Explainable Learning Framework for the Assessment and Prediction of Wind Shear-Induced Aviation Turbulence
Abstract
1. Introduction
- Development of an interpretable EBM-based framework for predicting WSAT in the vicinity of airport runways.
- Application of data balancing techniques, including SMOTE and its advanced variants, to address class imbalance within the PIREP dataset and improve EBM model performance.
- Provision of transparent feature-level interpretation of WSAT prediction outcomes through the inherently explainable structure of the EBM.
2. Materials and Methods
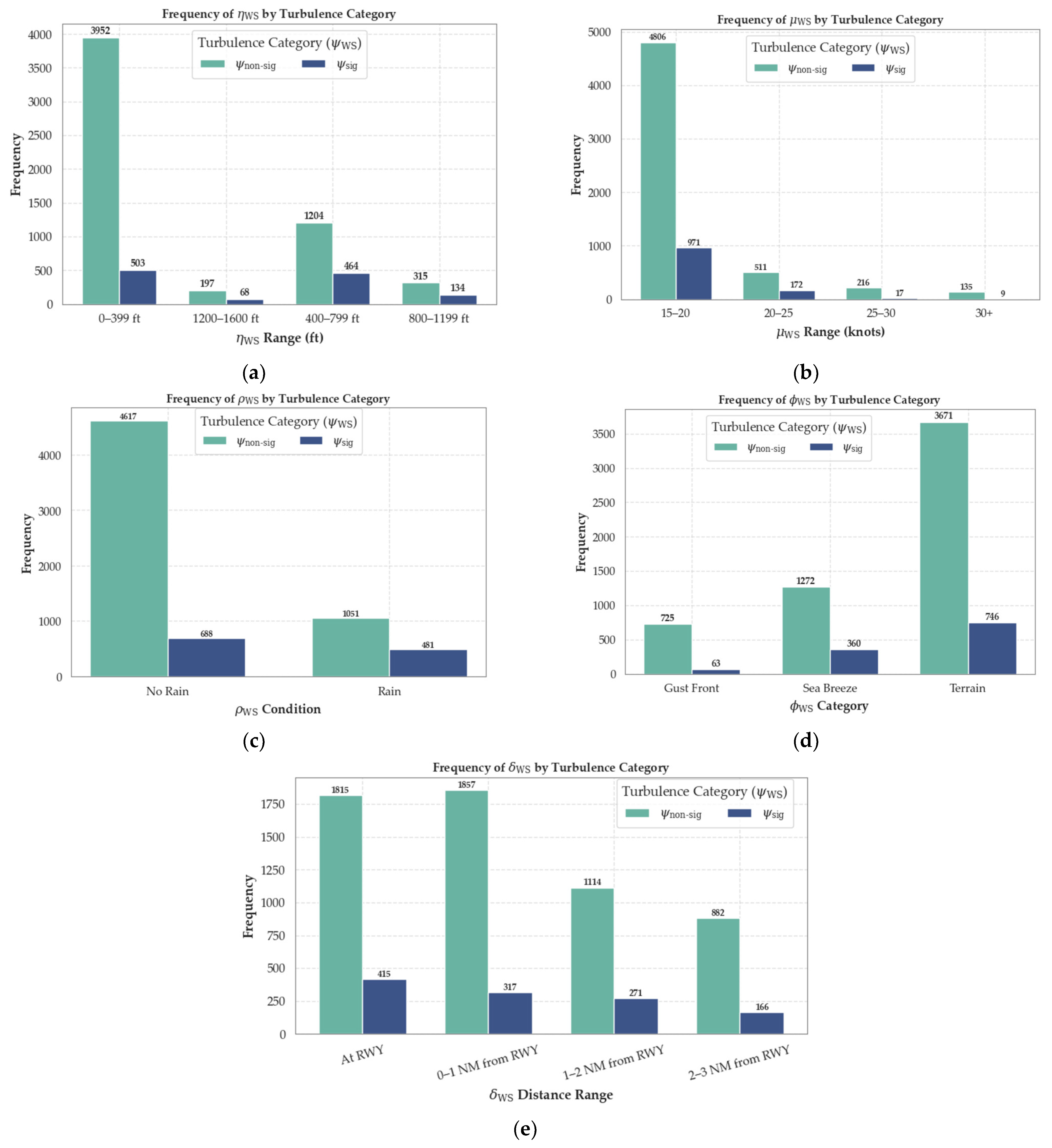
2.1. Case Study Description
2.2. Theoretical Overview of the DEHB–EBM Framework
2.2.1. Explainable Boosting Machine Model (EBM)
2.2.2. Data Balancing Through SMOTE and Its Variants
2.2.3. DEHB for Hyperparameter Tuning of EBM
Differential Evolution Component
Hyperband Component
Combined DEHB Procedure
Model Output and Interpretability
2.3. Performance Measures
3. Analysis and Results
3.1. EBM Training and Testing
3.2. EBM-Based Interpretation
4. Conclusions and Recommendations
4.1. Limitations of This Study
4.2. Future Recommendations
Author Contributions
Funding
Institutional Review Board Statement
Informed Consent Statement
Data Availability Statement
Acknowledgments
Conflicts of Interest
References
- ICAO. Manual on Low-Level Wind Shear; ICAO: Montreal, QC, Canada, 2005. [Google Scholar]
- Di Vito, V.; Zollo, A.L.; Cerasuolo, G.; Montesarchio, M.; Bucchignani, E. Clear-Air Turbulence and Aviation Operations: A Literature Review. Sustainability 2025, 17, 4065. [Google Scholar] [CrossRef]
- Hon, K.; Chan, P. Application of LIDAR-derived eddy dissipation rate profiles in low-level wind shear and turbulence alerts at Hong Kong International Airport. Meteorol. Appl. 2014, 21, 74–85. [Google Scholar] [CrossRef]
- Wang, D.; Gao, Z.; Gu, H.; Guan, X. The optimization of aircraft acceleration response and EDR estimation based on linear turbulence field approximation. Atmosphere 2021, 12, 799. [Google Scholar] [CrossRef]
- Chan, P. LIDAR-based turbulence intensity for aviation applications. In Aviation Turbulence: Processes, Detection, Prediction; Springer: Berlin/Heidelberg, Germany, 2016; pp. 193–209. [Google Scholar]
- Hon, K.-K. Predicting low-level wind shear using 200-m-resolution NWP at the Hong Kong International Airport. J. Appl. Meteorol. Climatol. 2020, 59, 193–206. [Google Scholar] [CrossRef]
- Louis, K.; Guan, Y.; Li, L.K. RANS simulations of terrain-disrupted turbulent airflow at Hong Kong International Airport. Comput. Math. Appl. 2021, 81, 737–758. [Google Scholar] [CrossRef]
- Chan, P.W.; Lai, K.K.; Li, Q.S. High-resolution simulation of a severe case of low-level windshear at the Hong Kong International Airport: Turbulence intensity and sensitivity to turbulence parameterization scheme. Atmos. Sci. Lett. 2022, 23, e1090. [Google Scholar] [CrossRef]
- Kwong, K.-M. Chaotic Oscillator Based Artificial Neural Network with LiDAR Data for Wind Shear and Turbulence Forecasting and Alerting. Master’s Thesis, The Hong Kong Polytechnic University, Hong Kong, China, 2011. [Google Scholar]
- Wu, T.-C.; Hon, K.-K. Application of spectral decomposition of LIDAR-based headwind profiles in windshear detection at the Hong Kong International Airport. Meteorol. Z. 2018, 27, 33–42. [Google Scholar] [CrossRef]
- Krozel, J.A.; Sharman, R. Remote Detection of Turbulence via ADS-B. In Proceedings of the AIAA Guidance, Navigation, and Control Conference, Kissimmee, FL, USA, 5–9 January 2015; p. 1547. [Google Scholar]
- HKO. Windshear and Turbulence in Hong Kong: Information for Pilots; Hong Kong Observatory; Hong Kong Special Administrative Region Government: Hong Kong, China, 2019.
- Rahman, A.; Debnath, T.; Kundu, D.; Khan, M.S.I.; Aishi, A.A.; Sazzad, S.; Sayduzzaman, M.; Band, S.S. Machine learning and deep learning-based approach in smart healthcare: Recent advances, applications, challenges and opportunities. AIMS Public Health 2024, 11, 58. [Google Scholar] [CrossRef]
- Das, S.; Nayak, S.P.; Sahoo, B.; Nayak, S.C. Machine learning in healthcare analytics: A state-of-the-art review. Arch. Comput. Methods Eng. 2024, 31, 3923–3962. [Google Scholar] [CrossRef]
- Chakraborty, C.; Bhattacharya, M.; Pal, S.; Lee, S.-S. From machine learning to deep learning: Advances of the recent data-driven paradigm shift in medicine and healthcare. Curr. Res. Biotechnol. 2024, 7, 100164. [Google Scholar] [CrossRef]
- Wan, Y.; Tao, H.; Zhao, Y. Artificial intelligence in economics and finance: Applications and prospects of machine learning methods. Artif. Intell. 2025, 18, 2025. [Google Scholar] [CrossRef]
- Hao, J.; He, F.; Ma, F.; Zhang, S.; Zhang, X. Machine learning vs deep learning in stock market investment: An international evidence. Ann. Oper. Res. 2025, 348, 93–115. [Google Scholar] [CrossRef]
- Yaghoubi, E.; Yaghoubi, E.; Khamees, A.; Vakili, A.H. A systematic review and meta-analysis of artificial neural network, machine learning, deep learning, and ensemble learning approaches in field of geotechnical engineering. Neural Comput. Appl. 2024, 36, 12655–12699. [Google Scholar] [CrossRef]
- Cao, S.; Sun, X.; Widyasari, R.; Lo, D.; Wu, X.; Bo, L.; Zhang, J.; Li, B.; Liu, W.; Wu, D. A systematic literature review on explainability for machine/deep learning-based software engineering research. arXiv 2024, arXiv:2401.14617. [Google Scholar]
- Pilz, K.F.; Heim, L.; Brown, N. Increased compute efficiency and the diffusion of AI capabilities. In Proceedings of the 39th Annual AAAI Conference on Artificial Intelligence, Philadelphia, PA, USA, 27 February–4 March 2025; Volume 39, pp. 27582–27590. [Google Scholar]
- Sharma, K.; Salagrama, S.; Parashar, D.; Chugh, R.S. AI-Driven Decision Making in the Age of Data Abundance: Navigating Scalability Challenges in Big Data Processing. Rev. D’Intelligence Artif. 2024, 38, 1335. [Google Scholar] [CrossRef]
- Khattak, A.; Zhang, J.; Chan, P.-w.; Chen, F.; Almaliki, A.H. A New Frontier in Wind Shear Intensity Forecasting: Stacked Temporal Convolutional Networks and Tree-Based Models Framework. Atmosphere 2024, 15, 1369. [Google Scholar] [CrossRef]
- Coburn, J.; Arnheim, J.; Pryor, S.C. Short-term forecasting of wind gusts at airports across CONUS using machine learning. Earth Space Sci. 2022, 9, e2022EA002486. [Google Scholar] [CrossRef]
- Penov, N.; Guerova, G. Sofia airport visibility estimation with two machine-learning techniques. Remote Sens. 2023, 15, 4799. [Google Scholar] [CrossRef]
- Chen, C.-J.; Huang, C.-N.; Yang, S.-M. Aviation visibility forecasting by integrating Convolutional Neural Network and long short-term memory network. J. Intell. Fuzzy Syst. 2023, 45, 5007–5020. [Google Scholar] [CrossRef]
- Mizuno, S.; Ohba, H.; Ito, K. Machine learning-based turbulence-risk prediction method for the safe operation of aircrafts. J. Big Data 2022, 9, 29. [Google Scholar] [CrossRef]
- Chow, H.W.; Lim, Z.J.; Alam, S. Data-driven runway occupancy time prediction using decision trees. In Proceedings of the 2021 IEEE/AIAA 40th Digital Avionics Systems Conference (DASC), San Antonio, TX, USA, 3–7 October 2021; pp. 1–9. [Google Scholar]
- Wu, W.; Cai, K.; Yan, Y.; Li, Y. An improved svm model for flight delay prediction. In Proceedings of the 2019 IEEE/AIAA 38th Digital Avionics Systems Conference (DASC), San Diego, CA, USA, 8–12 September 2019; pp. 1–6. [Google Scholar]
- Dai, M. A hybrid machine learning-based model for predicting flight delay through aviation big data. Sci. Rep. 2024, 14, 4603. [Google Scholar] [CrossRef]
- Alfarhood, M.; Alotaibi, R.; Abdulrahim, B.; Einieh, A.; Almousa, M.; Alkhanifer, A. Predicting flight delays with machine learning: A case study from Saudi Arabian airlines. Int. J. Aerosp. Eng. 2024, 2024, 3385463. [Google Scholar] [CrossRef]
- Zhang, X.; Mahadevan, S. Bayesian neural networks for flight trajectory prediction and safety assessment. Decis. Support Syst. 2020, 131, 113246. [Google Scholar] [CrossRef]
- Alaoui, B.; Bari, D.; Bergot, T.; Ghabbar, Y. Analog ensemble forecasting system for low-visibility conditions over the main airports of morocco. Atmosphere 2022, 13, 1704. [Google Scholar] [CrossRef]
- Rudin, C. Stop explaining black box machine learning models for high stakes decisions and use interpretable models instead. Nat. Mach. Intell. 2019, 1, 206–215. [Google Scholar] [CrossRef]
- Hakkoum, H.; Idri, A.; Abnane, I. Global and local interpretability techniques of supervised machine learning black box models for numerical medical data. Eng. Appl. Artif. Intell. 2024, 131, 107829. [Google Scholar] [CrossRef]
- Körner, A.; Sailer, B.; Sari-Yavuz, S.; Haeberle, H.A.; Mirakaj, V.; Bernard, A.; Rosenberger, P.; Koeppen, M. Explainable Boosting Machine approach identifies risk factors for acute renal failure. Intensive Care Med. Exp. 2024, 12, 55. [Google Scholar] [CrossRef] [PubMed]
- Mahmoudian, A.; Bypour, M.; Kioumarsi, M. Explainable boosting machine learning for predicting bond strength of FRP rebars in ultra high-performance concrete. Computation 2024, 12, 202. [Google Scholar] [CrossRef]
- Colantonio, L.; Equeter, L.; Dehombreux, P.; Ducobu, F. Explainable AI for tool condition monitoring using Explainable Boosting Machine. Procedia CIRP 2025, 133, 138–143. [Google Scholar] [CrossRef]
- Wahab, S.; Salami, B.A.; AlAteah, A.H.; Al-Tholaia, M.M.; Alahmari, T.S. Exploring the interrelationships between composition, rheology, and compressive strength of self-compacting concrete: An exploration of explainable boosting algorithms. Case Stud. Constr. Mater. 2024, 20, e03084. [Google Scholar] [CrossRef]
- Kabir, M.A.; Ahmed, M.U.; Begum, S.; Barua, S.; Islam, M.R. Balancing fairness: Unveiling the potential of smote-driven oversampling in ai model enhancement. In Proceedings of the 2024 9th International Conference on Machine Learning Technologies, Oslo, Norway, 24–26 May 2024; pp. 21–29. [Google Scholar]
- Hu, C.; Deng, R.; Hu, X.; He, M.; Zhao, H.; Jiang, X. An automatic methodology for lithology identification in a tight sandstone reservoir using a bidirectional long short-term memory network combined with Borderline-SMOTE. Acta Geophys. 2025, 73, 2319–2335. [Google Scholar] [CrossRef]
- Yilmaz Eroglu, D.; Pir, M.S. Hybrid oversampling and undersampling method (houm) via safe-level smote and support vector machine. Appl. Sci. 2024, 14, 10438. [Google Scholar] [CrossRef]
- Lu, S.; Ye, J. Imbalanced data classification scheme based on G-SMOTE. Procedia Comput. Sci. 2024, 247, 1295–1303. [Google Scholar] [CrossRef]
- Acosta, N.O.; Klein, S.; Starmans, M.P. Automated method design for cancer image classification by Differential Evolution and Ensembling. In Proceedings of the MICCAI Student Board EMERGE Workshop: Empowering Medical Information Computing and Research Through Early-Career Guidance and Expertise, Daejeon, Republic of Korea, 23 September 2025. [Google Scholar]
- Shi, G.; Jiang, Z.; Wong, C.M.S.; Ding, X.; Wu, S.; Zhao, C. Multimodal land subsidence of the new reclaimed HKIA 3rd Runway from InSAR and independent component analysis. In Proceedings of the IGARSS 2024–2024 IEEE International Geoscience and Remote Sensing Symposium, Athens, Greece, 7–12 July 2024; pp. 1624–1627. [Google Scholar]
- Chen, F.; Peng, H.; Chan, P.w.; Ma, X.; Zeng, X. Assessing the risk of windshear occurrence at HKIA using rare-event logistic regression. Meteorol. Appl. 2020, 27, e1962. [Google Scholar] [CrossRef]
- Hon, K.K.; Chan, P.w. Historical analysis (2001–2019) of low-level wind shear at the Hong Kong International Airport. Meteorol. Appl. 2022, 29, e2063. [Google Scholar] [CrossRef]
- Chen, F.; Peng, H.; Chan, P.-w.; Huang, Y.; Hon, K.-K. Identification and analysis of terrain-induced low-level windshear at Hong Kong International Airport based on WRF–LES combining method. Meteorol. Atmos. Phys. 2022, 134, 60. [Google Scholar] [CrossRef]
- Greenwell, B.M. Explainable Boosting Machines in R with the ebm Package. R J. 2023, 15, 100–115. [Google Scholar]
- Yousif, Y.; Müller, J. Efficient and Interpretable Traffic Destination Prediction using Explainable Boosting Machines. arXiv 2024, arXiv:2402.03457. [Google Scholar] [CrossRef]
- Liu, G.; Sun, B. Concrete compressive strength prediction using an explainable boosting machine model. Case Stud. Constr. Mater. 2023, 18, e01845. [Google Scholar] [CrossRef]
- Hairani, H.; Widiyaningtyas, T.; Prasetya, D.D. Addressing class imbalance of health data: A systematic literature review on modified synthetic minority oversampling technique (SMOTE) strategies. JOIV Int. J. Inform. Vis. 2024, 8, 1310–1318. [Google Scholar] [CrossRef]
- Wilson, A.; Anwar, M.R. The future of adaptive machine learning algorithms in high-dimensional data processing. Int. Trans. Artif. Intell. 2024, 3, 97–107. [Google Scholar] [CrossRef]
- Storer, L.N.; Williams, P.D.; Gill, P.G. Aviation turbulence: Dynamics, forecasting, and response to climate change. Pure Appl. Geophys. 2019, 176, 2081–2095. [Google Scholar] [CrossRef]
- Chan, P. Case study of a special event of low-level windshear and turbulence at the Hong Kong International Airport. Atmos. Sci. Lett. 2023, 24, e1143. [Google Scholar] [CrossRef]
- Chan, P. Severe wind shear at Hong Kong International airport: Climatology and case studies. Meteorol. Appl. 2017, 24, 397–403. [Google Scholar] [CrossRef]
- Chan, P. A significant wind shear event leading to aircraft diversion at the Hong Kong international airport. Meteorol. Appl. 2012, 19, 10–16. [Google Scholar] [CrossRef]
- Khattak, A.; Chan, P.-W.; Chen, F.; Peng, H. Time-series prediction of intense wind shear using machine learning algorithms: A case study of Hong Kong International Airport. Atmosphere 2023, 14, 268. [Google Scholar] [CrossRef]













| Metric | Description | Expression |
|---|---|---|
| Measures the proportion of correctly predicted positive instances out of all predicted positives. | ||
| Quantifies how effectively the model identifies actual positive instances within the dataset. | ||
| Measures the average recall for each class, which provides an unbiased estimate of overall classification. | ||
| Represents the balance between precision and recall by taking their geometric mean. | ||
| Matthews Correlation Coefficient (MCC) | Evaluates the overall quality of binary classifications by considering true and false positives and negatives. | |
| Receiver Operating Characteristic (ROC) Curve | Plots the True Positive Rate (TPR) against the False Positive Rate (FPR) at various threshold settings. | — |
| Factors | Symbol | Description and Coding Details |
|---|---|---|
| Wind Shear Magnitude | Represents the magnitude of wind shear in knots, measured as a continuous value. | |
| Wind Shear Distance from Runway | Indicates the distance of wind shear occurrence from the runway. If coded 0, it represents at runway; if coded 1, it represents 0–1 NM from runway; if coded 2, it represents 1–2 NM from runway; if coded 3, it represents 2–3 NM from runway; and if coded 4, it represents Beyond 3 NM. | |
| Wind Shear Altitude | Indicates the altitude range at which wind shear occurred. If coded 0, it represents 0–399 ft; if coded 1, it represents 400–799 ft; if coded 2, it represents 800–1199 ft; and if coded 3, it represents 1200–1600 ft. | |
| Wind Shear Causes | Represents the primary cause of wind shear. If coded 0, it corresponds to terrain; if coded 1, it corresponds to sea breeze; and if coded 2, it corresponds to gust front. | |
| Rainfall Condition | Indicates the rainfall condition at the time of the event. If coded 0, it represents no rain; if coded 1, it represents rain. | |
| Aviation Turbulence Category |
| Method | ||||
|---|---|---|---|---|
| Before Balance | After Balance | Before Balance | After Balance | |
| SMOTE | 17.1% (818) | 50.0% (3967) | 82.9% (3967) | 50.0% (3967) |
| Borderline SMOTE | 17.1% (818) | 50.0% (3967) | 82.9% (3967) | 50.0% (3967) |
| Safe-Level SMOTE | 17.1% (818) | 50.0% (3967) | 82.9% (3967) | 50.0% (3967) |
| G-SMOTE | 17.1% (818) | 50.0% (3967) | 82.9% (3967) | 50.0% (3967) |
Disclaimer/Publisher’s Note: The statements, opinions and data contained in all publications are solely those of the individual author(s) and contributor(s) and not of MDPI and/or the editor(s). MDPI and/or the editor(s) disclaim responsibility for any injury to people or property resulting from any ideas, methods, instructions or products referred to in the content. |
© 2025 by the authors. Licensee MDPI, Basel, Switzerland. This article is an open access article distributed under the terms and conditions of the Creative Commons Attribution (CC BY) license (https://creativecommons.org/licenses/by/4.0/).
Share and Cite
Khattak, A.; Chan, P.-w.; Chen, F.; Elhassan, A.A.M.; Alsulami, B.T. Explainable Learning Framework for the Assessment and Prediction of Wind Shear-Induced Aviation Turbulence. Atmosphere 2025, 16, 1318. https://doi.org/10.3390/atmos16121318
Khattak A, Chan P-w, Chen F, Elhassan AAM, Alsulami BT. Explainable Learning Framework for the Assessment and Prediction of Wind Shear-Induced Aviation Turbulence. Atmosphere. 2025; 16(12):1318. https://doi.org/10.3390/atmos16121318
Chicago/Turabian StyleKhattak, Afaq, Pak-wai Chan, Feng Chen, Adil A. M. Elhassan, and Badr T. Alsulami. 2025. "Explainable Learning Framework for the Assessment and Prediction of Wind Shear-Induced Aviation Turbulence" Atmosphere 16, no. 12: 1318. https://doi.org/10.3390/atmos16121318
APA StyleKhattak, A., Chan, P.-w., Chen, F., Elhassan, A. A. M., & Alsulami, B. T. (2025). Explainable Learning Framework for the Assessment and Prediction of Wind Shear-Induced Aviation Turbulence. Atmosphere, 16(12), 1318. https://doi.org/10.3390/atmos16121318

