Biomass Burning over Africa: How to Explain the Differences Observed Between the Different Emission Inventories?
Abstract
1. Introduction
2. Materials and Methods
2.1. Methodology
2.2. Collection 5 MODIS Burned Area Product
2.3. Global Vegetation Cover Map
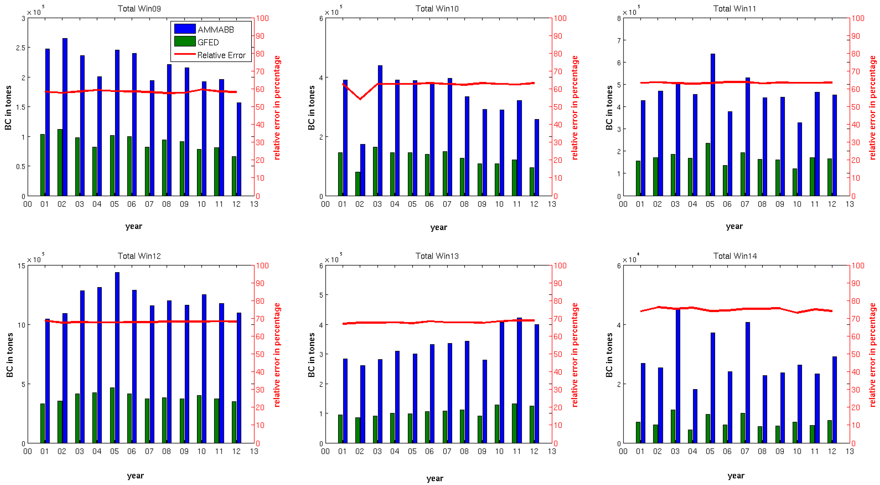
3. Results
3.1. BE, BD Spatial Comparison
3.2. Frequently Burned Vegetation Types
3.3. BC and OC Emissions Spatial Distribution
3.4. Vegetation Contribution to BC and OC Emissions
4. Discussion
5. Conclusions
Author Contributions
Funding
Institutional Review Board Statement
Informed Consent Statement
Data Availability Statement
Acknowledgments
Conflicts of Interest
Appendix A

References
- van der Werf, G.R.; Randerson, J.T.; Giglio, L.; Collatz, G.J.; Kasibhatla, P.S.; Arellano, A.F., Jr. Interannual variability in global biomass burning emissions from 1997 to 2004. Atmos. Chem. Phys. 2006, 6, 3423–3441. [Google Scholar] [CrossRef]
- Barbosa, P.M.; Stroppiana, D.; Grégoire, J.M.; Cardoso Pereira, J.M. An assessment of vegetation fire in Africa (1981–1991): Burned areas, burned biomass, and atmospheric emissions. Glob. Biogeochem. Cycles 1999, 13, 933–950. [Google Scholar] [CrossRef]
- Norgrove, L.; Hauser, S. Estimating the consequences of fire exclusion for food crop production, soil fertility, and fallow recovery in shifting cultivation landscapes in the humid tropics. Environ. Manag. 2015, 55, 536–549. [Google Scholar] [CrossRef] [PubMed]
- N’Dri, A.B.; Kone, A.W.; Loukou, S.K.; Barot, S.; Gignoux, J. Carbon and nutrient losses through biomass burning, and links with soil fertility and yam (Dioscorea alata) production. Exp. Agric. 2019, 55, 738–751. [Google Scholar] [CrossRef]
- Veraverbeke, S.; Rogers, B.M.; Goulden, M.L.; Jandt, R.R.; Miller, C.E.; Wiggins, E.B.; Randerson, J.T. Lightning as a major driver of recent large fire years in North American boreal forests. Nat. Clim. Chang. 2017, 7, 529–534. [Google Scholar] [CrossRef]
- Seiler, W.; Crutzen, P.J. Estimates of gross and net fluxes of carbon between the biosphere and the atmosphere from biomass burning. Clim. Chang. 1980, 2, 207–247. [Google Scholar] [CrossRef]
- Andreae, M.O.; Crutzen, P.J. Atmospheric aerosols: Biogeochemical sources and role in atmospheric chemistry. Science 1997, 276, 1052–1058. [Google Scholar] [CrossRef]
- Laris, P.; Koné, M.; Dembélé, F.; Rodrigue, C.M.; Yang, L.; Jacobs, R.; Laris, Q.; Camara, F. The pyrogeography of methane emissions from seasonal mosaic burning regimes in a West African landscape. Fire 2023, 6, 52. [Google Scholar] [CrossRef]
- Fan, H.; Yang, X.; Zhao, C.; Yang, Y.; Shen, Z. Spatiotemporal variation characteristics of global fires and their emissions. Atmos. Chem. Phys. 2023, 23, 7781–7798. [Google Scholar] [CrossRef]
- Andreae, M.O. Biomass burning in the tropics: Impact on environmental quality and global climate. Popul. Dev. Rev. 1990, 16, 268–291. [Google Scholar] [CrossRef]
- Tripathi, S.; Yadav, S.; Sharma, K. Air pollution from biomass burning in India. Environ. Res. Lett. 2024, 19, 073007. [Google Scholar] [CrossRef]
- Yadav, I.C.; Devi, N.L. Biomass burning, regional air quality, and climate change. Encycl. Environ. Health 2019, 2, 386–391. [Google Scholar]
- Andela, N.; Van Der Werf, G.R. Recent trends in African fires driven by cropland expansion and El Niño to La Niña transition. Nat. Clim. Change 2014, 4, 791–795. [Google Scholar] [CrossRef]
- Ramo, R.; Roteta, E.; Bistinas, I.; van Wees, D.; Bastarrika, A.; Chuvieco, E.; van der Werf, G.R. African burned area and fire carbon emissions are strongly impacted by small fires undetected by coarse resolution satellite data. Proc. Natl. Acad. Sci. USA 2021, 118, e2011160118. [Google Scholar] [CrossRef]
- Damoah, R.; Spichtinger, N.; Forster, C.; James, P.; Mattis, I.; Wandinger, U.; Beirle, S.; Wagner, T.; Stohl, A. Around the world in 17 days-hemispheric-scale transport of forest fire smoke from Russia in May 2003. Atmos. Chem. Phys. 2004, 4, 1311–1321. [Google Scholar] [CrossRef]
- Martins, L.D.; Hallak, R.; Alves, R.C.; de Almeida, D.S.; Squizzato, R.; Moreira, C.A.; Beal, A.; da Silva, I.; Rudke, A.; Martins, J.A.; et al. Long-range transport of aerosols from biomass burning over southeastern South America and their implications on air quality. Aerosol Air Qual. Res. 2018, 18, 1734–1745. [Google Scholar] [CrossRef]
- Nguyen, L.S.P.; Huang, H.Y.; Lei, T.L.; Bui, T.T.; Wang, S.H.; Chi, K.H.; Sheu, G.R.; Lee, C.T.; Ou-Yang, C.F.; Lin, N.H. Characterizing a landmark biomass-burning event and its implication for aging processes during long-range transport. Atmos. Environ. 2020, 241, 117766. [Google Scholar] [CrossRef]
- Su, M.; Shi, Y.; Yang, Y.; Guo, W. Impacts of different biomass burning emission inventories: Simulations of atmospheric CO2 concentrations based on GEOS-Chem. Sci. Total Environ. 2023, 876, 162825. [Google Scholar] [CrossRef] [PubMed]
- Hua, W.; Lou, S.; Huang, X.; Xue, L.; Ding, K.; Wang, Z.; Ding, A. Diagnosing uncertainties in global biomass burning emission inventories and their impact on modeled air pollutants. Atmos. Chem. Phys. 2024, 24, 6787–6807. [Google Scholar] [CrossRef]
- Michel, C.; Liousse, C.; Grégoire, J.M.; Tansey, K.; Carmichael, G.; Woo, J.H. Biomass burning emission inventory from burnt area data given by the SPOT-VEGETATION system in the frame of TRACE-P and ACE-Asia campaigns. J. Geophys. Res. Atmos. 2005, 110. [Google Scholar] [CrossRef]
- Generoso, S.; Bey, I.; Attié, J.L.; Bréon, F.M. A satellite-and model-based assessment of the 2003 Russian fires: Impact on the Arctic region. J. Geophys. Res. Atmos. 2007, 112. [Google Scholar] [CrossRef]
- Stroppiana, D.; Brivio, P.; Grégoire, J.M.; Liousse, C.; Guillaume, B.; Granier, C.; Mieville, A.; Chin, M.; Pétron, G. Comparison of global inventories of CO emissions from biomass burning derived from remotely sensed data. Atmos. Chem. Phys. 2010, 10, 12173–12189. [Google Scholar] [CrossRef]
- Nguyen, H.M.; Wooster, M.J. Advances in the estimation of high Spatio-temporal resolution pan-African top-down biomass burning emissions made using geostationary fire radiative power (FRP) and MAIAC aerosol optical depth (AOD) data. Remote Sens. Environ. 2020, 248, 111971. [Google Scholar] [CrossRef]
- Shi, Y.; Zang, S.; Matsunaga, T.; Yamaguchi, Y. A multi-year and high-resolution inventory of biomass burning emissions in tropical continents from 2001–2017 based on satellite observations. J. Clean. Prod. 2020, 270, 122511. [Google Scholar] [CrossRef]
- Ellicott, E.; Vermote, E.; Giglio, L.; Roberts, G. Estimating biomass consumed from fire using MODIS FRE. Geophys. Res. Lett. 2009, 36. [Google Scholar] [CrossRef]
- Soja, A.J.; Cofer, W.R.; Shugart, H.H.; Sukhinin, A.I.; Stackhouse, P.W., Jr.; McRae, D.J.; Conard, S.G. Estimating fire emissions and disparities in boreal Siberia (1998–2002). J. Geophys. Res. Atmos. 2004, 109. [Google Scholar] [CrossRef]
- Van Der Werf, G.R.; Randerson, J.T.; Collatz, G.J.; Giglio, L. Carbon emissions from fires in tropical and subtropical ecosystems. Glob. Change Biol. 2003, 9, 547–562. [Google Scholar] [CrossRef]
- Liousse, C.; Guillaume, B.; Grégoire, J.M.; Mallet, M.; Galy, C.; Pont, V.; Akpo, A.; Bedou, M.; Castéra, P.; Dungall, L.; et al. Updated African biomass burning emission inventories in the framework of the AMMA-IDAF program, with an evaluation of combustion aerosols. Atmos. Chem. Phys. 2010, 10, 9631–9646. [Google Scholar] [CrossRef]
- Randerson, J.; Van Der Werf, G.; Giglio, L.; Collatz, G.; Kasibhatla, P. Global Fire Emissions Database, Version 4.1 (GFEDv4); ORNL DAAC: Oak Ridge, TN, USA, 2018. [Google Scholar]
- Kaiser, J.; Heil, A.; Andreae, M.; Benedetti, A.; Chubarova, N.; Jones, L.; Morcrette, J.J.; Razinger, M.; Schultz, M.; Suttie, M.; et al. Biomass burning emissions estimated with a global fire assimilation system based on observed fire radiative power. Biogeosciences 2012, 9, 527–554. [Google Scholar] [CrossRef]
- Tansey, K.; Grégoire, J.M.; Defourny, P.; Leigh, R.; Pekel, J.F.; Van Bogaert, E.; Bartholomé, E. A new, global, multi-annual (2000–2007) burnt area product at 1 km resolution. Geophys. Res. Lett. 2008, 35. [Google Scholar] [CrossRef]
- Williams, A.; Jones, J.; Ma, L.; Pourkashanian, M. Pollutants from the combustion of solid biomass fuels. Prog. Energy Combust. Sci. 2012, 38, 113–137. [Google Scholar] [CrossRef]
- Johnson, B.T.; Haywood, J.M.; Langridge, J.M.; Darbyshire, E.; Morgan, W.T.; Szpek, K.; Brooke, J.K.; Marenco, F.; Coe, H.; Artaxo, P.; et al. Evaluation of biomass burning aerosols in the HadGEM3 climate model with observations from the SAMBBA field campaign. Atmos. Chem. Phys. 2016, 16, 14657–14685. [Google Scholar] [CrossRef]
- Mallet, M.; Solmon, F.; Nabat, P.; Elguindi, N.; Waquet, F.; Bouniol, D.; Sayer, A.M.; Meyer, K.; Roehrig, R.; Michou, M.; et al. Direct and semi-direct radiative forcing of biomass-burning aerosols over the southeast Atlantic (SEA) and its sensitivity to absorbing properties: A regional climate modeling study. Atmos. Chem. Phys. 2020, 20, 13191–13216. [Google Scholar] [CrossRef]
- Zhong, Q.; Schutgens, N.; van der Werf, G.R.; Van Noije, T.; Bauer, S.E.; Tsigaridis, K.; Mielonen, T.; Checa-Garcia, R.; Neubauer, D.; Kipling, Z.; et al. Using modelled relationships and satellite observations to attribute modelled aerosol biases over biomass burning regions. Nat. Commun. 2022, 13, 5914. [Google Scholar] [CrossRef] [PubMed]
- Giglio, L.; Csiszar, I.; Justice, C.O. Global distribution and seasonality of active fires as observed with the Terra and Aqua Moderate Resolution Imaging Spectroradiometer (MODIS) sensors. J. Geophys. Res. Biogeosci. 2006, 111. [Google Scholar] [CrossRef]
- Giglio, L.; Randerson, J.; Van der Werf, G.; Kasibhatla, P.; Collatz, G.; Morton, D.; DeFries, R. Assessing variability and long-term trends in burned area by merging multiple satellite fire products. Biogeosciences 2010, 7, 1171–1186. [Google Scholar] [CrossRef]
- Potter, C.S.; Randerson, J.T.; Field, C.B.; Matson, P.A.; Vitousek, P.M.; Mooney, H.A.; Klooster, S.A. Terrestrial ecosystem production: A process model based on global satellite and surface data. Glob. Biogeochem. Cycles 1993, 7, 811–841. [Google Scholar] [CrossRef]
- Friedl, M.A.; McIver, D.K.; Hodges, J.C.; Zhang, X.Y.; Muchoney, D.; Strahler, A.H.; Woodcock, C.E.; Gopal, S.; Schneider, A.; Cooper, A.; et al. Global land cover mapping from MODIS: Algorithms and early results. Remote Sens. Environ. 2002, 83, 287–302. [Google Scholar] [CrossRef]
- Andreae, M.O.; Merlet, P. Emission of trace gases and aerosols from biomass burning. Glob. Biogeochem. Cycles 2001, 15, 955–966. [Google Scholar] [CrossRef]
- Liousse, C.; Andreae, M.O.; Artaxo, P.; Barbosa, P.; Cachier, H.; Grégoire, J.; Hobbs, P.; Lavoué, D.; Mouillot, F.; Penner, J.; et al. Deriving global quantitative estimates for spatial and temporal distributions of biomass burning emissions. In Emissions of Atmospheric Trace Compounds; Springer: Berlin/Heidelberg, Germany, 2004; pp. 71–113. [Google Scholar]
- Bian, H.; Chin, M.; Kawa, S.; Duncan, B.; Arellano, A.; Kasibhatla, P. Sensitivity of global CO simulations to uncertainties in biomass burning sources. J. Geophys. Res. Atmos. 2007, 112. [Google Scholar] [CrossRef]
- Carter, T.S.; Heald, C.L.; Jimenez, J.L.; Campuzano-Jost, P.; Kondo, Y.; Moteki, N.; Schwarz, J.P.; Wiedinmyer, C.; Darmenov, A.S.; da Silva, A.M.; et al. How emissions uncertainty influences the distribution and radiative impacts of smoke from fires in North America. Atmos. Chem. Phys. Discuss. 2019, 2019, 1–50. [Google Scholar] [CrossRef]
- Ramnarine, E.; Kodros, J.K.; Hodshire, A.L.; Lonsdale, C.R.; Alvarado, M.J.; Pierce, J.R. Effectsof near-source coagulation of biomass burning aerosols on global predictions of aerosol size distributions and implications for aerosol radiative effects. Atmos. Chem. Phys. 2019, 19, 6561–6577. [Google Scholar] [CrossRef]
- Menaut, J.C.; Abbadie, L.; Lavenu, F.; Loudjani, P.; Podaire, A. Biomass Burning in West African Savannas; Massachusetts Inst. of Tech. Press: Cambridge, MA, USA, 1991; pp. 133–142. [Google Scholar]
- N’Datchoh, E.; Konaré, A.; Diedhiou, A.; Diawara, A.; Quansah, E.; Assamoi, P. Effects of climate variability on savannah fire regimes in West Africa. Earth Syst. Dyn. 2015, 6, 161–174. [Google Scholar] [CrossRef]
- Soro, T.D.; Koné, M.; N’Dri, A.B.; N’Datchoh, E.T. Identified main fire hotspots and seasons in Cote d’lvoire (West Africa) using MODIS fire data. S. Afr. J. Sci. 2021, 117, 1–13. [Google Scholar] [CrossRef]
- Mayaux, P.; Eva, H.; Gallego, J.; Strahler, A.H.; Herold, M.; Agrawal, S.; Naumov, S.; De Miranda, E.E.; Di Bella, C.M.; Ordoyne, C.; et al. Validation of the global land cover 2000 map. IEEE Trans. Geosci. Remote Sens. 2006, 44, 1728–1739. [Google Scholar] [CrossRef]
- Roy, D.P.; Boschetti, L.; Justice, C.; Ju, J. The collection 5 MODIS burned area product—Global evaluation by comparison with the MODIS active fire product. Remote Sens. Environ. 2008, 112, 3690–3707. [Google Scholar] [CrossRef]
- Pereira, J.; Chuvieco, E.; Beaudoin, A.; Desbois, N. Remote Sensing of Burned Areas: A Review. A Review of Remote Sensing Methods for the Study of Large Wildland Fires; Departamento de Geografa, Universidad de Alcal: Alcalá de Henares, Spain, 1997; pp. 127–184. [Google Scholar]
- Roy, D.P. Multi-temporal active-fire based burn scar detection algorithm. Int. J. Remote Sens. 1999, 20, 1031–1038. [Google Scholar] [CrossRef]
- Boschetti, L.; Roy, D.P.; Justice, C.O.; Humber, M.L. MODIS–Landsat fusion for large area 30 m burned area mapping. Remote Sens. Environ. 2015, 161, 27–42. [Google Scholar] [CrossRef]
- Bartholome, E.; Belward, A.S. GLC2000: A new approach to global land cover mapping from Earth observation data. Int. J. Remote Sens. 2005, 26, 1959–1977. [Google Scholar] [CrossRef]
- Thaxton, J.M.; Platt, W.J. Small-scale fuel variation alters fire intensity and shrub abundance in a pine savanna. Ecology 2006, 87, 1331–1337. [Google Scholar] [CrossRef]
- dos Santos, A.C.; da Rocha Montenegro, S.; Schmidt, I.B. Fire season and fuel load predict fire behavior in open savannas in Northern Cerrado. Biodiversidade Bras. 2019, 9, 91. [Google Scholar]
- Di Giuseppe, F.; Benedetti, A.; Coughlan, R.; Vitolo, C.; Vuckovic, M. A global bottom-up approach to estimate fuel consumed by fires using above ground biomass observations. Geophys. Res. Lett. 2021, 48, e2021GL095452. [Google Scholar] [CrossRef]
- Savadogo, P.; Zida, D.; Sawadogo, L.; Tiveau, D.; Tigabu, M.; Odén, P.C. Fuel and fire characteristics in savanna–woodland of West Africa in relation to grazing and dominant grass type. Int. J. Wildland Fire 2007, 16, 531–539. [Google Scholar] [CrossRef]
- N’Dri, A.B.; Konan, L.N. Does the date of burning affect carbon and nutrient losses in a humid savanna of West Africa. Environ. Nat. Resour. Res. 2018, 8, 102. [Google Scholar]
- van Leeuwen, T.T.; van der Werf, G.R.; Hoffmann, A.A.; Detmers, R.G.; Rücker, G.; French, N.H.; Archibald, S.; Carvalho, J., Jr.; Cook, G.D.; de Groot, W.J.; et al. Biomass burning fuel consumption rates: A field measurement database. Biogeosciences 2014, 11, 7305–7329. [Google Scholar] [CrossRef]
- Laris, P.; Koné, M.; Dembélé, F.; Rodrigue, C.M.; Yang, L.; Jacobs, R.; Laris, Q. Methane gas emissions from savanna fires: What analysis of local burning regimes in a working West African landscape tell us. Biogeosciences 2021, 18, 6229–6244. [Google Scholar] [CrossRef]
- Sankaran, M.; Hanan, N.P.; Scholes, R.J.; Ratnam, J.; Augustine, D.J.; Cade, B.S.; Gignoux, J.; Higgins, S.I.; Le Roux, X.; Ludwig, F.; et al. Determinants of woody cover in African savannas. Nature 2005, 438, 846–849. [Google Scholar] [CrossRef]
- Balch, J.K.; Bradley, B.A.; D’Antonio, C.M.; Gómez-Dans, J. Introduced annual grass increases regional fire activity across the arid western USA (1980–2009). Glob. Change Biol. 2013, 19, 173–183. [Google Scholar] [CrossRef]
- Cardoso, A.W.; Archibald, S.; Bond, W.J.; Coetsee, C.; Forrest, M.; Govender, N.; Lehmann, D.; Makaga, L.; Mpanza, N.; Ndong, J.E.; et al. Quantifying the environmental limits to fire spread in grassy ecosystems. Proc. Natl. Acad. Sci. USA 2022, 119, e2110364119. [Google Scholar] [CrossRef]
- N’Dri, A.B.; Kpré, A.J.N.; Doumbia, A. Managing fires in a woody encroachment context: Fine fuel load does not change across fire seasons in a Guinean savanna (West Africa). J. Environ. Manag. 2024, 371, 123236. [Google Scholar] [CrossRef]
- Gill, A.M.; Allan, G. Large fires, fire effects and the fire-regime concept. Int. J. Wildland Fire 2008, 17, 688–695. [Google Scholar] [CrossRef]
- Mbow, C.; Nielsen, T.T.; Rasmussen, K. Savanna fires in east-central Senegal: Distribution patterns, resource management and perceptions. Hum. Ecol. 2000, 28, 561–583. [Google Scholar] [CrossRef]
- Andela, N.; Van Der Werf, G.R.; Kaiser, J.W.; Van Leeuwen, T.T.; Wooster, M.J.; Lehmann, C.E. Biomass burning fuel consumption dynamics in the tropics and subtropics assessed from satellite. Biogeosciences 2016, 13, 3717–3734. [Google Scholar] [CrossRef]
- Roberts, G.; Wooster, M.J.; Xu, W.; He, J. Fire activity and fuel consumption dynamics in sub-Saharan Africa. Remote Sens. 2018, 10, 1591. [Google Scholar] [CrossRef]
- Mota, B.; Wooster, M.J. A new top-down approach for directly estimating biomass burning emissions and fuel consumption rates and totals from geostationary satellite fire radiative power (FRP). Remote Sens. Environ. 2018, 206, 45–62. [Google Scholar] [CrossRef]
- Roberts, G.; Wooster, M.; Freeborn, P.; Xu, W. Integration of geostationary FRP and polar-orbiter burned area datasets for an enhanced biomass burning inventory. Remote Sens. Environ. 2011, 115, 2047–2061. [Google Scholar] [CrossRef]








| AMMABB | GFED | Ratios (AMMABB/GFED) | BDBE Relative Difference | Mean Burned Vegetation | |||||||||||||
|---|---|---|---|---|---|---|---|---|---|---|---|---|---|---|---|---|---|
| GLC Name | GLC Code | BE | BD (kg/m2) | BDBE (kg/m2) | BE | BD (kg/m2) | BDBE (kg/m2) | BE Ratio | BD Ratio | BDBE Ratio | (%) | Win09 (%) | Win10 (%) | Win11 (%) | Win12 (%) | Win13 (%) | Win14 (%) |
| Tr. cov. broad. ever. | 1 | 0.25 | 23.35 | 5.837 | 0.396 | 8.216 | 3.253 | 0.631 | 2.842 | 1.795 | 44.27 | 0.11 ± 0.04 | 0.30 ± 0.07 | 0.43 ± 0.12 | 3.24 ± 0.54 | 0.39 ± 0.16 | 2.39 ± 0.68 |
| Tr. cov. Broad. Decid. closed | 2 | 0.25 | 20 | 5.000 | 0.715 | 1.091 | 0.780 | 0.350 | 18.335 | 6.412 | 84.4 | 0.00 | 0.00 | 0.02 ± 0.01 | 18.04 ± 1.16 | 8.84 ± 0.92 | 4.42 ± 0/97 |
| Tr. cov. Broad. Decid. open | 3 | 0.4 | 3.3 | 1.320 | 0.208 | 0.873 | 0.672 | 1.923 | 3.780 | 1.965 | 49.08 | 34.21 ± 2.43 | 28.54 ± 0.84 | 15.91 ± 0.90 | 37.16 ± 0.77 | 28.04 ± 1.37 | 0.00 |
| Tr. cov. Needle-leav. Ever. | 4 | 0.25 | 36.7 | 9.175 | - | - | - | - | - | - | - | 0.00 | 0.00 | 0.00 | 0.00 | 0.00 | 0.00 |
| Tr. Cov. Needle-leav. Decid. | 5 | 0.25 | 18.9 | 4.725 | - | - | - | - | - | - | - | 0.00 | 0.00 | 0.00 | 0.00 | 0.00 | 0.00 |
| Tr. Cov. Mixed. Leaf typ. | 6 | 0.25 | 14 | 3.500 | 0.695 | - | - | 0.360 | - | - | - | 0.00 | 0.00 | 0.00 | 0.00 | 0.00 | 0.00 |
| Tr. Cov. Regul. Flood. Fresh wat. (brackish) | 7 | 0.25 | 27 | 6.750 | 0.298 | 20.210 | 0.8399 | 1.336 | 2.159 | 100 | 0.00 | 0.00 | 0.00 | 0.00 | 0.00 | 0.00 | |
| Tr. Cov. Reg. Flood. Sal. Wat. | 8 | 0.6 | 14 | 8.400 | 0.613 | 5.432 | 0.914 | 0.979 | 2.577 | 9.189 | 89.12 | 0.03 ± 0.01 | 0.00 | 0.00 | 0.00 | 0.20 ± 0.06 | 0.06 ± 0.02 |
| Mos. Tr. Cov./Oth. Nat. Veget. | 9 | 0.35 | 10 | 3.500 | 0.674 | 1.149 | 1.085 | 0.519 | 8.700 | 3.226 | 69.00 | 0.01 ± 0.003 | 8.16 ± 1.32 | 10.47 ± 1.80 | 4.55 ± 1.43 | 0.03 ± 0.01 | 0.00 |
| Tr. cov. burnt | 10 | - | - | - | - | - | - | - | - | - | - | 0.00 | 0.00 | 0.00 | 0.00 | 0.00 | 0.00 |
| Shr. Cov. Closed-open, ever. | 11 | 0.9 | 1.25 | 1.125 | 0.818 | 0.501 | - | 1.100 | 2.494 | - | - | 0.00 | 0.00 | 0.00 | 0.00 | 0.00 | 0.00 |
| Shr. Cov. Closed-open, decid. | 12 | 0.4 | 3.3 | 1.320 | 0.799 | 0.501 | 0.401 | 0.501 | 6.585 | 3.295 | 69.62 | 38.93 ± 0.82 | 32.16 ± 1.70 | 37.67 ± 1.67 | 22.16 ± 0.48 | 33.95 ± 1.24 | 31.67 ± 2.9 |
| Herb. Cov. Closed-open | 13 | 0.9 | 1.425 | 1.282 | 0.850 | 0.272 | 0.232 | 1.059 | 5.230 | 5.521 | 81.90 | 0.58 ± 0.34 | 0.75 ± 0.24 | 1.69 ± 0.51 | 6.99 ± 0.52 | 10.86 ± 1.31 | 58.57 ± 2.75 |
| Spar. Herb./spar. Shr. Cov | 14 | 0.6 | 0.9 | 0.540 | 0.906 | 0.088 | 0.080 | 0.662 | 10.227 | 6.770 | 85.18 | 0.07 ± 0.09 | 0.12 ± 0.11 | 0.40 ± 0.17 | 0.04 ± 0.03 | 0.07 ± 0.07 | 0.00 |
| Reg. Flood. Shr./Heb. Cov. | 15 | 0.25 | 9.55 | 2.387 | 0.317 | 0.921 | 0.701 | 0.789 | 10.370 | 3.405 | 70.63 | 0.02 ± 0.01 | 1.25 ± 0.17 | 2.42 ± 0.62 | 0.49 ± 0.05 | 2.48 ± 0.54 | 0.00 |
| Cult. And man. areas | 16 | 0.6 | 0.40 | 0.264 | 0.780 | 0.338 | 0.264 | 0.769 | 1.301 | 1.001 | 0.00 | 4.77 ± 1.19 | 3.03 ± 0.55 | 9.83 ± 0.76 | 6.35 ± 0.48 | 14.70 ± 1.26 | 0.01 ± 0.007 |
| Mos. Crop./Tr. Cov./Oth. Nat.Veget. | 17 | 0.35 | 10 | 3.500 | 0.522 | 48.309 | 1.108 | 0.670 | 0.207 | 3.158 | 68.34 | 3.35 ± 0.83 | 0.22 ± 0.06 | 1.00 ± 0.26 | 0.38 ± 0.15 | 0.06 ± 0.02 | 2.81 ± 0.81 |
| Mos. Crop./Shr. Grass Cov. | 18 | 0.75 | 1 | 0.750 | 0.850 | 0.290 | 0.246 | 0.882 | 3.445 | 3.050 | 67.2 | 17.70 ± 1.66 | 25.28 ± 1.33 | 19.96 ± 1.16 | 0.38 ± 0.12 | 0.00 | 0.00 |
| Bare areas | 19 | - | - | - | - | - | 0.055 | - | - | - | - | 0.01 ± 0.01 | 0.09 ± 0.10 | 0.17 ± 0.01 | 0.00 | 0.16 ± 0.10 | 0.00 |
| Water bodies | 20 | - | - | - | - | - | 0.504 | - | - | - | - | 0.19 ± 0.05 | 0.12 ± 0.03 | 0.04 ± 0.02 | 0.20 ± 0.03 | 0.08 ± 0.01 | 0.07 ± 0.02 |
| Snow and Ice | 21 | - | - | - | - | - | - | - | - | - | - | 0.00 | 0.00 | 0.00 | 0.00 | 0.00 | 0.00 |
| Artf. Surf. And asso. areas | 22 | - | - | - | - | - | 0.075 | - | - | - | - | 0.00 | 0.00 | 0.00 | 0.00 | 0.13 ± 0.04 | 0.00 |
| Win09 | Win10 | Win11 | Win12 | Win13 | Win14 | |||||||
|---|---|---|---|---|---|---|---|---|---|---|---|---|
| Mean reatio AMMABB-like/GFED-Like | BC | OC | BC | OC | BC | OC | BC | OC | BC | OC | BC | OC |
| 2.402 | 2.431 | 2.659 | 2.650 | 2.730 | 2.794 | 3.122 | 3.392 | 3.115 | 3.393 | 3.973 | 3.930 | |
Disclaimer/Publisher’s Note: The statements, opinions and data contained in all publications are solely those of the individual author(s) and contributor(s) and not of MDPI and/or the editor(s). MDPI and/or the editor(s) disclaim responsibility for any injury to people or property resulting from any ideas, methods, instructions or products referred to in the content. |
© 2025 by the authors. Licensee MDPI, Basel, Switzerland. This article is an open access article distributed under the terms and conditions of the Creative Commons Attribution (CC BY) license (https://creativecommons.org/licenses/by/4.0/).
Share and Cite
N’Datchoh, T.E.; Liousse, C.; Roblou, L.; N’Dri, A.B. Biomass Burning over Africa: How to Explain the Differences Observed Between the Different Emission Inventories? Atmosphere 2025, 16, 440. https://doi.org/10.3390/atmos16040440
N’Datchoh TE, Liousse C, Roblou L, N’Dri AB. Biomass Burning over Africa: How to Explain the Differences Observed Between the Different Emission Inventories? Atmosphere. 2025; 16(4):440. https://doi.org/10.3390/atmos16040440
Chicago/Turabian StyleN’Datchoh, Toure E., Cathy Liousse, Laurent Roblou, and A. Brigitte N’Dri. 2025. "Biomass Burning over Africa: How to Explain the Differences Observed Between the Different Emission Inventories?" Atmosphere 16, no. 4: 440. https://doi.org/10.3390/atmos16040440
APA StyleN’Datchoh, T. E., Liousse, C., Roblou, L., & N’Dri, A. B. (2025). Biomass Burning over Africa: How to Explain the Differences Observed Between the Different Emission Inventories? Atmosphere, 16(4), 440. https://doi.org/10.3390/atmos16040440

