Karmalkar, A.V.; Bradley, R.S.; Díaz, H.F. Climate change in Central America and Mexico: Regional climate model validation and climate change projections. Clim. Dyn. 2011, 37, 605–629. [Google Scholar] [CrossRef]
- Imbach, P.; Chou, S.C.; Lyra, A.; Rodrigues, D.; Rodriguez, D.; Latinovic, D.; Siqueira, G.; Silva, A.; Garofolo, L.; Georgiou, S. Future climate change scenarios in Central America at high spatial resolution. PLoS ONE 2018, 13, e0193570. [Google Scholar] [CrossRef]
- Hidalgo León, H.G.; Amador Astúa, J.A.; Alfaro Martínez, E.J.; Quesada, B. Hydrological climate change projections for Central America. J. Hydrol. 2013, 495, 94–112. [Google Scholar] [CrossRef]
- Harvey, C.A.; Saborio-Rodríguez, M.; Martínez-Rodríguez, M.R.; Viguera, B.; Chain-Guadarrama, A.; Vignola, R.; Alpizar, F. Climate change impacts and adaptation among smallholder farmers in Central America. Agric. Food Secur. 2018, 7, 57. [Google Scholar] [CrossRef]
- Lyra, A.; Imbach, P.; Rodríguez, D.; Chou, S.C.; Georgiou, S.; Garofolo, L. Projections of climate change impacts on Central America tropical rainforest. Clim. Change 2017, 141, 93–105. [Google Scholar] [CrossRef]
- Caruso, C.; Hughes, K.; Drury, C. Selecting heat-tolerant corals for proactive reef restoration. Front. Mar. Sci. 2021, 8, 632027. [Google Scholar] [CrossRef]
- Quigley, K.M. Breeding and selecting corals resilient to global warming. Annu. Rev. Anim. Biosci. 2024, 12, 209–332. [Google Scholar] [CrossRef]
- Humanes, A.; Lachs, L.; Beauchamp, E.; Bukurou, L.; Buzzoni, D.; Bythell, J.; Craggs, J.R.; de la Torre Cerro, R.; Edwards, A.J.; Golbuu, Y.; et al. Selective breeding enhances coral heat tolerance to marine heatwaves. Nature Commun. 2024, 15, 8703. [Google Scholar] [CrossRef] [PubMed]
- Palumbi, S.R.; Barshis, D.J.; Traylor-Knowles, N.; Bay, R.A. Mechanisms of reef coral resistance to future climate change. Science 2014, 344, 895–898. [Google Scholar] [CrossRef]
- Smith, E.G.; Hazzouri, K.M.; Choi, J.Y.; Delaney, P.; Al-Kharafi, M.; Howells, E.J.; Aranda, M.; Burt, J.A. Signatures of selection underpinning rapid coral adaptation to the world’s warmest reefs. Sci. Adv. 2022, 8, eabl7287. [Google Scholar] [CrossRef] [PubMed]
- Lachs, L.; Donner, S.D.; Mumby, P.J.; Bythell, J.C.; Humanes, A.; East, H.K.; Guest, J.R. Emergent increase in coral thermal tolerance reduces mass bleaching under climate change. Nature Commun. 2023, 14, 4939. [Google Scholar] [CrossRef]
- Selmoni, O.; Bay, L.K.; Exposito-Alonso, M.; Cleves, P.A. Finding genes and pathways that underlie coral adaptation. Trends Genet. 2024, 40, 213–227. [Google Scholar] [CrossRef]
- Nunn, B.L.; Brown, T.; Timmins-Schiffman, E.; Mudge, M.C.; Riffle, M.; Axworthy, J.B.; Dilworth, J.; Kenkel, C.D.; Zaneveld, J.; Rodrigues, L.J.; et al. Protein signatures predict coral resilience and survival to thermal bleaching events. Commun. Earth Environ. 2025, 6, 191. [Google Scholar] [CrossRef]
- Huang, W.; Chen, J.; Yang, E.; Meng, L.; Feng, Y.; Chen, Y.; Huang, Z.; Tan, R.; Xiao, Z.; Zhou, Y.; et al. Heat-tolerant subtropical Porites lutea may be better adapted to future climate change than tropical one in the South China Sea. Sci. Total Environ. 2025, 962, 178381. [Google Scholar] [CrossRef] [PubMed]
- Baums, I.B.; Baker, A.C.; Davies, S.W.; Grottoli, A.G.; Kenkel, C.D.; Kitchen, S.A.; Kuffner, I.B.; LaJeunesse, T.C.; Matz, M.V.; Miller, M.W.; et al. Considerations for maximizing the adaptive potential of restored coral populations in the western Atlantic. Ecol. Appl. 2019, 29, e01978. [Google Scholar] [CrossRef] [PubMed]
- Shaver, E.C.; McLeod, E.; Hein, M.Y.; Palumbi, S.R.; Quigley, K.; Vardi, T.; Mumby, P.J.; Smith, D.; Montoya-Maya, P.; Muller, E.M.; et al. A roadmap to integrating resilience into the practice of coral reef restoration. Global Change Biol. 2022, 28, 4751–4764. [Google Scholar] [CrossRef]
- Montoya Maya, P.H.; Smit, K.P.; Burt, A.J.; Frias-Torres, S. Large-scale coral reef restoration could assist natural recovery in Seychelles, Indian Ocean. Nature Conserv. 2016, 16, 1–7. [Google Scholar] [CrossRef]
- Doropoulos, C.; Vons, F.; Elzinga, J.; Ter Hofstede, R.; Salee, K.; Van Koningsveld, M.; Babcock, R.C. Testing industrial-scale coral restoration techniques: Harvesting and culturing wild coral-spawn slicks. Front. Mar. Sci. 2019, 6, 658. [Google Scholar] [CrossRef]
- McLeod, I.M.; Hein, M.Y.; Babcock, R.; Bay, L.; Bourne, D.G.; Cook, N.; Doropoulos, C.; Gibbs, M.; Harrison, P.; Lockie, S.; et al. Coral restoration and adaptation in Australia: The first five years. PLoS ONE 2022, 17, e0273325. [Google Scholar] [CrossRef]
- Vardi, T.; Hoot, W.C.; Levy, J.; Shaver, E.; Winters, R.S.; Banaszak, A.T.; Baums, I.B.; Chamberland, V.F.; Cook, N.; Gulko, D.; et al. Six priorities to advance the science and practice of coral reef restoration worldwide. Restor. Ecol. 2021, 29, e13498. [Google Scholar] [CrossRef]
- Page, C.A.; Muller, E.M.; Vaughan, D.E. Microfragmenting for the successful restoration of slow growing massive corals. Ecol. Eng. 2018, 123, 86–94. [Google Scholar] [CrossRef]
- Tortolero-Langarica, J.A.; Rodríguez-Troncoso, A.P.; Cupul-Magaña, A.L.; Rinkevich, B. Micro-fragmentation as an effective and applied tool to restore remote reefs in the Eastern Tropical Pacific. Int. J. Environ. Res. Public Health 2020, 17, 6574. [Google Scholar] [CrossRef]
- Banaszak, A.T.; Marhaver, K.L.; Miller, M.W.; Hartmann, A.C.; Albright, R.; Hagedorn, M.; Harrison, P.L.; Latijnhouwers, K.R.; Mendoza Quiroz, S.; Pizarro, V.; et al. Applying coral breeding to reef restoration: Best practices, knowledge gaps, and priority actions in a rapidly-evolving field. Restor. Ecol. 2023, 31, e13913. [Google Scholar] [CrossRef]
- Blanco-Pimentel, M.; Kenkel, C.D.; Kitchen, S.A.; Calle-Triviño, J.; Baums, I.B.; Cortés-Useche, C.; Morikawa, M.K. Overcoming barriers to reef restoration: Field-based method for approximate genotyping of Acropora cervicornis. Restor. Ecol. 2024, 32, e14073. [Google Scholar] [CrossRef]
- Hobbs, R.J.; O’Brien, J.K.; Bay, L.K.; Severati, A.; Spindler, R.; Henley, E.M.; Quigley, K.M.; Randall, C.J.; van Oppen, M.J.; Carter, V.; et al. A decade of coral biobanking science in Australia-transitioning into applied reef restoration. Front. Mar. Sci. 2022, 9, 960470. [Google Scholar] [CrossRef]
- Daly, J.; Zuchowicz, N.; Nuñez Lendo, C.I.; Khosla, K.; Lager, C.; Henley, E.M.; Bischof, J.; Kleinhans, F.W.; Lin, C.; Peters, E.C.; et al. Successful cryopreservation of coral larvae using vitrification and laser warming. Sci. Rep. 2018, 8, 15714. [Google Scholar] [CrossRef]
- Hagedorn, M.; Page, C.A.; O’Neil, K.L.; Flores, D.M.; Tichy, L.; Conn, T.; Chamberland, V.F.; Lager, C.; Zuchowicz, N.; Lohr, K.; et al. Assisted gene flow using cryopreserved sperm in critically endangered coral. Proc. Natl. Acad. Sci. USA 2021, 118, e2110559118. [Google Scholar] [CrossRef]
- Brown, A.L.; Anastasiou, D.E.; Schul, M.; MacVittie, S.; Spiers, L.J.; Meyer, J.L.; Manfrino, C.; Frazer, T.K. Mixtures of genotypes increase disease resistance in a coral nursery. Sci. Rep. 2022, 12, 19286. [Google Scholar] [CrossRef]
- Bowden-Kerby, A. Coral-focused climate change adaptation and restoration based on accelerating natural processes: Launching the “Reefs of Hope” paradigm. Oceans 2022, 4, 13–26. [Google Scholar] [CrossRef]
- Goergen, E.A.; Schopmeyer, S.; Moulding, A.L.; Moura, A.; Kramer, P.; Viehman, T.S. Coral Reef Restoration Monitoring Guide: Methods to Evaluate Restoration Success from Local to Ecosystem Scales; NOAA Technical Memorandum NOS NCCOS 279; NOAA: Silver Spring, MD, USA, 2020; p. 145. [Google Scholar] [CrossRef]
- Alexander, J.B.; Bunce, M.; White, N.; Wilkinson, S.P.; Adam, A.A.; Berry, T.; Stat, M.; Thomas, L.; Newman, S.J.; Dugal, L.; et al. Development of a multi-assay approach for monitoring coral diversity using eDNA metabarcoding. Coral Reefs 2020, 39, 159–171. [Google Scholar] [CrossRef]
- Rodríguez-Casariego, J.A.; Mercado-Molina, A.E.; García-Souto, D.; Ortiz-Rivera, I.M.; Lopes, C.; Baums, I.B.; Sabat, A.M.; Eirin-López, J.M. Genome-wide DNA methylation analysis reveals a conserved epigenetic response to seasonal environmental variation in the staghorn coral Acropora cervicornis. Front. Mar. Sci. 2020, 7, 560424. [Google Scholar] [CrossRef]
- Eirin-López, J.M.; Putnam, H. Marine environmental epigenetics. Front. Mar. Sci. 2021, 8, 685075. [Google Scholar] [CrossRef]
- Xu, J.; Zhao, D. Review of coral reef ecosystem remote sensing. Acta Ecol. Sin. 2014, 34, 19–25. [Google Scholar] [CrossRef]
- Hedley, J.D.; Roelfsema, C.M.; Chollett, I.; Harborne, A.R.; Heron, S.F.; Weeks, S.; Skirving, W.J.; Strong, A.E.; Eakin, C.M.; Christensen, T.R.; et al. Remote sensing of coral reefs for monitoring and management: A review. Remote Sens. 2016, 8, 118. [Google Scholar] [CrossRef]
- Foo, S.A.; Asner, G.P. Scaling up coral reef restoration using remote sensing technology. Front. Mar. Sci. 2019, 6, 79. [Google Scholar] [CrossRef]
- Eakin, C.M.; Lough, J.M.; Heron, S.F. Climate variability and change: Monitoring data and evidence for increased coral bleaching stress. In Coral Bleaching: Patterns, Processes, Causes and Consequences; Springer: Berlin/Heidelberg, Germany, 2009; pp. 41–67. [Google Scholar]
- Flower, J.; Ortiz, J.C.; Chollett, I.; Abdullah, S.; Castro-Sanguino, C.; Hock, K.; Lam, V.; Mumby, P.J. Interpreting coral reef monitoring data: A guide for improved management decisions. Ecol. Indic. 2017, 72, 848–869. [Google Scholar] [CrossRef]
- Bellantuono, A.J.; Granados-Cifuentes, C.; Miller, D.J.; Hoegh-Guldberg, O.; Rodríguez-Lanetty, M. Coral thermal tolerance: Tuning gene expression to resist thermal stress. PLoS ONE 2012, 7, e50685. [Google Scholar] [CrossRef]
- Page, C.E.; Leggat, W.; Heron, S.F.; Fordyce, A.J.; Ainsworth, T.D. High flow conditions mediate damaging impacts of sub-lethal thermal stress on corals’ endosymbiotic algae. Conserv. Physiol. 2021, 9, coab046. [Google Scholar] [CrossRef] [PubMed]
- van Oppen, M.J.; Oliver, J.K.; Putnam, H.M.; Gates, R.D. Building coral reef resilience through assisted evolution. Proc. Natl. Acad. Sci. USA 2015, 112, 2307–2313. [Google Scholar] [CrossRef] [PubMed]
- van Oppen, M.J.; Oakeshott, J.G. A breakthrough in understanding the molecular basis of coral heat tolerance. Proc. Natl. Acad. Sci. USA 2020, 117, 28546–28548. [Google Scholar] [CrossRef]
- Humanes, A.; Beauchamp, E.A.; Bythell, J.C.; Carl, M.K.; Craggs, J.R.; Edwards, A.J.; Golbuu, Y.; Lachs, L.; Martínez, H.M.; Palmowski, P.; et al. An experimental framework for selectively breeding corals for assisted evolution. Front. Mar. Sci. 2021, 8, 669995. [Google Scholar] [CrossRef]
- DeFilippo, L.B.; McManus, L.C.; Schindler, D.E.; Pinsky, M.L.; Colton, M.A.; Fox, H.E.; Tekwa, E.W.; Palumbi, S.R.; Essington, T.E.; Webster, M.M. Assessing the potential for demographic restoration and assisted evolution to build climate resilience in coral reefs. Ecol. Appl. 2022, 32, e2650. [Google Scholar] [CrossRef]
- Boström-Einarsson, L.; Babcock, R.C.; Bayraktarov, E.; Ceccarelli, D.; Cook, N.; Ferse, S.C.; Hancock, B.; Harrison, P.; Hein, M.; Shaver, E.; et al. Coral restoration–A systematic review of current methods, successes, failures and future directions. PLoS ONE 2020, 15, e0226631. [Google Scholar] [CrossRef] [PubMed]
- Watt-Pringle, R.; Razak, T.B.; Jompa, J.; Ambo-Rappe, R.; Kostaman, A.N.; Smith, D.J. Coral reef restoration in Indonesia: Lessons learnt from the world’s largest coral restoration nation. Biodivers. Conserv. 2024, 33, 2675–2707. [Google Scholar] [CrossRef]
- Cano, I.; Sellares-Blasco, R.I.; Lefcheck, J.S.; Villalpando, M.F.; Croquer, A. Effects of herbivory by the urchin Diadema antillarum on early restoration success of the coral Acropora cervicornis in the central Caribbean. J. Exp. Mar. Biol. Ecol. 2021, 539, 151541. [Google Scholar] [CrossRef]
- Williams, S.M. The reduction of harmful algae on Caribbean coral reefs through the reintroduction of a keystone herbivore, the long-spined sea urchin Diadema antillarum. Restor. Ecol. 2022, 30, e13475. [Google Scholar] [CrossRef]
- Butler, M.J., IV; Durán, A.; Feehan, C.J.; Harborne, A.R.; Hykema, A.; Patterson, J.T.; Sharp, W.C.; Spadaro, A.J.; Wijers, T.; Williams, S.M. Restoration of herbivory on Caribbean coral reefs: Are fishes, urchins, or crabs the solution? Front. Mar. Sci. 2024, 11, 1329028. [Google Scholar] [CrossRef]
- Viehman, T.S.; Reguero, B.G.; Lenihan, H.S.; Rosman, J.H.; Storlazzi, C.D.; Goergen, E.A.; Canals Silander, M.F.; Groves, S.H.; Holstein, D.M.; Bruckner, A.W.; et al. Coral restoration for coastal resilience: Integrating ecology, hydrodynamics, and engineering at multiple scales. Ecosphere 2023, 14, e4517. [Google Scholar] [CrossRef]
- Hernández-Delgado, E.A. Coastal restoration challenges and strategies for small island developing states in the face of sea level rise and climate change. Coasts 2024, 4, 235–286. [Google Scholar] [CrossRef]
- Storlazzi, C.D.; Reguero, B.G.; Alkins, K.C.; Shope, J.B.; Gaido-Lassarre, C.; Viehman, T.S.; Beck, M.W. Hybrid coral reef restoration can be a cost-effective nature-based solution to provide protection to vulnerable coastal populations. Sci. Adv. 2025, 11, eadn4004. [Google Scholar] [CrossRef]
- Familkhalili, R.; Storlazzi, C.D.; Nemeth, M.; Viehman, S. Assessing the effect of coral reef restoration location on coastal flood hazard along the San Juan Coastline, Puerto Rico. Front. Mar. Sci. 2025, 12, 1528460. [Google Scholar] [CrossRef]
- dela Cruz, D.W.; Rinkevich, B.; Gomez, E.D.; Yap, H.T. Assessing an abridged nursery phase for slow growing corals used in coral restoration. Ecol. Eng. 2015, 84, 408–415. [Google Scholar] [CrossRef]
- Frey, J.B.; Berkes, F. Can partnerships and community-based conservation reverse the decline of coral reef social-ecological systems? Int. J. Commons 2014, 8, 26–46. [Google Scholar] [CrossRef][Green Version]
- Hernández-Delgado, E.A.; Mercado-Molina, A.E.; Suleimán-Ramos, S.E. Multi-disciplinary lessons learned from low-tech coral farming and reef rehabilitation practices. I. Best management practices. In Corals in a Changing World; Duque-Beltrán, C., Tello-Camacho, E., Eds.; InTech Publications: London, UK, 2018; pp. 213–243. [Google Scholar]
- Hernández-Delgado, E.A.; Mercado-Molina, A.E.; Suleimán-Ramos, S.E.; Lucking, M.A. Multi-disciplinary lessons learned from low-tech coral farming and reef rehabilitation practices. II. Coral demography and social-ecological benefits. In Corals in a Changing World; Duque-Beltrán, C., Tello-Camacho, E., Eds.; InTech Publications: London, UK, 2018; pp. 245–268. [Google Scholar]
- Hein, M.Y.; Birtles, A.; Willis, B.L.; Gardiner, N.; Beeden, R.; Marshall, N.A. Coral restoration: Socio-ecological perspectives of benefits and limitations. Biol. Conserv. 2019, 229, 14–25. [Google Scholar] [CrossRef]
- Bayraktarov, E.; Banaszak, A.T.; Montoya Maya, P.; Kleypas, J.; Arias-González, J.E.; Blanco, M.; Calle-Triviño, J.; Charuvi, N.; Cortés-Useche, C.; Galván, V.; et al. Coral reef restoration efforts in Latin American countries and territories. PLoS ONE 2020, 15, e0228477. [Google Scholar] [CrossRef]
- Norris, B.K.; Storlazzi, C.D.; Pomeroy, A.W.; Reguero, B.G. Optimizing infragravity wave attenuation to improve coral reef restoration design for coastal defense. J. Mar. Sci. Eng. 2024, 12, 768. [Google Scholar] [CrossRef]
- Rinkevich, B. Climate change and active reef restoration—Ways of constructing the “reefs of tomorrow”. J. Mar. Sci. Eng. 2015, 3, 111–127. [Google Scholar] [CrossRef]
- Rinkevich, B. The active reef restoration toolbox is a vehicle for coral resilience and adaptation in a changing world. J. Mar. Sci. Eng. 2019, 7, 201. [Google Scholar] [CrossRef]
- Rinkevich, B. Ecological engineering approaches in coral reef restoration. ICES J. Mar. Sci. 2021, 78, 410–420. [Google Scholar] [CrossRef]
- Kim, T.; Baek, S.; Kwon, Y.; Lee, J.; Cha, S.M.; Kwon, S. Improved coastal erosion prevention using a hybrid method with an artificial coral reef: Large-scale 3D hydraulic experiment. Water 2020, 12, 2801. [Google Scholar] [CrossRef]
- Roelvink, F.E.; Storlazzi, C.D.; Van Dongeren, A.R.; Pearson, S.G. Coral reef restorations can be optimized to reduce coastal flooding hazards. Front. Mar. Sci. 2021, 8, 653945. [Google Scholar] [CrossRef]
- Brathwaite, A.; Clua, E.; Roach, R.; Pascal, N. Coral reef restoration for coastal protection: Crafting technical and financial solutions. J. Environ. Manag. 2022, 310, 114718. [Google Scholar] [CrossRef]
- Geldard, J.; Lowe, R.; Draper, S.; Ghisalberti, M.; Westera, S.; Ellwood, G.; Cuttler, M.; Smith, D.; McArdle, A. Effectiveness of coral reef restoration in wave attenuation applications. Coast. Eng. Proc. 2022, 37, 90–91. [Google Scholar] [CrossRef]
- Norris, B.K.; Storlazzi, C.D.; Pomeroy, A.W.; Rosenberger, K.J.; Logan, J.B.; Cheriton, O.M. Combining field observations and high-resolution numerical modeling to demonstrate the effect of coral reef roughness on turbulence and its implications for reef restoration design. Coast. Eng. 2023, 184, 104331. [Google Scholar] [CrossRef]
- Norris, B.K.; Reguero, B.; Beck, M.; Bartolai, J.; Yukish, M.A.; Rhode-Barbarigos, L.; Haus, B.K.; Barajas, G.; Maza, M.; Lara, J.L. Designing modular, artificial reefs for both coastal defense and coral restoration. Coast. Eng. 2024, 199, 104742. [Google Scholar] [CrossRef]
- Tagliafico, A.; Baker, P.; Kelaher, B.; Ellis, S.; Harrison, D. The effects of shade and light on corals in the context of coral bleaching and shading technologies. Front. Mar. Sci. 2022, 9, 919382. [Google Scholar] [CrossRef]
- Butcherine, P.; Tagliafico, A.; Ellis, S.L.; Kelaher, B.P.; Hendrickson, C.; Harrison, D. Intermittent shading can moderate coral bleaching on shallow reefs. Front. Mar. Sci. 2023, 10, 1162896. [Google Scholar] [CrossRef]
- Razak, T.B.; Boström-Einarsson, L.; Alisa, C.A.; Vida, R.T.; Lamont, T.A. Coral reef restoration in Indonesia: A review of policies and projects. Mar. Policy 2022, 137, 104940. [Google Scholar] [CrossRef]
- Morrison, T.H.; Adger, N.; Barnett, J.; Brown, K.; Possingham, H.; Hughes, T. Advancing coral reef governance into the Anthropocene. One Earth 2020, 2, 64–74. [Google Scholar] [CrossRef]
- Westoby, R.; Becken, S.; Laria, A.P. Perspectives on the human dimensions of coral restoration. Reg. Environ. Change 2020, 20, 109. [Google Scholar] [CrossRef]
- Shumway, N.; Foster, R.; Fidelman, P. The governance of marine and coral reef restoration, lessons and paths forward for novel interventions. Environ. Sci. Pol. 2025, 164, 103999. [Google Scholar] [CrossRef]
- Rinkevich, B. Novel tradable instruments in the conservation of coral reefs, based on the coral gardening concept for reef restoration. J. Environ. Manag. 2015, 162, 199–205. [Google Scholar] [CrossRef]
- Hernández-Delgado, E.A.; Ramos-Scharrón, C.E.; Guerrero, C.; Lucking, M.A.; Laureano, R.; Méndez-Lázaro, P.A.; Meléndez-Díaz, J.O. Long-term impacts of tourism and urban development in tropical coastal habitats in a changing climate: Lessons learned from Puerto Rico. In Visions from Global Tourism Industry-Creating and Sustaining Competitive Strategies; Kasimoglu, M., Ed.; Intech Publications: Rikeja, Croatia, 2012; pp. 357–398. [Google Scholar]
- Mulà, C.; Bradshaw, C.J.; Cabeza, M.; Manca, F.; Montano, S.; Strona, G. Restoration cannot be scaled up globally to save reefs from loss and degradation. Nature Ecol. Evol. 2025, 9, 822–832. [Google Scholar] [CrossRef] [PubMed]















| Source 1 | df | SS | MS | Pseudo-F | p |
|---|---|---|---|---|---|
| Region | 8 | 452.3 | 56.5 | 20.03 | <0.0001 |
| Residual | 75 | 211.7 | 2.8 | ||
| Pairwise groups | t | p | |||
| 1940 vs. 1950 | 1.44 | 0.1507 | |||
| 1940 vs. 1960 | 3.43 | 0.0003 | |||
| 1940 vs. 1970 | 1.77 | 0.0586 | |||
| 1940 vs. 1980 | 2.82 | 0.0045 | |||
| 1940 vs. 1990 | 4.84 | <0.0001 | |||
| 1940 vs. 2000 | 8.14 | <0.0001 | |||
| 1940 vs. 2010 | 10.58 | <0.0001 | |||
| 1940 vs. 2020 | 7.36 | 0.0012 |
| Source 1 | df | SS | MS | Pseudo-F | p |
|---|---|---|---|---|---|
| Region | 8 | 324.6 | 40.6 | 8.97 | <0.0001 |
| Residual | 75 | 339.4 | 4.5 | ||
| Pairwise groups | t | p | |||
| 1940 vs. 1950 | 0.73 | 0.5969 | |||
| 1940 vs. 1960 | 1.01 | 0.3599 | |||
| 1940 vs. 1970 | 2.58 | 0.0018 | |||
| 1940 vs. 1980 | 1.19 | 0.2391 | |||
| 1940 vs. 1990 | 0.86 | 0.4941 | |||
| 1940 vs. 2000 | 3.72 | 0.0002 | |||
| 1940 vs. 2010 | 4.23 | 0.0002 | |||
| 1940 vs. 2020 | 4.59 | 0.0011 |
| Country 1 | Pseudo-F | p | Country | Pseudo-F | p | Country | Pseudo-F | p |
|---|---|---|---|---|---|---|---|---|
| México | 25.15 | <0.0001 | Leeward Is. | 18.24 | <0.0001 | Bahamas | 15.97 | <0.0001 |
| Belize/Guatemala | 40.68 | <0.0001 | Windward Is. | 16.28 | <0.0001 | Florida | 14.78 | <0.0001 |
| Honduras | 32.07 | <0.0001 | US/British Vis | 15.67 | <0.0001 | N. Méx. Pacific | 10.61 | <0.0001 |
| Nicaragua | 20.41 | <0.0001 | Puerto Rico | 18.82 | <0.0001 | S. Méx. Pacific | 26.59 | <0.0001 |
| Costa Rica | 18.85 | <0.0001 | Dom. Rep. | 19.51 | <0.0001 | Guatemala Pacific | 45.28 | <0.0001 |
| Panamá | 17.70 | <0.0001 | Haiti | 19.54 | <0.0001 | El Salv./Hond. Pac | 17.21 | <0.0001 |
| San Andrés | 16.40 | <0.0001 | Jamaica | 20.01 | <0.0001 | Nicaragua Pacific | 5.60 | <0.0001 |
| Colombia | 19.06 | <0.0001 | Gr. Cayman | 19.96 | <0.0001 | Costa Rica Pacific | 10.05 | <0.0001 |
| Venezuela | 25.40 | <0.0001 | Cuba | 19.61 | <0.0001 | Panamá Pacific | 12.64 | <0.0001 |
| ABC Islands | 17.60 | <0.0001 | Turks–Caicos | 13.81 | <0.0001 | Colombia Pacific | 19.18 | <0.0001 |
| Country 1 | Pseudo-F | p | Country | Pseudo-F | p | Country | Pseudo-F | p |
|---|---|---|---|---|---|---|---|---|
| México | 14.85 | <0.0001 | Leeward Is. | 11.71 | <0.0001 | Bahamas | 8.39 | <0.0001 |
| Belize/Guatemala | 6.39 | <0.0001 | Windward Is. | 12.09 | <0.0001 | Florida | 12.64 | <0.0001 |
| Honduras | 9.94 | <0.0001 | US/British Vis | 11.58 | <0.0001 | N. Méx. Pacific | 4.03 | 0.0005 |
| Nicaragua | 10.31 | <0.0001 | Puerto Rico | 11.43 | <0.0001 | S. Méx. Pacific | 9.22 | <0.0001 |
| Costa Rica | 11.51 | <0.0001 | Dom. Rep. | 8.84 | <0.0001 | Guatemala Pacific | 9.55 | <0.0001 |
| Panamá | 11.80 | <0.0001 | Haiti | 8.33 | <0.0001 | El Salv./Hond. Pac | 6.12 | <0.0001 |
| San Andrés | 8.88 | <0.0001 | Jamaica | 10.26 | <0.0001 | Nicaragua Pacific | 3.46 | 0.0017 |
| Colombia | 6.86 | <0.0001 | Gr. Cayman | 11.29 | <0.0001 | Costa Rica Pacific | 2.72 | 0.0123 |
| Venezuela | 9.07 | <0.0001 | Cuba | 10.07 | <0.0001 | Panamá Pacific | 3.46 | 0.0021 |
| ABC Islands | 7.36 | <0.0001 | Turks–Caicos | 5.64 | 0.0002 | Colombia Pacific | 4.21 | 0.0003 |
| Region 1 | Pseudo-F | p | Pseudo-F | p | 2 m Temp ≥1.5 °C | SST ≥1.0 °C |
|---|---|---|---|---|---|---|
| 2 m temp | SST | |||||
| W Caribbean | 152.9 | <0.0001 | 158.5s | <0.0001 | 2080 | 2060 |
| SW Caribbean | 110.5 | <0.0001 | 109.8 | <0.0001 | 2060 | 2050 |
| S Caribbean | 145.0 | <0.0001 | 138.5 | <0.0001 | 2060 | 2060 |
| E Caribbean | 106.2 | <0.0001 | 106.2 | <0.0001 | 2030 | 2020 |
| N Caribbean | 148.4 | <0.0001 | 147.2 | <0.0001 | 2050 | 2040 |
| NW Caribbean | 210.5 | <0.0001 | 209.6 | <0.0001 | 2040 | 2030 |
| NE Tropical Pacific | 74.4 | <0.0001 | 80.2 | <0.0001 | 2040 | 2040 |
| SE Tropical Pacific | 60.6 | <0.0001 | 61.2 | <0.0001 | 2060 | 2050 |
| Region | 1850–2020 | 2020–2100 | 2000–2020 | 2020–2050 | 2050–2100 |
|---|---|---|---|---|---|
| W Caribbean | 0.1170 | 0.1651 | 0.2704 | 0.2064 | 0.1342 |
| SW Caribbean | 0.1171 | 0.1418 | 0.3038 | 0.1784 | 0.1144 |
| S Caribbean | 0.1217 | 0.1686 | 0.2309 | 0.2337 | 0.1198 |
| E Caribbean | 0.1208 | 0.1389 | 0.3033 | 0.1817 | 0.1069 |
| N Caribbean | 0.1204 | 0.1535 | 0.2832 | 0.2018 | 0.1172 |
| NW Caribbean | 0.1197 | 0.1654 | 0.2708 | 0.2196 | 0.1248 |
| NE Tropical Pacific | 0.1245 | 0.2014 | 0.1447 | 0.2938 | 0.1322 |
| SE Tropical Pacific | 0.1158 | 0.1577 | 0.1960 | 0.2246 | 0.1076 |
| Regional average | 0.1196 | 0.1616 | 0.2504 | 0.2175 | 0.1196 |
| Region | 1850–2020 | 2020–2100 | 2000–2020 | 2020–2050 | 2050–2100 |
|---|---|---|---|---|---|
| W Caribbean | 0.0661 | 0.0915 | 0.1550 | 0.1149 | 0.0740 |
| SW Caribbean | 0.0778 | 0.0943 | 0.2039 | 0.1183 | 0.0764 |
| S Caribbean | 0.0665 | 0.0896 | 0.1378 | 0.1266 | 0.0619 |
| E Caribbean | 0.1178 | 0.1356 | 0.2958 | 0.1774 | 0.1042 |
| N Caribbean | 0.1155 | 0.1155 | 0.2142 | 0.1517 | 0.0883 |
| NW Caribbean | 0.0990 | 0.1364 | 0.2256 | 0.1805 | 0.1034 |
| NE Tropical Pacific | 0.0754 | 0.1237 | 0.0925 | 0.1813 | 0.0806 |
| SE Tropical Pacific | 0.0741 | 0.1007 | 0.1259 | 0.1427 | 0.0692 |
| Regional average | 0.0865 | 0.1109 | 0.1813 | 0.1492 | 0.0823 |
| Region 1 | Pseudo-F | p | Pseudo-F | p | 2 m Temp ≥1.5 °C | SST ≥1.0 °C |
|---|---|---|---|---|---|---|
| 2 m temp | SST | |||||
| W Caribbean | 350.0 | <0.0001 | 356.9 | <0.0001 | 2030 | 2040 |
| SW Caribbean | 231.6 | <0.0001 | 227.7 | <0.0001 | 2030 | 2040 |
| S Caribbean | 299.0 | <0.0001 | 263.6 | <0.0001 | 2030 | 2040 |
| E Caribbean | 208.5 | <0.0001 | 208.6 | <0.0001 | 2030 | 2020 |
| N Caribbean | 302.9 | <0.0001 | 300.3 | <0.0001 | 2030 | 2030 |
| NW Caribbean | 385.0 | <0.0001 | 385.8 | <0.0001 | 2030 | 2030 |
| NE Tropical Pacific | 161.5 | <0.0001 | 171.6 | <0.0001 | 2020 | 2030 |
| SE Tropical Pacific | 129.7 | <0.0001 | 131.5 | <0.0001 | 2030 | 2040 |
| Region | 1850–2020 | 2020–2100 | 2000–2020 | 2020–2050 | 2050–2100 |
|---|---|---|---|---|---|
| W Caribbean | 0.1212 | 0.4229 | 0.2748 | 0.3521 | 0.4756 |
| SW Caribbean | 0.1119 | 0.3750 | 0.2724 | 0.3225 | 0.4144 |
| S Caribbean | 0.1242 | 0.4353 | 0.2455 | 0.3513 | 0.4983 |
| E Caribbean | 0.1164 | 0.3563 | 0.2770 | 0.3148 | 0.3874 |
| N Caribbean | 0.1219 | 0.3825 | 0.2925 | 0.3387 | 0.4154 |
| NW Caribbean | 0.1200 | 0.4178 | 0.2726 | 0.3575 | 0.4645 |
| NE Tropical Pacific | 0.1359 | 0.5304 | 0.2134 | 0.3833 | 0.6406 |
| SE Tropical Pacific | 0.1213 | 0.4419 | 0.2293 | 0.3318 | 0.5245 |
| Regional average | 0.1216 | 0.4203 | 0.2597 | 0.3440 | 0.4776 |
| Region | 1850–2020 | 2020–2100 | 2000–2020 | 2020–2050 | 2050–2100 |
|---|---|---|---|---|---|
| W Caribbean | 0.0677 | 0.2359 | 0.1643 | 0.1979 | 0.2645 |
| SW Caribbean | 0.0742 | 0.2481 | 0.1823 | 0.2139 | 0.2737 |
| S Caribbean | 0.0658 | 0.2327 | 0.1335 | 0.1902 | 0.2647 |
| E Caribbean | 0.1136 | 0.3477 | 0.2701 | 0.2982 | 0.3781 |
| N Caribbean | 0.0919 | 0.2879 | 0.2209 | 0.2549 | 0.3127 |
| NW Caribbean | 0.0992 | 0.3459 | 0.2267 | 0.2947 | 0.3843 |
| NE Tropical Pacific | 0.0821 | 0.3233 | 0.1325 | 0.2366 | 0.3884 |
| SE Tropical Pacific | 0.0779 | 0.2843 | 0.1487 | 0.2105 | 0.3396 |
| Regional average | 0.0841 | 0.3021 | 0.1849 | 0.2371 | 0.3258 |
| Region 1 | Global R | p | Obs vs. 4.5 R | p | Obs vs. 8.5 R | p | 4.5 vs. 8.5 R | p |
|---|---|---|---|---|---|---|---|---|
| Surface (2 m) temperature | 0.128 | 0.0015 | 0.274 | 0.0050 | 0.076 | 0.1050 | 0.024 | 0.2710 |
| Sea surface temperature | 0.152 | 0.0030 | 0.292 | 0.0010 | 0.119 | 0.0260 | 0.021 | 0.2930 |
| Region 1 | Global R | p | Obs vs. 4.5 R | p | Obs vs. 8.5 R | p | 4.5 vs. 8.5 R | p |
|---|---|---|---|---|---|---|---|---|
| W Caribbean | 0.083 | 0.0480 | 0.198 | 0.0030 | 0.055 | 0.1660 | −0.007 | 0.4480 |
| SW Caribbean | 0.064 | 0.0960 | 0.182 | 0.0190 | −0.010 | 0.4630 | 0.019 | 0.2940 |
| S Caribbean | −0.008 | 0.5150 | 0.023 | 0.2830 | −0.038 | 0.7010 | −0.011 | 0.4690 |
| E Caribbean | 0.179 | 0.0080 | 0.324 | 0.0050 | 0.072 | 0.0011 | 0.107 | 0.0890 |
| N Caribbean | 0.083 | 0.0590 | 0.198 | 0.0150 | 0.032 | 0.2450 | −0.005 | 0.4150 |
| NW Caribbean | 0.076 | 0.0700 | 0.198 | 0.0260 | 0.050 | 0.1790 | −0.024 | 0.5760 |
| NE Tropical Pacific | 0.098 | 0.0340 | 0.167 | 0.0210 | 0.185 | 0.0150 | −0.060 | 0.8930 |
| SE Tropical Pacific | 0.010 | 0.3330 | 0.032 | 0.2440 | 0.031 | 0.2430 | −0.023 | 0.5170 |
| Region 1 | Global R | p | Obs vs. 4.5 R | p | Obs vs. 8.5 R | p | 4.5 vs. 8.5 R | p |
|---|---|---|---|---|---|---|---|---|
| W Caribbean | 0.130 | 0.0050 | 0.254 | 0.0010 | 0.131 | 0.0210 | 0.015 | 0.4900 |
| SW Caribbean | 0.099 | 0.0290 | 0.193 | 0.0080 | 0.063 | 0.1420 | 0.022 | 0.2840 |
| S Caribbean | 0.027 | 0.2390 | 0.076 | 0.0670 | 0.011 | 0.3710 | −0.018 | 0.5290 |
| E Caribbean | 0.199 | 0.0020 | 0.331 | 0.0050 | 0.132 | 0.0310 | 0.108 | 0.0700 |
| N Caribbean | 0.134 | 0.0080 | 0.239 | 0.0090 | 0.128 | 0.0470 | −0.002 | 0.3880 |
| NW Caribbean | 0.085 | 0.0470 | 0.211 | 0.0150 | 0.066 | 0.1260 | −0.021 | 0.5600 |
| NE Tropical Pacific | 0.058 | 0.0910 | 0.115 | 0.0520 | 0.106 | 0.0730 | −0.062 | 0.9100 |
| SE Tropical Pacific | −0.015 | 0.5350 | 0.032 | 0.2170 | −0.040 | 0.7390 | −0.028 | 0.5320 |
Disclaimer/Publisher’s Note: The statements, opinions and data contained in all publications are solely those of the individual author(s) and contributor(s) and not of MDPI and/or the editor(s). MDPI and/or the editor(s) disclaim responsibility for any injury to people or property resulting from any ideas, methods, instructions or products referred to in the content. |
© 2025 by the authors. Licensee MDPI, Basel, Switzerland. This article is an open access article distributed under the terms and conditions of the Creative Commons Attribution (CC BY) license (https://creativecommons.org/licenses/by/4.0/).
Share and Cite
Hernández-Delgado, E.A.; Rodríguez-González, Y.M. Runaway Climate Across the Wider Caribbean and Eastern Tropical Pacific in the Anthropocene: Threats to Coral Reef Conservation, Restoration, and Social–Ecological Resilience. Atmosphere 2025, 16, 575. https://doi.org/10.3390/atmos16050575
Hernández-Delgado EA, Rodríguez-González YM. Runaway Climate Across the Wider Caribbean and Eastern Tropical Pacific in the Anthropocene: Threats to Coral Reef Conservation, Restoration, and Social–Ecological Resilience. Atmosphere. 2025; 16(5):575. https://doi.org/10.3390/atmos16050575
Chicago/Turabian StyleHernández-Delgado, Edwin A., and Yanina M. Rodríguez-González. 2025. "Runaway Climate Across the Wider Caribbean and Eastern Tropical Pacific in the Anthropocene: Threats to Coral Reef Conservation, Restoration, and Social–Ecological Resilience" Atmosphere 16, no. 5: 575. https://doi.org/10.3390/atmos16050575
APA StyleHernández-Delgado, E. A., & Rodríguez-González, Y. M. (2025). Runaway Climate Across the Wider Caribbean and Eastern Tropical Pacific in the Anthropocene: Threats to Coral Reef Conservation, Restoration, and Social–Ecological Resilience. Atmosphere, 16(5), 575. https://doi.org/10.3390/atmos16050575

