Next Article in Journal
Assessing the Impact of Climatic Factors and Air Pollutants on Cardiovascular Mortality in the Eastern Mediterranean Using Machine Learning Models
Previous Article in Journal
Elevation Correction of ERA5 Reanalysis Temperature over the Qilian Mountains of China
 
 
Font Type:
Arial Georgia Verdana
Font Size:
Aa Aa Aa
Line Spacing:
Column Width:
Background:
Article

Predictive Model with Machine Learning for Environmental Variables and PM2.5 in Huachac, Junín, Perú

by
Emery Olarte
1,
Jhonatan Gutierrez
1,
Gwayne Roque
1,
Juan J. Soria
2,
Hugo Fernandez
1,
Jackson Edgardo Pérez Carpio
1 and
Orlando Poma
1,*
1
Escuela Profesional de Ingeniería Ambiental, Universidad Peruana Unión, Lima 15464, Peru
2
Escuela de Posgrado, Universidad Peruana Unión, Lima 15464, Peru
*
Author to whom correspondence should be addressed.
Atmosphere 2025, 16(3), 323; https://doi.org/10.3390/atmos16030323
Submission received: 30 December 2024 / Revised: 6 February 2025 / Accepted: 16 February 2025 / Published: 12 March 2025
(This article belongs to the Section Atmospheric Techniques, Instruments, and Modeling)

Abstract

PM2.5 pollution is increasing, causing health problems. The objective of this study was to model the behavior of PM2.5AQI (air quality index) using machine learning (ML) predictive models of linear regression, lasso, ridge, and elastic net. A total of 16,543 records from the Huachac, Junin area in Peru were used with regressors of humidity in % and temperature in °C. The focus of this study is PM2.5AQI and environmental variables. Methods: Exploratory data analysis (EDA) and machine learning predictive models were applied. Results: PM2.5AQI has high values in winter and spring, with averages of 52.6 and 36.9, respectively, and low values in summer, with a maximum value in September (spring) and a minimum in February (summer). The use of regression models produced precise metrics to choose the best model for the prediction of PM2.5AQI. Comparison with other research highlights the robustness of the chosen ML models, underlining the potential of ML in PM2.5AQI. Conclusions: The predictive model found was α = 0.1111111 and a Lambda value λ = 0.150025, represented by PM2.5AQI = 83.0846522 − 10.302222000 (Humidity) − 0.1268124 (Temperature). The model has an adjusted R2 of 0.1483206 and an RMSE of 25.36203, and it allows decision making in the care of the environment.

1. Introduction

One of the global problems is atmospheric pollution, which is one of the main risks to public health, being the most important cause of death worldwide [1]. This is a global problem that affects both developed countries, especially in their large cities, and developing countries, so air pollution can have various adverse effects on the natural environment, highlighting in the first place, acid rain, smog, loss of biodiversity, climate change, and ozone layer depletion [2].
Air pollution is a worldwide problem, where the main pollutants affecting the atmosphere are gases (CO, NO2, SO2, and Pb) and particulate matter PM10 and PM2.5 [3,4] These are generally released by anthropogenic and natural sources, where respiratory morbidity studies are implicated for certain types of air pollutants according to the World Health Organization (WHO), the main one being particulate matter, PM2.5 [5,6]. PM10 and PM2.5 particles are those that generate a negative effect on health, as well as on the environment and ecosystems; these dangerous particles suspended in the air are composed of solid and liquid particles [7,8].
According to the WHO [9], data indicate that nearly the entire global population breathes air exceeding the World Health Organization’s recommended limits, with significant pollutant concentrations. Air pollution in urban and rural areas worldwide contributes to approximately 2 million premature deaths annually.
The rise in urban air pollution in recent decades and its effects on public health exemplify ongoing environmental degradation linked to certain societal structures [10]. In urban settings, pollution from fossil fuels used in energy production, vehicle emissions, and the burning of organic matter has been associated with increased respiratory illnesses and hospitalizations due to sulfur oxides (SOx), nitrogen oxides (NOx), and sulfur dioxide (SO2) [11].
Hazardous air pollutants [12] known for their severe health impacts, have also been studied alongside climate change. While these pollutants have diverse origins, industrial emissions are particularly concerning due to their significant contribution to PM10 and PM2.5 particles, gases, and heavy metals. People living near industrial areas experience higher pollution exposure compared to those in less industrialized regions [12,13].
Air pollution has become a major challenge for global environmental protection and urban development, impacting both human health and ecosystems. Climate change has intensified awareness of this issue among scholars and policymakers [14]. In Latin America, over 100 million people are exposed to air pollution levels surpassing WHO recommendations [15]. At-risk groups such as children, the elderly, individuals with health conditions, and those from lower socioeconomic backgrounds face increased risks from poor air quality.
According to Cordova [16,17], Metropolitan Lima (LIM) frequently experiences high PM10 and PM2.5 levels due to rapid industrialization and economic expansion. This area also accounts for 29% of Peru’s population of 34,105,243. Weather stations and other environmental measurement devices generate a large amount of data that is difficult to process manually, and machine learning algorithms help process it efficiently to identify patterns and relationships between PM2.5 and meteorological variables [18] so machine learning algorithms can adequately process large amounts of data and identify patterns and relationships between PM2.5 and meteorological variables. Variables in the air environment can change rapidly based on external factors such as changes in weather conditions or human activity [19].
In Peru, due to increased industrialization and the extensive use of hydrocarbons, an increase in the concentration of PM2.5 particles in the air has been visualized [20], which generates a problem in terms of public health and the environment, so the research aims to optimize predictive machine learning models with data from the Huachac astronomical station, Chupaca, Junín, to analyze and predict the concentration of PM2.5.
In Huachac, Junín, air pollution, especially PM 2.5 particulate matter, represents a significant health and environmental risk. However, there is limited capacity to predict and manage this pollutant due to the lack of accurate predictive models that integrate relevant environmental variables. This hinders the implementation of effective pollution control and mitigation policies. Therefore, it is necessary to develop a predictive model based on Machine Learning techniques to anticipate PM 2.5 levels and optimize environmental management in the region.
This study was conducted in the district of Huachac, province of Chupaca, department of Junín, Peru, where data were collected from the HUAYAO monitoring station using geolocation tools and software with Python 3.11 libraries. A sample of 16,543 records was conditioned and normalized using the EDA methodology.
The problem is atmospheric pollution by particulate matter in the environment, and this article aims to predict the behavior of PM2.5 particulate matter, applying machine learning methodology in order to make decisions for the benefit of the surrounding population.
This study provides a predictive machine learning model of PM2.5, which contributes to the predictive understanding of the behavior of environmental variables in the study areas, which will allow international bodies to use it as a model for analysis.

2. Materials and Methods

2.1. Study Area

This study was conducted in the district of Huachac, province of Chupaca, department of Junín, Peru, located at 3275 masl and 290 km from the capital of the country (Lima), 22 km northwest of Huancayo, bordering to the north with the district of Manzanares, to the south with the city of Chupaca, to the east with the district of Sicaya and to the west with the district of Chambara in the province of Concepción, as shown in Figure 1. The data were obtained from the HUAYAO monitoring station, which is located in the district of Huachac, province of Chupaca, department of Junín, Peru.

2.2. Research Method

The research method is presented in Figure 2, in which data were collected from the Huayao, Junin, Peru station, then an exploratory analysis of the collected data (EDA) was performed, imputing outliers and cleaning data justifying the prerequisites of normality, linearity and homoscedasticity [21]. Then, the machine learning models lasso, ridge, and elastic net were applied to determine which one was the most optimal.

2.2.1. Machine Learning Models

Machine learning, a branch of AI, develops algorithms and models to enable computers to learn and make data-driven decisions without explicit programming, fostering autonomous and efficient machine learning [22]. ML and statistics are closely related, with ML relying on many statistical principles and methods [23].
Linear regression is an extension of the population regression model (PRF) with k variables, where the dependent variable is Y, and the k − 1 explanatory variables are X 2 ,   X 3 ,   X 4 ,   X 5 ,   ,   X k [24,25], as shown in Equation (1).
Y i = β 1 + β 2 X 2 i + β 3 X 3 i + β 4 X 4 i + + β k X k i + u i ;     i = 1 , , n
where β 1 is the intercept, β 2 to β k are the partial slope coefficients, u is the stochastic disturbance term, and i is the i-th observation, with n as the population size. Equation (1) is a shorthand expression for the set of n simultaneous equations [26,27].
LASSO (Least Absolute Shrinkage and Selection Operator) regression is a regression method used for variable selection and regularization in linear regression methods. Its main objective is to reduce the complexity of the model by penalizing the coefficients of the least important variables, bringing them to zero [28]. The LASSO regression method is used for the selection of variables and regularization in linear regression methods.
According to Qian, P [29], LASSO (Least Absolute Shrinkage and Selection Operator) regression is a regularization technique for variable selection and model complexity reduction in machine learning and statistics. It is an extension of linear regression with a penalty to avoid overfitting [30]. LASSO is used when there are many features, helping in variable selection while fitting a predictive model [31]. The LASSO loss function combines the linear regression loss (mean squared error) and the absolute value of feature coefficients multiplied by a hyperparameter λ [32].
LASSO regression is a restricted method since it selects the influential variables in a variable called response, resulting in zero coefficients. Through this procedure, a strong set of instruments is sought, which provides the greatest amount of information about the endogenous variables in the first stage of estimation [29].
The LASSO regression model is mathematically represented by Equation (2), which aims to minimize the parameters α in the errors by taking the penalty of the model coefficients [25,33].
M i n i m i z e α , β 1 2 n i = 1 N y i α j = 1 p x i j β j 2
In performing the Lasso regression, we add a penalty factor to the least squares, which reduces the loss function S to a minimum value, represented by Equations (3) and (4).
S = Min α , β 1 , β 2 u i 2 + λ β 1 + β 2
S = Min α , β 1 , β 2 , β 3 , β 4 , β 5 Y i α β 1 X i 1 β 2 X i 2 2 + λ β 1 + β 2
The RIDGE model penalty is appropriate in the case where there are multiple predictors, and they are drawn from a Gaussian distribution [34]. The mean squared error of Ridge regression involves the variance and bias of the estimator; the theorem on the mean squared error function is very important for its analysis [35]. The Ridge regression model is given in Equation (5).
β r i d g e = argmin β ϵ R Y X β 2 2 + λ β 2 2
The elastic net regression penalty is an adaptation of least squares and allows addressing the estimation problem by producing a biased β estimator but with small variances [21,25,32]. The mathematical representation of the elastic net regression model is represented in Equation (6), defined as follows:
β E N = argmin β ϵ R 1 2 n Y X β 2 2 + λ 1 α β 2 2 + α β 1

2.2.2. Metrics for Validation of Predictive Models

Exploratory data analysis (EDA), allows a clear view of the data, performing descriptive analysis, adjustment of variable types, detection and treatment of missing data, identification of outliers and correlation of variables [36]. In descriptive analysis, one dives into the data to understand its structure and nature. This includes generating summary statistics, such as mean, median, standard deviation, and creating graphs that reveal the distribution of the data. This is followed by adjusting the types of variables in which the data can be presented in different formats and types (numerical, categorical, dates, etc.) [37]. In this phase, the variables are adjusted and transformed as necessary to ensure that they can be used effectively in the analysis. In addition, missing data are detected and processed, where incomplete data can be a challenge. During EDA, we identified observations with missing data and considered options such as imputation or deletion of rows or columns to ensure completeness of results, as well as identified outliers, known as outliers. The EDA helped us to identify and understand these values to determine if they should be treated or if they are legitimate and significant. Finally, correlation of variables was performed to explore the relationships between variables, using statistical techniques and visualizations to discover connections and patterns that can reveal valuable information about the particulate matter problem analyzed in the research [13,38].
Metrics used in this study [22] include the MAE, which measures the average magnitude of the errors in the predictions and is shown in Equation (7) [39,40].
M e a n   A b s o l u t e   E r r o r :   M A E = 1 n   i = 1 n y i y i ^
Likewise, the RMSE (root mean squared error) is the square root of the average of the squared differences between the prediction and the actual observation (SSE/n) and is defined by Equation (8).
R o o t   M e a n   S q u a r e   E r r o r :   R M S E = 1 n i = 1 n y i y i ^ 2
The coefficient of determination R 2 measures the variance in the data explained by the model and determines the relationship between the sum of the squares of the errors and the total shown in Equation (9) [41,42].
C o e f f i c i e n t   o f   d e t e r m i n a t i o n : R 2 = 1 i = 1 n y i y i ^ 2 i = 1 n y i y i ¯ 2
Based on existing knowledge, the model that typically demonstrates the best efficiency in predicting PM2.5AQI is often determined through comparative analysis of various regression techniques, such as ridge, lasso, and elastic net regression. The key factors influencing model efficiency are as follows [43]:
  • Model Selection: the choice between ridge, lasso, and elastic net can impact performance based on the nature of the dataset.
  • Penalty Values: adjusting penalty values can optimize each model’s ability to prevent overfitting or underfitting.
  • Feature Selection: models like lasso are particularly effective at feature selection, which can enhance predictive accuracy.
  • Cross-Validation: techniques like k-fold cross-validation help in assessing model performance more reliably.
In fact, to determine the best-performing model for PM2.5AQI prediction, one would typically analyze metrics such as mean absolute error (MAE), root mean square error (RMSE), and R-squared values across different models and configurations. The model yielding the lowest error metrics and highest R-squared value would be considered the most efficient for this specific prediction task [42,44,45,46].

3. Results

A total of 16,543 records were analyzed for the variables under study, as shown in Table 1, where PM2.5AQI shows a data density with a trend to the left and a tail to the right due to the outliers on some days of the year but in general shows a mean of 33.1, with a standard deviation of PM2.5 and a maximum value of 208, which represents an outlier and poses a risk to the health of the population. Absolute humidity showed a normal distribution since it had a mean of 4.72% with a median of 4.8 and a standard deviation of 0.987, indicating a relatively stable humidity over time. Likewise, the temperature showed an average of 10.8 °C with a median of 9 and a standard deviation of 0.23, with a temperature ranging between −6 and 28.
Figure 3 shows the PM2.5AQI, with the highest concentration in winter with an average of 52.6 g/m3, in second place in spring with an average of 36.9 g/m3, in third place in autumn with an average of 27.4 g/m3 and finally in summer with an average of 15.6 g/m3.
In Figure 4, we observe the PM2.5AQI by month for the year analyzed. In September, the index was 64.9, followed by August in second place with 51.7, July in third place with 46.0, and November in fourth place with 43.10. The remaining months had indices lower than 38.7.
In Figure 5, we observe that in summer, 50% have a humidity lower than 5.5, and the other 50% have a humidity higher than 5.5; secondly, in autumn, 50% have a humidity lower than 4.9, and the other 50% have a humidity higher than 4.9; thirdly, in spring, 50% have a humidity lower than 4.5, and the other 50% have a humidity higher than 4.5; and finally, in spring, 50% have a humidity lower than 4.2, and the other 50% have a humidity higher than 4.
Humidity shows its highest value in January due to heavy rains and its lowest value in July due to the dry season of the year and the frost season. The absolute humidity shows that it is higher in summer, followed by autumn, due to the beginning and end of the rain. In Figure 6, we observe that in February and March, 50% have a humidity lower than 5.5, and the other 50% have a humidity higher than 5.5. In second place, in January and April, 50% have a humidity lower than 5.2, and the other 50% have a humidity higher than 5.2. In third place, in May and December, 50% have a humidity lower than 5.2, and the other 50% have a humidity higher than 5.2.2. Thirdly, in May and December, 50% have a humidity lower than 4.8, and the other 50% have a humidity higher than 4.8. In October, 50% have a humidity lower than 4.7, and the other 50% have a humidity higher than 4.7. Finally, in the other months, 50% have a humidity lower than 4.6, and the other 50% have a humidity higher than 4.6.
In Figure 7, we observe that in spring, 50% have a temperature lower than 11 °C and the other 50% have a temperature higher than 11 °C, and there is a temperature tie in autumn, winter, and summer, with 50% having a temperature lower than 9 °C and the other 50% having a temperature higher than 9 °C.
In Figure 8, we observe that in October and November, 50% have a temperature lower than 12 °C, and the other 50% have a humidity higher than 12 °C. Secondly, in December, 50% have a temperature lower than 11 °C, and the other 50% have a temperature higher than 11 °C. Thirdly, in September, 50% have a temperature lower than 10 °C, and the other 50% have a temperature higher than 10 °C. Finally, in the other months, 50% have a temperature lower than 9 °C, and the other 50% have a temperature higher than 9.
The temperature reaches its lowest value in June due to the presence of morning frosts and its highest point in November due to the sunny season. These values of the air quality index, humidity, and temperature are crucial for planning and decision making related to public health and the environment because, for example, the highest AQI indicates that the smoke of the entire Mantaro Valley, where the astronomical center of Huachac is located should make educational campaigns of not burning agricultural waste. The highest average temperature was in spring due to the absence of rain and wind in the area, and the lowest was in winter due to the presence of morning frosts. The standard deviation indicates that the variability is higher in winter compared to the other seasons because, in these months, there is the presence of low temperatures as the highest. The minimum and maximum values vary according to the season, with the highest and lowest values associated with winter and spring, although the highest is in autumn with an AQI of 208 due to the fact that farmers prepare their land for planting and burn crop stubble.
In the investigation of the 16,543 observations, 80% (13,234) of the observations were taken for training and 20% (3309) for testing. During training, a resampling cross-validation with three repetitions yielded an RMSE = 25.36203, an Rsquared = 0.1483206 and an MAE = 20.51858.
The multivariate linear regression analysis with two regressor variables (humidity and temperature), as well as the predictor variable PM2.5AQI, fulfilled the statistical prerequisites and yielded the results in R Studio 2024.04.2 Build 764 software shown below.
>summary(lm)
Call:
lm(formula = .outcome ~ ., data = dat)
Residuals:
Min 1Q Median 3Q Max
−53.087−19.664 −5.102 16.336 177.352
Coefficients:
Estimate Std. Error t valuePr(>|t|)
(Intercept)83.409321.07213 77.798 <2 × 10−16 ***
Humidity−10.370240.23201−44.698<2 × 10−16 ***
Temperature −0.127170.03169−4.0136.04 × 10−5 ***
---
*** represents the significance of the results., signif. codes: 0 ‘***’ 0.001 ‘**’ 0.01 ‘*’ 0.05 ‘.’ 0.1 ‘ ’ 1
Residual standard error: 25.37 on 13,269 degrees of freedom
Multiple R-squared: 0.1478, Adjusted R-squared: 0.1477
F-statistic: 1151 on 2 and 13,269 DF, p-value: <2.2 × 10−16
In these results, the significance of the regressor variables was highly significant with a p-value less than 2 × 10 16 , allowing us to propose the multiple regression model for PM2.5 shown in Equation (10).
P M 2.5 A Q I = 83.40932 10.37024 H u m i d i t y 0.12717 T e m p e r a t u r e
This indicates that both humidity and temperature are inversely proportional with PM2.5AQI for each unit increase in the predictor variables; in addition, the p-values in each of these variables are less than the significance level α = 0.05, which indicates that they have a significant effect and is corroborated by applying an analysis of variance of the model, also resulting in p-values less than α = 0.05 for both predictor variables. In addition, the Durbin–Watson test yields an autocorrelation of 0.881 and a DW of 0.238 with a p-value of less than α = 0.05, which indicates that there is almost no autocorrelation, which indicates the independence of the predictor variables, and all this is corroborated by the VIF of 1.08 for both variables, which indicates that both variables of the model are independent and there is no collinearity between them since it is very close to 1. Therefore, the model is found to be very predictively robust with a fairly high AIC of and BIC and with a low RMSE of 25.5 for the 16,544 data observed in the model with a p-value of less than 0.05.
Correlations of the predicted variable PM2.5AQI with the predictor variables humidity and temperature were obtained. First, the correlation of PM2.5AQI with humidity is −0.378, which shows a linear dependence and is inversely proportional, i.e., while PM2.5AQI increases, absolute humidity decreases and vice versa, which means that the presence of humidity influences the decrease or increase in PM2.5AQI present in the air. Likewise, we can see that the correlation between PM2.5AQI and temperature has a correlation of −0.134, which indicates that it is also an inversely proportional correlation, which means that while PM2.5AQI increases the temperature decreases, which gives us the idea that if the temperature increases, PM2.5AQI decreases and also inversely, although this index shows that it is lower than the index presented by humidity, therefore it indicates that its linear influence on PM2.5AQI is lower. On the other hand, the p-value for humidity and temperature is less than 0.05, which confirms the hypothesis that in both cases, there is a linear dependence between the predicted variable PM2.5AQI and the predictor variables of humidity and temperature. The graphs shown in Figure 9 show the normalized residuals and fitted values, with residual quantiles and the root mean square error, for which the linear regression model meets all specifications and prerequisites for prediction.
The results for the ridge regression model, with a training sample of 13,234 observations and a testing sample of 3309 observations, are presented in Table 2, which shows the resampling metrics across the fit parameters.
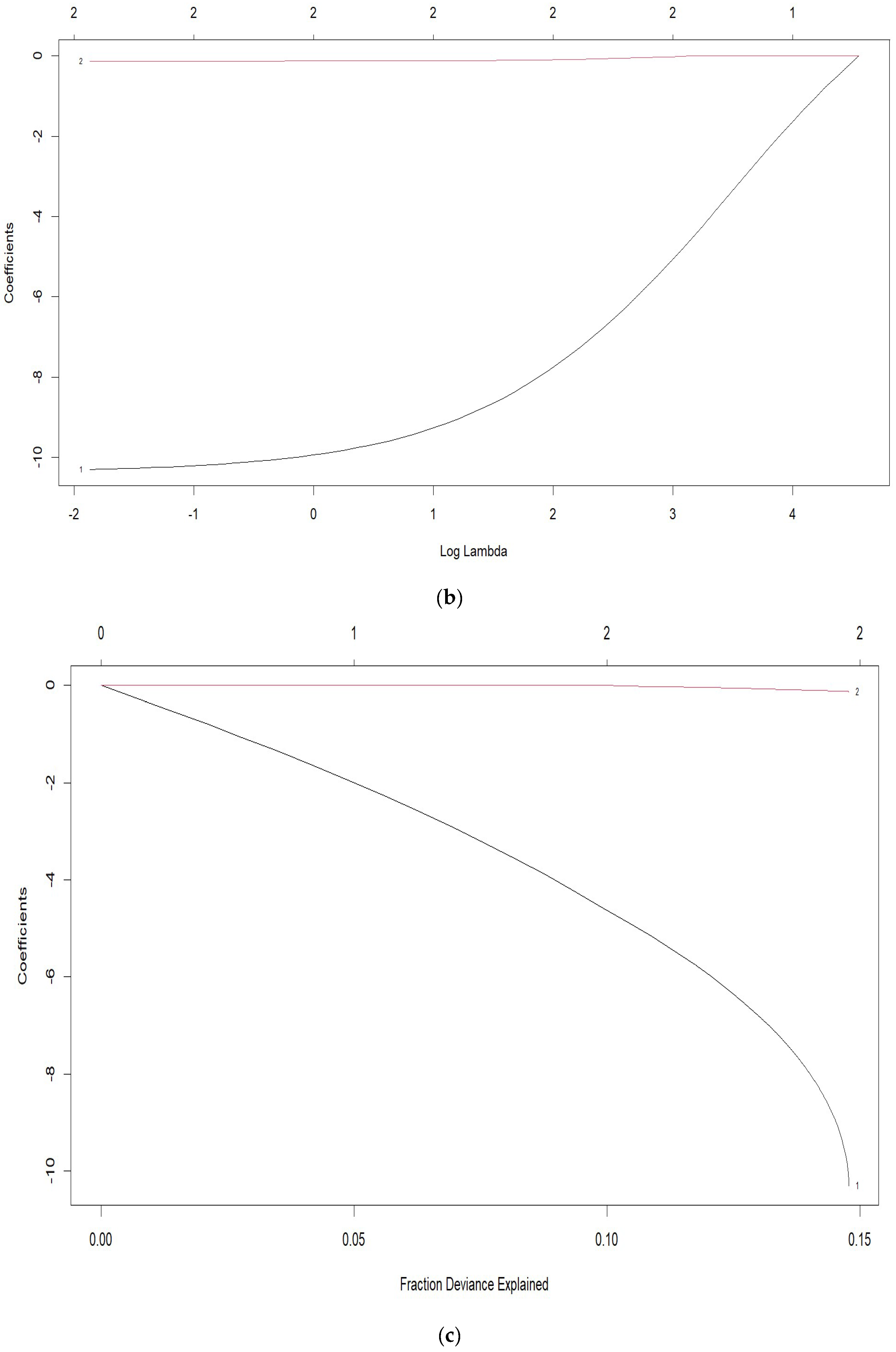
Figure 10 shows the plots for the ridge regression model with cross-validation and the logarithms of the Lambda penalty values, as well as the values of the model coefficients and the significance of the regressor variables.
The results for the lasso regression model, with a training sample of 86,654 observations and a testing sample of 21,663 observations, are presented in Table 3, which shows the metrics obtained through resampling and the fit parameters.
Figure 11 shows the graphs for the lasso regression model with cross-validation and the logarithms of the Lambda penalty values, as well as the values of the model coefficients and the significance of the regressor variables.
The results for the elastic net regression model, with a training sample of 13,234 observations and a testing sample of 3309 observations, are presented in Table 4, Table 5 and Table 6, which show the resampling metrics obtained through the fit parameters.
Figure 12 shows the graphs for the elastic net regression model with cross-validation and the logarithms of the Lambda penalty values, as well as the values of the model coefficients and the significance of the regressor variables.
The best model that allowed the prediction of PM2.5AQI is the thirteenth one, with α = 0.1111111 and a Lambda of λ = 0.150025; the model is shown in Equation (11).
  P M 2.5 A Q I = 83.0846522 10.3022000 H u m i d i t y 0.1268124 T e m p e r a t u r e
This means that, for each year, the PM2.5AQI decreases by 10.3022000; likewise, for temperature, the PM2.5AQI decreases by 0.12688124. In the prediction for the mean squared error of the training set, a value of 25.36255 was obtained, and for the test set, a value of 25.84308 was obtained, resulting in a mean difference of 0.48053. This represents 98.1406% of the prediction efficiency with respect to the test.

4. Discussion

The LASSO (Least Absolute Shrinkage and Selection Operator) method applies regression procedures with parameter shrinkage to select predictor variables that matter significantly and mimic some variables that have little or no effect on the model by adjusting the maximum and minimum coefficients [24]. In the MLP and SVM modeling of Qian, they found RMSE values of 52.74 and 35.88, respectively; however, this research presents an RMSE of 25.5, which indicates a more optimal model, as it is much lower in fit value with the actual values recorded. This is in parallel with Juan Soria’s study [25], which presented a linear regression model for the prediction of PM2.5, finding a coefficient of 0.66105 μg/m3 and an intercept of 5.57229 μg/m3.
A linear regression model y = 60.219 1.7493 x with a coefficient of determination R 2 = 0.2836 on the concentration of PM2.5 and PM10 in Lima and Callao using SENAMHI data [47], compared to the one found in this research of R 2 = 0.1478; likewise [27] found a linear regression equation between PM2.5 and PM10 in the industrial zone of the form y = 4.485924 + 0.567541x.
Geraldo-Campos et al. [31] found lasso and ridge regularization models for the prediction of credit risk in reactive Peru with 501,298 companies analyzed, economic sector, granting entity, amount covered, and department as regressors, and risk level as a predictor. They determined a lasso regression model with λ 60 = 0.00038 and an RMSE = 0.3573685, as well as a ridge regression model with λ 100 = 0.00910 and an RMSE = 0.3573812, represented in Equation (12).
Y L a s s o = 0.51487 + 0.05878 E c o n o m i c   s e c t o r 0.19292 C r e d i t   g r a n t i n g   e n t i t y + 1.29671 A m o u n t   c o v e r e d + 0.03115 ( D e p a r t a m e n t )
In this research, lasso (RMSE = 25.36206), ridge (RMSE = 25.36471), and elastic net (RMSE = 25.36203) models were found, where the best model found with an α = 0.1111111 and a Lambda value λ = 0.150025 is represented in Equation (13). Then, the choice of penalty values in regression models is crucial for achieving optimal performance by managing the trade-off between bias and variance, influencing both model complexity and predictive power [48,49].
Y = 83.0846522 10.3022000 H u m i d i t y 0.1268124 T e m p e r a t u r e
This is further contrasted with Equation (13), finding the elastic net predictive regression model shown in Equation (14), which was used to predict teacher salary with α = 0.5555556, a Lambda λ = 0.2, and an RMSE of 895.3383.
Y = 3092.582975 4.824496 E d a d + 22.972778 N E d u c + 17.623234 T S e r v 88.511756 E s D o c + 191.104877 H o L a b
Overall, the data reveal interesting patterns about the seasons of the year and their impact on air quality, humidity, and temperature. These findings could be useful to better understand how these variables change throughout the year and how they could affect people who are quite vulnerable to the environment around them because having polluted air can even be deadly in some cases [50]. The research found that the increase in air quality in summer could have positive implications for public health in the central highlands, while the higher humidity in spring and summer could influence the comfort and well-being of people since these are times when most of the experiential tourism is generated in this area. Seasonal variability in temperature could also have consequences in various areas, from agriculture to the generation of the economy [47].
Analysis of the data provided reveals significant differences between seasons in terms of air quality, humidity, and temperature. These findings could be important to better understand seasonal patterns in these variables and their potential impacts on society and the environment. The paper highlights the importance of considering seasonal variations when addressing air quality and climate issues and suggests further research to fully understand the implications of these findings.
PM2.5AQI values show significant variations throughout the year, with a peak in September due to the constant burning of stubble [51] and agricultural waste by farmers prior to the annual planting of their products, which is detrimental to air quality. This merits a call to the local authorities to carry out environmental education campaigns because the presence of PM2.5 in the air often has fatal consequences, especially in vulnerable [46]. Humidity and temperature also show interesting fluctuations during the months of the year, with humidity presenting higher values in January due to the presence of heavy and intense rains in the central highlands of Peru, [50] which makes absolute humidity more concentrated at this time. The lowest temperature recorded in June was −6 °C, and the maximum reached 22 °C, showing significant variability in temperature due to the presence of morning frosts, according to the findings of Saavedra et al. [49]. The data presented are within the ranges found by other researchers in terms of monthly variations in air quality, humidity, and temperature.

5. Conclusions

The best predictive model found is quite robust given that it meets the indicators in favor of the model LASSO regression analysis with a high AIC and BIC and a low RMSE for the 16,543 data analyzed. This is the thirteenth model, which emerged as the best predictor for the PM2.5 air quality index (AQI) with specific parameters: Alpha: 0.1111111 and Lambda: 0.150025. The model predicts a decrease in PM2.5AQI by 10.3022000 units per year, for temperature changes, PM2.5AQI decreases by 0.12688124 units, the mean squared error (MSE) for training is 25.36255, while for testing it is 25.84308, resulting in a mean difference of 0.48053, this indicates an impressive prediction efficiency of 98.1406% when comparing training to testing outcomes. These results highlight the effectiveness of regression models in predicting PM2.5AQI and provide a basis for future analysis and refinement of predictive techniques for management and planning of air quality improvement by government authorities in the Mantaro Valley.
The season with the highest PM2.5AQI was winter, with a value of 52.6 with a variability of 29.4, which is less than 100, indicating “Moderate” or there may be moderate health problems for people who are unusually sensitive to air pollution.
PM2.5AQI shows a peak in September due to smoke from stubble burning by farmers, while humidity peaks in January due to rainfall during that season and the minimum temperature in June due to the presence of frost.
These data are vital for understanding seasonal fluctuations in these environmental parameters, which have important implications for public health and environmental planning. The data found show that in general most of the year presents good air quality, showing some peaks of unsatisfactory AQI (208) as discordant or anomalous.
In conclusion, an efficient machine learning predictive model was obtained for the prediction of PM2.5AQI, which allows the measurement of future air quality and enables decision making in environmental care.
According to the monitoring protocol of the Ministry of Environment of Peru (MINAM), the number of monitoring stations should be proportional to the size of the population; to overcome this limitation, a greater number of monitoring stations should be considered in future research.

Author Contributions

Conceptualization, E.O., J.G. and G.R.; methodology, E.O., J.G., G.R. and J.J.S.; software, H.F. and J.J.S.; validation, H.F., J.J.S. and J.E.P.C.; formal analysis, O.P.; research, E.O., J.G. and G.R.; resources, E.O., J.G. and G.R.; data curation, E.O., J.G. and G.R.; writing: preparation of the original draft, E.O., J.G. and G.R.; writing: revision and editing, H.F., J.J.S., J.E.P.C. and O.P.; writing: revision and editing, H.F., J.J.S., J.E.P.C. and O.P.; writing: revision and editing, H.F., J.J.S., J.E.P.C. and O.P.; visualization, E.O., J.G. and G.R.; supervision, O.P.; project management, E.O., J.G. and G.R.; acquisition of funding, E.O., J.G. and G.R. All authors have read and agreed to the published version of the manuscript.

Funding

This research did not receive external funding. The APC was funded by the Universidad Peruana Unión.

Data Availability Statement

The data are available on Mendeley Data (https://data.mendeley.com/ (accessed on 29 December 2024)).

Acknowledgments

We express our gratitude to Engineer Luis Flores, Huayao Observatory, Huachac, and Engineer Luis Fernando Suarez for their valuable contribution, access to data, and unconditional support in this research. Also, to Erick R. Moreno Alvarado of the Universidad Nacional Intercultural Selva Central Juan Santos Atahualpa for his contributions to the discussion and pertinent comments.

Conflicts of Interest

The authors declare that they have no conflicts of interest. The funders had no role in the design of the study; in the collection, analysis, or interpretation of data; in the writing of the manuscript; or in the decision to publish the results. This work was not externally funded; it was self-funded.

References

  1. Santillán, P.; Rodríguez, M.; Orozco, J.; Ríos, I.; Bayas, K. Evaluación de la concentración y distribución espacial de material particulado en los campus de la UNACH—Riobamba. Novasinergia Rev. Digit. De Cienc. Ing. Y Tecnol. 2021, 4, 111–126. [Google Scholar] [CrossRef]
  2. Álvarez-Tolentino, D.; Suárez-Salas, L. Apportionment of emission sources of PM10 and PM2.5 at urban sites of Mantaro Valley, Peru. Rev. Int. De Contam. Ambient. 2020, 36, 875–892. [Google Scholar] [CrossRef]
  3. Elbayoumi, M.; Ramli, N.A.; Yusof, N.F.F.M. Development and comparison of regression models and feedforward backpropagation neural network models to predict seasonal indoor PM2.5–10 and PM2.5 concentrations in naturally ventilated schools. Atmospheric Pollut. Res. 2015, 6, 1013–1023. [Google Scholar] [CrossRef]
  4. Wei, S.; Shores, K.; Xu, Y. A Comparison of Machine Learning-Based Approaches in Estimating Surface PM2.5 Concentrations Focusing on Artificial Neural Networks and High Pollution Events. Atmosphere 2025, 16, 48. [Google Scholar] [CrossRef]
  5. Czwojdzińska, M.; Terpińska, M.; Kuźniarski, A.; Płaczkowska, S.; Piwowar, A. Exposure to PM2.5 and PM10 and COVID-19 infection rates and mortality: A one-year observational study in Poland. Biomed. J. 2021, 44, S25–S36. [Google Scholar] [CrossRef]
  6. Kim, B.; Kim, E.; Jung, S.; Kim, M.; Kim, J.; Kim, S. PM2.5 Concentration Forecasting Using Weighted Bi-LSTM and Random Forest Feature Importance-Based Feature Selection. Atmosphere 2023, 14, 968. [Google Scholar] [CrossRef]
  7. Ponzano, M.; Schiavetti, I.; Bergamaschi, R.; Pisoni, E.; Bellavia, A.; Mallucci, G.; Carmisciano, L.; Inglese, M.; Marfia, G.A.; Cocco, E.; et al. The impact of PM2.5, PM10 and NO2 on Covid-19 severity in a sample of patients with multiple sclerosis: A case-control study. Mult. Scler. Relat. Disord. 2022, 68, 104243. [Google Scholar] [CrossRef]
  8. Ma, Y.; Ma, J.; Wang, Y. Hybrid Prediction Model of Air Pollutant Concentration for PM2.5 and PM10. Atmosphere 2023, 14, 1106. [Google Scholar] [CrossRef]
  9. Calidad del Aire Ambiente—OPS/OMS|Organización Panamericana de la Salud [Internet]. Available online: https://www.paho.org/es/temas/calidad-aire/calidad-aire-ambiente (accessed on 29 December 2024).
  10. Załuska, M.; Gładyszewska-Fiedoruk, K. Regression Model of PM2.5 Concentration in a Single-Family House. Sustainability 2020, 12, 5952. [Google Scholar] [CrossRef]
  11. Rojano, R.E.; Angulo, L.C.; Restrepo, G. Niveles de partículas suspendidas totales (PST), PM10 y PM2.5 y su relación en lugares públicos de la ciudad riohacha, caribe colombiano. Inf. Tecnol. 2013, 24, 37–46. [Google Scholar] [CrossRef]
  12. Safira, D.A.; Kuswanto, H.; Ahsan, M. Improving the Forecast Accuracy of PM2.5 Using SETAR-Tree Method: Case Study in Jakarta, Indonesia. Atmosphere 2024, 16, 23. [Google Scholar] [CrossRef]
  13. Tao, T.; Shi, Y.; Gilbert, K.M.; Liu, X. Spatiotemporal variations of air pollutants based on ground observation and emission sources over 19 Chinese urban agglomerations during 2015–2019. Sci. Rep. 2022, 12, 1–14. [Google Scholar] [CrossRef]
  14. Greene, W.H. Econometric Analysis, 5th ed.; Prentice Hall: Hoboken, NJ, USA, 2003. [Google Scholar]
  15. Córdova Zamora, M. Estadistica Descriptiva e Inferencial; Moshera S.R.L.: Lima, Peru, 2003; p. 503. [Google Scholar]
  16. Pan, S.; Du, S.; Wang, X.; Zhang, X.; Xia, L.; Liu, J.; Pei, F.; Wei, Y. Analysis and interpretation of the particulate matter (PM10 and PM2.5) concentrations at the subway stations in Beijing, China. Sustain. Cities Soc. 2018, 45, 366–377. [Google Scholar] [CrossRef]
  17. Alpaydin, E. Introduction to Machine Learning, 3rd ed.; The MIT Press: Cambridge, MA, USA, 2014; pp. 1–640. [Google Scholar]
  18. Géron, A.; Rudolph, R. Machine Learning Step-by-Step Guide to Implement Machine Learning Algorithms with Python; O’Reilly Media, Inc.: Sebastopol, CA, USA, 2019; Volume 106. [Google Scholar]
  19. Chu, H.J.; Huang, B.; Lin, C.Y. Modeling the spatio-temporal heterogeneity in the PM10-PM2.5 relationship. Atmos Env. 2015, 102, 176–182. [Google Scholar] [CrossRef]
  20. M-Dawam, S.R.; Ku-Mahamud, K.R. Reservoir water level forecasting using normalization and multiple regression. Indones. J. Electr. Eng. Comput. Sci. 2019, 14, 443–449. [Google Scholar] [CrossRef]
  21. Ratner, B. Statistical and Machine-Learning Data Mining Techniques for Better Predictive Modeling and Analysis of Big Data, 3rd ed.; Chapman and Hall/CRC: London, UK, 2017; Available online: https://taylorandfrancis.com/ (accessed on 5 February 2025).
  22. Yan, X.; Su, X. Linear Regression Analysis Theory and Computing; World Scientific: Hackensack, NJ, USA, 2009. [Google Scholar]
  23. José, T.R.; Jhoset, Y.A.; Soria, J.J.; Saboya, N. Machine Learning Models for Salary Prediction in Peruvian Teachers of Regular Basic Education. Artif. Intell. Algorithm Des. Syst. 2024, 1120, 534–552. [Google Scholar] [CrossRef]
  24. Econometría, D.G. Quinta; McGRAW-HILL, Ed.; McGRAW-HILL: New York, NY, USA, 1959; Volume 13, pp. 104–116. [Google Scholar]
  25. Soria, J.J.; Cardenas, A.O.; Peña, L.S. Linear Regression with PM2.5 and PM10 Concentration for Air Quality in East Lima, Peru. Artif. Intell. Algorithm Des. Syst. 2022, 1120, 519–533. [Google Scholar] [CrossRef]
  26. Gabauer, D.; Gupta, R.; Marfatia, H.A.; Miller, S.M.; Estimating, U.S. housing price network connectedness: Evidence from dynamic Elastic Net, Lasso, and ridge vector autoregressive models. Int. Rev. Econ. Finance 2023, 89, 349–362. [Google Scholar] [CrossRef]
  27. Aliaj, T.; Ciganovic, M.; Tancioni, M. Nowcasting inflation with Lasso-regularized vector autoregressions and mixed frequency data. J. Forecast. 2023, 42, 464–480. [Google Scholar] [CrossRef]
  28. Emmert-Streib, F.; Dehmer, M. High-Dimensional LASSO-Based Computational Regression Models: Regularization, Shrinkage, and Selection. Mach. Learn. Knowl. Extr. 2019, 1, 359–383. [Google Scholar] [CrossRef]
  29. Qian, P.; Chen, H.; Lu, K.; Liu, Z. Optimal Prediction Model for PM2.5 Using Lasso Regression. In Proceedings of the 2023 2nd International Conference on Data Analytics, Computing and Artificial Intelligence, ICDACAI, Zakopane, Poland, 17–19 October 2023; pp. 309–314. [Google Scholar] [CrossRef]
  30. James, G.; Witten, D.; Hastie, T.; Tibshirani, R. An Introduction to Statistical Learning with Applications in R, 2nd ed.; Springer Nature: Berlin, Germany, 2023. [Google Scholar]
  31. Geraldo-Campos, L.A.; Soria, J.J.; Pando-Ezcurra, T. Machine Learning for Credit Risk in the Reactive Peru Program: A Comparison of the Lasso and Ridge Regression Models. Economies 2022, 10, 188. [Google Scholar] [CrossRef]
  32. Das, K.; Das Chatterjee, N.; Jana, D.; Bhattacharya, R.K. Application of land-use regression model with regularization algorithm to assess PM2.5 and PM10 concentration and health risk in Kolkata Metropolitan. Urban Clim. 2023, 49, 101473. [Google Scholar] [CrossRef]
  33. Bounessah, M.; Atkin, B.P. An application of exploratory data analysis (EDA) as a robust non-parametric technique for geochemical mapping in a semi-arid climate. Appl. Geochem. 2003, 18, 1185–1195. [Google Scholar] [CrossRef]
  34. Marques, E.D.; Castro, C.C.; Barros, R.d.A.; Lombello, J.C.; Marinho, M.d.S.; Araújo, J.C.S.; Santos, E.A. Geochemical mapping by stream sediments of the NW portion of Quadrilátero Ferrífero, Brazil: Application of the exploratory data analysis (EDA) and a proposal for generation of new gold targets in Pitangui gold district. J. Geochem. Explor. 2023, 250, 107232. [Google Scholar] [CrossRef]
  35. Chowdhury, D.; Hovda, S.; Lund, B. Analysis of cuttings concentration experimental data using exploratory data analysis. Geoenergy Sci. Eng. 2022, 221, 111254. [Google Scholar] [CrossRef]
  36. Nagar, A.; Hahsler, M. News Sentiment Analysis Using R to Predict Stock Market Trends; Southern Methodist University: Dallas, TX, USA, 2012; p. 5. [Google Scholar]
  37. Joharestani, M.Z.; Cao, C.; Ni, X.; Bashir, B.; Talebiesfandarani, S. PM2.5 Prediction Based on Random Forest, XGBoost, and Deep Learning Using Multisource Remote Sensing Data. Atmosphere 2019, 10, 373. [Google Scholar] [CrossRef]
  38. Han, L.; Zhao, J.; Gao, Y.; Gu, Z.; Xin, K.; Zhang, J. Spatial distribution characteristics of PM2.5 and PM10 in Xi’an City predicted by land use regression models. Sustain. Cities Soc. 2020, 61, 102329. [Google Scholar] [CrossRef]
  39. Wu, X.; Wen, Q.; Zhu, J. An Ensemble Model for PM2.5 Concentration Prediction Based on Feature Selection and Two-Layer Clustering Algorithm. Atmosphere 2023, 14, 1482. [Google Scholar] [CrossRef]
  40. James, G.; Witten, D.; Hastie, T.; Tibshirani, R. An Introduction to Statistical Learning; Springer: New York, NY, USA, 2014; Available online: http://www.springer.com/series/417 (accessed on 5 February 2025).
  41. Vollmer, B.; Sun, M.; Jachym, P.; Fossati, M.; Boselli, A. ESO 137–001: A jellyfish galaxy model. Astron. Astrophys. 2024, 692, A4. [Google Scholar] [CrossRef]
  42. Kim, I.K.; Wang, W.; Qi, Y.; Humphrey, M. Empirical evaluation of workload forecasting techniques for predictive cloud resource scaling. In Proceedings of the IEEE International Conference on Cloud Computing, CLOUD, San Francisco, CA, USA, 27 June–2 July 2016; IEEE Computer Society: Washington, DC, USA, 2016; pp. 1–10. [Google Scholar] [CrossRef]
  43. Rojas, F.J.; Pacsi-Valdivia, S.; Sánchez-Ccoyllo, O.R. Simulación computacional e influencia de las variables meteorológicas en las concentraciones de PM10 y PM2.5 en Lima Metropolitana. Inf. Tecnológica 2022, 33, 223–238. [Google Scholar] [CrossRef]
  44. Moreno-Nunez, P.; Bueno-Cavanillas, A.; Jose-Saras, D.S.; Vicente-Guijarro, J.; Chávez, A.C.F.; Aranaz-Andrés, J.M.; on behalf of Health Outcomes Research Group of the Instituto Ramón y Cajal de Investigación Sanitaria (IRYCIS). How Does Vaccination against SARS-CoV-2 Affect Hospitalized Patients with COVID-19? J. Clin. Med. 2022, 11, 3905. [Google Scholar] [CrossRef] [PubMed]
  45. Di, Q.; Koutrakis, P.; Schwartz, J. A hybrid prediction model for PM2.5 mass and components using a chemical transport model and land use regression. Atmos Environ. 2016, 131, 390–399. [Google Scholar] [CrossRef]
  46. Di, Q.; Wang, Y.; Zanobetti, A.; Wang, Y.; Koutrakis, P.; Choirat, C.; Dominici, F.; Schwartz, J.D. Air Pollution and Mortality in the Medicare Population. N. Engl. J. Med. 2017, 376, 2513–2522. [Google Scholar] [CrossRef]
  47. Carreras-Sospedra, M.; Zhu, S.; MacKinnon, M.; Lassman, W.; Mirocha, J.D.; Barbato, M.; Dabdub, D. Air quality and health impacts of the 2020 wildfires in California. Fire Ecol. 2024, 20, 6. [Google Scholar] [CrossRef]
  48. Kumar, S.; Mishra, S.; Singh, S.K. A machine learning-based model to estimate PM2.5 concentration levels in Delhi’s atmosphere. Heliyon 2020, 6, e05618. [Google Scholar] [CrossRef]
  49. Saavedra, M.; Junquas, C.; Espinoza, J.C.; Silva, Y. Impacts of topography and land use changes on the air surface temperature and precipitation over the central Peruvian Andes. Atmos Res. 2020, 234, 104711. [Google Scholar] [CrossRef]
  50. Kumar, S.; Del Castillo-Velarde, C.; Prado, J.M.V.; Rojas, J.L.F.; Gutierrez, S.M.C.; Alvarez, A.S.M.; Martine-Castro, D.; Silva, Y. Rainfall characteristics in the mantaro basin over tropical andes from a vertically pointed profile rain radar and in-situ field campaign. Atmosphere 2020, 11, 248. [Google Scholar] [CrossRef]
  51. Adegboye, O. Field Burning Fallout: Quantifying PM2:5 Emissions from Sugarcane Fires. Environ. Health Perspect. 2022, 130, 084003. [Google Scholar] [CrossRef]
Figure 1. Location of the meteorological station.
Figure 1. Location of the meteorological station.
Atmosphere 16 00323 g001
Figure 2. Research method.
Figure 2. Research method.
Atmosphere 16 00323 g002
Figure 3. PM2.5AQI by season of the year. The data show that the air quality index (PM25AQI) tends to be highest in winter and spring, with averages of 52.6 and 36.9, in addition to the lowest values in summer.
Figure 3. PM2.5AQI by season of the year. The data show that the air quality index (PM25AQI) tends to be highest in winter and spring, with averages of 52.6 and 36.9, in addition to the lowest values in summer.
Atmosphere 16 00323 g003
Figure 4. PM2.5AQI by months. PM25AQI is highest in September because this is the month when farmers burn their stubble as part of pre-sowing, and it is lowest in February because rainfall in the central highlands washes away particulate matter.
Figure 4. PM2.5AQI by months. PM25AQI is highest in September because this is the month when farmers burn their stubble as part of pre-sowing, and it is lowest in February because rainfall in the central highlands washes away particulate matter.
Atmosphere 16 00323 g004
Figure 5. Humidity by season.
Figure 5. Humidity by season.
Atmosphere 16 00323 g005
Figure 6. Humidity by month.
Figure 6. Humidity by month.
Atmosphere 16 00323 g006
Figure 7. Temperature by season.
Figure 7. Temperature by season.
Atmosphere 16 00323 g007
Figure 8. Temperature by months of the year.
Figure 8. Temperature by months of the year.
Atmosphere 16 00323 g008
Figure 9. Performance plots for the linear regression model: (a) depicts the standardized residuals; (b) depicts the residuals of the data; (c) depicts the standardized residuals; (d) depicts the square root of the residuals.
Figure 9. Performance plots for the linear regression model: (a) depicts the standardized residuals; (b) depicts the residuals of the data; (c) depicts the standardized residuals; (d) depicts the square root of the residuals.
Atmosphere 16 00323 g009
Figure 10. Performance plots for the ridge regression model: (a) describes the RMSE of the cross-validation; (b) describes the log ridge penalty coefficients; (c) describes the ridge coefficients; (d) describes the significance of the variables.
Figure 10. Performance plots for the ridge regression model: (a) describes the RMSE of the cross-validation; (b) describes the log ridge penalty coefficients; (c) describes the ridge coefficients; (d) describes the significance of the variables.
Atmosphere 16 00323 g010
Figure 11. Performance plots for the lasso regression model: (a) describes the RMSE of the cross-validation; (b) describes the log ridge penalty coefficients; (c) describes the ridge coefficients; (d) describes the significance of the variables.
Figure 11. Performance plots for the lasso regression model: (a) describes the RMSE of the cross-validation; (b) describes the log ridge penalty coefficients; (c) describes the ridge coefficients; (d) describes the significance of the variables.
Atmosphere 16 00323 g011
Figure 12. Performance plots for the elastic net regression model: (a) describes the RMSE of the cross-validation; (b) describes the log ridge penalty coefficients; (c) describes the ridge coefficients; (d) describes the significance of the variables.
Figure 12. Performance plots for the elastic net regression model: (a) describes the RMSE of the cross-validation; (b) describes the log ridge penalty coefficients; (c) describes the ridge coefficients; (d) describes the significance of the variables.
Atmosphere 16 00323 g012aAtmosphere 16 00323 g012bAtmosphere 16 00323 g012c
Table 1. Description of the study variables.
Table 1. Description of the study variables.
Title 1MediaDE
PM2.5AQI33.12.75
Humidity4.720.987
Temperature10.80.23
Table 2. Performance metrics for the ridge regression model.
Table 2. Performance metrics for the ridge regression model.
LambdaRMSERsquaredMAE
0.000100 *25.36471 0.1483078 20.53783
0.250075 25.36471 0.1483078 20.53783
0.500050 25.36471 0.1483078 20.53783
0.750025 25.36471 0.1483078 20.53783
1.000000 25.36471 0.1483078 20.53783
* Penalty values λ for the ridge model.
Table 3. Performance metrics for the lasso regression model.
Table 3. Performance metrics for the lasso regression model.
LambdaRMSERsquaredMAE
0.000100 *25.36206 0.1483177 20.51777
0.050075 25.36206 0.1483177 20.51777
0.100050 25.36229 0.1483129 20.52004
0.150025 25.36268 0.1483044 20.52282
0.200000 25.36323 0.1482928 20.52574
* Penalty values λ for the lasso model.
Table 4. Performance metrics for the elastic net regression model—MAE.
Table 4. Performance metrics for the elastic net regression model—MAE.
MAEMinMeanMax
LinearModel *19.7258420.5148921.24642
Ridge19.7596720.5378321.24997
Lasso * Lasso * Lasso * Lasso * Lasso * Lasso * Lasso * Lasso * Lasso19.7300320.5177721.24672
ElasticNet *19.7313920.5185821.24663
* MAE metrics for predictive penalty models.
Table 5. Performance metrics for the elastic net regression model—RMSE.
Table 5. Performance metrics for the elastic net regression model—RMSE.
RMSEMinMeanMax
LinearModel *24.3302125.3619626.30641
Ridge24.3390525.3647126.28795
Lasso * Lasso * Lasso * Lasso * Lasso * Lasso * Lasso * Lasso * Lasso24.3326825.3620626.30250
ElasticNet *24.3317925.3620326.30244
* RMSE metric for the predictive penalty models.
Table 6. Performance metrics for the elastic net regression model—Rsquared.
Table 6. Performance metrics for the elastic net regression model—Rsquared.
RsquaredMinMeanMax
LinearModel *0.10351900.14832070.1794977
Ridge0.10344980.14830780.1796028
Lasso * Lasso * Lasso * Lasso * Lasso * Lasso * Lasso * Lasso * Lasso0.10353780.14831770.1794510
ElasticNet *0.10351710.14832060.1795012
* Rsquared metrics for the predictive penalty models.
Disclaimer/Publisher’s Note: The statements, opinions and data contained in all publications are solely those of the individual author(s) and contributor(s) and not of MDPI and/or the editor(s). MDPI and/or the editor(s) disclaim responsibility for any injury to people or property resulting from any ideas, methods, instructions or products referred to in the content.

Share and Cite

MDPI and ACS Style

Olarte, E.; Gutierrez, J.; Roque, G.; Soria, J.J.; Fernandez, H.; Carpio, J.E.P.; Poma, O. Predictive Model with Machine Learning for Environmental Variables and PM2.5 in Huachac, Junín, Perú. Atmosphere 2025, 16, 323. https://doi.org/10.3390/atmos16030323

AMA Style

Olarte E, Gutierrez J, Roque G, Soria JJ, Fernandez H, Carpio JEP, Poma O. Predictive Model with Machine Learning for Environmental Variables and PM2.5 in Huachac, Junín, Perú. Atmosphere. 2025; 16(3):323. https://doi.org/10.3390/atmos16030323

Chicago/Turabian Style

Olarte, Emery, Jhonatan Gutierrez, Gwayne Roque, Juan J. Soria, Hugo Fernandez, Jackson Edgardo Pérez Carpio, and Orlando Poma. 2025. "Predictive Model with Machine Learning for Environmental Variables and PM2.5 in Huachac, Junín, Perú" Atmosphere 16, no. 3: 323. https://doi.org/10.3390/atmos16030323

APA Style

Olarte, E., Gutierrez, J., Roque, G., Soria, J. J., Fernandez, H., Carpio, J. E. P., & Poma, O. (2025). Predictive Model with Machine Learning for Environmental Variables and PM2.5 in Huachac, Junín, Perú. Atmosphere, 16(3), 323. https://doi.org/10.3390/atmos16030323

Note that from the first issue of 2016, this journal uses article numbers instead of page numbers. See further details here.

Article Metrics

Back to TopTop