Spatial Correlation Network Analysis of PM2.5 in China: A Temporal Exponential Random Graph Model Approach
Abstract
1. Introduction
2. Materials and Methods
2.1. Construction of the PM2.5 Spatial Correlation Network
2.2. Characterization of Structural Features of the Spatial Correlation Network of PM2.5
2.3. Identification of Formation Mechanisms of the Spatial Correlation Network of PM2.5: Temporal Exponential Random Graph Model (TERGM)
2.4. Data
3. Results
3.1. Evolutionary Dynamics of the PM2.5 Spatial Correlation Network Structure
3.1.1. Structural Characteristics of the PM2.5 Spatial Correlation Network
3.1.2. Community Structure and Block Characteristics of the Spatial Correlation Network: Roles and Relational Patterns
3.1.3. Micro-Level Association Patterns of Regional PM2.5 Spatial Correlation Networks
3.2. Driving Factors Behind the Formation of the PM2.5 Spatial Correlation Network
3.2.1. Variable Selection
Endogenous Network Variables
Temporal-Dependence Terms
Actor Attribute Variables
Exogenous Network Variables
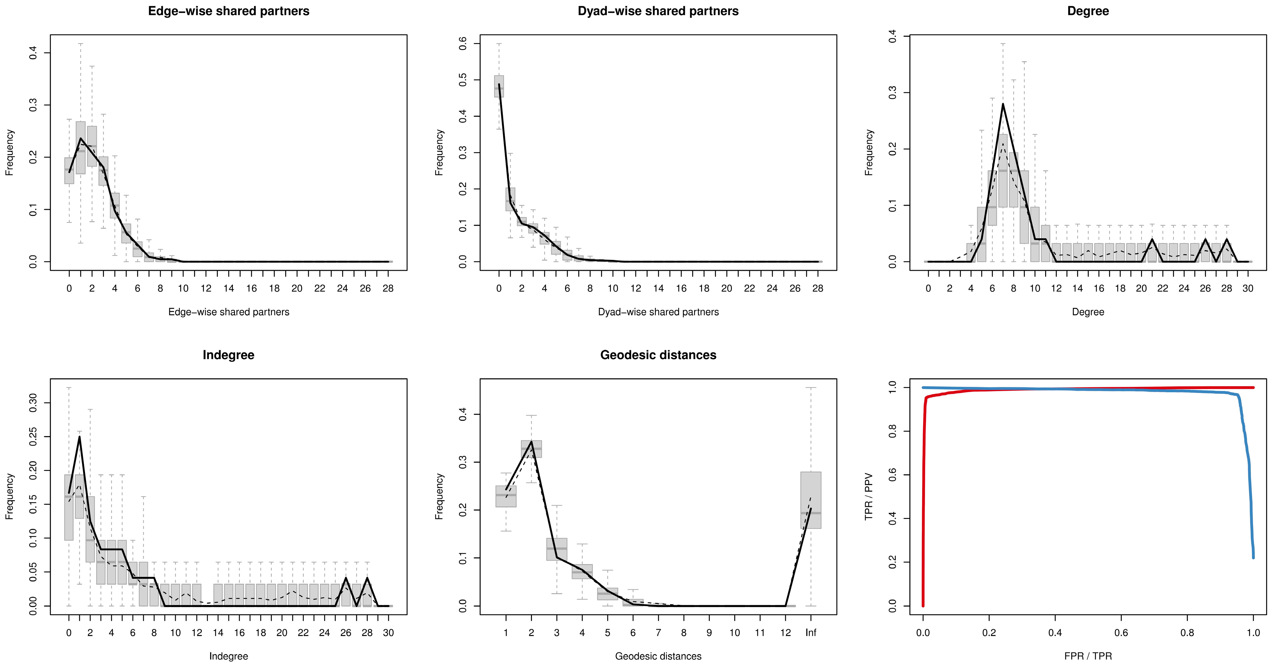
3.2.2. TERGM Regression Results and Goodness-of-Fit Tests
Analysis of Endogenous Network Structure Variables
Analysis of Temporal-Dependence Terms
Analysis of Exogenous Network Variables
Analysis of Actor Attribute Variables
4. Discussion
5. Conclusions
Supplementary Materials
Author Contributions
Funding
Data Availability Statement
Conflicts of Interest
Abbreviations
| TERGM | Temporal exponential random graph model |
| SNA | Social network analysis |
| QAP | Quadratic Assignment Procedure |
References
- Chan, F.K.S.; Chan, H.K. Recent research and challenges in sustainable urbanisation. Resour. Conserv. Recycl. 2022, 184, 106346. [Google Scholar] [CrossRef]
- Sun, J.; Zhou, T.; Wang, D. Effects of urbanisation on PM2.5 concentrations: A systematic review and meta-analysis. Sci. Total Environ. 2023, 900, 166493. [Google Scholar] [CrossRef] [PubMed]
- Polk, H.S. State of Global Air 2019: A Special Report on Global Exposure to Air Pollution and Its Disease Burden; Health Effects Institute: Boston, MA, USA, 2019. [Google Scholar]
- World Health Organization. WHO Global Air Quality Guidelines: Particulate Matter (PM2.5 and PM10), Ozone, Nitrogen Dioxide, Sulfur Dioxide and Carbon Monoxide; World Health Organization: Geneva, Switzerland, 2021. [Google Scholar]
- Feng, T.; Du, H.; Lin, Z.; Zuo, J. Spatial spillover effects of environmental regulations on air pollution: Evidence from urban agglomerations in China. J. Environ. Manag. 2020, 272, 110998. [Google Scholar] [CrossRef] [PubMed]
- Zhang, Y.; Wang, L.; Tang, Z.; Zhang, K.; Wang, T. Spatial effects of urban expansion on air pollution and eco-efficiency: Evidence from multisource remote sensing and statistical data in China. J. Clean. Prod. 2022, 367, 132973. [Google Scholar] [CrossRef]
- Huang, Y.; Yan, Q.; Zhang, C. Spatial–temporal distribution characteristics of PM2.5 in China in 2016. J. Geovisualization Spat. Anal. 2018, 2, 12. [Google Scholar] [CrossRef]
- Fang, C.; Wang, Z.; Xu, G. Spatial-temporal characteristics of PM2.5 in China: A city-level perspective analysis. J. Geogr. Sci. 2016, 26, 1519–1532. [Google Scholar] [CrossRef]
- Lee, U.J.; Kim, M.J.; Kim, E.J.; Lee, D.W.; Lee, S.D. Spatial distribution characteristics and analysis of PM2.5 in South Korea: A geographically weighted regression analysis. Atmosphere 2024, 15, 69. [Google Scholar] [CrossRef]
- Wang, H.; Ge, Q. Spatial association network of PM2.5 and its influencing factors in the Beijing–Tianjin–Hebei urban agglomeration. Environ. Sci. Pollut. Res. 2023, 30, 70541–70557. [Google Scholar] [CrossRef]
- Qin, Y.; Kim, E.; Hopke, P.K. The concentrations and sources of PM2.5 in metropolitan New York City. Atmos. Environ. 2006, 40, 312–332. [Google Scholar] [CrossRef]
- Wang, Y.; Zhuang, G.; Tang, A.; Yuan, H.; Sun, Y.; Chen, S.; Zheng, A. The ion chemistry and the source of PM2.5 aerosol in Beijing. Atmos. Environ. 2005, 39, 3771–3784. [Google Scholar] [CrossRef]
- Kumar, N.; Park, R.J.; Jeong, J.I.; Woo, J.H.; Kim, Y.; Johnson, J.; Yarwood, G.; Kang, S.; Chun, S.; Knipping, E. Contributions of international sources to PM2.5 in South Korea. Atmos. Environ. 2021, 261, 118542. [Google Scholar] [CrossRef]
- Makkonen, U.; Vestenius, M.; Huy, L.N.; Anh, N.T.N.; Linh, P.T.V.; Thuy, P.T.; Phuong, H.T.M.; Nguyen, H.; Thuy, L.T.; Aurela, M.; et al. Chemical composition and potential sources of PM2.5 in Hanoi. Atmos. Environ. 2023, 299, 119650. [Google Scholar] [CrossRef]
- Xu, G.; Ren, X.; Xiong, K.; Li, L.; Bi, X.; Wu, Q. Analysis of the driving factors of PM2.5 concentration in the air: A case study of the Yangtze River Delta, China. Ecol. Indic. 2020, 110, 105889. [Google Scholar] [CrossRef]
- Yu, Y.; Zhou, X.; Zhu, W.; Shi, Q. Socioeconomic driving factors of PM2.5 emission in Jing-Jin-Ji region, China: A generalized Divisia index approach. Environ. Sci. Pollut. Res. 2021, 28, 15995–16013. [Google Scholar] [CrossRef] [PubMed]
- Li, Y.; Chen, B.; Fang, D.; Zhang, B.; Bai, J.; Liu, G.; Zhang, Y. Drivers of energy-related PM2.5 emissions in the Jing-Jin-Ji region between 2002 and 2015. Appl. Energy 2021, 288, 116668. [Google Scholar] [CrossRef]
- Chen, X.; Shuai, C.; Gao, J.; Wu, Y. Analyzing the socioeconomic determinants of PM2.5 air pollution at the global level. Environ. Sci. Pollut. Res. 2023, 30, 27257–27269. [Google Scholar] [CrossRef]
- Megaritis, A.G.; Fountoukis, C.; Charalampidis, P.E.; Denier Van Der Gon, H.A.C.; Pilinis, C.; Pandis, S.N. Linking climate and air quality over Europe: Effects of meteorology on PM 2.5 concentrations. Atmos. Chem. Phys. 2014, 14, 10283–10298. [Google Scholar] [CrossRef]
- Zhang, C.; Ni, Z.; Ni, L. Multifractal detrended cross-correlation analysis between PM2.5 and meteorological factors. Phys. A Stat. Mech. Its Appl. 2015, 438, 114–123. [Google Scholar] [CrossRef]
- Hao, Y.; Liu, Y.M. The influential factors of urban PM2.5 concentrations in China: A spatial econometric analysis. J. Clean. Prod. 2016, 112, 1443–1453. [Google Scholar] [CrossRef]
- Zhu, W.; Wang, M.; Zhang, B. The effects of urbanization on PM2.5 concentrations in China’s Yangtze River Economic Belt: New evidence from spatial econometric analysis. J. Clean. Prod. 2019, 239, 118065. [Google Scholar] [CrossRef]
- Fu, Z.; Li, R. The contributions of socioeconomic indicators to global PM2.5 based on the hybrid method of spatial econometric model and geographical and temporal weighted regression. Sci. Total Environ. 2020, 703, 135481. [Google Scholar] [CrossRef]
- Yang, Y.; Lan, H.; Li, J. Spatial econometric analysis of the impact of socioeconomic factors on PM2.5 concentration in China’s inland cities: A case study from Chengdu Plain Economic Zone. Int. J. Environ. Res. Public Health 2020, 17, 74. [Google Scholar] [CrossRef]
- Du, Y.; Sun, T.; Peng, J.; Fang, K.; Liu, Y.; Yang, Y.; Wang, Y. Direct and spillover effects of urbanization on PM2.5 concentrations in China’s top three urban agglomerations. J. Clean. Prod. 2018, 190, 72–83. [Google Scholar] [CrossRef]
- Yang, S.; Duan, F.; Ma, Y.; Li, H.; Ma, T.; Zhu, L.; Huang, T.; Kimoto, T.; He, K. Mixed and intensive haze pollution during the transition period between autumn and winter in Beijing, China. Sci. Total Environ. 2020, 711, 134745. [Google Scholar] [CrossRef] [PubMed]
- Li, Z.; Wu, B.; Wu, W. Analysis of PM2.5 spatial association evolution in the Sichuan Basin and its driving factors. Front. Environ. Sci. 2023, 11, 1101736. [Google Scholar]
- Zhang, S.; Tao, F.; Wu, Q.; Han, Q.; Wang, Y.; Zhou, T. Structural Differences of PM2.5 Spatial Correlation Networks in Ten Metropolitan Areas of China. ISPRS Int. J. Geo-Inf. 2022, 11, 267. [Google Scholar] [CrossRef]
- White, H.C.; Boorman, S.A.; Breiger, R.L. Social structure from multiple networks. I. Blockmodels of roles and positions. Am. J. Sociol. 1976, 81, 730–780. [Google Scholar] [CrossRef]
- Artzy-Randrup, Y.; Fleishman, S.J.; Ben-Tal, N.; Stone, L. Comment on “Network motifs: Simple building blocks of complex networks” and “Superfamilies of evolved and designed networks”. Science 2004, 305, 1107. [Google Scholar] [CrossRef]
- Contractor, N.S.; Wasserman, S.; Faust, K. Testing multitheoretical, multilevel hypotheses about organizational networks: An analytic framework and empirical example. Acad. Manag. Rev. 2006, 31, 681–703. [Google Scholar] [CrossRef]
- Hunter, D.R.; Handcock, M.S.; Butts, C.T.; Goodreau, S.M.; Morris, M. ergm: A package to fit, simulate and diagnose exponential-family models for networks. J. Stat. Softw. 2008, 24, 1–29. [Google Scholar] [CrossRef]
- Xiong, J.; Feng, X.; Tang, Z. Understanding user-to-User interaction on government microblogs: An exponential random graph model with the homophily and emotional effect. Inf. Process. Manag. 2020, 57, 102229. [Google Scholar] [CrossRef]
- Frank, O.; Strauss, D. Markov graphs. J. Am. Stat. Assoc. 1986, 81, 832–842. [Google Scholar] [CrossRef]
- Holland, P.W.; Leinhardt, S. An exponential family of probability distributions for directed graphs. J. Am. Stat. Assoc. 1981, 76, 33–50. [Google Scholar] [CrossRef]
- Monge, P.R.; Contractor, N.S. Theories of Communication Networks; Oxford University Press: Oxford, UK, 2003. [Google Scholar]
- Leifeld, P.; Cranmer, S.J.; Desmarais, B.A. Temporal exponential random graph models with btergm: Estimation and bootstrap confidence intervals. J. Stat. Softw. 2018, 83, 1–36. [Google Scholar] [CrossRef]
- Hunter, D.R.; Goodreau, S.M.; Handcock, M.S. Goodness of fit of social network models. J. Am. Stat. Assoc. 2008, 103, 248–258. [Google Scholar] [CrossRef]
- Cowles, M.K.; Carlin, B.P. Markov chain Monte Carlo convergence diagnostics: A comparative review. J. Am. Stat. Assoc. 1996, 91, 883–904. [Google Scholar] [CrossRef]
- Wei, J.; Li, Z.; Lyapustin, A.; Sun, L.; Peng, Y.; Xue, W.; Su, T.; Cribb, M. Reconstructing 1-km-resolution high-quality PM2.5 data records from 2000 to 2018 in China: Spatiotemporal variations and policy implications. Remote Sens. Environ. 2021, 252, 112136. [Google Scholar] [CrossRef]
- Wei, J.; Li, Z.; Cribb, M.; Huang, W.; Xue, W.; Sun, L.; Guo, J.; Peng, Y.; Li, J.; Lyapustin, A.; et al. Improved 1 km resolution PM2.5 estimates across China using enhanced space-time extremely randomized trees. Atmos. Chem. Phys. 2020, 20, 3273–3289. [Google Scholar] [CrossRef]
- Xun, N.; Zhang, X.; Zhang, H.; Su, C.; Liu, Y.; Guo, H.; Hou, X. Multiscale applicability assessment of PM2.5 datasets in Chinese urban agglomerations: Accuracy, spatiotemporal variability, and uncertainty. Environ. Pollut. 2025, 383, 126810. [Google Scholar] [CrossRef]
- Chen, M.; Liu, J.; Chu, B.; Zhao, D.; Li, R.; Chen, T.; Ma, Q.; Wang, Y.; Zhang, P.; Li, H.; et al. Research on the influencing factors of PM2.5 in China at different spatial scales based on machine learning algorithm. Environ. Int. 2025, 200, 109536. [Google Scholar] [CrossRef]
- Li, Y.; Ma, C.; Yang, T.; Wu, Z.; Yao, R.; Zhao, G.; Ning, X.; Kang, P. Monitoring and determinants analysis of canopy layer urban heat island in China based on both air temperature and apparent temperature. Urban Clim. 2025, 64, 102631. [Google Scholar] [CrossRef]
- Yan, L.; He, C.; Ni, J.; Hu, Q.; Lei, J.; Niu, X.; Tang, Y. Spatial-temporal correlation effects and persistent syner-gistic control benefits of fine particulate matter and carbon emissions in China. J. Environ. Manag. 2025, 374, 124135. [Google Scholar] [CrossRef]
- Snijders, T.A.; Pattison, P.E.; Robins, G.L.; Handcock, M.S. New specifications for exponential random graph models. Sociol. Methodol. 2006, 36, 99–153. [Google Scholar] [CrossRef]
- Lusher, D.; Koskinen, J.; Robins, G. Exponential Random Graph Models for Social Networks: Theory, Methods, and Applications; Cambridge University Press: Cambridge, UK, 2013. [Google Scholar]
- Copeland, B.R.; Taylor, M.S. North-South trade and the environment. In International Trade and the Environment; Routledge: London, UK, 2017; pp. 205–238. [Google Scholar]
- Cheng, Z.; Li, L.; Liu, J. Identifying the spatial effects and driving factors of urban PM2.5 pollution in China. Ecol. Indic. 2017, 82, 61–75. [Google Scholar] [CrossRef]
- Gong, Y.; Sun, H.; Wang, Z.; Ding, C. Spatial correlation network pattern and evolution mechanism of natural gas consumption in China—Complex network-based ERGM model. Energy 2023, 285, 129400. [Google Scholar] [CrossRef]
- Mao, Y.; Li, X.; Jiao, D.; Zhao, X. Characterizing the spatial correlation network structure and impact mechanism of carbon emission efficiency: Evidence from China’s transportation sector. Energy 2024, 313, 133886. [Google Scholar] [CrossRef]
- Liu, H.; Chen, W.; Yuan, P.; Dong, X. Dynamic evolution and driving mechanisms of tourism carbon reduction networks: A TERGM-based study. Curr. Issues Tour. 2025, 1–25. [Google Scholar] [CrossRef]
- Song, J.; Xiao, H.; Liu, Z. Analysis of the driving mechanism of urban carbon emission correlation network in Shandong Province based on TERGM. Sustainability 2024, 16, 4233. [Google Scholar] [CrossRef]
- Ding, S.; Wang, L.; Zhou, Q. Study on Evolution Mechanism of Agricultural Trade Network of RCEP Countries—Complex System Analysis Based on the TERGM Model. Systems 2025, 13, 593. [Google Scholar] [CrossRef]
- Jiang, Z.; Shao, Z.; Wang, Q. Research on the employment mobility patterns and driving factors of graduates from double first-class universities in the central China. Sci. Rep. 2025, 15, 17373. [Google Scholar] [CrossRef]
- Hu, S.; Chen, G.; Miao, C. Understanding the structural evolution and driving mechanisms of urban network using firm-level big data and TERGM modeling. Cities 2025, 161, 105869. [Google Scholar] [CrossRef]
- Chen, Y.; Wang, K. Technology transfers to whom and why? TERGM analysis across regional green technology transfer network in China. Int. J. Technol. Manag. 2024, 96, 64–93. [Google Scholar] [CrossRef]



| Category | Indicator | Definition |
|---|---|---|
| Overall features | Average node degree | The average number of interregional PM2.5 linkages, reflecting overall network intensity |
| QAP correlation analysis | Identifies temporal evolutionary features of China’s PM2.5 spatial correlation network over years | |
| Macro connectivity | Block model | Spatial clustering based on PM2.5 correlations, identifying blocks with distinct roles and patterns |
| Micro connectivity | Motif structure | Simulation-based identification of preferred micro-level correlation patterns in the network |
| Block | Provinces | Receive | Overflow | Expected Internal | Actual Internal | Role | |||
|---|---|---|---|---|---|---|---|---|---|
| Inside | Outside | Inside | Outside | Receive | Overflow | ||||
| I | 4 | 8 | 15 | 8 | 51 | 10.00% | 34.78% | 13.56% | Bilateral spillover |
| II | 5 | 9 | 31 | 9 | 88 | 13.33% | 22.50% | 9.28% | Net spillover |
| III | 12 | 10 | 80 | 10 | 12 | 36.67% | 11.11% | 45.45% | Net beneficiary |
| IV | 10 | 8 | 62 | 8 | 37 | 30.00% | 11.43% | 17.78% | Broker |
| Subgroup Density Matrix | Similarity Matrix | ||||||||
|---|---|---|---|---|---|---|---|---|---|
| Block | I | II | III | IV | I | II | III | IV | |
| I | 0.667 | 0.1 | 0.729 | 0.35 | I | 1 | 0 | 1 | 1 |
| II | 0.2 | 0.45 | 0.65 | 0.9 | II | 0 | 1 | 1 | 1 |
| III | 0.146 | 0.033 | 0.076 | 0.025 | III | 0 | 0 | 0 | 0 |
| IV | 0.1 | 0.58 | 0.05 | 0.089 | IV | 0 | 1 | 0 | 0 |
| ID | Motif Structure | Frequency | p-Value | z-Score |
|---|---|---|---|---|
| F8R | ![]() | 1735 | 1 | −10.741 |
| GCR | ![]() | 1223 | 1 | 0 |
| GCX | ![]() | 1218 | 0 | 8.426 |
| FKX | ![]() | 1055 | 0 | 26.583 |
| F7F | ![]() | 930 | 1 | 0 |
| F8X | ![]() | 901 | 0 | 9.727 |
| IMF | ![]() | 490 | 0 | 18.357 |
| GQX | ![]() | 398 | 0 | 22.517 |
| JQF | ![]() | 370 | 0 | 14.917 |
| FMF | ![]() | 305 | 0 | 21.888 |
| GDF | ![]() | 299 | 0 | 12.402 |
| GOX | ![]() | 196 | 0 | 5.957 |
| K4F | ![]() | 52 | 0 | 25.274 |
| Variable Type | Variable | Structure Diagram | Descriptions |
|---|---|---|---|
| Endogenous network structural variables | Edges | ![]() | The most fundamental relational component, namely the constant term in the model |
| Mutual | ![]() | In the network, a pair of nodes are linked through a directional sending–receiving relationship, which captures the input–output exchange of migration flows between them | |
| Gwesp | ![]() | Two regions that are both connected to a third region are more likely to form a closed triangular structure within the network | |
| Gwdsp | ![]() | The cooperative relationship between two regions exhibits clustering and transitivity, and tends to form an open triangular structure | |
| Time-dependency items | Autoregression | ![]() | The persistence of ties is reflected in the tendency for edges that existed in the previous period to remain in the current period |
| Loss | ![]() | The loss of ties refers to the tendency for relationships that existed in the previous period to disappear in the current period | |
| Innovation | ![]() | The innovation of ties refers to the tendency for edges absent in the previous period to newly emerge in the current period, representing the effect of new cooperation or interaction | |
| Stability | ![]() | Stability refers to the persistence of the overall network connection patterns between time t and time t − 1 | |
| Individual attribute variables | Nodeicov | ![]() | The indegree covariate tests whether nodes with larger attributes are more likely to receive incoming ties |
| Nodeocov | ![]() | The outdegree covariate tests whether nodes with larger attributes are more likely to send outgoing ties to other nodes | |
| Absdiff | ![]() | The node heterophily covariate tests whether greater differences in node attributes between two regions increase the likelihood of forming a tie | |
| Exogenous network covariates | Edgecov | ![]() | Edge covariates use exogenous measures such as distance or adjacency networks as predictors of ties, testing whether geographically closer regions are more likely to form connections and exhibit stronger cooperative tendencies |
| Model 1 | Model 2 | Model 3 | Model 4 | Model 5 | ||
|---|---|---|---|---|---|---|
| Endogenous network structural variables | edges | −0.526 *** | −4.122 *** | −4.118 *** | 2.876 *** | −0.624 *** |
| (0.146) | (0.139) | (0.140) | (0.139) | (0.129) | ||
| mutual | 1.590 *** | 1.687 *** | 1.693 *** | 1.687 *** | 1.687 *** | |
| (0.048) | (0.154) | (0.154) | (0.154) | (0.155) | ||
| gwdsp | −0.800 *** | −0.200 *** | −0.201 *** | −0.200 *** | −0.200 *** | |
| (0.024) | (0.015) | (0.016) | (0.015) | (0.015) | ||
| gwesp | −0.169 | 0.126 ** | 0.125 ** | 0.125 ** | 0.127 ** | |
| (0.140) | (0.050) | (0.050) | (0.050) | (0.050) | ||
| Time-dependency items | Autoregression | 6.998 *** | ||||
| (0.106) | ||||||
| Loss | −7.000 *** | |||||
| (0.106) | ||||||
| Innovation | −6.999 *** | |||||
| (0.105) | ||||||
| Stability | 3.499 *** | |||||
| (0.053) | ||||||
| Exogenous network covariates | D[0,500] | 1.024 *** | 0.594 *** | 0.586 *** | 0.593 *** | 0.593 *** |
| (0.050) | (0.206) | (0.211) | (0.207) | (0.207) | ||
| D[500,1000] | 0.233 *** | 0.224 | 0.220 | 0.223 | 0.224 | |
| (0.035) | (0.157) | (0.162) | (0.160) | (0.159) | ||
| D[1000,1500] | −0.072 * | 0.001 | 0.005 | 0.001 | 0.003 | |
| (0.040) | (0.156) | (0.156) | (0.153) | (0.153) | ||
| D[1500,2000] | 0.060 * | 0.085 | 0.084 | 0.086 | 0.088 | |
| (0.036) | (0.169) | (0.170) | (0.170) | (0.169) | ||
| Num. obs. | 21,390 | 22,320 | 21,390 | 21,390 | 21,390 | |
| AIC | 27,931.152 | 26,107.407 | 3652.990 | 3653.223 | 3652.739 | |
| Log likelihood | −13,957.576 | −13,045.703 | −1817.495 | −1817.611 | −1817.370 | |
| Model 6 | Model 7 | Model 8 | Model 9 | |||
|---|---|---|---|---|---|---|
| Endogenous network structural variables | edges | −1.377 *** | −5.249 *** | −5.918 *** | −6.434 *** | |
| (0.166) | (0.548) | (0.632) | (0.651) | |||
| mutuality | 1.439 *** | 1.338 *** | 1.337 *** | 1.336 *** | ||
| (0.163) | (0.162) | (0.171) | (0.169) | |||
| gwdsp | −0.171 *** | −0.157 *** | −0.160 *** | −0.154 *** | ||
| (0.015) | (0.015) | (0.015) | (0.015) | |||
| gwesp | 0.173 *** | 0.197 *** | 0.193 *** | 0.193 *** | ||
| (0.049) | (0.052) | (0.051) | (0.050) | |||
| Time-dependency items | Stability | 3.089 *** | 3.107 *** | 3.082 *** | 3.040 *** | |
| (0.053) | (0.056) | (0.055) | (0.056) | |||
| Individual attribute variables | PGDP | Receiver | 0.068 *** | 0.101 *** | 0.077 ** | 0.029 |
| (0.024) | (0.025) | (0.038) | (0.039) | |||
| Sender | −0.369 *** | −0.331 *** | −0.321 *** | −0.345 *** | ||
| (0.025) | (0.026) | (0.037) | (0.039) | |||
| Absdiff | 0.625 *** | 0.630 *** | 0.596 *** | 0.625 *** | ||
| (0.042) | (0.043) | (0.050) | (0.053) | |||
| IS | Receiver | 0.048 *** | 0.049 *** | 0.049 *** | ||
| (0.008) | (0.008) | (0.008) | ||||
| Sender | 0.031 *** | 0.031 *** | 0.036 *** | |||
| (0.008) | (0.008) | (0.008) | ||||
| Absdiff | 0.027 *** | 0.025 *** | 0.032 *** | |||
| (0.009) | (0.009) | (0.009) | ||||
| UR | Receiver | 0.008 | 0.010 * | |||
| (0.006) | (0.006) | |||||
| Sender | 0.002 | 0.001 | ||||
| (0.006) | (0.006) | |||||
| Absdiff | 0.005 | 0.007 | ||||
| (0.006) | (0.006) | |||||
| CO | Receiver | 0.000 ** | ||||
| (0.000) | ||||||
| Sender | −0.000 | |||||
| (0.000) | ||||||
| Absdiff | 0.000 | |||||
| (0.000) | ||||||
| Exogenous network covariates | D[0,500] | 0.058 *** | 0.090 *** | 0.059 * | 0.005 | |
| (0.022) | (0.023) | (0.035) | (0.037) | |||
| D[500,1000] | −0.355 *** | −0.320 *** | −0.306 *** | −0.337 *** | ||
| (0.024) | (0.025) | (0.034) | (0.035) | |||
| D[1000,1500] | 0.611 *** | 0.623 *** | 0.582 *** | 0.616 *** | ||
| (0.039) | (0.041) | (0.049) | (0.048) | |||
| D[1500,2000] | 0.047 *** | 0.048 *** | 0.048 *** | |||
| (0.007) | (0.007) | (0.007) | ||||
| Num. obs. | 21,390 | 21,390 | 21,390 | 21,390 | ||
| AIC | 3292.828 | 3241.749 | 3240.814 | 3224.154 | ||
| Log likelihood | −1634.414 | −1605.874 | −1602.407 | −1591.077 | ||
Disclaimer/Publisher’s Note: The statements, opinions and data contained in all publications are solely those of the individual author(s) and contributor(s) and not of MDPI and/or the editor(s). MDPI and/or the editor(s) disclaim responsibility for any injury to people or property resulting from any ideas, methods, instructions or products referred to in the content. |
© 2025 by the authors. Licensee MDPI, Basel, Switzerland. This article is an open access article distributed under the terms and conditions of the Creative Commons Attribution (CC BY) license (https://creativecommons.org/licenses/by/4.0/).
Share and Cite
Wu, X.; Zhou, L. Spatial Correlation Network Analysis of PM2.5 in China: A Temporal Exponential Random Graph Model Approach. Atmosphere 2025, 16, 1211. https://doi.org/10.3390/atmos16101211
Wu X, Zhou L. Spatial Correlation Network Analysis of PM2.5 in China: A Temporal Exponential Random Graph Model Approach. Atmosphere. 2025; 16(10):1211. https://doi.org/10.3390/atmos16101211
Chicago/Turabian StyleWu, Xia, and Linyi Zhou. 2025. "Spatial Correlation Network Analysis of PM2.5 in China: A Temporal Exponential Random Graph Model Approach" Atmosphere 16, no. 10: 1211. https://doi.org/10.3390/atmos16101211
APA StyleWu, X., & Zhou, L. (2025). Spatial Correlation Network Analysis of PM2.5 in China: A Temporal Exponential Random Graph Model Approach. Atmosphere, 16(10), 1211. https://doi.org/10.3390/atmos16101211

























