Temporal and Spatial Pattern of Pulmonary Tuberculosis in Gansu Province and Its Environmental Factors Detection and Analysis
Abstract
1. Introduction
2. Research Area, Data and Methods
2.1. Overview of the Study Area
2.2. Data Source and Processing
2.3. Selection of Impact Factor Indicators
2.4. Research Methods
2.4.1. Spatial Statistical Analysis
- (1)
- Spatial autocorrelation analysis
- (2)
- Getis–Ord Gi*
2.4.2. Collinearity Test
2.4.3. Geographic Detector
3. Results and Analysis
3.1. Descriptive Statistical Analysis of the Incidence of Pulmonary Tuberculosis
3.1.1. The Overall Epidemic Situation of Tuberculosis Shows a Downward Trend
3.1.2. Incidence Characteristics of Different Types of People
- (1)
- The incidence rate of males is decreasing year by year, while the incidence rate of females is increasing year by year.
- (2)
- The onset age of pulmonary tuberculosis is concentrated in middle-aged and elderly people.
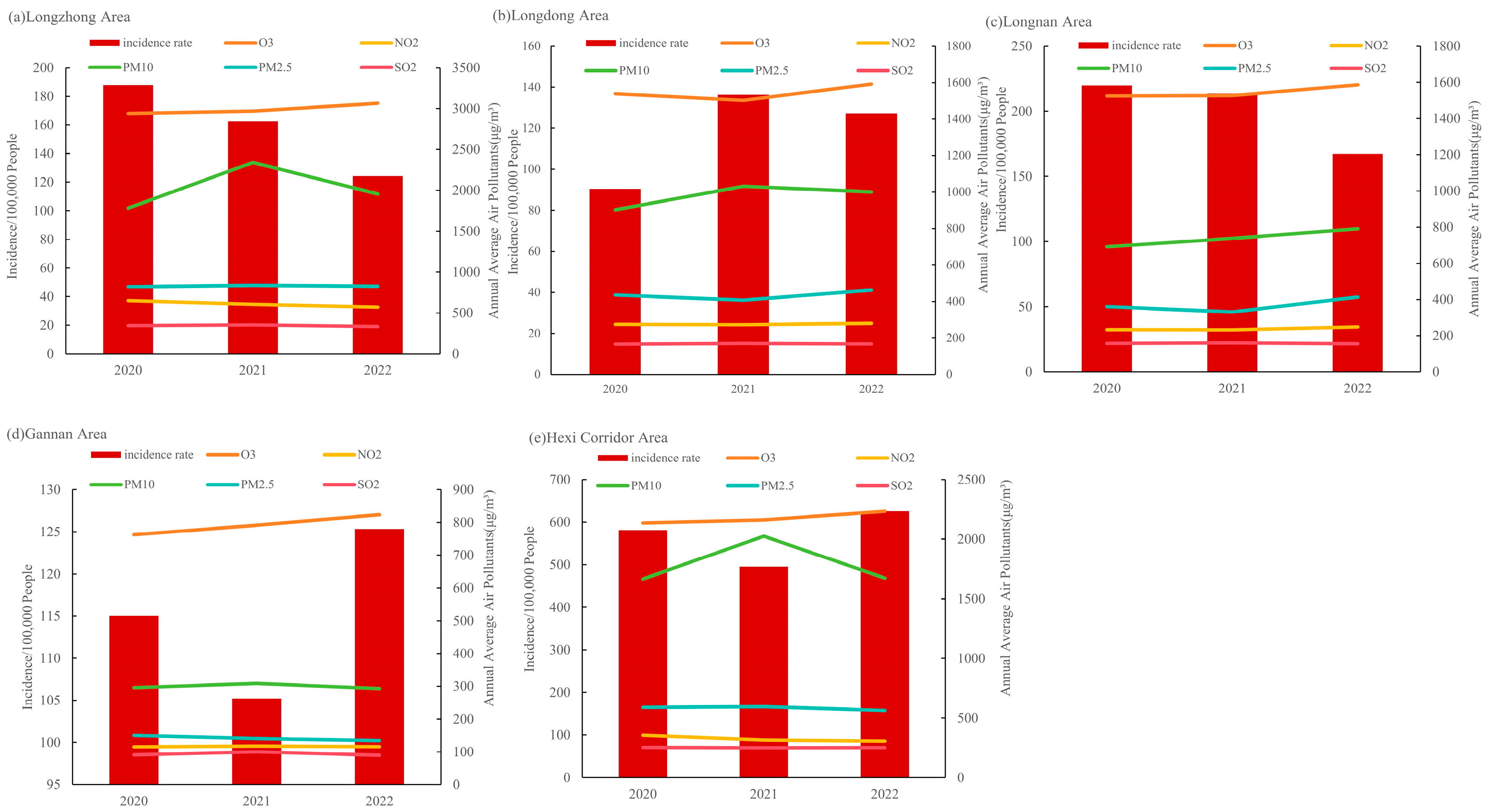
3.2. Analysis of Time Series Change Characteristics of Different Air Pollutants and Tuberculosis Incidence
3.2.1. Interannual Variation Characteristics
3.2.2. Seasonal Variation Characteristics
3.2.3. Monthly Change Characteristics
3.3. Spatial Agglomeration and Differentiation Characteristics of Tuberculosis Incidence
3.3.1. Global Spatial Agglomeration Analysis
3.3.2. Analysis of Local Spatial Agglomeration
3.3.3. Result Analysis of Getis–Ord Gi*
3.4. Analysis of Influencing Factors of Tuberculosis Incidence in Gansu Province
3.4.1. Factor Detection
3.4.2. Interactive Detection
4. Conclusions and Discussion
Author Contributions
Funding
Institutional Review Board Statement
Informed Consent Statement
Data Availability Statement
Conflicts of Interest
References
- Liu, F.Q. Spatiotemporal Distribution Characteristics and Prediction Study of Tuberculosis Incidence in Hubei Province. Ph.D. Thesis, Huazhong University of Science and Technology, Wuhan, China, 2020. [Google Scholar]
- Akid, M. Tuberculosis. Waging war against “the white plague”. Nurs. Times 2001, 97, 12–13. [Google Scholar] [PubMed]
- Bahani, M.M.; Haritebieke, S.L.W.; Nie, Y.W.; Tian, M.Z.; Zhang, L.P. Seasonal Epidemic Characteristics and Stage Trend Comparison of Tuberculosis in Xinjiang, 2005–2021. Pract. Prev. Med. 2022, 29, 1285–1289. [Google Scholar]
- Parrinello, C.M.; Crossa, A.; Harris, T.G. Seasonality of Tuberculosis in New York City, 1990–2007. Int. J. Tuberc. Lung Dis. 2012, 16, 32–37. [Google Scholar] [CrossRef] [PubMed]
- Shartova, N.; Korennoy, F.; Makhazova, S. Spatial Patterns of Tuberculosis in Russia in the Context of Social Determinants. Spat. Spatio-Temporal Epidemiol. 2023, 45, 100580. [Google Scholar] [CrossRef]
- Li, T.; He, J.G.; Yang, C.H.; Li, J.; Xiao, Y.; Li, Y.K.; Chen, C.; Wu, J.L. Comparison of SaTScan and FleXScan Software for Spatial Clustering Analysis of Tuberculosis Epidemics. Chin. J. Epidemiol. 2020, 41, 207–212. [Google Scholar]
- Lin, Y.; Liang, D.; Liang, X.; Huang, M.; Lin, M.; Cui, Z. Space-Time Distribution Characteristics of Tuberculosis and Its Socioeconomic Factors in Southern China from 2015 to 2019. Infect. Drug Resist. 2022, 15, 2603–2616. [Google Scholar] [CrossRef] [PubMed]
- Shaweno, D.; Karmakar, M.; Alene, K.A.; Ragonnet, R.; Clements, A.C.; Trauer, J.M.; Denholm, J.T.; McBryde, E.S. Methods used in the spatial analysis of tuberculosis epidemiology: A systematic review. BMC Med. 2018, 16, 193. [Google Scholar] [CrossRef] [PubMed]
- Yang, L.J. Spatial Distribution Characteristics of Tuberculosis and Its Influencing Factors. Master’s Thesis, Chinese Center for Disease Control and Prevention, Beijing, China, 2020. [Google Scholar]
- Liu, F.; Zhang, Z.; Chen, H.; Nie, S. Associations of Ambient Air Pollutants with Regional Pulmonary Tuberculosis Incidence in the Central Chinese Province of Hubei: A Bayesian Spatial-Temporal Analysis. Environ. Health 2020, 19, 51. [Google Scholar] [CrossRef] [PubMed]
- Xu, D.M.; Lu, F.; Wang, W.M. The Impact of Outdoor Gaseous Pollutant Exposure on Tuberculosis Risk. Chin. J. Dis. Control 2022, 26, 554–558. [Google Scholar]
- Liang, D.; Shang, Y.; Wang, Z.F.; Ma, B.Z. Time Series Analysis of Tuberculosis Incidence and Meteorological Factors in Qinghai Province. Chin. J. Dis. Control 2021, 25, 1186–1193. [Google Scholar]
- Rao, H.-X.; Zhang, X.; Zhao, L.; Yu, J.; Ren, W.; Zhang, X.-L.; Ma, Y.-C.; Shi, Y.; Ma, B.-Z.; Wang, X.; et al. Spatial Transmission and Meteorological Determinants of Tuberculosis Incidence in Qinghai Province, China: A Spatial Clustering Panel Analysis. Infect. Dis. Poverty 2016, 5, 45. [Google Scholar] [CrossRef] [PubMed]
- Li, J.J.; Pei, L.Y.; Zhao, Y.; Wu, J.-J.; Wei, X.-M.; Fan, J.-C.; Ren, H.; Li, L.-P. Study on the Relationship Between Tuberculosis Incidence and Meteorological Factors in Lanzhou City. Dis. Prev. Control Bull. 2019, 34, 10–13. [Google Scholar]
- Wei, W.; Yuan-Yuan, J.; Ci, Y.; Ahan, A.; Ming-Qin, C. Local Spatial Variations Analysis of Smear-Positive Tuberculosis in Xinjiang Using Geographically Weighted Regression Model. BMC Public Health 2016, 16, 1058. [Google Scholar] [CrossRef] [PubMed][Green Version]
- Harling, G.; Castro, M.C. A Spatial Analysis of Social and Economic Determinants of Tuberculosis in Brazil. Health Place 2014, 25, 56–67. [Google Scholar] [CrossRef]
- Erazo, C.; Pereira, S.M.; Costa, M.D.C.N.; Evangelista-Filho, D.; Braga, J.U.; Barreto, M.L. Tuberculosis and Living Conditions in Salvador, Brazil: A Spatial Analysis. Rev. Panam. Salud Publica 2014, 36, 24–30. [Google Scholar] [PubMed]
- Pan, M.H.; Li, Y.N.; Chen, W.C. Spatial distribution and influencing factors of tuberculosis in students in Nanning from 2015 to Chin. J. Dis. Control. 2022, 26, 463–466. [Google Scholar]
- Sun, W.; Gong, J.; Zhou, J.; Zhao, Y.; Tan, J.; Ibrahim, A.N.; Zhou, Y. A Spatial, social and environmental study of tuberculosis in China using statistical and GIS technology. Int. J. Environ. Res. Public Health 2015, 12, 1425–1448. [Google Scholar] [CrossRef] [PubMed]
- Hunter, P.R.; Colón-González, F.J.; Brainard, J.; Majuru, B.; Pedrazzoli, D.; Abubakar, I.; Dinsa, G.; Suhrcke, M.; Stuckler, D.; Lim, T.-A.; et al. Can economic indicators predict infectious disease spread? A cross-country panel analysis of 13 European countries. Scand. J. Public Health 2019, 48, 351–361. [Google Scholar] [CrossRef] [PubMed]
- Chen, X.D.; Emam, M.; Li, Z.; Rifhat, R.; Zhang, L.P.; Zheng, Y.L. Analysis of spatial characteristics and geographic weighted regression of tuberculosis prevalence in Kashgar, China. Prev. Med. Rep. 2023, 35, 102362. [Google Scholar] [CrossRef] [PubMed]
- Du, Z.C.; Zhang, W.J.; Hao, Y.T. Distribution patterns of major respiratory infectious diseases in China and their socio-economic influencing factors. Chin. J. Dis. Control 2016, 20, 5–8. [Google Scholar]
- Peng, S.Z. China 1 km Resolution Monthly Average Temperature Dataset (1901–2023); National Tibetan Plateau Data Center: Xining, China, 2020. [Google Scholar] [CrossRef]
- Peng, S.Z. China 1 km Resolution Monthly Precipitation Dataset (1901–2023); National Tibetan Plateau Data Center: Xining, China, 2020. [Google Scholar] [CrossRef]
- Mao, Y.; He, R.; Zhu, B.; Liu, J.; Zhang, N. Notifiable respiratory infectious diseases in China: A spatial–temporal epidemiology analysis. Int. J. Environ. Res. Public Health 2020, 17, 2301. [Google Scholar] [CrossRef]
- Tadesse, S.; Enqueselassie, F.; Hagos, S. Spatial and space-time clustering of tuberculosis in Gurage Zone, Southern Ethiopia. PLoS ONE 2018, 13, e0198353. [Google Scholar] [CrossRef] [PubMed]
- Li, B.; Wang, P.; Xie, B.W. Epidemic status of tuberculosis in Jiangshan from 2011 to 2017 and spatial autocorrelation analysis. Shanghai J. Prev. Med. 2019, 11, 1–4. [Google Scholar]
- Shen, Z.J.; Liang, C. Evaluation of cold island demand and spatial differentiation in the Minnan Triangle urban agglomeration. Acta Ecol. Sin. 2022, 41, 2017–2025. [Google Scholar]
- Xu, J.H. Metrology Geography, 1st ed.; Higher Education Press: Beijing, China, 2006; pp. 121–131. [Google Scholar]
- Zhang, H.; Dong, G.P.; Wang, J.F.; Zhang, T.L.; Meng, X.Y.; Yang, D.Y.; Liu, Y.; Lu, B.B. Understanding and extending the geographical detector model under a linear regression framework. Int. J. Geogr. Inf. Sci. 2023, 37, 2437–2453. [Google Scholar] [CrossRef]
- Zhu, Y.; Zheng, Y.R.; Yin, M. Test method of multicollinearity in statistical sense. Stat. Decis. 2020, 36, 34–36. [Google Scholar]
- Wang, J.F.; Xu, C.D. Geographic detector: Principles and prospects. Geogr. Res. 2017, 72, 116–134. [Google Scholar]
- Deng, X.; Xing, D.; Chen, Z.; Zou, Y.; He, Y.; Chen, S.; Wang, Q.; Zhang, Y. The short-term effect of air pollution on the incidence of pulmonary tuberculosis in Chongqing, China, 2014–2020. J. Infect. Dev. Ctries. 2023, 17, 1722–1731. [Google Scholar] [CrossRef]
- Tang, N.; Yuan, M.; Chen, Z.; Ma, J.; Sun, R.; Yang, Y.; He, Q.; Guo, X.; Hu, S.; Zhou, J. Machine Learning Prediction Model of Tuberculosis Incidence Based on Meteorological Factors and Air Pollutants. Int. J. Environ. Res. Public Health 2023, 20, 3910. [Google Scholar] [CrossRef]
- Shen, X.; Sha, W.; Liu, J.J. Impact of coronavirus disease(COVID-19) on tuberculosis control and countermeasures in China. Chin. J. Antituberc. 2020, 42, 544–548. [Google Scholar]







| Environmental Impact Indicators | Explanation | ||
|---|---|---|---|
| Natural environment | Air quality factor | X1 PM2.5 (μg/m3) | National urban air quality real-time publishing platform of China National Environmental Monitoring Center |
| X2 PM10 (μg/m3) | |||
| X3 SO2 (μg/m3) | |||
| X4 NO2 (μg/m3) | |||
| X5 O3-8 h (μg/m3) | |||
| Meteorological factor | X6 2 min average wind speed (m/s) X7 Mean air pressure (hPa) X8 Average temperature (°C) X9 Precipitation at 20–20 h (mm) | Platform of National Qinghai–Tibet Plateau Scientific Data Center and National Environmental Information Center (NCEI) | |
| Altitude (m) | X10 | SRTM radar topographic mapping data from the American Space Shuttle Endeavour | |
| Social environment | Demographic factors | X11 Population density (person/km2) X12 Urbanization rate (%) | Population/land area |
| Health service factors | X13 Number of beds in medical and health institutions per thousand people (units) | Number of beds in medical and health institutions at year end/resident population at year end × 1000 | |
| Economic life factors | X14 GDP per capita | Gross GDP/annual average population | |
| X15 Urban per capita disposable income | Total income of urban households-personal income tax-social security expenditure/household resident population | ||
| X16 Per capita disposable income in rural areas | Total income of rural families-personal income tax-social security expenditure/permanent population of families | ||
| Region (City and State) | 2020 | 2021 | 2022 | |||||
|---|---|---|---|---|---|---|---|---|
| Number of Reported Cases (Person) | Incidence (/100,000) | Number of Reported Cases (Person) | Incidence (/100,000) | Percentage Change in Incidence (%) | Number of Reported Cases (Person) | Incidence (/100,000) | Percentage Change in Incidence (%) | |
| Jiuquan | 6591 | 624.33 | 7471 | 631.90 | 1.21 | 10,574 | 1002.27 | 5.86 |
| Jiayuguan | 1624 | 519.35 | 452 | 143.36 | −72.40 | 292 | 92.32 | −3.56 |
| Zhangye | 3458 | 305.75 | 3821 | 339.80 | 11.14 | 5430 | 483.70 | 4.23 |
| Jinchang | 786 | 179.45 | 756 | 173.67 | −3.22 | 1496 | 344.38 | 9.83 |
| Wuwei | 13,120 | 895.56 | 9807 | 678.36 | −24.25 | 9525 | 662.24 | −0.24 |
| Lanzhou | 9836 | 241.04 | 9060 | 219.52 | −8.93 | 5018 | 122.79 | −4.41 |
| Baiyin | 2057 | 136.03 | 1005 | 66.87 | −50.84 | 460 | 30.57 | −5.43 |
| Dingxi | 2925 | 116.83 | 4231 | 170.17 | 45.66 | 3419 | 137.77 | −1.90 |
| Linxia | 4506 | 205.78 | 2461 | 112.07 | −45.54 | 3864 | 175.25 | 5.64 |
| Pingliang | 2874 | 155.75 | 2903 | 159.10 | 2.15 | 1711 | 93.89 | −4.10 |
| Qingyang | 764 | 35.07 | 2526 | 116.98 | 233.57 | 3353 | 155.35 | 3.28 |
| Tianshui | 8004 | 268.18 | 7420 | 250.97 | −6.42 | 6258 | 211.11 | −1.59 |
| Longnan | 3851 | 159.98 | 3993 | 167.26 | 4.55 | 2698 | 112.93 | −3.25 |
| Gannan | 796 | 115.03 | 727 | 105.21 | −8.54 | 856 | 125.33 | 1.91 |
| Total | 61,192 | 246.78 | 56,633 | 228.04 | −7.59 | 54,954 | 222.83 | −0.23 |
| Time | Age (Years) | Number of Cases (Person) | Proportion (%) |
|---|---|---|---|
| 2020 | 0–17 (minor group) | 538 | 0.89 |
| 18–34 (youth group) | 12,313 | 20.36 | |
| 35–59 (middle-aged group) | 23,384 | 38.67 | |
| 60 and above (elderly group) | 24,232 | 40.07 | |
| 2021 | 0–17 (minor group) | 918 | 1.60 |
| 18–34 (youth group) | 11,188 | 19.45 | |
| 35–59 (middle-aged group) | 22,236 | 38.66 | |
| 60 and above (elderly group) | 23,180 | 40.30 | |
| 2022 | 0–17 (minor group) | 847 | 1.55 |
| 18–34 (youth group) | 8493 | 15.55 | |
| 35–59 (middle-aged group) | 21,358 | 39.11 | |
| 60 and above (elderly group) | 23,908 | 43.78 |
| Time | Moran I | Expected Index | Variance | Z-Value | p-Value |
|---|---|---|---|---|---|
| 2020 | 0.065 | −0.012 | 0.001 | 2.093 | 0.036 |
| 2021 | 0.082 | −0.012 | 0.001 | 2.527 | 0.011 |
| 2022 | 0.132 | −0.012 | 0.002 | 3.465 | 0.001 |
| Time | Cold Hot Spot | Region |
|---|---|---|
| 2020 | Hot Spot | Baiyin District, Huining County, Jingtai County, Jingyuan County, Pingchuan District, Anding District, Lintao County, Jinchuan District, Yongchang County, Chengguan District, Gaolan County, Honggu District, Qilihe District, Xigu District, Yongdeng Count, Dongxiang Autonomous County, Guanghe County, Yongjing County, Gulang County, Liangzhou District, Minqin County, Suzhou District, Jinta County, Yumen City, Ganzhou District, Linze |
| Cold Spot | Ning County, Qingcheng County, Xifeng District, Zhenyuan County, Jingchuan County, Lingtai County, Luqu County, Maqu County | |
| 2021 | Hot Spot | Baiyin District, Huining County, Jingtai County, Jingyuan County, Pingchuan District, Anding District, Lintao County, Chengguan District, Gaolan County, Honggu District, Qilihe District, Xigu District, Yongdeng County, Dongxiang Autonomous County, Guanghe County, Yongjing County, Gulang County, Liangzhou District, Suzhou District, Jinta County, Yumen City, Ganzhou District, Linze County, Maiji District, Qingshui County, Gangu County |
| Cold Spot | Luqu County, Maqu County, Chongxin County, Jingchuan County, Kongtong District, Lingtai County, Qingcheng County, Xifeng District, Zhenyuan County | |
| 2022 | Hot Spot | Baiyin District, Huining County, Jingtai County, Jingyuan County, Pingchuan District, Anding District, Lintao County, Chengguan District, Gaolan County, Honggu District, Qilihe District, Xigu District, Yongdeng County, Dongxiang Autonomous County, Yongjing County, Gulang County, Liangzhou District, Suzhou District, Jinta County, Yumen City, Ganzhou District, Linze County |
| Cold Spot | Chongxin County, Jingchuan County, Kongtong District, Lingtai County, Qingcheng County, Xifeng District, Zhenyuan County, Luqu County, Maqu County |
| Time | X1 | X2 | X3 | X4 | X5 | X6 | X7 | X8 | |
| 2020 | q | 0.03 | 0.36 | 0.13 | 0.12 | 0.31 | 0.34 | 0.39 | 0.35 |
| p | 0.88 | 0.00 | 0.15 | 0.17 | 0.00 | 0.00 | 0.00 | 0.00 | |
| 2021 | q | 0.12 | 0.22 | 0.31 | 0.09 | 0.31 | 0.32 | 0.09 | 0.26 |
| p | 0.17 | 0.03 | 0.00 | 0.31 | 0.00 | 0.00 | 0.31 | 0.01 | |
| 2022 | q | 0.11 | 0.32 | 0.31 | 0.08 | 0.20 | 0.28 | 0.26 | 0.27 |
| p | 0.21 | 0.00 | 0.00 | 0.42 | 0.04 | 0.00 | 0.01 | 0.01 | |
| Time | X9 | X10 | X11 | X12 | X13 | X14 | X15 | X16 | |
| 2020 | q | 0.01 | 0.36 | 0.37 | 0.30 | 0.07 | 0.47 | 0.06 | 0.20 |
| p | 0.91 | 0.00 | 0.00 | 0.01 | 0.47 | 0.00 | 0.75 | 0.03 | |
| 2021 | q | 0.03 | 0.33 | 0.36 | 0.22 | 0.03 | 0.29 | 0.04 | 0.16 |
| p | 0.88 | 0.00 | 0.00 | 0.02 | 0.70 | 0.00 | 0.72 | 0.09 | |
| 2022 | q | 0.06 | 0.32 | 0.24 | 0.09 | 0.01 | 0.25 | 0.12 | 0.13 |
| p | 0.55 | 0.00 | 0.01 | 0.37 | 0.69 | 0.01 | 0.16 | 0.17 |
| Factor | X1 | X2 | X3 | X4 | X5 | X6 | X7 | X8 | X9 | X10 | X11 | X12 | X13 | X14 | X15 | X16 |
| X1 | 0.03 | |||||||||||||||
| X2 | 0.66 | 0.36 | (a) 2020 | |||||||||||||
| X3 | 0.62 | 0.65 | 0.13 | |||||||||||||
| X4 | 0.47 | 0.68 | 0.40 | 0.12 | ||||||||||||
| X5 | 0.78 | 0.74 | 0.51 | 0.55 | 0.31 | |||||||||||
| X6 | 0.49 | 0.70 | 0.69 | 0.70 | 0.86 | 0.34 | ||||||||||
| X7 | 0.64 | 0.68 | 0.63 | 0.54 | 0.64 | 0.76 | 0.39 | |||||||||
| X8 | 0.78 | 0.73 | 0.48 | 0.56 | 0.63 | 0.57 | 0.84 | 0.35 | ||||||||
| X9 | 0.27 | 0.58 | 0.33 | 0.45 | 0.59 | 0.45 | 0.57 | 0.51 | 0.01 | |||||||
| X10 | 0.76 | 0.68 | 0.69 | 0.60 | 0.57 | 0.82 | 0.66 | 0.57 | 0.62 | 0.36 | ||||||
| X11 | 0.67 | 0.82 | 0.70 | 0.59 | 0.73 | 0.62 | 0.75 | 0.70 | 0.65 | 0.72 | 0.37 | |||||
| X12 | 0.43 | 0.61 | 0.53 | 0.59 | 0.77 | 0.57 | 0.74 | 0.50 | 0.52 | 0.65 | 0.64 | 0.30 | ||||
| X13 | 0.40 | 0.62 | 0.43 | 0.46 | 0.59 | 0.48 | 0.67 | 0.63 | 0.43 | 0.63 | 0.59 | 0.49 | 0.07 | |||
| X14 | 0.68 | 0.81 | 0.81 | 0.61 | 0.76 | 0.78 | 0.72 | 0.72 | 0.72 | 0.80 | 0.66 | 0.81 | 0.67 | 0.47 | ||
| X15 | 0.41 | 0.52 | 0.33 | 0.39 | 0.53 | 0.45 | 0.56 | 0.49 | 0.38 | 0.62 | 0.59 | 0.50 | 0.33 | 0.67 | 0.06 | |
| X16 | 0.47 | 0.72 | 0.55 | 0.61 | 0.66 | 0.54 | 0.76 | 0.63 | 0.61 | 0.71 | 0.67 | 0.63 | 0.61 | 0.62 | 0.51 | 0.20 |
| Factor | X1 | X2 | X3 | X4 | X5 | X6 | X7 | X8 | X9 | X10 | X11 | X12 | X13 | X14 | X15 | X16 |
| X1 | 0.12 | |||||||||||||||
| X2 | 0.39 | 0.22 | ||||||||||||||
| X3 | 0.74 | 0.69 | 0.31 | (b) 2021 | ||||||||||||
| X4 | 0.59 | 0.59 | 0.61 | 0.09 | ||||||||||||
| X5 | 0.60 | 0.55 | 0.68 | 0.54 | 0.31 | |||||||||||
| X6 | 0.55 | 0.58 | 0.85 | 0.48 | 0.65 | 0.32 | ||||||||||
| X7 | 0.61 | 0.55 | 0.64 | 0.40 | 0.41 | 0.57 | 0.09 | |||||||||
| X8 | 0.58 | 0.65 | 0.68 | 0.64 | 0.60 | 0.57 | 0.51 | 0.26 | ||||||||
| X9 | 0.46 | 0.47 | 0.50 | 0.41 | 0.63 | 0.41 | 0.47 | 0.55 | 0.03 | |||||||
| X10 | 0.66 | 0.52 | 0.50 | 0.61 | 0.67 | 0.84 | 0.44 | 0.66 | 0.65 | 0.33 | ||||||
| X11 | 0.70 | 0.61 | 0.62 | 0.61 | 0.59 | 0.73 | 0.56 | 0.55 | 0.61 | 0.61 | 0.36 | |||||
| X12 | 0.52 | 0.63 | 0.58 | 0.50 | 0.70 | 0.51 | 0.53 | 0.54 | 0.49 | 0.58 | 0.62 | 0.22 | ||||
| X13 | 0.53 | 0.44 | 0.57 | 0.48 | 0.52 | 0.46 | 0.36 | 0.51 | 0.37 | 0.67 | 0.66 | 0.59 | 0.03 | |||
| X14 | 0.61 | 0.67 | 0.63 | 0.60 | 0.58 | 0.72 | 0.52 | 0.59 | 0.49 | 0.72 | 0.67 | 0.76 | 0.64 | 0.29 | ||
| X15 | 0.46 | 0.56 | 0.57 | 0.48 | 0.50 | 0.47 | 0.45 | 0.52 | 0.24 | 0.53 | 0.54 | 0.42 | 0.38 | 0.64 | 0.04 | |
| X16 | 0.48 | 0.56 | 0.65 | 0.43 | 0.65 | 0.65 | 0.50 | 0.55 | 0.35 | 0.76 | 0.56 | 0.68 | 0.49 | 0.48 | 0.43 | 0.16 |
| Factor | X1 | X2 | X3 | X4 | X5 | X6 | X7 | X8 | X9 | X10 | X11 | X12 | X13 | X14 | X15 | X16 |
| X1 | 0.11 | |||||||||||||||
| X2 | 0.53 | 0.32 | ||||||||||||||
| X3 | 0.72 | 0.72 | 0.31 | (c) 2022 | ||||||||||||
| X4 | 0.59 | 0.66 | 0.57 | 0.08 | ||||||||||||
| X5 | 0.50 | 0.74 | 0.55 | 0.46 | 0.20 | |||||||||||
| X6 | 0.62 | 0.45 | 0.79 | 0.44 | 0.67 | 0.28 | ||||||||||
| X7 | 0.63 | 0.69 | 0.66 | 0.60 | 0.62 | 0.36 | 0.26 | |||||||||
| X8 | 0.65 | 0.60 | 0.66 | 0.71 | 0.66 | 0.82 | 0.50 | 0.27 | ||||||||
| X9 | 0.45 | 0.58 | 0.53 | 0.37 | 0.57 | 0.41 | 0.50 | 0.45 | 0.06 | |||||||
| X10 | 0.77 | 0.79 | 0.53 | 0.59 | 0.57 | 0.82 | 0.50 | 0.67 | 0.56 | 0.32 | ||||||
| X11 | 0.59 | 0.63 | 0.64 | 0.51 | 0.63 | 0.42 | 0.56 | 0.58 | 0.51 | 0.74 | 0.24 | |||||
| X12 | 0.40 | 0.48 | 0.39 | 0.42 | 0.52 | 0.44 | 0.51 | 0.56 | 0.31 | 0.69 | 0.53 | 0.09 | ||||
| X13 | 0.52 | 0.58 | 0.54 | 0.52 | 0.51 | 0.54 | 0.56 | 0.55 | 0.31 | 0.73 | 0.56 | 0.34 | 0.01 | |||
| X14 | 0.54 | 0.68 | 0.64 | 0.53 | 0.54 | 0.57 | 0.59 | 0.63 | 0.43 | 0.61 | 0.57 | 0.48 | 0.52 | 0.25 | ||
| X15 | 0.52 | 0.60 | 0.59 | 0.45 | 0.48 | 0.54 | 0.61 | 0.61 | 0.32 | 0.82 | 0.50 | 0.45 | 0.31 | 0.44 | 0.12 | |
| X16 | 0.51 | 0.58 | 0.60 | 0.42 | 0.41 | 0.61 | 0.54 | 0.56 | 0.47 | 0.81 | 0.51 | 0.32 | 0.36 | 0.54 | 0.42 | 0.13 |
Disclaimer/Publisher’s Note: The statements, opinions and data contained in all publications are solely those of the individual author(s) and contributor(s) and not of MDPI and/or the editor(s). MDPI and/or the editor(s) disclaim responsibility for any injury to people or property resulting from any ideas, methods, instructions or products referred to in the content. |
© 2025 by the authors. Licensee MDPI, Basel, Switzerland. This article is an open access article distributed under the terms and conditions of the Creative Commons Attribution (CC BY) license (https://creativecommons.org/licenses/by/4.0/).
Share and Cite
Zhao, H.; Wang, J.; Wu, M. Temporal and Spatial Pattern of Pulmonary Tuberculosis in Gansu Province and Its Environmental Factors Detection and Analysis. Atmosphere 2025, 16, 55. https://doi.org/10.3390/atmos16010055
Zhao H, Wang J, Wu M. Temporal and Spatial Pattern of Pulmonary Tuberculosis in Gansu Province and Its Environmental Factors Detection and Analysis. Atmosphere. 2025; 16(1):55. https://doi.org/10.3390/atmos16010055
Chicago/Turabian StyleZhao, Haili, Jun Wang, and Minghui Wu. 2025. "Temporal and Spatial Pattern of Pulmonary Tuberculosis in Gansu Province and Its Environmental Factors Detection and Analysis" Atmosphere 16, no. 1: 55. https://doi.org/10.3390/atmos16010055
APA StyleZhao, H., Wang, J., & Wu, M. (2025). Temporal and Spatial Pattern of Pulmonary Tuberculosis in Gansu Province and Its Environmental Factors Detection and Analysis. Atmosphere, 16(1), 55. https://doi.org/10.3390/atmos16010055
