Research on Short-Term Forecasting Model of Global Atmospheric Temperature and Wind in the near Space Based on Deep Learning
Abstract
1. Introduction
2. Data Sources and Preprocessing
2.1. Data Source
2.2. Data Preprocessing
3. Methodology
3.1. Design of Neural Networks
3.1.1. ConvLSTM
- The input layer: The matrix dimension of the input layer is denoted as (B, S, C, H, W), where B represents the batch size, indicating the number of samples processed concurrently in a single training iteration; S stands for sequence length, denoting the temporal length of a sample; C refers to the number of channels, indicating the number of channels in the data; H is the height, representing the vertical dimension of the data; and W is the width, denoting the horizontal extent of the data.
- The encoder is comprised of Convolutional Layers (Conv) and Convolutional LSTM (ConLSTM) units:
- (a)
- Conv is one of the commonly used layers in deep learning models, primarily utilized for extracting features from input data. Each convolutional layer is represented by an ordered dictionary, which contains the parameters required for the convolution operation. These parameters include: Input channel number, which specifies the number of channels in the input data; Output channel number, which determines the number of convolutional kernels and consequently the depth of the output feature map; Kernel size, which specifies the dimensions of the convolutional kernel; Stride, which determines the step length of the convolutional kernel as it slides over the input data, affecting the size of the output feature map; Padding, which involves adding zeros to the edges of the input data to control the size of the output feature map.
- (b)
- The ConLSTM unit, a specialized type of Recurrent Neural Network, integrates convolutional operations with the LSTM architecture. Each ConLSTM unit consists of a set of convolutional kernels and gating units (forget gate, input gate, and output gate), designed to capture spatio-temporal dependencies in sequential data. Within the encoder, the ConLSTM units receive feature representations from convolutional layers and utilize the convolutional kernels to slide along the sequence dimension, effectively capturing the spatio-temporal information of the input sequence.
- The decoder consists of Deconvolutional Layers (DeConv), Convolutional LSTM (ConLSTM), and Feature Mapping Recovery (Conv) processes: Deconvolutional layers are a primary component of the decoding layer, tasked with transforming the abstract representations from the encoded data back into the original data space.
- (a)
- The deconvolution process is the inverse of the convolution process, gradually restoring the resolution from a lower-resolution feature map to that of the original input. Each deconvolution layer contains a set of parameters, including the number of input channels, output channels, kernel size, stride, and padding.
- (b)
- Within the decoder, Convolutional LSTM units are also employed to handle spatio-temporal sequence data, progressively restoring the original data space.
- (c)
- The final phase of the decoding layer includes a feature mapping recovery step, which systematically transforms the abstract representations back to the form of the original data through convolution operations.
- The output layer: The matrix dimension of the output layer is identical to that of the input layer.
3.1.2. ConvGRU
3.2. Neural Network Parameter Configuration
4. Discussion
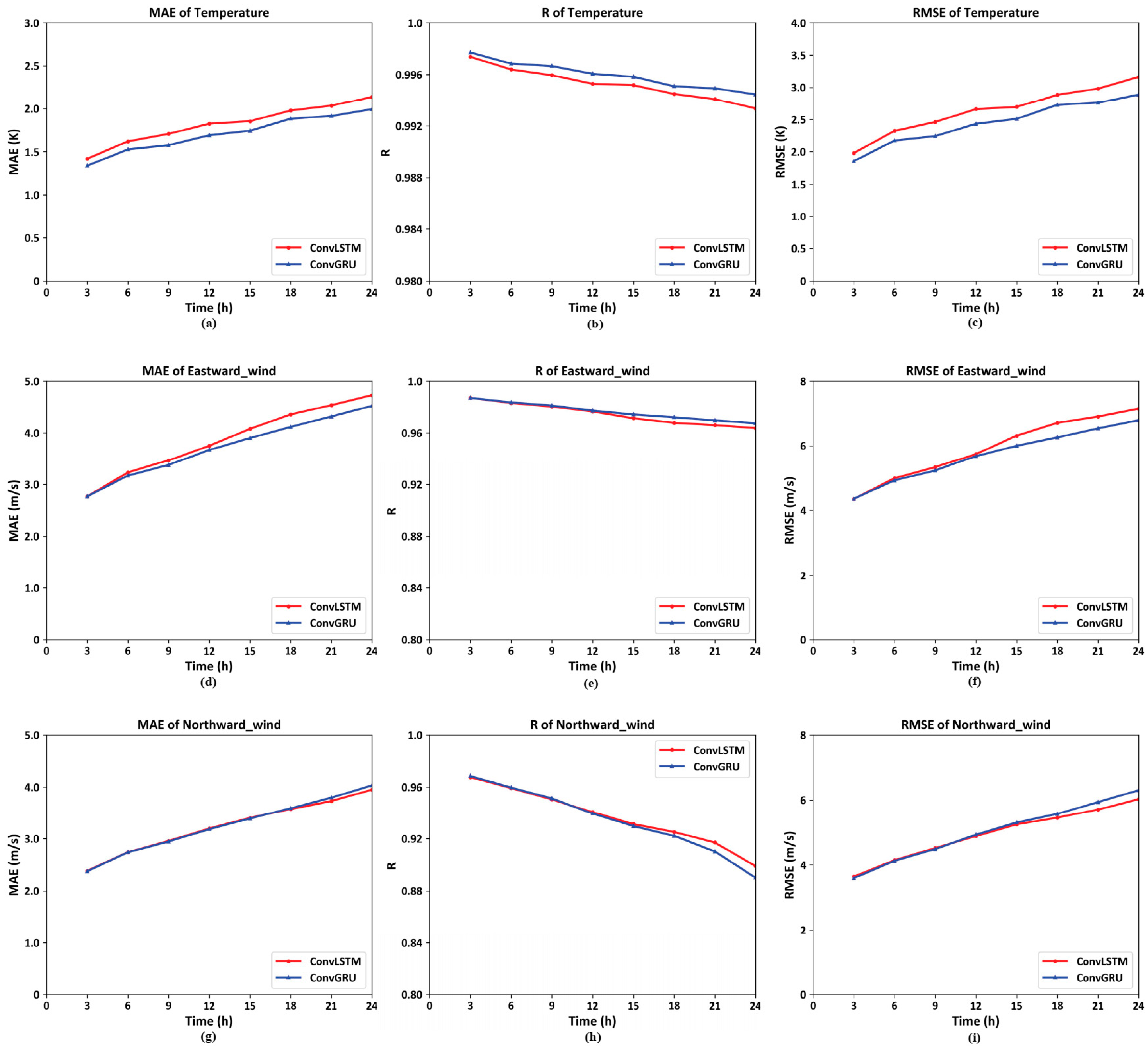
4.1. Predictive Accuracy
4.2. Models Comparison
4.2.1. Temperature
4.2.2. Eastward Wind
4.2.3. Northward Wind
4.2.4. Performance at Different Isobaric Surfaces
4.2.5. Performance at Different Latitudes
5. Conclusions
- When predicting eight different times in a day, as the time span increases, the model’s prediction accuracy tends to decrease, and the ConvGRU model outperforms the ConvLSTM model in forecasting results.
- In a comparison experiment using randomly selected data from 2 June 2022, to predict the environmental parameters for 3 June 2022, the ConvGRU model performed better than the ConvLSTM model in forecasting temperature, eastward wind, and northward wind, with smaller root-mean-square errors (RMSEs). Specifically, at the 1.65 Pa pressure level, the ConvGRU model showed a significant improvement in prediction accuracy over the ConvLSTM model, with a 13.6% improvement in temperature, a 6.6% improvement in the eastward wind, and an 8.8% improvement in the northward wind.
- By evaluating the correlation coefficients, mean errors, and root-mean-square errors between the predicted and actual values across different pressure levels (72 levels in total) for the entire year of 2022 and various latitudes and longitudes, it was found that the models’ forecasting capability decreases with increasing altitude. Furthermore, both models exhibited significant decreases in forecasting accuracy for temperature, eastward wind, and northward wind at the interfaces between the Troposphere and Stratosphere, and between the Stratosphere and Mesosphere, which is related to the complex atmospheric changes at these interfaces.
- By evaluating the correlation coefficients, mean errors, and root-mean-square errors between the predicted and actual values across different latitudes (96 latitudes in total) for the entire year of 2022 and various altitudes and longitudes, it was found that the model’s prediction accuracy in the polar regions was not significantly lower than other latitudes, indicating that the MERRA2 dataset has relatively high reliability in the polar regions.
Author Contributions
Funding
Institutional Review Board Statement
Informed Consent Statement
Data Availability Statement
Conflicts of Interest
References
- Chen, H. An overview of the space-based observations for upper atmospheric research. Adv. Earth Sci. 2009, 24, 229. [Google Scholar]
- Tomme, E.B.; Phil, D. The Paradigm Shift to Effects-Based Space: Near-Space as a Combat Space Effects Enabler; Airpower Research Institute, College of Aerospace Doctrine, Research and Education, Air University: Islamabad, Pakistan, 2005. [Google Scholar]
- Goncharenko, L.P.; Chau, J.L.; Liu, H.L.; Coster, A.J. Unexpected connections between the stratosphere and ionosphere. Geophys. Res. Lett. 2010, 37. [Google Scholar] [CrossRef]
- Drob, D.P.; Emmert, J.T.; Meriwether, J.W.; Makela, J.J.; Doornbos, E.; Conde, M.; Hernandez, G.; Noto, J.; Zawdie, K.A.; McDonald, S.E.; et al. An update to the Horizontal Wind Model (HWM): The quiet time thermosphere. Earth Space Sci. 2015, 2, 301–319. [Google Scholar] [CrossRef]
- Picone, J.M.; Hedin, A.E.; Drob, D.P.; Aikin, A.C. NRLMSISE-00 empirical model of the atmosphere: Statistical comparisons and scientific issues. J. Geophys. Res. Space Phys. 2002, 107, SIA 15-1–SIA 15-16. [Google Scholar] [CrossRef]
- Liu, H.L.; Bardeen, C.G.; Foster, B.T.; Lauritzen, P.; Liu, J.; Lu, G.; Marsh, D.R.; Maute, A.; McInerney, J.M.; Pedatella, N.M.; et al. Development and validation of the whole atmosphere community climate model with thermosphere and ionosphere extension (WACCM-X 2.0). J. Adv. Model. Earth Syst. 2018, 10, 381–402. [Google Scholar] [CrossRef]
- Allen, D.R.; Eckermann, S.D.; Coy, L.; McCormack, J.P.; Hogan, T.F.; Kim, Y.J. P2. 4 Stratospheric Forecasting with Nogaps-Alpha. Available online: https://www.researchgate.net/profile/Young-Joon-Kim-7/publication/235120361_Stratospheric_Forecasting_with_NOGAPS-ALPHA/links/00b49530e63dd0e3b3000000/Stratospheric-Forecasting-with-NOGAPS-ALPHA.pdf (accessed on 11 August 2024).
- Greenberg, D.A.; Dupont, F.; Lyard, F.H.; Lynch, D.R.; Werner, F.E. Resolution issues in numerical models of oceanic and coastal circulation. Cont. Shelf Res. 2007, 27, 1317–1343. [Google Scholar] [CrossRef]
- Roney, J.A. Statistical wind analysis for near-space applications. J. Atmos. Sol.-Terr. Phys. 2007, 69, 1485–1501. [Google Scholar] [CrossRef]
- Liu, T. Research on Statistical Forecasting Method of Atmospheric Wind Field in Adjacent Space; National Space Science Center of Chinese Academy of Sciences: Beijing, China, 2017. [Google Scholar]
- Chen, B.; Sheng, Z.; He, Y. High-Precision and Fast Prediction of Regional Wind Fields in Near Space Using Neural-Network Approximation of Operators. Geophys. Res. Lett. 2023, 50, e2023GL106115. [Google Scholar] [CrossRef]
- Bi, K.; Xie, L.; Zhang, H.; Chen, X.; Gu, X.; Tian, Q. Accurate medium-range global weather forecasting with 3D neural networks. Nature 2023, 619, 533–538. [Google Scholar] [CrossRef]
- Kaparakis, C.; Mehrkanoon, S. Wf-unet: Weather fusion unet for precipitation nowcasting. arXiv 2023, arXiv:2302.04102. [Google Scholar]
- Nguyen, T.; Brandstetter, J.; Kapoor, A.; Gupta, J.K.; Grover, A. Climax: A foundation model for weather and climate. arXiv 2023, arXiv:2301.10343. [Google Scholar]
- Lam, R.; Sanchez-Gonzalez, A.; Willson, M.; Wirnsberger, P.; Fortunato, M.; Alet, F.; Ravuri, S.; Ewalds, T.; Eaton-Rosen, Z.; Hu, W.; et al. GraphCast: Learning skillful medium-range global weather forecasting. arXiv 2022, arXiv:2212.12794. [Google Scholar]
- Bi, K.; Xie, L.; Zhang, H.; Chen, X.; Gu, X.; Tian, Q. Pangu-weather: A 3d high-resolution model for fast and accurate global weather forecast. arXiv 2022, arXiv:2211.02556. [Google Scholar]
- Chen, B.; Sheng, Z.; Cui, F. Refined short-term forecasting atmospheric temperature profiles in the stratosphere based on operators learning of neural networks. Earth Space Sci. 2024, 11, e2024EA003509. [Google Scholar] [CrossRef]
- Shi, X.; Chen, Z.; Wang, H.; Yeung, D.Y.; Wong, W.K.; Woo, W.C. Convolutional LSTM network: A machine learning approach for precipitation nowcasting. Adv. Neural Inf. Process. Syst. 2015, 28; Part of Advances in Neural Information Processing Systems 28 (NIPS 2015).
- Cho, K. Learning phrase representations using RNN encoder-decoder for statistical machine translation. arXiv 2014, arXiv:1406.1078. [Google Scholar]
- Bosilovich, M.G.; Robertson, F.R.; Takacs, L.; Molod, A.; Mocko, D. Atmospheric water balance and variability in the MERRA-2 reanalysis. J. Clim. 2017, 30, 1177–1196. [Google Scholar] [CrossRef]
- Koster, R.D.; McCarty, W.; Coy, L.; Gelaro, R.; Huang, A.; Merkova, D.; Smith, E.B.; Sienkiewicz, M.; Wargan, K. MERRA-2 Input Observations: Summary and Assessment; NASA: Washington, DC, USA, 2016.
- Luke, K.A.A.; David, P.E.; Anandhakumar, P. Short-term wind power prediction using deep learning approaches. Adv. Comput. 2024, 132, 111–139. [Google Scholar]
- Duo, C.; Yong, Y.; Jiancan, L.; Ciren, B. Applicability analysis of MERRA surface air temperature over the Qinghai-Xizang Plateau. Plateau Meteorol. 2016, 35, 337–350. [Google Scholar]
- Cheridito, P.; Jentzen, A.; Rossmannek, F. Non-convergence of stochastic gradient descent in the training of deep neural networks. J. Complex. 2021, 64, 101540. [Google Scholar] [CrossRef]
- Kim, S.; Hong, S.; Joh, M.; Song, S.K. Deeprain: Convlstm network for precipitation prediction using multichannel radar data. arXiv 2017, arXiv:1711.02316. [Google Scholar]
- Sutskever, I.; Vinyals, O.; Le, Q.V. Sequence to sequence learning with neural networks. Adv. Neural Inf. Process. Syst. 2014, 27, 3104–3112. [Google Scholar]
- Srivastava, N.; Mansimov, E.; Salakhudinov, R. Unsupervised learning of video representations using lstms. In Proceedings of the International Conference on Machine Learning, PMLR, Lille, France, 7–9 July 2015; pp. 843–852. [Google Scholar]
- Ballas, N.; Yao, L.; Pal, C.; Courville, A. Delving deeper into convolutional networks for learning video representations. arXiv 2015, arXiv:1511.06432. [Google Scholar]
- Palmer, T.N.; Shutts, G.J.; Hagedorn, R.; Doblas-Reyes, F.J.; Jung, T.; Leutbecher, M. Representing model uncertainty in weather and climate prediction. Annu. Rev. Earth Planet. Sci. 2005, 33, 163–193. [Google Scholar] [CrossRef]
- Gelaro, R.; McCarty, W.; Suárez, M.J.; Todling, R.; Molod, A.; Takacs, L.; Randles, C.A.; Darmenov, A.; Bosilovich, M.G.; Reichle, R.; et al. The modern-era retrospective analysis for research and applications, version 2 (MERRA-2). J. Clim. 2017, 30, 5419–5454. [Google Scholar] [CrossRef] [PubMed]
















| Dataset Type | Date Year | Amount of Data |
|---|---|---|
| Training set | 2011–2012 | 3653 × 8 × 144 × 96 × 72 × 3 |
| Validation set | 2021 | 365 × 8 × 144 × 96 × 72 × 3 |
| Test set | 2022 | 365 × 8 × 144 × 96 × 72 × 3 |
| Block | Module | Channel Number | Kernel Size | Stride | Padding | |
|---|---|---|---|---|---|---|
| Input | Output | |||||
| Encoder | Stage1 (Sequential) | 72 | 16 | (3, 3) | (1, 1) | (1, 1) |
| RNN1 (ConvLSTM) | 80 | 256 | (5, 5) | (1, 1) | (2, 2) | |
| Stage2 (Sequential) | 64 | 64 | (3, 3) | (2, 2) | (1, 1) | |
| RNN2 (ConvLSTM) | 160 | 384 | (5, 5) | (1, 1) | (2, 2) | |
| Stage3 (Sequential) | 96 | 96 | (3, 3) | (2, 2) | (1, 1) | |
| RNN3 (ConvLSTM) | 192 | 384 | (5, 5) | (1, 1) | (2, 2) | |
| Decoder | RNN3 (ConvLSTM) | 192 | 384 | (5, 5) | (1, 1) | (2, 2) |
| Stage3 (Sequential) | 96 | 96 | (4, 4) | (2, 2) | (1, 1) | |
| RNN2 (ConvLSTM) | 192 | 384 | (5, 5) | (1, 1) | (2, 2) | |
| Stage2 (Sequential) | 96 | 96 | (4, 4) | (2, 2) | (1, 1) | |
| RNN1 (ConvLSTM) | 160 | 256 | (5, 5) | (1, 1) | (2, 2) | |
| Stage1 (Sequential) | 64 | 16 | (3, 3) | (1, 1) | (1, 1) | |
| Stage0 (Conv) | 16 | 72 | (3, 3) | (1, 1) | (0, 0) | |
| Block | Module | Channel Number | Kernel Size | Stride | Padding | |
|---|---|---|---|---|---|---|
| Input | Output | |||||
| Encoder | Stage1 (Sequential) | 72 | 16 | (3, 3) | (1, 1) | (1, 1) |
| RNN1 (ConvGRU) | 80 | 256 | (5, 5) | (1, 1) | (2, 2) | |
| Stage2 (Sequential) | 64 | 64 | (3, 3) | (2, 2) | (1, 1) | |
| RNN2 (ConvGRU) | 160 | 384 | (5, 5) | (1, 1) | (2, 2) | |
| Stage3 (Sequential) | 96 | 96 | (3, 3) | (2, 2) | (1, 1) | |
| RNN3 (ConvGRU) | 192 | 384 | (5, 5) | (1, 1) | (2, 2) | |
| Decoder | RNN3 (ConvGRU) | 192 | 384 | (5, 5) | (1, 1) | (2, 2) |
| Stage3 (Sequential) | 96 | 96 | (4, 4) | (2, 2) | (1, 1) | |
| RNN2 (ConvGRU) | 192 | 384 | (5, 5) | (1, 1) | (2, 2) | |
| Stage2 (Sequential) | 96 | 96 | (4, 4) | (2, 2) | (1, 1) | |
| RNN1 (ConvGRU) | 160 | 256 | (5, 5) | (1, 1) | (2, 2) | |
| Stage1 (Sequential) | 64 | 16 | (3, 3) | (1, 1) | (1, 1) | |
| Stage0 (Conv) | 16 | 72 | (3, 3) | (1, 1) | (0, 0) | |
Disclaimer/Publisher’s Note: The statements, opinions and data contained in all publications are solely those of the individual author(s) and contributor(s) and not of MDPI and/or the editor(s). MDPI and/or the editor(s) disclaim responsibility for any injury to people or property resulting from any ideas, methods, instructions or products referred to in the content. |
© 2024 by the authors. Licensee MDPI, Basel, Switzerland. This article is an open access article distributed under the terms and conditions of the Creative Commons Attribution (CC BY) license (https://creativecommons.org/licenses/by/4.0/).
Share and Cite
Sun, X.; Zhou, C.; Feng, J.; Yang, H.; Zhang, Y.; Chen, Z.; Xu, T.; Deng, Z.; Zhao, Z.; Liu, Y.; et al. Research on Short-Term Forecasting Model of Global Atmospheric Temperature and Wind in the near Space Based on Deep Learning. Atmosphere 2024, 15, 1069. https://doi.org/10.3390/atmos15091069
Sun X, Zhou C, Feng J, Yang H, Zhang Y, Chen Z, Xu T, Deng Z, Zhao Z, Liu Y, et al. Research on Short-Term Forecasting Model of Global Atmospheric Temperature and Wind in the near Space Based on Deep Learning. Atmosphere. 2024; 15(9):1069. https://doi.org/10.3390/atmos15091069
Chicago/Turabian StyleSun, Xingxin, Chen Zhou, Jian Feng, Huiyun Yang, Yuqiang Zhang, Zhou Chen, Tong Xu, Zhongxin Deng, Zhengyu Zhao, Yi Liu, and et al. 2024. "Research on Short-Term Forecasting Model of Global Atmospheric Temperature and Wind in the near Space Based on Deep Learning" Atmosphere 15, no. 9: 1069. https://doi.org/10.3390/atmos15091069
APA StyleSun, X., Zhou, C., Feng, J., Yang, H., Zhang, Y., Chen, Z., Xu, T., Deng, Z., Zhao, Z., Liu, Y., & Lan, T. (2024). Research on Short-Term Forecasting Model of Global Atmospheric Temperature and Wind in the near Space Based on Deep Learning. Atmosphere, 15(9), 1069. https://doi.org/10.3390/atmos15091069

