Forecasting Rainfall IDF Curves Using Ground Data and Downscaled Climate Projections to Enhance Flood Management in Punjab, Pakistan
Abstract
1. Introduction
2. Data and Study Area
3. Methodology
3.1. Research Steps
- Obtain observed and satellite-derived daily rainfall data for the selected cities. Extract GCM numerical simulations for the historical period and future scenarios.
- Perform bilinear interpolation and extract annual maxima for the obtained rainfall datasets
- Estimate short duration rainfall (1-h, 2-h, 3-h, 4-h, 6-h, 12-h, and 24-h periods)
- Identify the optimal GCM model using a ranking method approach and the Taylor diagram
- Determine the best-fit probability distribution (LP3, GUM, and LN2) for estimating rainfall intensity for the required durations and return periods, using the ranking method and goodness of fit tests.
- Develop IDF curves for all locations and generate its empirical relations using the Sherman equation.
- Downscale the satellite-derived dataset using the EQM Method in accordance with the best-fit probability distribution.
- Generate future projections of updated IDF curves and empirical equations using the downscaled dataset for the defined climate scenarios SSP 2-4.5 and 5-8.5.
3.2. Estimating Short Duration Rainfall
3.3. Selection of Optimal GCM Model
3.4. Selection of Best-Fit Distribution
3.5. Generating IDF Curves and Sherman Equation
3.6. Downscaling
3.7. EQM Method Algorithm
- Select the appropriate GCM model for the study area and obtain the daily maximum rainfall using the historical GCM-simulated daily dataset.where the values in the matrix, represented by , are the maximum daily rainfall values from historical GCM-simulated dataset for the ith year, and N is the number of years for which the dataset is available. It is important to note that for the formulation to work effectively, the same time span (number of years) should be used from the observed rainfall dataset.
- 2.
- Using the station/observed rainfall dataset for a location, acquire the sub-daily (1 h, 2 h, 3 h, 4 h, 6 h, 12 h, and 24 h) maximum rainfall values.where the values in the matrix, represented by , are the maximum sub-daily rainfall values for a particular location/city (STN) from station/observed rainfall dataset for the jth rainfall duration in the ith year, and N is the number of years for which the dataset is available.
- 3.
- Acquire the daily maximum rainfall using the future GCM-simulated dataset for the defined climate scenarios (i.e., SSP 2-4.5 and 5-8.5).where the values in the matrix, represented by , are the maximum daily rainfall values from the future GCM-simulated precipitation dataset for the defined climate scenarios, and is the number of years considered in the future dataset.
- 4.
- Determine the best-fitting probability distribution representing the daily maximum values obtained from the GCM-simulated (historical and future) dataset and the observed rainfall datasets.andwhere PDF represents the probability distribution function, and θ is the critical parameter of the best-fitting distribution.
- 5.
- Extract the GCM-simulated sub-daily dataset, , represents a statistical linkage between the sub-daily dataset and the cumulative probability distribution of the GCM simulation using the quantile mapping methodology. This is also known as spatial downscaling of the historical GCM-simulated dataset to the sub-daily observed rainfall dataset.where CDF represents the cumulative probability distribution function, and invCDF is the inverse of corresponding CDF. is the sub-daily maximum dataset statistically downscaled for the corresponding jth duration.
- 6.
- With a similar approach, model the variation between the scenario-based future GCM dataset and the historical GCM-simulated dataset using the quantile mapping methodology, which helps extract the downscaled scenario-based future GCM projections, for the dataset. This is known as temporal downscaling of future GCM projections to the baseline historical GCM rainfall dataset:where is the temporally downscaled dataset for the future GCM projections and the historical GCM simulated dataset for the corresponding period.
- 7.
- Form a suitable function/expression to develop a mathematical relationship between and . Few studies [10,70] suggest a linear relationship between the two quantities, providing a reasonably accurate relationship. However, this is not valid for all distribution functions. Previous studies have used the Gumbel CDF for this relationship. In this study, the LP3 distribution was identified as the best fit, so its CDF (Equation (29)) is used to develop the first-order linear equation for the two CDFs for the region.andwhere γ(k) is the lower partial gamma function, Γ(k) is the complete gamma function, k is the shape parameter, and μ and β are the location and scale parameters.
- 8.
- Following the same approach, determine the function that links andand
- 9.
- To develop future projections of the dataset, combine Equations (17) and (19) along with the replacement of with in Equation (17).
- 10.
- Finally, produce IDF curves for the downscaled future projection dataset and compare it with the observed/station-based IDF curves to determine variations in intensities.
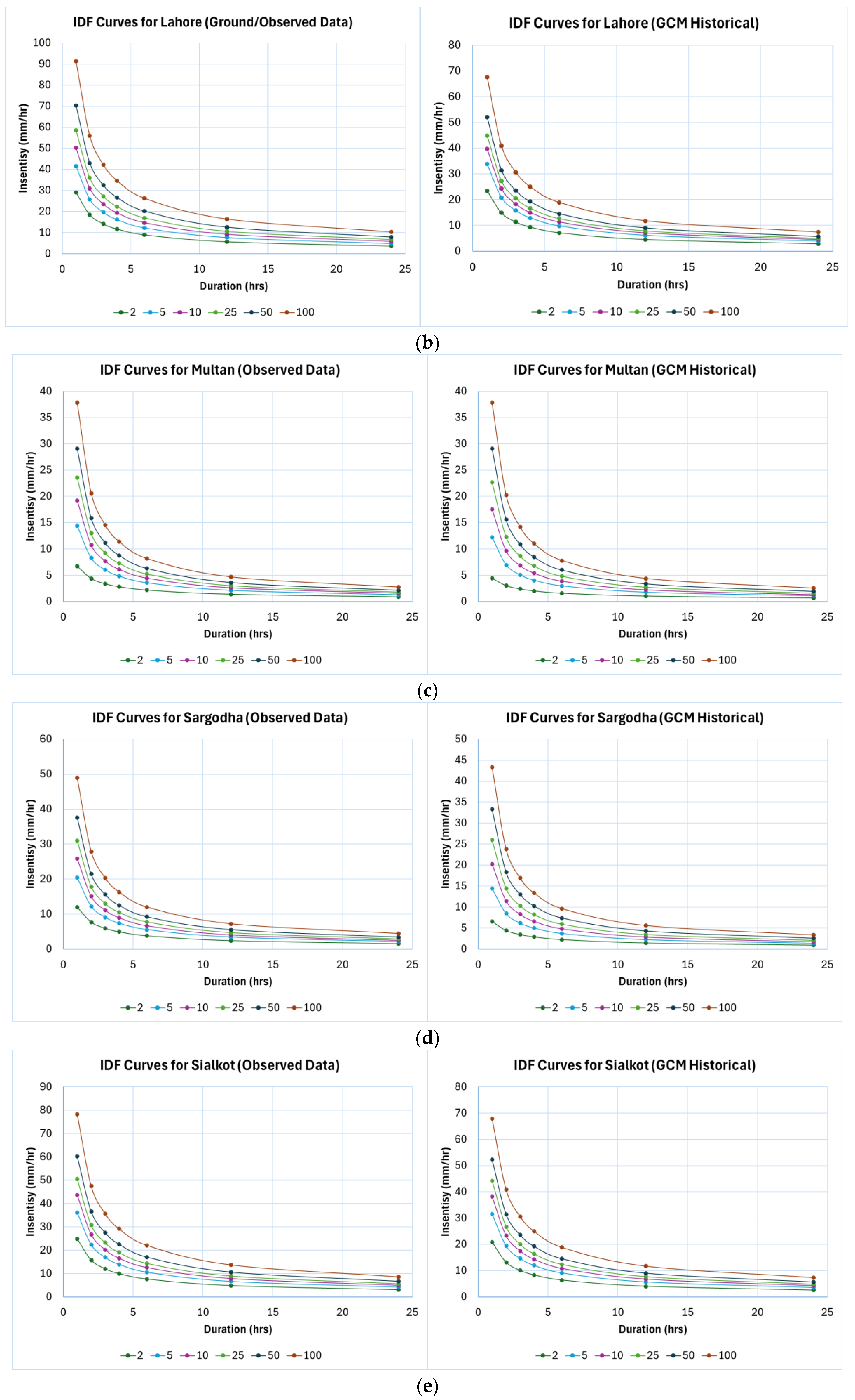
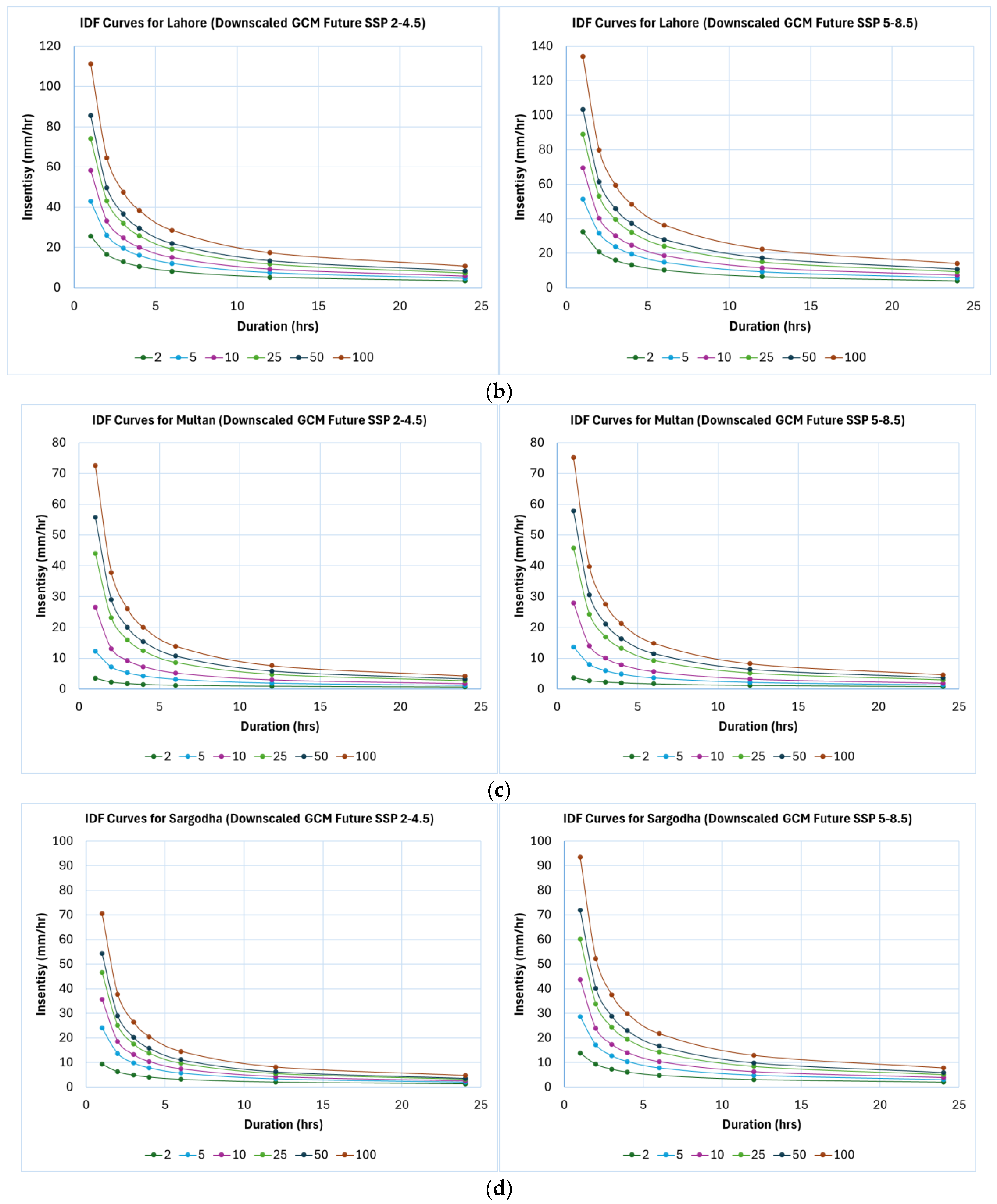
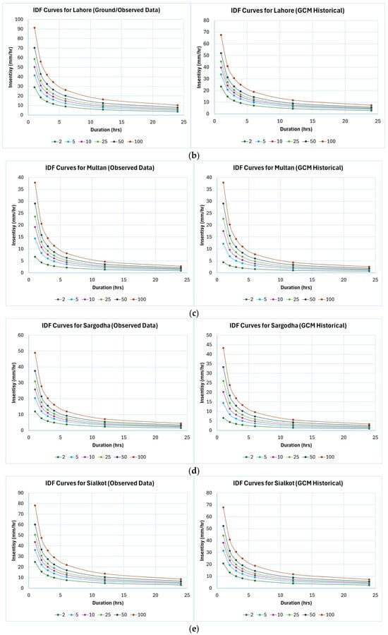
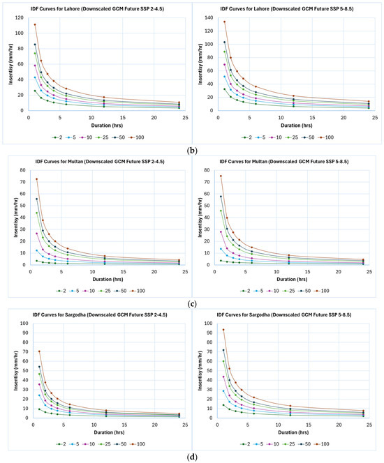
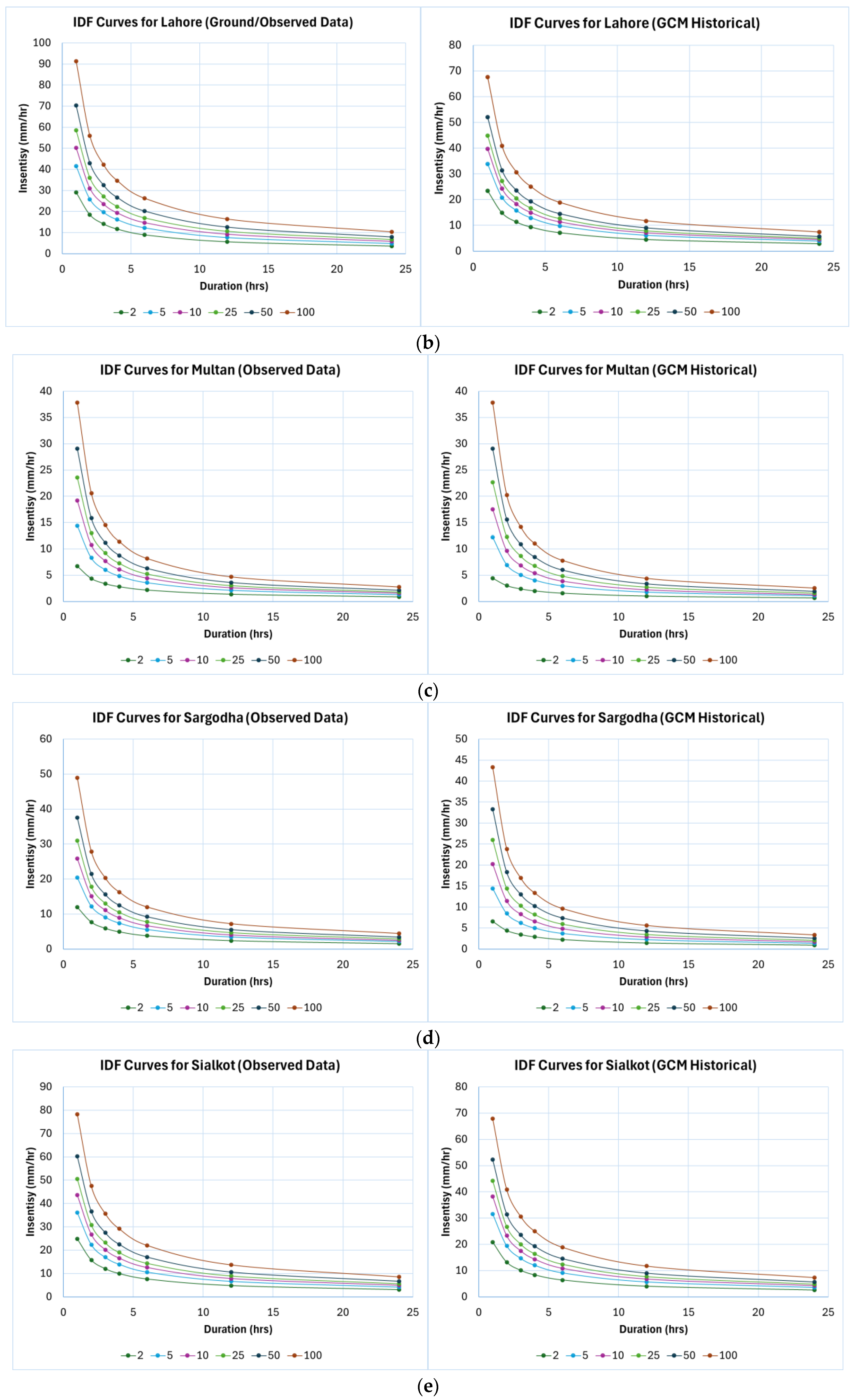
4. Results and Discussion
- The updated IDF curves show a consistent increase across intensifying SSP scenarios, with the highest changes under SSP5-8.5 [74].
- Downscaled GCM datasets project a significant rise in rainfall intensities for major cities in Punjab, improving future projections’ accuracy compared to raw GCM outputs.
- Rainfall intensities increase more under the SSP5-8.5 scenario than SSP2-4.5 [75], highlighting the impact of greenhouse gas emissions.
- The downscaling process significantly affected future projections, especially for extreme return periods; for Lahore, the 100-year intensity increased by about 10% under SSP5-8.5.
- Rainfall intensities increased most in Multan, followed by Bahawalpur, Sargodha, Lahore, and Sialkot, with critical implications for infrastructure design [76]. Historical rainfall intensities show typical trends for Punjab’s major urban centers, with Lahore being the wettest and Bahawalpur the driest [76].
- SSP5-8.5 shows a higher percentage change than SSP2-4.5 across rainfall durations. Bahawalpur’s 50-year return period intensity increases by 95.72% under SSP2-4.5, and Lahore’s by 26.23%.
- Under SSP5-8.5, future projections show a larger increase, with Bahawalpur’s 50-year return period intensity rising by 111.39%, and Lahore’s by 51.56%.
- Downscaled GCM projections are generally lower than raw data but show significant increases compared to historical observations [77].
5. Conclusions
Author Contributions
Funding
Institutional Review Board Statement
Informed Consent Statement
Data Availability Statement
Acknowledgments
Conflicts of Interest
References
- Shreyas, R.; Punith, D.; Bhagirathi, L.; Krishna, A.; Devagiri, G.M. Exploring Different Probability Distributions for Rainfall Data of Kodagu—An Assisting Approach for Food Security. Int. J. Curr. Microbiol. Appl. Sci. 2020, 9, 2972. [Google Scholar] [CrossRef]
- Alasgah, A.A.; Ahmad, I.; Dar, M.A.; Youssef, Y.M.; Zeleňáková, M.; Sisay, M.; Zewdu, G.S.; Heiba, Y. Integrating GIS–Fuzzy Logic Framework and Remotely Sensed Climate Data for Drought Vulnerability Assessment across Africa. Environ. Monit. Assess. 2025, 197, 1110. [Google Scholar] [CrossRef] [PubMed]
- Hawkins, E.; Frame, D.J.; Harrington, L.J.; Joshi, M.; King, A.D.; Rojas, M.; Sutton, R. Observed Emergence of the Climate Change Signal: From the Familiar to the Unknown. Geospat. Res. Lett. 2020, 47. [Google Scholar] [CrossRef]
- Majeed, A.R.; Nile, B.K.; Al-Baidhani, J.H. Selection of Suitable PDF Model and Build of IDF Curves for Rainfall in Najaf City, Iraq. J. Phys. Conf. Ser. 2021, 1973, 12184. [Google Scholar] [CrossRef]
- Dass, B.; Sen, S.; Sharma, A.; Hussain, S.; Rana, N.; Sen, D. Hydrological Process Monitoring for Springshed Management in the Indian Himalayan Region: Field Observatory and Reference Database. Curr. Sci. 2021, 120, 791. [Google Scholar] [CrossRef]
- Youssef, Y.M.; AlMetwaly, W.M.; Saber, M.; Abdelshafy, M.; Qaysi, S.; Al-Arifi, N.; Wahba, M. Integrating Geospatial and Hydrodynamic Modelling to Unravel Cultural Heritage Vulnerability to Dam Breaches and Flash Flood in Arid Environments. Int. J. Disaster Risk Reduct. 2025, 126, 105605. [Google Scholar] [CrossRef]
- Basumatary, V.; Sil, B.S. Generation of Rainfall Intensity-Duration-Frequency Curves for the Barak River Basin. Meteorol. Hydrol. Water Manag. 2017, 6, 47–57. [Google Scholar] [CrossRef]
- Otto, F.E.L.; Zachariah, M.; Saeed, F.; Siddiqi, A.; Shahzad, K.; Mushtaq, H.; Arulalan, T.; AchutaRao, K.; Chaithra, S.T.; Barnes, C.; et al. Climate Change Likely Increased Extreme Monsoon Rainfall, Flooding Highly Vulnerable Communities in Pakistan. Environ. Res. Clim. 2023, 2, 025001. [Google Scholar] [CrossRef]
- Yan, X.; Xu, K.; Feng, W.; Chen, J. A Rapid Prediction Model of Urban Flood Inundation in a High-Risk Area Coupling Machine Learning and Numerical Simulation Approaches. Int. J. Disaster Risk Sci. 2021, 12, 903. [Google Scholar] [CrossRef]
- Srivastav, R.K.; Schardong, A.; Simonovic, S.P. Equidistance Quantile Matching Method for Updating IDF Curves under Climate Change. Water Resour. Manag. 2014, 28, 2539–2562. [Google Scholar] [CrossRef]
- Anand, S.; Kumar, P.; Kumar, M. Development of Rainfall Intensity-Duration-Frequency Relationships and Nomographs for Selected Stations in Maharashtra, India. MAUSAM 2023, 74, 707. [Google Scholar] [CrossRef]
- Mahdi, E.S.; Mohamedmeki, M.Z. Analysis of Rainfall Intensity-Duration-Frequency (IDF) Curves of Baghdad City. IOP Conf. Ser. Mater. Sci. Eng. 2020, 888, 12066. [Google Scholar] [CrossRef]
- Tabari, H. Climate Change Impact on Flood and Extreme Precipitation Increases with Water Availability. Sci. Rep. 2020, 10, 13768. [Google Scholar] [CrossRef] [PubMed]
- Nurfaida, W.; Ramdhani, H.; Shimozono, T.; Triawati, I.; Sulaiman, M. Rainfall Trend and Variability over Opak River Basin, Yogyakarta, Indonesia. J. Civ. Eng. Forum 2021, 7, 109–120. [Google Scholar] [CrossRef]
- Li, H.; Sheffield, J.; Wood, E.F. Bias Correction of Monthly Precipitation and Temperature Fields from Intergovernmental Panel on Climate Change AR4 Models Using Equidistant Quantile Matching. J. Geophys. Res. Atmos. 2010, 115, D10101. [Google Scholar] [CrossRef]
- Schardong, A.; Simonović, S.P.; Gaur, A.; Sandink, D. Web-Based Tool for the Development of Intensity Duration Frequency Curves under Changing Climate at Gauged and Ungauged Locations. Water 2020, 12, 1243. [Google Scholar] [CrossRef]
- Scafetta, N. Impacts and Risks of “Realistic” Global Warming Projections for the 21st Century. Geosci. Front. 2023, 15, 101774. [Google Scholar] [CrossRef]
- Zhu, J. Impact of Climate Change on Extreme Rainfall across the United States. J. Hydrol. Eng. 2012, 18, 1301. [Google Scholar] [CrossRef]
- Rohat, G.; Flacke, J.; Dao, H.; Maarseveen, M.F.A.M. van Co-Use of Existing Scenario Sets to Extend and Quantify the Shared Socioeconomic Pathways. Clim. Change 2018, 151, 619. [Google Scholar] [CrossRef]
- Yang, S.; Cui, X. Review Building Regional Sustainable Development Scenarios with the SSP Framework. Sustainability 2019, 16, 5712. [Google Scholar] [CrossRef]
- Ayek, A.A.E.; Loho, M.A.; Alkhuraiji, W.S.; Eid, S.; Abd-Elmaboud, M.E.; Nahas, F.; Youssef, Y.M. Deciphering Air Pollution Dynamics and Drivers in Riverine Megacities Using Remote Sensing Coupled with Geospatial Analytics for Sustainable Development. Atmosphere 2025, 16, 1084. [Google Scholar] [CrossRef]
- Sun, Y.; Wendi, D.; Kim, D.E.; Liong, S. Deriving Intensity–Duration–Frequency (IDF) Curves Using Downscaled in Situ Rainfall Assimilated with Remote Sensing Data. Geosci. Lett. 2019, 6, 17. [Google Scholar] [CrossRef]
- Marra, F.; Morin, E.; Peleg, N.; Mei, Y.; Anagnostou, E.N. Intensity–Duration–Frequency Curves from Remote Sensing Rainfall Estimates: Comparing Satellite and Weather Radar over the Eastern Mediterranean. Hydrol. Earth Syst. Sci. 2017, 21, 2389. [Google Scholar] [CrossRef]
- Xu, L.; Chen, N.; Moradkhani, H.; Zhang, X.; Hu, C. Improving Global Monthly and Daily Precipitation Estimation by Fusing Gauge Observations, Remote Sensing, and Reanalysis Data Sets. Water Resour. Res. 2020, 56, e2019WR02644. [Google Scholar] [CrossRef]
- Awatade, S.; Kashiwar, S.R.; Ghosh, S.; Singhandhupe, R.B.; Dongarwar, U.R.; Dhakre, D.S. Satellite Based Estimation and Validation of Rainfall Distribution in Monsoon over Washim (Maharashtra), India. Int. J. Curr. Microbiol. Appl. Sci. 2018, 7, 1694. [Google Scholar] [CrossRef]
- Khan, N.; Shahid, S.; Ahmed, K.; Wang, X.; Ali, R.; Ismail, T.; Nawaz, N. Selection of GCMs for the Projection of Spatial Distribution of Heat Waves in Pakistan. Atmos. Res. 2019, 233, 104688. [Google Scholar] [CrossRef]
- Iqbal, Z.; Shahid, S.; Ahmed, K.; Ismail, T.; Nawaz, N. Spatial Distribution of the Trends in Precipitation and Precipitation Extremes in the Sub-Himalayan Region of Pakistan. Theor. Appl. Climatol. 2019, 137, 2755. [Google Scholar] [CrossRef]
- Ren, H.; Hou, Z.; Wigmosta, M.S.; Liu, Y.; Leung, L.R. Impacts of Spatial Heterogeneity and Temporal Non-Stationarity on Intensity-Duration-Frequency Estimates—A Case Study in a Mountainous California-Nevada Watershed. Water 2019, 11, 1296. [Google Scholar] [CrossRef]
- Loho, M.A.; Ayek, A.A.E.; Alkhuraiji, W.S.; Eid, S.; Rebouh, N.Y.; Abd-Elmaboud, M.E.; Youssef, Y.M. Assessing Environmental Sustainability in the Eastern Mediterranean Under Anthropogenic Air Pollution Risks Through Remote Sensing and Google Earth Engine Integration. Atmosphere 2025, 16, 894. [Google Scholar] [CrossRef]
- Mahmud, M.R.; Hashim, M.; Matsuyama, H.; Numata, S.; Hosaka, T. Spatial Downscaling of Satellite Precipitation Data in Humid Tropics Using a Site-Specific Seasonal Coefficient. Water 2018, 10, 409. [Google Scholar] [CrossRef]
- Hochman, A.; Kunin, P.; Alpert, P.; Harpaz, T.; Saaroni, H.; Rostkier-Edelstein, D. Weather Regimes and Analogues Downscaling of Seasonal Precipitation for the 21st Century: A Case Study over Israel. Int. J. Climatol. 2019, 40, 2062. [Google Scholar] [CrossRef]
- Ekström, M.; Grose, M.R.; Whetton, P.H. Advanced Review An Appraisal of Downscaling Methods Used in Climate Change Research. Wiley Interdiscip. Rev. Clim. Change 2015, 6, 301–319. [Google Scholar] [CrossRef]
- Fathy, I.; Negm, A.M.; El-Fiky, M.; Nassar, M.; Al-Sayed, E. Intensity Duration Frequency Curves for Sinai Peninsula, Egypt. Int. J. Res. Eng. Technol. 2014, 2, 105–112. [Google Scholar]
- Gebreigziabher, E.T. Analysis Rainfall Intensity-Duration-Frequencyrelationships Under Climate Change for Mekele City, Ethiopia. Int. J. Tech. Res. Sci. 2020, 5, 1. [Google Scholar] [CrossRef]
- Pierce, D.W.; Cayan, D.R.; Maurer, E.P.; Abatzoglou, J.T.; Hegewisch, K.C. Improved Bias Correction Techniques for Hydrological Simulations of Climate Change. J. Hydrometeorol. 2015, 16, 2421. [Google Scholar] [CrossRef]
- Cheng, L.; AghaKouchak, A. Nonstationary Precipitation Intensity-Duration-Frequency Curves for Infrastructure Design in a Changing Climate. Sci. Rep. 2014, 4, 7093. [Google Scholar] [CrossRef] [PubMed]
- Costa, C.E.A. de S.; Blanco, C.J.C.; Oliveira-Júnior, J.F. de IDF Curves for Future Climate Scenarios in a Locality of the Tapajós Basin, Amazon, Brazil. J. Water Clim. Change 2019, 11, 760. [Google Scholar] [CrossRef]
- Pakistan Meteorological Department. Floods in Punjab, Pakistan: Heavy Rainfall Causes Severe Flooding; Pakistan Meteorological Department: Islamabad, Pakistan, 2024. [Google Scholar]
- National Disaster Management Authority; Government of Pakistan. Monsoon Floods in Pakistan; NDMA: Islamabad, Pakistan, 2022. [Google Scholar]
- International Federation of Red Cross and Red Crescent Societies. 2014 Floods in Pakistan: Severe Monsoon Rains Impact Millions; International Federation of Red Cross and Red Crescent Societies: Geneva, Switzerland, 2014. [Google Scholar]
- United Nations Office for the Coordination of Humanitarian Affairs (OCHA). Pakistan’s Worst Floods in History; OCHA: Geneva, Switzerland, 2010. [Google Scholar]
- IPCC. Climate Change: The IPCC Scientific Assessment; IPCC: Geneva, Switzerland, 1990. [Google Scholar]
- Covey, C.; AchutaRao, K.; Cubasch, U.; Jones, P.D.; Lambert, S.; Mann, M.; Phillips, T.J.; Taylor, K.E. An Overview of Results from the Coupled Model Intercomparison Project. Glob. Planet. Change 2003, 37, 103. [Google Scholar] [CrossRef]
- Cubasch, U.; Meehl, G.A.; Boer, G.J.; Stouffer, R.J.; Dix, M.; Noda, A.; Senior, C.A.; Raper, S.; Yap, K.S. Projections of Future Climate Change. In Climate Change 2001: The Scientific Basis; Cambridge University Press: Cambridge, UK, 2001. [Google Scholar]
- Khan, N.; Shahid, S.; Ahmed, K.; Ismail, T.; Nawaz, N.; Son, M. Performance Assessment of General Circulation Model in Simulating Daily Precipitation and Temperature Using Multiple Gridded Datasets. Water 2018, 10, 1793. [Google Scholar] [CrossRef]
- Hamaguchi, K.; Imada, Y.; Shiogama, H.; Kanae, S. Event Attribution for the Pakistan Heavy Rainfall in 2010. J. Jpn. Soc. Civ. Eng. Ser B1 (Hydraul. Eng.) 2013, 69, 337–342. [Google Scholar] [CrossRef][Green Version]
- Ali, Z.; Hamed, M.M.; Muhammad, M.K.I.; Iqbal, Z.; Shahid, S. Performance Evaluation of CMIP6 GCMs for the Projections of Precipitation Extremes in Pakistan. Clim. Dyn. 2023, 61, 4717–4732. [Google Scholar] [CrossRef]
- Abbas, A.; Ullah, S.; Ullah, W.; Waseem, M.; Dou, X.; Zhao, C.; Karim, A.; Zhu, J.; Hagan, D.F.T.; Bhatti, A.S.; et al. Evaluation and Projection of Precipitation in Pakistan Using the Coupled Model Intercomparison Project Phase 6 Model Simulations. Int. J. Climatol. 2022, 42, 6665–6684. [Google Scholar] [CrossRef]
- Iqbal, Z.; Shahid, S.; Ahmed, K.; Ismail, T.; Ziarh, G.F.; Chung, E.-S.; Wang, X. Evaluation of CMIP6 GCM Rainfall in Mainland Southeast Asia. Atmos. Res. 2021, 254, 105525. [Google Scholar] [CrossRef]
- Iqbal, Z.; Shahid, S.; Ahmed, K.; Ismail, T.; Khan, N.; Virk, Z.T.; Johar, W. Evaluation of Global Climate Models for Precipitation Projection in Sub-Himalaya Region of Pakistan. Atmos. Res. 2020, 245, 105061. [Google Scholar] [CrossRef]
- Ahmed, K.; Sachindra, D.A.; Shahid, S.; Demirel, M.C.; Chung, E.-S. Selection of Multi-Model Ensemble of General Circulation Models for the Simulation of Precipitation and Maximum and Minimum Temperature Based on Spatial Assessment Metrics. Hydrol. Earth Syst. Sci. 2019, 23, 4803–4824. [Google Scholar] [CrossRef]
- Rashid, M.M.; Faruque, S.B.; Alam, J.B. Modeling of Short Duration Rainfall Intensity Duration Frequency (SDR- IDF) Equation for Sylhet City in Bangladesh. ARPN J. Sci. Technol. 2012, 2, 92–95. [Google Scholar]
- Jalee, L.A.; Farawn, M.A. Developing Rainfall Intensity-Duration-Freqency Relationship for Basrah City. Kufa J. Eng. 2014, 5, 105. [Google Scholar] [CrossRef]
- Chowdhury, R.; Alam, M.J.B.; Das, P.; Alam, M.A. Short Duration Rainfall Estimation of Sylhet: IMD and USWB Method. J. Indian Water Work. Assoc. 2007, 39, 285–292. [Google Scholar]
- Noor, M.; Ismail, T.; Chung, E.-S.; Shahid, S.; Sung, J.H. Uncertainty in Rainfall Intensity Duration Frequency Curves of Peninsular Malaysia under Changing Climate Scenarios. Water 2018, 10, 1750. [Google Scholar] [CrossRef]
- Simonović, S.P.; Schardong, A.; Sandink, D.; Srivastav, R. A Web-Based Tool for the Development of Intensity Duration Frequency Curves under Changing Climate. Environ. Model. Softw. 2016, 81, 136. [Google Scholar] [CrossRef]
- Zeri, S.J.; Hamed, M.M.; Wang, X.; Shahid, S. Utilizing Satellite Data to Establish Rainfall Intensity-Duration-Frequency Curves for Major Cities in Iraq. Water 2023, 15, 852. [Google Scholar] [CrossRef]
- Noor, M.; Ismail, T.; Shahid, S.; Asaduzzaman, M.; Dewan, A. Evaluating Intensity-Duration-Frequency (IDF) Curves of Satellite-Based Precipitation Datasets in Peninsular Malaysia. Atmos. Res. 2020, 248, 105203. [Google Scholar] [CrossRef]
- Haseeb, F.; Ali, S.; Ahmed, N.; Al-Arifi, N.; Youssef, Y.M. Comprehensive Probabilistic Analysis and Practical Implications of Rainfall Distribution in Pakistan. Atmosphere 2025, 16, 122. [Google Scholar] [CrossRef]
- Ahmad, T. Modelling of Extreme Rainfall in Punjab: Pakistan Using Bayesian and Frequentist Approach. Appl. Ecol. Environ. Res. 2019, 17, 13729–13748. [Google Scholar] [CrossRef]
- Ahmad, I.; Abbass, A.; Saghir, A.; Fawad, M. Finding Probability Distributions for Annual Daily Maximum Rainfall in Pakistan Using Linear Moments and Variants. Pol. J. Environ. Stud. 2016, 25, 925. [Google Scholar] [CrossRef]
- Dufour, J.; Farhat, A.; Gardiol, L.; Khalaf, L. Simulation-based Finite Sample Normality Tests in Linear Regressions. Econom. J. 1998, 1, C154–C173. [Google Scholar] [CrossRef]
- Alharbi, R.S. Assessment of Surface Water Availability in the Riyadh Region Using Integrated Satellite Data and Field Measurements (2001 to 2024). Water 2024, 16, 2743. [Google Scholar] [CrossRef]
- Arshad, M.; Rasool, M.; Ahmad, M. Anderson Darling and Modified Anderson Darling Tests for Generalized Pareto Distribution. J. Appl. Sci. 2003, 3, 85. [Google Scholar] [CrossRef]
- Liu, X.; Diallo, A.T.; Mao, J.; Zhu, Y. Rainfall Estimation from GMS and Radar during Meiyu (Baiu) Season. In Applications with Weather Satellites; SPIE: Bellingham, WA, USA, 2003; Volume 4895, p. 48. [Google Scholar] [CrossRef]
- Solaiman, T.A.; King, L.M.; Simonović, S.P. Extreme Precipitation Vulnerability in the Upper Thames River Basin: Uncertainty in Climate Model Projections. Int. J. Climatol. 2010, 31, 2350. [Google Scholar] [CrossRef]
- Peck, A.; Prodanovic, P.; Simonović, S.P. Rainfall Intensity Duration Frequency Curves Under Climate Change: City of London, Ontario, Canada. Can. Water Resour. J./Rev. Can. Des Ressour. Hydr. 2012, 37, 177. [Google Scholar] [CrossRef]
- Thành, N.V.; Nguyen, T.-D.; Cung, A. A Statistical Approach to Downscaling of Sub-Daily Extreme Rainfall Processes for Climate-Related Impact Studies in Urban Areas. Water Sci. Technol. Water Supply 2007, 7, 183. [Google Scholar] [CrossRef]
- Simonović, S.P.; Schardong, A.; Sandink, D. Mapping Extreme Rainfall Statistics for Canada under Climate Change Using Updated Intensity-Duration-Frequency Curves. J. Water Resour. Plan. Manag. 2016, 143, 04016078. [Google Scholar] [CrossRef]
- Piani, C.; Weedon, G.P.; Best, M.; Gomes, S.; Viterbo, P.; Hagemann, S.; Haerter, J.O. Statistical Bias Correction of Global Simulated Daily Precipitation and Temperature for the Application of Hydrological Models. J. Hydrol. 2010, 395, 199. [Google Scholar] [CrossRef]
- Salman, S.A.; Nashwan, M.S.; Ismail, T.; Shahid, S. Selection of CMIP5 General Circulation Model Outputs of Precipitation for Peninsular Malaysia. Hydrol. Res. 2020, 51, 781. [Google Scholar] [CrossRef]
- Soomro, S.; Hu, C.; Boota, M.W.; Wu, Q.; Soomro, M.H.A.A.; Zhang, L. Assessment of the Climatic Variability of the Kunhar River Basin, Pakistan. Water 2021, 13, 1740. [Google Scholar] [CrossRef]
- Anandhi, A.; Srinivas, V.V.; Nanjundiah, R.S.; Kumar, D.N. Downscaling Precipitation to River Basin in India for IPCC SRES Scenarios Using Support Vector Machine. Int. J. Climatol. 2007, 28, 401. [Google Scholar] [CrossRef]
- Stoner, A.M.K.; Hayhoe, K.; Yang, X.; Wuebbles, D.J. An Asynchronous Regional Regression Model for Statistical Downscaling of Daily Climate Variables. Int. J. Climatol. 2012, 33, 2473. [Google Scholar] [CrossRef]
- Hay, L.E.; Markstrom, S.L.; Ward-Garrison, C. Watershed-Scale Response to Climate Change through the Twenty-First Century for Selected Basins across the United States. Earth Interact. 2010, 15, 1. [Google Scholar] [CrossRef]
- Mondal, A.; Khare, D.; Kundu, S. Change in Rainfall Erosivity in the Past and Future Due to Climate Change in the Central Part of India. Int. Soil Water Conserv. Res. 2016, 4, 186. [Google Scholar] [CrossRef]
- Ahmad, B.; Rasul, G. Statistically Downscaled Projections of CORDEX South Asia Using Quantile Mapping Approach over Pakistan Region. Int. J. Glob. Warm. 2018, 16, 435. [Google Scholar] [CrossRef]
- Lanzante, J.R.; Dixon, K.W.; Nath, M.J.; Whitlock, C.E.; Adams-Smith, D. Some Pitfalls in Statistical Downscaling of Future Climate. Bull. Am. Meteorol. Soc. 2017, 99, 791. [Google Scholar] [CrossRef]
- Tan, M.L.; Tew, Y.L.; Juneng, L.; Bala, G.; Tye, M.R.; Chang, C.K.; Muhamad, N. Assessment of Solar Geoengineering Impact on Precipitation and Temperature Extremes in the Muda River Basin, Malaysia Using CMIP6 SSP and GeoMIP6 G6 Simulations. Sci. Total Environ. 2024, 948, 174817. [Google Scholar] [CrossRef] [PubMed]
- Zheng, H.; Chiew, F.H.S.; Charles, S.P.; Podger, G. Future Climate and Runoff Projections across South Asia from CMIP5 Global Climate Models and Hydrological Modelling. J. Hydrol. Reg. Stud. 2018, 18, 92. [Google Scholar] [CrossRef]
- Mahmood, R.; Jia, S.; Tripathi, N.K.; Shrestha, S. Precipitation Extended Linear Scaling Method for Correcting GCM Precipitation and Its Evaluation and Implication in the Transboundary Jhelum River Basin. Atmosphere 2018, 9, 160. [Google Scholar] [CrossRef]
- Kaur, J.; Kaur, P.; Kaur, S. Projected Changes in Temperature and Rainfall during 21st Century Simulated by CSIRO-Mk-3-6-0 Model under RCP Based Scenarios in Punjab. MAUSAM 2021, 72, 649. [Google Scholar] [CrossRef]
- Akhtar, M.; Ahmad, N.; Booij, M.J. The Impact of Climate Change on the Water Resources of Hindukush–Karakorum–Himalaya Region under Different Glacier Coverage Scenarios. J. Hydrol. 2008, 355, 148. [Google Scholar] [CrossRef]

















| Extreme Rainfall and Floods | Month and Year | Impact |
|---|---|---|
| Heavy flooding due to rain | April 2024 | 21 deaths, 5 injuries, significant damage to houses and crops |
| Catastrophic flooding | August 2022 | Over 33 million individuals were affected, with around 1.7 million homes destroyed and close to 1400 lives lost |
| Monsoon rains and flooding | June–August 2022 | Widespread flooding, particularly impacting Punjab, Khyber Pakhtunkhwa, Balochistan, and Sindh |
| Severe flooding | September 2014 | Millions were affected, causing significant damage to infrastructure and agriculture |
| Heavy monsoon rains | August 2011 | Severe and widespread flooding led to significant loss of life and extensive destruction of property and agricultural land |
| Massive floods | July 2010 | One of the worst floods in Pakistan’s history, affecting Punjab and other regions, causing massive destruction and loss of life |
| Model Name | Country | Modelling Centre | Horizontal Resolution (lon × lat) |
|---|---|---|---|
| BCC-CSM2-MR | China | Beijing Climate Center | 1.1° × 1.1° |
| CNRM-CM6-1 | France | Centre National de Recherches Météorologiques, Centre Européen de Recherche et de Formation Avancée en Calcul Scientifique | 1.4° × 1.4° |
| CNRM-ESM2-1 | |||
| EC-Earth3-Veg-LR | Europe | EC-EARTH consortium, published at the Irish Centre for High-End Computing | 1.1° × 1.1° |
| HadGEM3-GC31-MM | Met Office Hadley Centre | 0.83° × 0.55° | |
| MIROC6 | United Kingdom | Atmosphere and Ocean Research Institute (The University of Tokyo), National Institute for Environmental Studies, and Japan Agency for Marine-Earth Science and Technology | 1.4° × 1.4° |
| MRI-ESM2-0 | Japan | Meteorological Research Institute | 1.1° × 1.1° |
| Nor-ESM2-MM | Norway | Bjerknes Centre for Climate Research, Norwegian Meteorological Institute | 1.25° × 0.9° |
| Goodness-of-Fit Test | Test Statistics | Details |
|---|---|---|
| Kolmogorov–Smirnov (K–S) | Sn(x) = Empirical cumulative frequency Fx(x) = Cumulative density function of the hypothetical distribution = Critical value | |
| Anderson–Darling (A–D) | A2 = Quadratic category of EDF | |
| Root Mean Square Error (RMSE) | xi = estimated value X = recorded data value |
| Dataset Source | Name of City | Best-Fit Test Statistics Result | Highest Ranked Distribution (Sum of Ranks) | ||
|---|---|---|---|---|---|
| K-S Test | A-D Test | RMSE Test | |||
| Observed Data | Lahore | LP3 (0.010) | GUM (1.888) | LP3 (6.202) | LP3 (4) |
| Multan | LN2 (0.017) | LP3 (0.307) | LN2 (1.303) | LP3 (6) | |
| Bahawalpur | LN2 (0.014) | LP3 (0.047) | LN2 (0.886) | LP3 (6) | |
| Sargodha | LP3 (0.016) | GUM (1.926) | LP3 (2.184) | LP3 (4) | |
| Sialkot | LN2 (0.015) | LP3 (0.327) | LN2 (5.346) | LP3 (4) | |
| GCM Historical Data | Lahore | LN2 (0.021) | GUM (0.038) | LP3 (2.100) | LP3 (5) |
| Multan | LP3 (0.021) | GUM (0.029) | LP3 (1.768) | LP3 (4) | |
| Bahawalpur | LP3 (0.067) | LP3 (0.036) | LP3 (7.183) | LP3 (3) | |
| Sargodha | LP3 (0.024) | GUM (0.009) | LP3 (1.574) | LP3 (4) | |
| Sialkot | LN2 (0.041) | LP3 (0.076) | LP3 (4.390) | LP3 (5) | |
| GCM Future (SSP2-4.5) | Lahore | LP3 (0.064) | LP3 (0.001) | LN2 (8.615) | LP3 (4) |
| Multan | LP3 (0.035) | LP3 (0.002) | LP3 (8.123) | LP3 (3) | |
| Bahawalpur | LP3 (0.070) | LP3 (0.001) | LP3 (8.660) | LP3 (3) | |
| Sargodha | GUM (0.029) | LP3 (0.001) | LP3 (3.036) | LP3 (5) | |
| Sialkot | LP3 (0.024) | LP3 (0.003) | LN2 (5.609) | LP3 (4) | |
| GCM Future (SSP5-8.5) | Lahore | LP3 (0.049) | LP3 (0.001) | LN2 (5.337) | LP3 (4) |
| Multan | LP3 (0.068) | LP3 (0.011) | LP3 (9.486) | LP3 (3) | |
| Bahawalpur | LP3 (0.076) | LP3 (0.001) | LP3 (13.117) | LP3 (3) | |
| Sargodha | LP3 (0.070) | LP3 (0.003) | LN2 (7.450) | LP3 (4) | |
| Sialkot | LP3 (0.041) | LP3 (0.004) | LN2 (14.292) | LP3 (4) | |
| Name of City | Dataset Source | Return Period (Year) | Rainfall Duration (hrs) | ||||||
|---|---|---|---|---|---|---|---|---|---|
| 1 | 2 | 3 | 4 | 6 | 12 | 24 | |||
| Bahawalpur | Observed Data | 2 | 5.26 | 3.45 | 2.68 | 2.24 | 1.74 | 1.11 | 0.71 |
| 5 | 12.89 | 7.31 | 5.29 | 4.21 | 3.07 | 1.82 | 1.09 | ||
| 10 | 17.57 | 9.68 | 6.88 | 5.42 | 3.90 | 2.25 | 1.32 | ||
| 25 | 21.82 | 11.83 | 8.33 | 6.52 | 4.64 | 2.64 | 1.53 | ||
| 50 | 27.08 | 14.53 | 10.17 | 7.92 | 5.61 | 3.16 | 1.82 | ||
| 100 | 35.20 | 18.88 | 13.22 | 10.30 | 7.29 | 4.10 | 2.36 | ||
| GCM Historical Data | 2 | 2.41 | 1.94 | 1.63 | 1.42 | 1.15 | 0.79 | 0.52 | |
| 5 | 7.71 | 4.65 | 3.48 | 2.84 | 2.13 | 1.31 | 0.81 | ||
| 10 | 13.81 | 7.78 | 5.61 | 4.46 | 3.25 | 1.92 | 1.15 | ||
| 25 | 21.17 | 11.56 | 8.18 | 6.43 | 4.60 | 2.65 | 1.56 | ||
| 50 | 31.05 | 16.65 | 11.66 | 9.10 | 6.46 | 3.66 | 2.12 | ||
| 100 | 40.36 | 21.65 | 15.16 | 11.83 | 8.39 | 4.75 | 2.76 | ||
| GCM Future (SSP2-4.5) | 2 | 2.50 | 1.60 | 1.27 | 1.10 | 0.90 | 0.64 | 0.46 | |
| 5 | 10.97 | 6.34 | 4.63 | 3.72 | 2.74 | 1.64 | 0.99 | ||
| 10 | 25.36 | 12.33 | 8.66 | 6.76 | 4.79 | 2.70 | 1.55 | ||
| 25 | 42.82 | 22.40 | 15.43 | 11.87 | 8.25 | 4.48 | 2.49 | ||
| 50 | 54.56 | 28.37 | 19.45 | 14.92 | 10.32 | 5.57 | 3.07 | ||
| 100 | 70.93 | 36.88 | 25.29 | 19.40 | 13.42 | 7.24 | 3.99 | ||
| GCM Future (SSP5-8.5) | 2 | 2.80 | 2.00 | 1.70 | 1.48 | 1.24 | 0.90 | 0.62 | |
| 5 | 13.10 | 7.63 | 5.60 | 4.50 | 3.33 | 2.00 | 1.22 | ||
| 10 | 27.67 | 13.75 | 9.73 | 7.64 | 5.47 | 3.13 | 1.83 | ||
| 25 | 45.06 | 23.87 | 16.57 | 12.84 | 9.01 | 5.00 | 2.84 | ||
| 50 | 56.81 | 29.89 | 20.66 | 15.96 | 11.15 | 6.14 | 3.46 | ||
| 100 | 73.86 | 38.85 | 26.86 | 20.75 | 14.49 | 7.98 | 4.50 | ||
| Lahore | Observed Data | 2 | 29.15 | 18.47 | 14.13 | 11.68 | 8.92 | 5.63 | 3.55 |
| 5 | 41.53 | 25.85 | 19.63 | 16.17 | 12.30 | 7.73 | 4.86 | ||
| 10 | 50.20 | 31.01 | 23.48 | 19.31 | 14.67 | 9.20 | 5.78 | ||
| 25 | 58.62 | 36.03 | 27.23 | 22.36 | 16.97 | 10.63 | 6.67 | ||
| 50 | 70.28 | 43.02 | 32.47 | 26.64 | 20.20 | 12.64 | 7.93 | ||
| 100 | 91.36 | 55.93 | 42.21 | 34.63 | 26.25 | 16.43 | 10.31 | ||
| GCM Historical Data | 2 | 23.50 | 14.85 | 11.34 | 9.37 | 7.16 | 4.51 | 2.84 | |
| 5 | 33.83 | 20.83 | 15.75 | 12.93 | 9.81 | 6.14 | 3.85 | ||
| 10 | 39.73 | 24.25 | 18.26 | 14.96 | 11.33 | 7.07 | 4.43 | ||
| 25 | 44.87 | 27.22 | 20.45 | 16.73 | 12.65 | 7.88 | 4.93 | ||
| 50 | 52.01 | 31.42 | 23.56 | 19.26 | 14.54 | 9.05 | 5.66 | ||
| 100 | 67.61 | 40.84 | 30.63 | 25.03 | 18.90 | 11.76 | 7.36 | ||
| GCM Future (SSP2-4.5) | 2 | 23.66 | 15.31 | 11.81 | 9.82 | 7.55 | 4.80 | 3.04 | |
| 5 | 40.68 | 24.65 | 18.48 | 15.10 | 11.39 | 7.07 | 4.41 | ||
| 10 | 55.86 | 31.64 | 23.48 | 19.06 | 14.26 | 8.77 | 5.44 | ||
| 25 | 71.29 | 41.45 | 30.48 | 24.61 | 18.29 | 11.16 | 6.88 | ||
| 50 | 82.62 | 47.78 | 35.05 | 28.25 | 20.96 | 12.75 | 7.85 | ||
| 100 | 107.41 | 62.12 | 45.56 | 36.72 | 27.25 | 16.58 | 10.21 | ||
| GCM Future (SSP5-8.5) | 2 | 26.49 | 17.11 | 13.20 | 10.96 | 8.42 | 5.35 | 3.38 | |
| 5 | 44.42 | 27.21 | 20.52 | 16.82 | 12.73 | 7.94 | 4.98 | ||
| 10 | 61.72 | 35.36 | 26.42 | 21.54 | 16.21 | 10.04 | 6.26 | ||
| 25 | 80.06 | 47.29 | 35.07 | 28.46 | 21.31 | 13.11 | 8.14 | ||
| 50 | 93.50 | 54.97 | 40.67 | 32.97 | 24.64 | 15.13 | 9.39 | ||
| 100 | 121.55 | 71.46 | 52.87 | 42.86 | 32.03 | 19.67 | 12.20 | ||
| Multan | Observed Data | 2 | 6.70 | 4.37 | 3.38 | 2.82 | 2.18 | 1.39 | 0.89 |
| 5 | 14.42 | 8.30 | 6.06 | 4.86 | 3.57 | 2.14 | 1.30 | ||
| 10 | 19.21 | 10.75 | 7.71 | 6.12 | 4.44 | 2.61 | 1.56 | ||
| 25 | 23.59 | 12.98 | 9.23 | 7.28 | 5.23 | 3.03 | 1.79 | ||
| 50 | 29.10 | 15.83 | 11.19 | 8.78 | 6.28 | 3.60 | 2.11 | ||
| 100 | 37.82 | 20.58 | 14.54 | 11.41 | 8.16 | 4.68 | 2.75 | ||
| GCM Historical Data | 2 | 4.44 | 3.04 | 2.40 | 2.03 | 1.59 | 1.03 | 0.67 | |
| 5 | 12.20 | 6.97 | 5.06 | 4.04 | 2.96 | 1.76 | 1.06 | ||
| 10 | 17.54 | 9.67 | 6.89 | 5.43 | 3.91 | 2.26 | 1.33 | ||
| 25 | 22.68 | 12.28 | 8.65 | 6.77 | 4.82 | 2.74 | 1.59 | ||
| 50 | 29.11 | 15.58 | 10.89 | 8.48 | 6.00 | 3.37 | 1.94 | ||
| 100 | 37.84 | 20.26 | 14.16 | 11.03 | 7.80 | 4.39 | 2.52 | ||
| GCM Future (SSP2-4.5) | 2 | 3.00 | 2.00 | 1.60 | 1.38 | 1.12 | 0.80 | 0.57 | |
| 5 | 11.86 | 6.90 | 5.06 | 4.07 | 3.01 | 1.81 | 1.10 | ||
| 10 | 26.24 | 12.89 | 9.09 | 7.12 | 5.07 | 2.88 | 1.66 | ||
| 25 | 43.69 | 22.97 | 15.87 | 12.24 | 8.54 | 4.68 | 2.62 | ||
| 50 | 55.48 | 28.97 | 19.92 | 15.32 | 10.63 | 5.77 | 3.20 | ||
| 100 | 72.12 | 37.66 | 25.90 | 19.92 | 13.82 | 7.51 | 4.16 | ||
| GCM Future (SSP5-8.5) | 2 | 3.50 | 2.40 | 1.90 | 1.63 | 1.34 | 0.97 | 0.67 | |
| 5 | 12.48 | 7.35 | 5.42 | 4.38 | 3.25 | 1.97 | 1.20 | ||
| 10 | 26.86 | 13.34 | 9.46 | 7.44 | 5.33 | 3.05 | 1.78 | ||
| 25 | 44.50 | 23.55 | 16.33 | 12.64 | 8.86 | 4.90 | 2.77 | ||
| 50 | 56.47 | 29.66 | 20.48 | 15.80 | 11.01 | 6.04 | 3.39 | ||
| 100 | 73.41 | 38.55 | 26.62 | 20.53 | 14.32 | 7.85 | 4.40 | ||
| Sargodha | Observed Data | 2 | 12.02 | 7.74 | 5.96 | 4.95 | 3.80 | 2.41 | 1.53 |
| 5 | 20.39 | 12.20 | 9.09 | 7.39 | 5.55 | 3.42 | 2.13 | ||
| 10 | 25.83 | 15.10 | 11.12 | 8.99 | 6.69 | 4.08 | 2.52 | ||
| 25 | 30.93 | 17.82 | 13.03 | 10.48 | 7.75 | 4.69 | 2.88 | ||
| 50 | 37.61 | 21.45 | 15.60 | 12.51 | 9.22 | 5.55 | 3.39 | ||
| 100 | 48.89 | 27.88 | 20.29 | 16.26 | 11.98 | 7.21 | 4.41 | ||
| GCM Historical Data | 2 | 6.56 | 4.40 | 3.46 | 2.90 | 2.26 | 1.46 | 0.93 | |
| 5 | 14.43 | 8.47 | 6.25 | 5.05 | 3.75 | 2.28 | 1.40 | ||
| 10 | 20.21 | 11.46 | 8.30 | 6.62 | 4.85 | 2.89 | 1.75 | ||
| 25 | 25.97 | 14.44 | 10.34 | 8.20 | 5.94 | 3.49 | 2.09 | ||
| 50 | 33.34 | 18.30 | 13.01 | 10.26 | 7.40 | 4.30 | 2.56 | ||
| 100 | 43.34 | 23.79 | 16.92 | 13.34 | 9.61 | 5.59 | 3.32 | ||
| GCM Future (SSP2-4.5) | 2 | 7.71 | 5.20 | 4.09 | 3.44 | 2.68 | 1.74 | 1.12 | |
| 5 | 22.34 | 12.58 | 9.06 | 7.20 | 5.23 | 3.07 | 1.83 | ||
| 10 | 33.92 | 17.52 | 12.38 | 9.71 | 6.93 | 3.95 | 2.30 | ||
| 25 | 44.93 | 23.98 | 16.73 | 13.00 | 9.16 | 5.11 | 2.91 | ||
| 50 | 52.51 | 27.87 | 19.37 | 15.02 | 10.54 | 5.85 | 3.32 | ||
| 100 | 68.27 | 36.24 | 25.18 | 19.52 | 13.71 | 7.60 | 4.31 | ||
| GCM Future (SSP5-8.5) | 2 | 9.60 | 6.69 | 5.33 | 4.51 | 3.55 | 2.32 | 1.50 | |
| 5 | 23.88 | 14.11 | 10.44 | 8.45 | 6.30 | 3.84 | 2.37 | ||
| 10 | 38.49 | 20.44 | 14.79 | 11.81 | 8.64 | 5.14 | 3.11 | ||
| 25 | 54.44 | 29.99 | 21.37 | 16.88 | 12.18 | 7.10 | 4.23 | ||
| 50 | 65.49 | 35.82 | 25.42 | 20.02 | 14.40 | 8.35 | 4.95 | ||
| 100 | 85.14 | 46.57 | 33.04 | 26.02 | 18.71 | 10.85 | 6.43 | ||
| Sialkot | Observed Data | 2 | 24.85 | 15.76 | 12.06 | 9.97 | 7.62 | 4.81 | 3.03 |
| 5 | 36.16 | 22.39 | 16.96 | 13.95 | 10.60 | 6.65 | 4.18 | ||
| 10 | 43.60 | 26.74 | 20.19 | 16.56 | 12.56 | 7.85 | 4.93 | ||
| 25 | 50.60 | 30.84 | 23.22 | 19.03 | 14.40 | 8.99 | 5.64 | ||
| 50 | 60.21 | 36.53 | 27.45 | 22.47 | 16.99 | 10.59 | 6.64 | ||
| 100 | 78.28 | 47.49 | 35.69 | 29.21 | 22.08 | 13.77 | 8.63 | ||
| GCM Historical Data | 2 | 20.88 | 13.23 | 10.12 | 8.37 | 6.40 | 4.04 | 2.54 | |
| 5 | 31.63 | 19.46 | 14.71 | 12.07 | 9.16 | 5.73 | 3.60 | ||
| 10 | 38.22 | 23.28 | 17.52 | 14.35 | 10.85 | 6.77 | 4.24 | ||
| 25 | 44.19 | 26.74 | 20.07 | 16.41 | 12.39 | 7.71 | 4.82 | ||
| 50 | 52.27 | 31.48 | 23.57 | 19.25 | 14.52 | 9.02 | 5.64 | ||
| 100 | 67.96 | 40.93 | 30.65 | 25.03 | 18.87 | 11.73 | 7.33 | ||
| GCM Future (SSP2-4.5) | 2 | 21.81 | 14.05 | 10.83 | 8.99 | 6.91 | 4.39 | 2.78 | |
| 5 | 37.87 | 22.63 | 16.86 | 13.71 | 10.28 | 6.33 | 3.93 | ||
| 10 | 50.85 | 28.48 | 20.96 | 16.93 | 12.58 | 7.66 | 4.72 | ||
| 25 | 63.33 | 36.24 | 26.41 | 21.19 | 15.63 | 9.42 | 5.76 | ||
| 50 | 72.59 | 41.31 | 30.02 | 24.04 | 17.69 | 10.63 | 6.49 | ||
| 100 | 94.37 | 53.70 | 39.02 | 31.25 | 23.00 | 13.82 | 8.43 | ||
| GCM Future (SSP5-8.5) | 2 | 20.94 | 13.76 | 10.69 | 8.92 | 6.88 | 4.40 | 2.80 | |
| 5 | 36.21 | 22.05 | 16.58 | 13.56 | 10.24 | 6.37 | 3.98 | ||
| 10 | 52.26 | 29.32 | 21.73 | 17.63 | 13.18 | 8.09 | 5.02 | ||
| 25 | 70.03 | 40.44 | 29.63 | 23.86 | 17.68 | 10.74 | 6.60 | ||
| 50 | 82.88 | 47.54 | 34.71 | 27.90 | 20.62 | 12.48 | 7.66 | ||
| 100 | 107.74 | 61.80 | 45.13 | 36.27 | 26.81 | 16.22 | 9.96 | ||
| Name of City | Dataset Source | |||
|---|---|---|---|---|
| Observed Data | GCM Historical | GCM Future (SSP2-4.5) | GCM Future (SSP5-8.5) | |
| Bahawalpur | ||||
| R2 = 0.9180 | R2 = 0.9448 | R2 = 0.9041 | R2 = 0.8931 | |
| Lahore | ||||
| R2 = 0.9839 | R2 = 0.9696 | R2 = 0.9660 | R2 = 0.9725 | |
| Multan | ||||
| R2 = 0.9353 | R2 = 0.9178 | R2 = 0.9111 | R2 = 0.9196 | |
| Sargodha | ||||
| R2 = 0.9670 | R2 = 0.9490 | R2 = 0.8945 | R2 = 0.9335 | |
| Sialkot | ||||
| R2 = 0.9796 | R2 = 0.9724 | R2 = 0.9588 | R2 = 0.9728 | |
| Name of City | Scenario | Dataset Source | Return Period | |||||
|---|---|---|---|---|---|---|---|---|
| 2 | 5 | 10 | 25 | 50 | 100 | |||
| Bahawalpur | Historical | Observed Data | 5.26 | 12.89 | 17.57 | 21.82 | 27.08 | 35.20 |
| SSP2-4.5 | GCM Future | 2.50 | 10.97 | 25.36 | 42.82 | 54.56 | 70.93 | |
| Downscaled GCM Future | 2.40 | 11.06 | 25.36 | 42.70 | 54.38 | 70.69 | ||
| Change in % to observed | −54.37% | −14.16% | 44.31% | 95.72% | 100.80% | 100.80% | ||
| % effect of Downscaling | −4.00% | 0.84% | 0.00% | −0.27% | −0.33% | −0.33% | ||
| SSP5-8.5 | GCM Future | 2.80 | 13.10 | 27.67 | 45.06 | 56.81 | 73.86 | |
| Downscaled GCM Future | 3.00 | 13.55 | 28.11 | 45.49 | 57.25 | 74.42 | ||
| Change in % to observed | −42.97% | 5.14% | 59.95% | 108.5% | 111.39% | 111.39% | ||
| % effect of Downscaling | 7.14% | 3.44% | 1.58% | 0.93% | 0.76% | 0.76% | ||
| Lahore | Historical | Observed Data | 29.15 | 41.53 | 50.20 | 58.62 | 70.28 | 91.36 |
| SSP2-4.5 | GCM Future | 23.66 | 40.68 | 55.86 | 71.29 | 82.62 | 107.41 | |
| Downscaled GCM Future | 25.74 | 42.98 | 58.36 | 74.00 | 85.57 | 111.24 | ||
| Change in % to observed | −11.70% | 3.48% | 16.26% | 26.23% | 21.76% | 21.76% | ||
| % effect of Downscaling | 8.76% | 5.65% | 4.48% | 3.80% | 3.56% | 3.56% | ||
| SSP5-8.5 | GCM Future | 26.49 | 44.42 | 61.72 | 80.06 | 93.50 | 121.55 | |
| Downscaled GCM Future | 32.38 | 51.28 | 69.51 | 88.84 | 103.23 | 134.20 | ||
| Change in % to observed | 11.11% | 23.47% | 38.48% | 51.56% | 46.89% | 46.89% | ||
| % effect of Downscaling | 22.27% | 15.45% | 12.63% | 10.97% | 10.40% | 10.40% | ||
| Multan | Historical | Observed Data | 6.70 | 14.42 | 19.21 | 23.59 | 29.10 | 37.82 |
| SSP2-4.5 | GCM Future | 4.84 | 9.85 | 16.86 | 34.33 | 58.78 | 100.65 | |
| Downscaled GCM Future | 3.50 | 12.34 | 26.66 | 44.04 | 55.81 | 72.55 | ||
| Change in % to observed | −47.76% | −14.42% | 38.77% | 86.69% | 91.80% | 91.80% | ||
| % effect of Downscaling | −27.64% | 25.31% | 58.12% | 28.30% | −5.06% | −27.92% | ||
| SSP5-8.5 | GCM Future | 3.50 | 12.48 | 26.86 | 44.50 | 56.47 | 73.41 | |
| Downscaled GCM Future | 3.60 | 13.67 | 28.07 | 45.75 | 57.80 | 75.15 | ||
| Change in % to observed | −46.27% | −5.22% | 46.11% | 93.91% | 98.67% | 98.67% | ||
| % effect of Downscaling | 2.86% | 9.47% | 4.51% | 2.81% | 2.36% | 2.36% | ||
| Sargodha | Historical | Observed Data | 12.02 | 20.39 | 25.83 | 30.93 | 37.61 | 48.89 |
| SSP2-4.5 | GCM Future | 7.71 | 22.34 | 33.92 | 44.93 | 52.51 | 68.27 | |
| Downscaled GCM Future | 9.38 | 24.03 | 35.62 | 46.65 | 54.33 | 70.62 | ||
| Change in % to observed | −22.00% | 17.84% | 37.91% | 50.83% | 44.45% | 44.45% | ||
| % effect of Downscaling | 21.63% | 7.56% | 5.03% | 3.83% | 3.46% | 3.46% | ||
| SSP5-8.5 | GCM Future | 9.60 | 23.88 | 38.49 | 54.44 | 65.49 | 85.14 | |
| Downscaled GCM Future | 13.84 | 28.61 | 43.73 | 60.23 | 71.86 | 93.42 | ||
| Change in % to observed | 15.08% | 40.32% | 69.27% | 94.74% | 91.08% | 91.08% | ||
| % effect of Downscaling | 44.14% | 19.82% | 13.62% | 10.64% | 9.73% | 9.73% | ||
| Sialkot | Historical | Observed Data | 24.85 | 36.16 | 43.60 | 50.60 | 60.21 | 78.28 |
| SSP2-4.5 | GCM Future | 21.81 | 37.87 | 50.85 | 63.33 | 72.59 | 94.37 | |
| Downscaled GCM Future | 23.04 | 39.23 | 52.32 | 64.91 | 74.30 | 96.59 | ||
| Change in % to observed | −7.29% | 8.48% | 20.00% | 28.27% | 23.39% | 23.39% | ||
| % effect of Downscaling | 5.65% | 3.60% | 2.89% | 2.49% | 2.35% | 2.35% | ||
| SSP5-8.5 | GCM Future | 20.94 | 36.21 | 52.26 | 70.03 | 82.88 | 107.74 | |
| Downscaled GCM Future | 24.06 | 39.77 | 56.30 | 74.59 | 87.94 | 114.32 | ||
| Change in % to observed | −3.20% | 9.98% | 29.13% | 47.40% | 46.04% | 46.04% | ||
| % effect of Downscaling | 14.89% | 9.85% | 7.73% | 6.51% | 6.11% | 6.11% | ||
| Name of City | Dataset Source | ||||
|---|---|---|---|---|---|
| Observed Data | GCM Future (SSP2-4.5) | Downscaled GCM Future (SSP2-4.5) | GCM Future (SSP5-8.5) | Downscaled GCM Future (SSP5-8.5) | |
| Bahawalpur | |||||
| R2 = 0.9180 | R2 = 0.9041 | R2 = 0.900 | R2 = 0.8931 | R2 = 0.895 | |
| Lahore | |||||
| R2 = 0.9839 | R2 = 0.9660 | R2 = 0.984 | R2 = 0.9725 | R2 = 0.978 | |
| Multan | |||||
| R2 = 0.9353 | R2 = 0.9111 | R2 = 0.920 | R2 = 0.9196 | R2 = 0.912 | |
| Sargodha | |||||
| R2 = 0.9670 | R2 = 0.8945 | R2 = 0.909 | R2 = 0.9335 | R2 = 0.953 | |
| Sialkot | |||||
| R2 = 0.9796 | R2 = 0.9588 | R2 = 0.961 | R2 = 0.9728 | R2 = 0.977 | |
Disclaimer/Publisher’s Note: The statements, opinions and data contained in all publications are solely those of the individual author(s) and contributor(s) and not of MDPI and/or the editor(s). MDPI and/or the editor(s) disclaim responsibility for any injury to people or property resulting from any ideas, methods, instructions or products referred to in the content. |
© 2025 by the authors. Licensee MDPI, Basel, Switzerland. This article is an open access article distributed under the terms and conditions of the Creative Commons Attribution (CC BY) license (https://creativecommons.org/licenses/by/4.0/).
Share and Cite
Haseeb, F.; Ali, S.; Ahmed, N.; Alkhuraiji, W.S.; Đurin, B.; Youssef, Y.M. Forecasting Rainfall IDF Curves Using Ground Data and Downscaled Climate Projections to Enhance Flood Management in Punjab, Pakistan. Atmosphere 2025, 16, 1271. https://doi.org/10.3390/atmos16111271
Haseeb F, Ali S, Ahmed N, Alkhuraiji WS, Đurin B, Youssef YM. Forecasting Rainfall IDF Curves Using Ground Data and Downscaled Climate Projections to Enhance Flood Management in Punjab, Pakistan. Atmosphere. 2025; 16(11):1271. https://doi.org/10.3390/atmos16111271
Chicago/Turabian StyleHaseeb, Fahad, Shahid Ali, Naveed Ahmed, Wafa Saleh Alkhuraiji, Bojan Đurin, and Youssef M. Youssef. 2025. "Forecasting Rainfall IDF Curves Using Ground Data and Downscaled Climate Projections to Enhance Flood Management in Punjab, Pakistan" Atmosphere 16, no. 11: 1271. https://doi.org/10.3390/atmos16111271
APA StyleHaseeb, F., Ali, S., Ahmed, N., Alkhuraiji, W. S., Đurin, B., & Youssef, Y. M. (2025). Forecasting Rainfall IDF Curves Using Ground Data and Downscaled Climate Projections to Enhance Flood Management in Punjab, Pakistan. Atmosphere, 16(11), 1271. https://doi.org/10.3390/atmos16111271

