Spatiotemporal Variation of Compound Drought and Heatwave Events in Semi-Arid and Semi-Humid Regions of China
Abstract
1. Introduction
2. Materials and Methods
2.1. Study Area
2.2. Data Collection
2.2.1. Meteorological Data
2.2.2. Drought Data
2.3. Methodology
2.3.1. Definition of Compound Drought and Heatwave Events
2.3.2. Attribution Analysis
Synchronicity of Heatwave and Drought Events
Partial Correlation Analysis
3. Results
3.1. Frequency of CDHEs
3.2. Duration of CDHEs
3.2.1. Spatiotemporal Variation of Annual Duration
3.2.2. Temporal Variation of Compound Drought and Heatwave Events with Different Duration
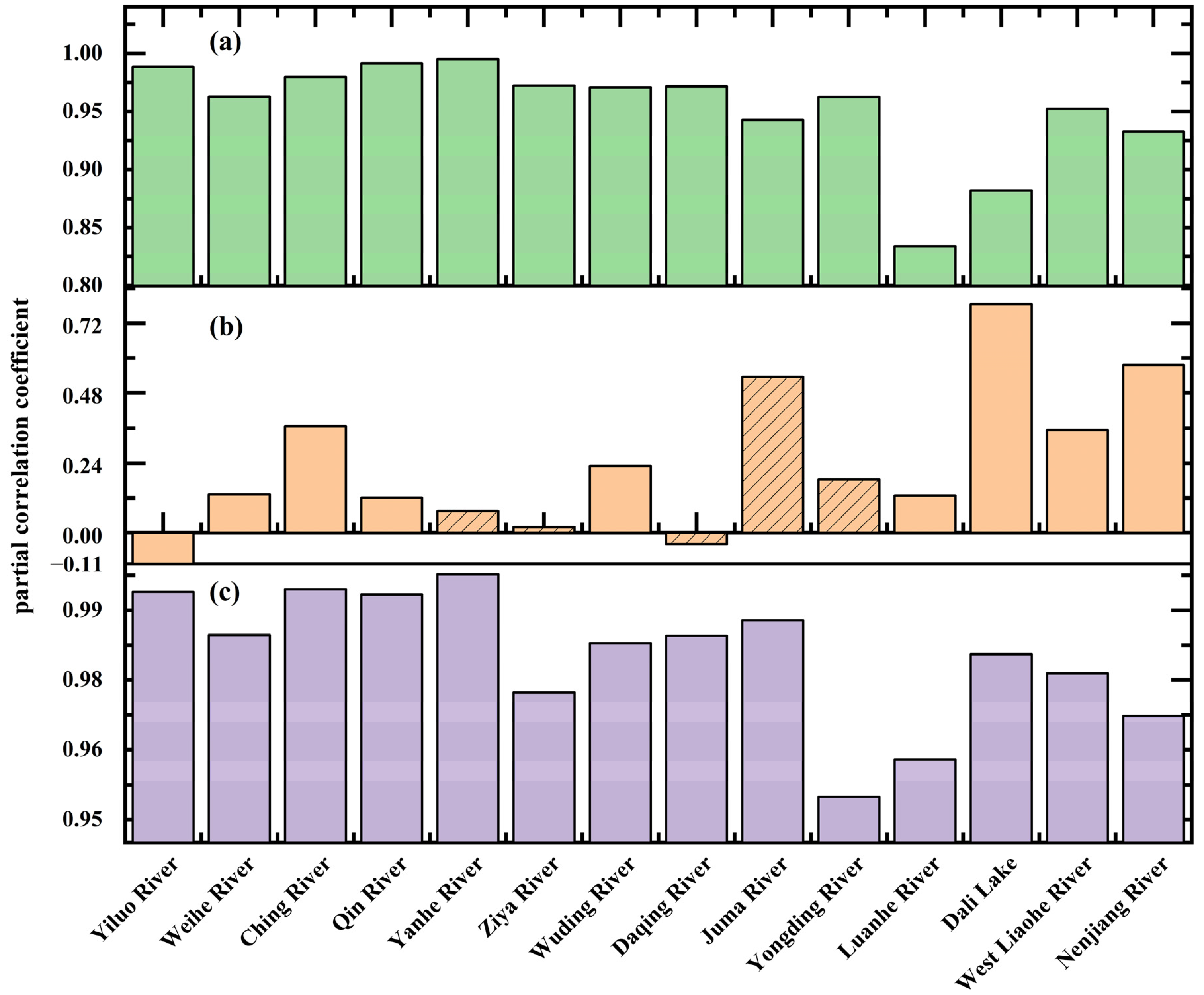
3.3. Attribution Analysis of Compound Drought and Heatwave Events
4. Discussion
5. Conclusions
Author Contributions
Funding
Institutional Review Board Statement
Informed Consent Statement
Data Availability Statement
Conflicts of Interest
Abbreviations
| CDHD | Compound Drought and Heatwave Day |
| CDHE | Compound Drought and Heatwave Event |
| SPI | Standardized Precipitation Index |
| Tmax | Maximum temperature |
References
- Naumann, G.; Alfieri, L.; Wyser, K.; Mentaschi, L.; Betts, R.A.; Carrao, H.; Spinoni, J.; Vogt, J.; Feyen, L. Global Changes in Drought Conditions Under Different Levels of Warming. Geophys. Res. Lett. 2018, 45, 3285–3296. [Google Scholar] [CrossRef]
- Yuan, X.; Wang, Y.; Ji, P.; Wu, P.; Sheffield, J.; Otkin, J.A. A Global Transition to Flash Droughts under Climate Change. Science 2023, 380, 187–191. [Google Scholar] [CrossRef] [PubMed]
- Spinoni, J.; Naumann, G.; Carrao, H.; Barbosa, P.; Vogt, J. World Drought Frequency, Duration, and Severity for 1951–2010: World Drought Climatologies for 1951–2010. Int. J. Climatol. 2014, 34, 2792–2804. [Google Scholar] [CrossRef]
- Keellings, D.; Moradkhani, H. Spatiotemporal Evolution of Heat Wave Severity and Coverage Across the United States. Geophys. Res. Lett. 2020, 47, e2020GL087097. [Google Scholar] [CrossRef]
- Coumou, D.; Rahmstorf, S. A Decade of Weather Extremes. Nat. Clim. Change 2012, 2, 491–496. [Google Scholar] [CrossRef]
- Mishra, A.K.; Singh, V.P. A Review of Drought Concepts. J. Hydrol. 2010, 391, 202–216. [Google Scholar] [CrossRef]
- Zhang, Q.; Yao, Y.; Li, Y.; Huang, J.; Ma, Z.; Wang, Z.; Wang, S.; Wang, Y.; Zhang, Y. Causes and Changes of Drought in China: Research Progress and Prospects. J. Meteorol. Res. 2020, 34, 460–481. [Google Scholar] [CrossRef]
- World Meteorological Organization. Status of mortality and economic losses due to weather-, climate- and water-related hazards from 1970 to 2019. In Atlas of Mortality and Economic Losses from Weather, Climate and Water Extremes (1970–2019); WMO Publisher: Geneva, Switzerland, 2014; Volume 6, pp. 16–54. [Google Scholar]
- Su, B.; Huang, J.; Fischer, T.; Wang, Y.; Kundzewicz, Z.W.; Zhai, J.; Sun, H.; Wang, A.; Zeng, X.; Wang, G.; et al. Drought Losses in China Might Double between the 1.5 °C and 2.0 °C Warming. Proc. Natl. Acad. Sci. USA. 2018, 115, 10600–10605. [Google Scholar] [CrossRef]
- Mazdiyasni, O.; AghaKouchak, A. Substantial Increase in Concurrent Droughts and Heatwaves in the United States. Proc. Natl. Acad. Sci. USA. 2015, 112, 11484–11489. [Google Scholar] [CrossRef]
- Sharma, S.; Mujumdar, P. Increasing Frequency and Spatial Extent of Concurrent Meteorological Droughts and Heatwaves in India. Sci. Rep. 2017, 7, 15582. [Google Scholar] [CrossRef]
- Lee, R.; White, C.J.; Adnan, M.S.G.; Douglas, J.; Mahecha, M.D.; O’Loughlin, F.E.; Patelli, E.; Ramos, A.M.; Roberts, M.J.; Martius, O.; et al. Reclassifying Historical Disasters: From Single to Multi-Hazards. Sci. Total Environ. 2024, 912, 169120. [Google Scholar] [CrossRef]
- Hao, Z.; Singh, V.P.; Hao, F. Compound Extremes in Hydroclimatology: A Review. Water 2018, 10, 718. [Google Scholar] [CrossRef]
- Suzuki, N.; Rivero, R.M.; Shulaev, V.; Blumwald, E.; Mittler, R. Abiotic and Biotic Stress Combinations. New Phytol. 2014, 203, 32–43. [Google Scholar] [CrossRef]
- Feng, S.; Hao, Z.; Zhang, X.; Hao, F. Probabilistic Evaluation of the Impact of Compound Dry-Hot Events on Global Maize Yields. Sci. Total Environ. 2019, 689, 1228–1234. [Google Scholar] [CrossRef] [PubMed]
- Batibeniz, F.; Hauser, M.; Seneviratne, S.I. Countries Most Exposed to Individual and Concurrent Extremes and Near-Permanent Extreme Conditions at Different Global Warming Levels. Earth Syst. Dynam. 2023, 14, 485–505. [Google Scholar] [CrossRef]
- Hao, Z.; AghaKouchak, A.; Phillips, T.J. Changes in Concurrent Monthly Precipitation and Temperature Extremes. Environ. Res. Lett. 2013, 8, 034014. [Google Scholar] [CrossRef]
- Mukherjee, S.; Mishra, A.K.; Ashfaq, M.; Kao, S.-C. Relative Effect of Anthropogenic Warming and Natural Climate Variability to Changes in Compound Drought and Heatwaves. J. Hydrol. 2022, 605, 127396. [Google Scholar] [CrossRef]
- Wu, Y.; Miao, C.; Sun, Y.; AghaKouchak, A.; Shen, C.; Fan, X. Global Observations and CMIP6 Simulations of Compound Extremes of Monthly Temperature and Precipitation. GeoHealth 2021, 5, e2021GH000390. [Google Scholar] [CrossRef] [PubMed]
- Zhang, Y.; Hao, Z.; Feng, S.; Zhang, X.; Hao, F. Comparisons of Changes in Compound Dry and Hot Events in China Based on Different Drought Indicators. Int. J. Climatol. 2022, 42, 8133–8145. [Google Scholar] [CrossRef]
- Yu, R.; Zhai, P. More Frequent and Widespread Persistent Compound Drought and Heat Event Observed in China. Sci. Rep. 2020, 10, 14576. [Google Scholar] [CrossRef]
- Zhang, Y.; Hao, Z.; Feng, S.; Zhang, X.; Hao, F. Changes and Driving Factors of Compound Agricultural Droughts and Hot Events in Eastern China. Agric. Water Manag. 2022, 263, 107485. [Google Scholar] [CrossRef]
- Su, Q.; Dong, B.; Tian, F.; Klingaman, N.P. Anthropogenic Influence on Decadal Changes in Concurrent Hot and Dry Events over China around the Mid-1990s. Adv. Atmos. Sci. 2024, 41, 233–246. [Google Scholar] [CrossRef]
- Sun, W.; Mu, X.; Song, X.; Wu, D.; Cheng, A.; Qiu, B. Changes in Extreme Temperature and Precipitation Events in the Loess Plateau (China) during 1960–2013 under Global Warming. Atmos. Res. 2016, 168, 33–48. [Google Scholar] [CrossRef]
- Cui, L.; Zhong, L.; Meng, J.; An, J.; Zhang, C.; Li, Y. Spatiotemporal Evolution Features of the 2022 Compound Hot and Drought Event over the Yangtze River Basin. Remote Sens. 2024, 16, 1367. [Google Scholar] [CrossRef]
- Kong, Q.; Guerreiro, S.B.; Blenkinsop, S.; Li, X.-F.; Fowler, H.J. Increases in Summertime Concurrent Drought and Heatwave in Eastern China. Weather Clim. Extrem. 2020, 28, 100242. [Google Scholar] [CrossRef]
- Hu, J.; Yang, Z.; Hou, C.; Ouyang, W. Compound Risk Dynamics of Drought by Extreme Precipitation and Temperature Events in a Semi-Arid Watershed. Atmos. Res. 2023, 281, 106474. [Google Scholar] [CrossRef]
- Huang, J.; Ma, J.; Guan, X.; Li, Y.; He, Y. Progress in Semi-Arid Climate Change Studies in China. Adv. Atmos. Sci. 2019, 36, 922–937. [Google Scholar] [CrossRef]
- Xu, F.; Luo, M. Changes of Concurrent Drought and Heat Extremes in the Arid and Semi-arid Regions of China during 1961–2014. Atmos. Sci. Lett. 2019, 20, e947. [Google Scholar] [CrossRef]
- Bian, Y.; Sun, P.; Zhang, Q.; Luo, M.; Liu, R. Amplification of Non-Stationary Drought to Heatwave Duration and Intensity in Eastern China: Spatiotemporal Pattern and Causes. J. Hydrol. 2022, 612, 128154. [Google Scholar] [CrossRef]
- Liu, M.; Yin, Y.; Wang, X.; Ma, X.; Chen, Y.; Chen, W. More Frequent, Long-Lasting, Extreme and Postponed Compound Drought and Hot Events in Eastern China. J. Hydrol. 2022, 614, 128499. [Google Scholar] [CrossRef]
- Qin, R.; Zhao, Z.; Xu, J.; Ye, J.-S.; Li, F.-M.; Zhang, F. HRLT: A High-Resolution (1 d, 1 Km) and Long-Term (1961–2019) Gridded Dataset for Surface Temperature and Precipitation across China. Earth Syst. Sci. Data 2022, 14, 4793–4810. [Google Scholar] [CrossRef]
- Fang, S.; Mao, K.; Xia, X.; Wang, P.; Shi, J.; Bateni, S.M.; Xu, T.; Cao, M.; Heggy, E.; Qin, Z. Dataset of Daily Near-Surface Air Temperature in China from 1979 to 2018. Earth Syst. Sci. Data 2022, 14, 1413–1432. [Google Scholar] [CrossRef]
- Zhang, R.; Bento, V.A.; Qi, J.; Xu, F.; Wu, J.; Qiu, J.; Li, J.; Shui, W.; Wang, Q. The First High Spatial Resolution Multi-Scale Daily SPI and SPEI Raster Dataset for Drought Monitoring and Evaluating over China from 1979 to 2018. Big Earth Data 2023, 7, 860–885. [Google Scholar] [CrossRef]
- Manning, C.; Widmann, M.; Bevacqua, E.; Van Loon, A.F.; Maraun, D.; Vrac, M. Increased Probability of Compound Long-Duration Dry and Hot Events in Europe during Summer (1950–2013). Environ. Res. Lett. 2019, 14, 094006. [Google Scholar] [CrossRef]
- Han, X.; Li, Y.; Yu, W.; Feng, L. Attribution of the Extreme Drought in the Horn of Africa during Short-Rains of 2016 and Long-Rains of 2017. Water 2022, 14, 409. [Google Scholar] [CrossRef]
- Wang, R.; Gentine, P.; Li, L.; Chen, J.; Ning, L.; Yuan, L.; Lü, G. Observational Evidence of Regional Increasing Hot Extreme Accelerated by Surface Energy Partitioning. J. Hydrometeorol. 2022, 23, 491–501. [Google Scholar] [CrossRef]
- Yoon, D.; Chen, J.-H.; Seo, E. Contribution of Land-Atmosphere Coupling in 2022 CONUS Compound Drought-Heatwave Events and Implications for Forecasting. Weather Clim. Extrem. 2024, 46, 100722. [Google Scholar] [CrossRef]
- Wu, X.; Wang, L.; Yao, R.; Luo, M.; Li, X. Identifying the Dominant Driving Factors of Heat Waves in the North China Plain. Atmos. Res. 2021, 252, 105458. [Google Scholar] [CrossRef]
- Zhang, J.; Wu, L.; Dong, W. Land-Atmosphere Coupling and Summer Climate Variability over East Asia. J. Geophys. Res. 2011, 116, D05117. [Google Scholar] [CrossRef]
- Guo, J.; Wang, X.; Fan, Y.; Liang, X.; Jia, H.; Liu, L. How Extreme Events in China Would Be Affected by Global Warming—Insights From a Bias-Corrected CMIP6 Ensemble. Earth’s Future 2023, 11, e2022EF003347. [Google Scholar] [CrossRef]
- Luo, M.; Lau, N.-C. Summer Heat Extremes in Northern Continents Linked to Developing ENSO Events. Environ. Res. Lett. 2020, 15, 074042. [Google Scholar] [CrossRef]
- Wang, C.; Zheng, J.; Lin, W.; Wang, Y. Unprecedented Heatwave in Western North America during Late June of 2021: Roles of Atmospheric Circulation and Global Warming. Adv. Atmos. Sci. 2023, 40, 14–28. [Google Scholar] [CrossRef]
- Cai, W.; Ng, B.; Geng, T.; Jia, F.; Wu, L.; Wang, G.; Liu, Y.; Gan, B.; Yang, K.; Santoso, A.; et al. Inter-Model Consensus Suggests 20th Century ENSO Likely Influenced by Climate Change. Nat. Rev. Earth Environ. 2023, 4, 407–418. [Google Scholar] [CrossRef]
- Forster, P.M.; Smith, C.; Walsh, T.; Lamb, W.F.; Lamboll, R.; Hall, B.; Hauser, M.; Ribes, A.; Rosen, D.; Gillett, N.P.; et al. Indicators of Global Climate Change 2023: Annual Update of Key Indicators of the State of the Climate System and Human Influence. Earth Syst. Sci. Data 2024, 16, 2625–2658. [Google Scholar] [CrossRef]
- Zhang, M.; Dong, B.; Schiemann, R.; Robson, J. Summer Compound Heatwaves over China: Projected Changes at Different Global Warming Levels and Related Physical Processes. Clim. Dyn. 2024, 62, 1887–1907. [Google Scholar] [CrossRef]
- Tian, X.; Tang, C.; Wu, X.; Yang, J.; Zhao, F.; Liu, D. The Global Spatial-Temporal Distribution and EOF Analysis of AOD Based on MODIS Data during 2003–2021. Atmos. Environ. 2023, 302, 119722. [Google Scholar] [CrossRef]
- Hatzianastassiou, N.; Matsoukas, C.; Drakakis, E.; Stackhouse, P.W., Jr.; Koepke, P.; Fotiadi, A.; Pavlakis, K.G.; Vardavas, I. The Direct Effect of Aerosols on Solar Radiation Based on Satellite Observations, Reanalysis Datasets, and Spectral Aerosol Optical Properties from Global Aerosol Data Set (GADS). Atmos. Chem. Phys. 2007, 7, 2585–2599. [Google Scholar] [CrossRef]
- Chen, H.; Yue, Y.; Jiang, Q. Temporal and Spatial Patterns of Extreme Heat on Wheat in China under Climate Change Scenarios. Environ. Exp. Bot. 2024, 226, 105938. [Google Scholar] [CrossRef]
- Xu, W.; Yuan, W.; Wu, D.; Zhang, Y.; Shen, R.; Xia, X.; Ciais, P.; Liu, J. Impacts of Record-Breaking Compound Heatwave and Drought Events in 2022 China on Vegetation Growth. Agric. For. Meteorol. 2024, 344, 109799. [Google Scholar] [CrossRef]
- Wu, X.; Hao, Z.; Hao, F.; Zhang, X. Variations of Compound Precipitation and Temperature Extremes in China during 1961–2014. Sci. Total Environ. 2019, 663, 731–737. [Google Scholar] [CrossRef]
- Collins, B. Frequency of Compound Hot–Dry Weather Extremes Has Significantly Increased in Australia since 1889. J. Agron. Crop Sci. 2022, 208, 941–955. [Google Scholar] [CrossRef]
- Seneviratne, S.I.; Corti, T.; Davin, E.L.; Hirschi, M.; Jaeger, E.B.; Lehner, I.; Orlowsky, B.; Teuling, A.J. Investigating Soil Moisture–Climate Interactions in a Changing Climate: A Review. Earth-Sci. Rev. 2010, 99, 125–161. [Google Scholar] [CrossRef]
- Fischer, E.M.; Seneviratne, S.I.; Vidale, P.L.; Lüthi, D.; Schär, C. Soil Moisture–Atmosphere Interactions during the 2003 European Summer Heat Wave. J. Clim. 2007, 20, 5081–5099. [Google Scholar] [CrossRef]
- Gao, J.; Wu, S. Simulated Effects of Land Cover Conversion on the Surface Energy Budget in the Southwest of China. Energies 2014, 7, 1251–1264. [Google Scholar] [CrossRef]
- Arain, M.; Burke, E.; Yang, Z.; Shuttleworth, W. Implementing Surface Parameter Aggregation Rules in the CCM3 Global Climate Model: Regional Responses at the Land Surface. Hydrol. Earth Syst. Sci. 1999, 3, 463–476. [Google Scholar] [CrossRef]
- Zhang, R.; Zuo, Z. Impact of Spring Soil Moisture on Surface Energy Balance and Summer Monsoon Circulation over East Asia and Precipitation in East China. J. Clim. 2011, 24, 3309–3322. [Google Scholar] [CrossRef]
- Gao, C.; Chen, H.; Sun, S.; Xu, B.; Ongoma, V.; Zhu, S.; Ma, H.; Li, X. Regional Features and Seasonality of Land–Atmosphere Coupling over Eastern China. Adv. Atmos. Sci. 2018, 35, 689–701. [Google Scholar] [CrossRef]
- Gu, X.; Zhang, Q.; Li, J.; Singh, V.P.; Liu, J.; Sun, P.; Cheng, C. Attribution of Global Soil Moisture Drying to Human Activities: A Quantitative Viewpoint. Geophys. Res. Lett. 2019, 46, 2573–2582. [Google Scholar] [CrossRef]
- Deng, X.; Shi, Q.; Zhang, Q.; Shi, C.; Yin, F. Impacts of Land Use and Land Cover Changes on Surface Energy and Water Balance in the Heihe River Basin of China, 2000–2010. Phys. Chem. Earth Parts A/B/C 2015, 79–82, 2–10. [Google Scholar] [CrossRef]
- Sun, G.; Noormets, A.; Gavazzi, M.J.; McNulty, S.G.; Chen, J.; Domec, J.-C.; King, J.S.; Amatya, D.M.; Skaggs, R.W. Energy and Water Balance of Two Contrasting Loblolly Pine Plantations on the Lower Coastal Plain of North Carolina, USA. For. Ecol. Manag. 2010, 259, 1299–1310. [Google Scholar] [CrossRef]
- Betts, R.A. Integrated Approaches to Climate–Crop Modelling: Needs and Challenges. Phil. Trans. R. Soc. B 2005, 360, 2049–2065. [Google Scholar] [CrossRef]
- Zhang, Y.; Hao, Z.; Zhang, X.; Hao, F. Anthropogenically Forced Increases in Compound Dry and Hot Events at the Global and Continental Scales. Environ. Res. Lett. 2022, 17, 024018. [Google Scholar] [CrossRef]
- Zeng, J.; Li, H.; Sun, B.; Chen, H.; Wang, H.; Zhou, B.; Duan, M. Summertime Compound Heat Wave and Drought Events in China: Interregional and Subseasonal Characteristics, and the Associated Driving Factors. Environ. Res. Lett. 2024, 19, 074046. [Google Scholar] [CrossRef]
- Yihui, D.; Chan, J.C.L. The East Asian Summer Monsoon: An Overview. Meteorol. Atmos. Phys. 2005, 89, 117–142. [Google Scholar] [CrossRef]
- Cook, B.I.; Smerdon, J.E.; Seager, R.; Coats, S. Global Warming and 21st Century Drying. Clim. Dyn. 2014, 43, 2607–2627. [Google Scholar] [CrossRef]
- Zhang, J.; Chen, H.; Zhang, Q. Extreme Drought in the Recent Two Decades in Northern China Resulting from Eurasian Warming. Clim. Dyn. 2019, 52, 2885–2902. [Google Scholar] [CrossRef]
- Zhou, X.; Lu, R. The Unprecedented Extreme Anticyclonic Anomaly over Northeast Asia in July 2021 and Its Climatic Impacts. Adv. Atmos. Sci. 2024, 41, 608–618. [Google Scholar] [CrossRef]
- Zhai, P.; Zhang, X.; Wan, H.; Pan, X. Trends in Total Precipitation and Frequency of Daily Precipitation Extremes over China. J. Clim. 2005, 18, 1096–1108. [Google Scholar] [CrossRef]











| Severity Level | Definition |
|---|---|
| all | Tmax ≥ Tmax85, SPI ≤ −0.5 |
| moderate | (Tmax ≥ Tmax85, −1.0 < SPI ≤ −0.5) ∪ (Tmax85 ≤ Tmax < Tmax90, SPI ≤−1) |
| severe | (Tmax ≥ Tmax90, −1.5 < SPI ≤ −1.0) ∪ (Tmax90 ≤ Tmax < Tmax95, SPI < −1.5) |
| extreme | Tmax ≥ Tmax95, SPI ≤ −1.5 |
| Title 1 | All | Moderate | Severe | Extreme |
|---|---|---|---|---|
| heatwave events | 0.992 * | 0.991 * | 0.971 * | 0.980 * |
| drought event | 0.258 | 0.411 | 0.381 | 0.157 |
Disclaimer/Publisher’s Note: The statements, opinions and data contained in all publications are solely those of the individual author(s) and contributor(s) and not of MDPI and/or the editor(s). MDPI and/or the editor(s) disclaim responsibility for any injury to people or property resulting from any ideas, methods, instructions or products referred to in the content. |
© 2025 by the authors. Licensee MDPI, Basel, Switzerland. This article is an open access article distributed under the terms and conditions of the Creative Commons Attribution (CC BY) license (https://creativecommons.org/licenses/by/4.0/).
Share and Cite
Liu, Z.; Hu, S.; Mo, X. Spatiotemporal Variation of Compound Drought and Heatwave Events in Semi-Arid and Semi-Humid Regions of China. Atmosphere 2025, 16, 568. https://doi.org/10.3390/atmos16050568
Liu Z, Hu S, Mo X. Spatiotemporal Variation of Compound Drought and Heatwave Events in Semi-Arid and Semi-Humid Regions of China. Atmosphere. 2025; 16(5):568. https://doi.org/10.3390/atmos16050568
Chicago/Turabian StyleLiu, Zihan, Shi Hu, and Xingguo Mo. 2025. "Spatiotemporal Variation of Compound Drought and Heatwave Events in Semi-Arid and Semi-Humid Regions of China" Atmosphere 16, no. 5: 568. https://doi.org/10.3390/atmos16050568
APA StyleLiu, Z., Hu, S., & Mo, X. (2025). Spatiotemporal Variation of Compound Drought and Heatwave Events in Semi-Arid and Semi-Humid Regions of China. Atmosphere, 16(5), 568. https://doi.org/10.3390/atmos16050568

