Real-World Emission Characteristics of Diesel Pallet Trucks under Varying Loads: Using the Example of China
Abstract
1. Introduction
2. Materials and Methods
2.1. Emission Measurement Systems
2.2. Vehicle Information and Test Route
2.3. Data Processing
3. Results and Discussion
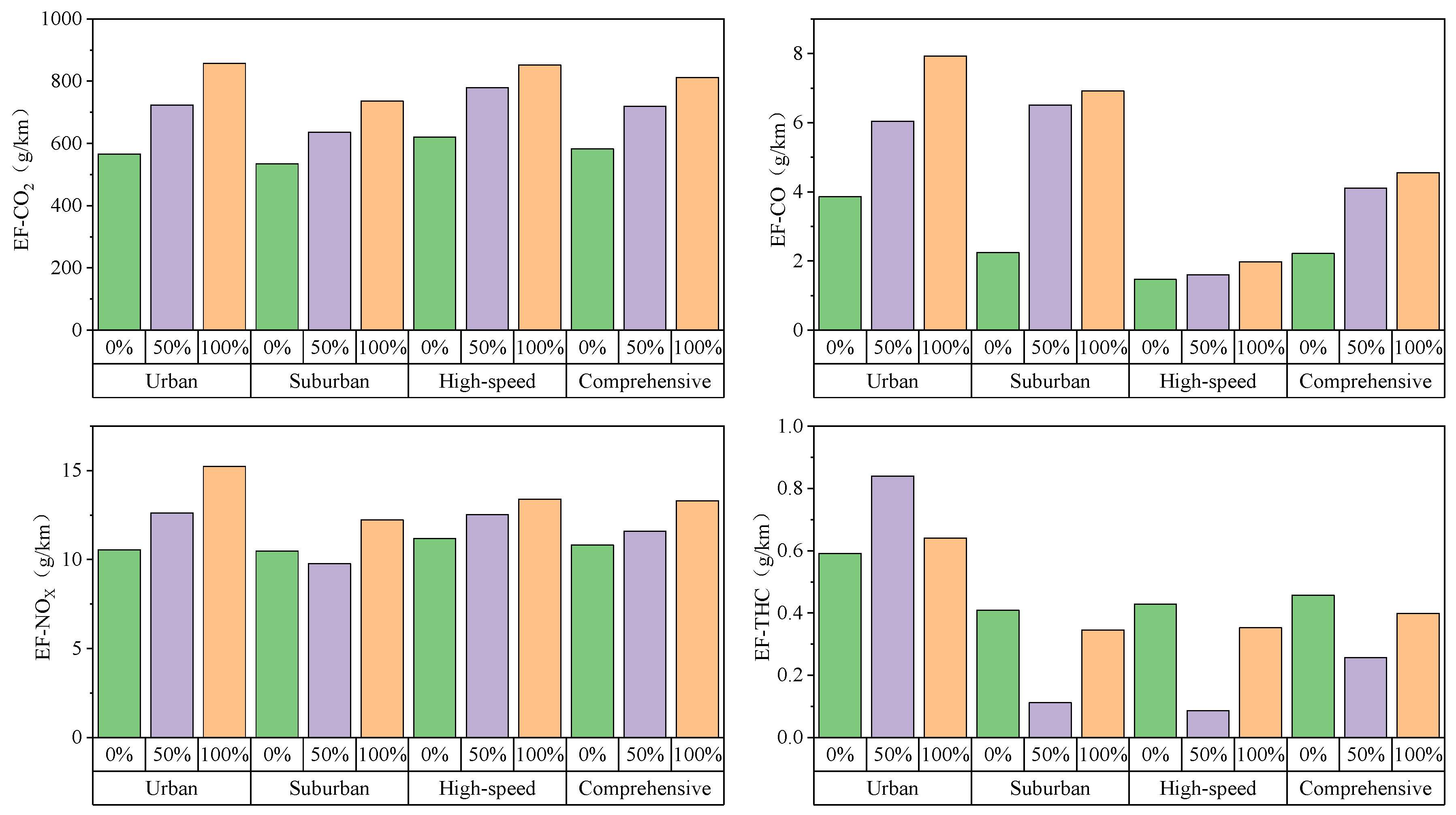
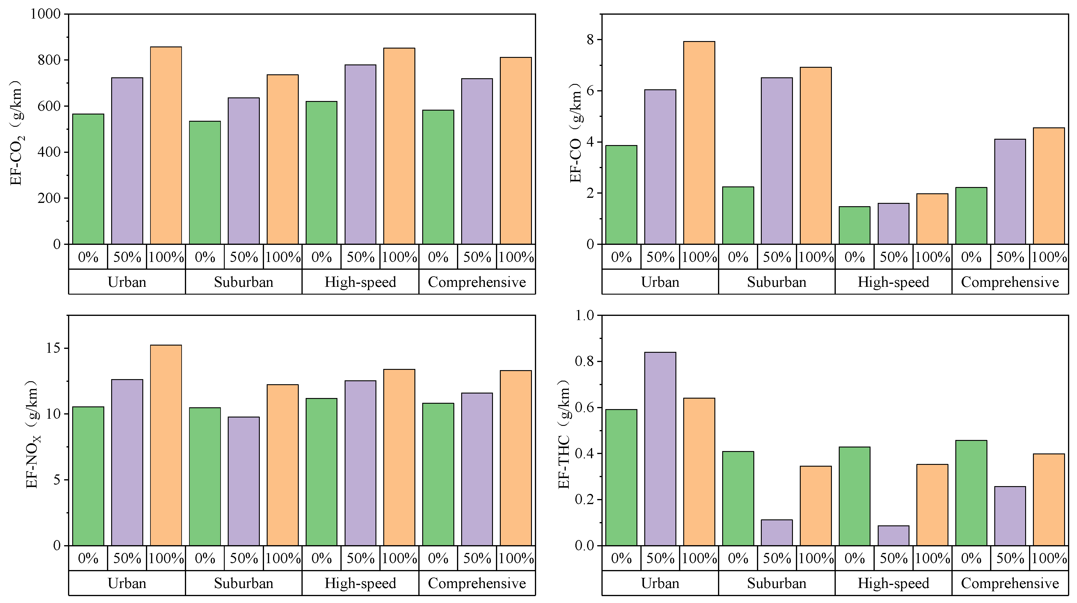
3.1. Emission Factors of Different Operating Conditions
3.2. Emission Characteristics of Different Vehicle Motion States
3.3. Characteristics of VSP for Different Vehicle Loads
4. Conclusions
Author Contributions
Funding
Institutional Review Board Statement
Informed Consent Statement
Data Availability Statement
Acknowledgments
Conflicts of Interest
References
- Si, F.; Du, E.; Zhang, N.; Wang, Y.; Han, Y. China’s urban energy system transition towards carbon neutrality: Challenges and experience of Beijing and Suzhou. Renew. Sustain. Energy Rev. 2023, 183, 113468. [Google Scholar] [CrossRef]
- Javan, K.; Altaee, A.; BaniHashemi, S.; Darestani, M.; Zhou, J.; Pignatta, G. A review of interconnected challenges in the water–energy–food nexus: Urban pollution perspective towards sustainable development. Sci. Total Environ. 2024, 912, 169319. [Google Scholar] [CrossRef] [PubMed]
- Wang, P.; Zhang, R.; Sun, S.; Gao, M.; Zheng, B.; Zhang, D.; Zhang, Y.; Carmichael, G.R.; Zhang, H. Aggravated air pollution and health burden due to traffic congestion in urban China. Atmos. Chem. Phys. 2023, 23, 2983–2996. [Google Scholar] [CrossRef]
- Pradhan, R.P.; Nair, M.S.; Hall, J.H.; Bennett, S.E. Planetary health issues in the developing world: Dynamics between transportation systems, sustainable economic development, and CO2 emissions. J. Clean. Prod. 2024, 449, 140842. [Google Scholar] [CrossRef]
- Ministry of Ecology and Environment (MEE) of the People’s Republic of China. China Mobile Source Environmental Management Annual Report 2022. Available online: https://www.mee.gov.cn/hjzl/sthjzk/ydyhjgl/202212/W020221207387013521948.pdf (accessed on 15 October 2023).
- World Health Organization.WHO (2023) Air pollution. Available online: https://www.who.int/health-topics/air-pollution (accessed on 27 July 2024).
- Zhang, S.; Yu, L.; Song, G. Emissions Characteristics for Heavy-Duty Diesel Trucks Under Different Loads Based on Vehicle-Specific Power. Transp. Res. Rec. J. Transp. Res. Board 2017, 2627, 77–85. [Google Scholar] [CrossRef]
- Zhang, R.; Wang, Y.; Pang, Y.; Zhang, B.; Wei, Y.; Wang, M.; Zhu, R. A Deep Learning Micro-Scale Model to Estimate the CO2 Emissions from Light-Duty Diesel Trucks Based on Real-World Driving. Atmosphere 2022, 13, 1466. [Google Scholar] [CrossRef]
- Zhu, R.; Wei, Y.; He, L.; Wang, M.; Hu, J.; Li, Z.; Lai, Y.; Su, S. Particulate matter emissions from light-duty gasoline vehicles under different ambient temperatures: Physical properties and chemical compositions. Sci. Total Environ. 2024, 926, 171791. [Google Scholar] [CrossRef] [PubMed]
- Unal, A.; Rouphail, N.M.; Frey, H.C. Effect of Arterial Signalization and Level of Service on Measured Vehicle Emissions. Transp. Res. Rec. J. Transp. Res. Board 2003, 1842, 47–56. [Google Scholar] [CrossRef]
- Chen, C.; Huang, C.; Jing, Q.; Wang, H.; Pan, H.; Li, L.; Zhao, J.; Dai, Y.; Huang, H.; Schipper, L.; et al. On-road emission characteristics of heavy-duty diesel vehicles in Shanghai. Atmos. Environ. 2007, 41, 5334–5344. [Google Scholar] [CrossRef]
- Dhital, N.B.; Wang, S.-X.; Lee, C.-H.; Su, J.; Tsai, M.-Y.; Jhou, Y.-J.; Yang, H.-H. Effects of driving behavior on real-world emissions of particulate matter, gaseous pollutants and particle-bound PAHs for diesel trucks. Environ. Pollut. 2021, 286, 117292. [Google Scholar] [CrossRef]
- Durbin, T.D.; Norbeck, J.M.; Wilson, R.D.; Galdamez, H.A. Effect of Payload on Exhaust Emissions from Light Heavy-Duty Diesel and Gasoline Trucks. Environ. Sci. Technol. 2000, 34, 4708–4713. [Google Scholar] [CrossRef]
- Hausberger, S.; Rexeis, M. Emission behaviour of modern heavy duty vehicles in real world driving. Int. J. Environ. Pollut. 2004, 22, 275. [Google Scholar] [CrossRef]
- Chen, L.; Wang, Z.; Liu, S.; Qu, L. Using a chassis dynamometer to determine the influencing factors for the emissions of Euro VI vehicles. Transp. Res. Part D Transp. Environ. 2018, 65, 564–573. [Google Scholar] [CrossRef]
- Zhang, Y.; Yang, X.; Fu, M. Emission Characteristics of Particle Number from Conventional Gasoline and Hybrid Vehicles. Sustainability 2023, 16, 12. [Google Scholar] [CrossRef]
- Luján, J.M.; Bermudez, V.; Pla, B.; Redondo, F. Engine test bench feasibility for the study and research of real driving cycles: Pollutant emissions uncertainty characterization. Int. J. Engine Res. 2022, 23, 1103–1115. [Google Scholar] [CrossRef]
- Zhao, D.; Chen, H.; Shao, H.; Sun, X. Vehicle Emission Factors for Particulate and Gaseous Pollutants in an Urban Tunnel in Xi’an, China. J. Chem. 2018, 2018, 1–11. [Google Scholar] [CrossRef]
- Hao, L.; Yin, H.; Wang, J.; Tian, M.; Wang, X.; Ge, Y.; Bernard, Y.; Sjödin, Å. Research on Analysis Method of Remote Sensing Results of NO Emission from Diesel Vehicles. Atmosphere 2022, 13, 1100. [Google Scholar] [CrossRef]
- Zhang, Y.; Zhou, R.; Peng, S.; Mao, H.; Yang, Z.; Andre, M.; Zhang, X. Development of Vehicle Emission Model Based on Real-Road Test and Driving Conditions in Tianjin, China. Atmosphere 2022, 13, 595. [Google Scholar] [CrossRef]
- Wang, X.; Song, G.; Zhai, Z.; Wu, Y.; Yin, H.; Yu, L. Effects of Vehicle Load on Emissions of Heavy-Duty Diesel Trucks: A Study Based on Real-World Data. Int. J. Environ. Res. Public Health 2021, 18, 3877. [Google Scholar] [CrossRef]
- Frey, H.C.; Rouphail, N.M.; Zhai, H. Link-Based Emission Factors for Heavy-Duty Diesel Trucks Based on Real-World Data. Transp. Res. Rec. J. Transp. Res. Board 2008, 2058, 23–32. [Google Scholar] [CrossRef]
- GB 17691-2018; Limits and Measurement Methods for Emissions from Diesel Fuelled Heavy-Duty Vehicles (CHINA VI). China Environmental Press: Beijing, China, 2018.
- European Parliament; Council of the European Union. Regulation (EC) No 595/2009 of the European Parliament and of the Council of 18 June 2009 on type-approval of motor vehicles and engines with respect to emissions from heavy duty vehicles (Euro VI) and on access to vehicle repair and maintenance information and amending Regulation (EC) No 715/2007 and Directive 2007/46/EC and repealing Directives 80/1269/EEC, 2005/55/EC and 2005/78/EC (Text with EEA relevance). Available online: https://eur-lex.europa.eu/legal-content/EN/TXT/?uri=CELEX%3A32009R0595 (accessed on 10 December 2023).
- Su, S.; Ge, Y.; Zhang, Y. NOX Emission from Diesel Vehicle with SCR System Failure Characterized Using Portable Emissions Measurement Systems. Energies 2021, 14, 3989. [Google Scholar] [CrossRef]
- Liu, C.; Pei, Y.; Wu, C.; Zhang, F.; Qin, J. Novel insights into the NOX emissions characteristics in PEMS tests of a heavy-duty vehicle under different payloads. J. Environ. Manag. 2023, 348, 119400. [Google Scholar] [CrossRef]
- Jiménez-Palacios, J.L. Understanding and Quantifying Motor Vehicle Emissions with Vehicle Specific Power and TILDAS Remote Sensing; Massachusetts Institute of Technology: Ambridge, MA, USA, 1998. [Google Scholar]
- Chong, H.S.; Park, Y.; Kwon, S.; Hong, Y. Analysis of real driving gaseous emissions from light-duty diesel vehicles. Transp. Res. Part D Transp. Environ. 2018, 65, 485–499. [Google Scholar] [CrossRef]
- Wang, H.; Ge, Y.; Tan, J.; Wu, L.; Wu, P.; Hao, L.; Peng, Z.; Zhang, C.; Wang, X.; Han, Y.; et al. The Real-world Emissions from Urban Freight Trucks in Beijing. Aerosol Air Qual. Res. 2018, 18, 1448–1456. [Google Scholar] [CrossRef]
- Wang, Z.; Wu, Y.; Zhou, Y.; Li, Z.; Wang, Y.; Zhang, S.; Hao, J. Real-world emissions of gasoline passenger cars in Macao and their correlation with driving conditions. Int. J. Environ. Sci. Technol. 2014, 11, 1135–1146. [Google Scholar] [CrossRef]
- Wu, Y.; Zhang, S.J.; Li, M.L.; Ge, Y.S.; Shu, J.W.; Zhou, Y.; Xu, Y.Y.; Hu, J.N.; Liu, H.; Fu, L.X.; et al. The challenge to NOX emission control for heavy-duty diesel vehicles in China. Atmos. Chem. Phys. 2012, 12, 9365–9379. [Google Scholar] [CrossRef]
- He, L.; Zhang, S.; Hu, J.; Li, Z.; Zheng, X.; Cao, Y.; Xu, G.; Yan, M.; Wu, Y. On-road emission measurements of reactive nitrogen compounds from heavy-duty diesel trucks in China. Environ. Pollut. 2020, 262, 114280. [Google Scholar] [CrossRef] [PubMed]
- Shang, R.; Zhang, Y.; Shen, Z.-J.M. Analyzing the Effects of Road Type and Rainy Weather on Fuel Consumption and Emissions: A Mesoscopic Model Based on Big Traffic Data. IEEE Access 2021, 9, 62298–62315. [Google Scholar] [CrossRef]
- Carrese, S.; Gemma, A.; La Spada, S. Impacts of Driving Behaviours, Slope and Vehicle Load Factor on Bus Fuel Consumption and Emissions: A Real Case Study in the City of Rome. Procedia Soc. Behav. Sci. 2013, 87, 211–221. [Google Scholar] [CrossRef]
- Zhang, Q.; Wu, L.; Yang, Z.; Zou, C.; Liu, X.; Zhang, K.; Mao, H. Characteristics of gaseous and particulate pollutants exhaust from logistics transportation vehicle on real-world conditions. Transp. Res. Part D Transp. Environ. 2016, 43, 40–48. [Google Scholar] [CrossRef]
- Mera, Z.; Fonseca, N.; Casanova, J.; López, J.-M. Influence of exhaust gas temperature and air-fuel ratio on NOX aftertreatment performance of five large passenger cars. Atmos. Environ. 2021, 244, 117878. [Google Scholar] [CrossRef]
- Liu, Y.; Tan, J. Green Traffic-Oriented Heavy-Duty Vehicle Emission Characteristics of China VI Based on Portable Emission Measurement Systems. IEEE Access 2020, 8, 106639–106647. [Google Scholar] [CrossRef]
- Zhang, Y.; Song, Y.; Feng, T.; Chen, Y. Comparative Analysis of Emission Characteristics of In-Use China II–V Gasoline, Hybrid, Diesel-Fueled Vehicles. Atmosphere 2023, 14, 272. [Google Scholar] [CrossRef]










| Information | Parameter |
|---|---|
| Fuel type | Diesel |
| Gross vehicle mass/t | 31 |
| Curb weight/t | 11.9 |
| Approved load mass/t | 18.9 |
| Model year | 2012 |
| Rated power/kw | 203 |
| Aftertreatment | SCR |
| Symbol | Description |
|---|---|
| The emission factor of pollutant i, g/km | |
| The instantaneous emission rate of pollutant i at second t, g/s | |
| The instantaneous speed of the vehicle at second t, km/h | |
| VSP | Vehicle specific power, kw/h |
| m | Vehicle weight, t |
| A | Rolling resistance coefficient, kW-s/m |
| B | Rotational resistance coefficient, kW-s2/m2 |
| C | Aerodynamic drag coefficient, kW-s3/m3 |
| g | The acceleration due to gravity, 9.8 m/s2 |
| a | The vehicle acceleration at second t, m/s2 |
| θ | The road grade at second t, radians |
| Average emission rate of pollutant i in VSP Bin j, g/s | |
| The n-th value of emission i in VSP bin j, g/s | |
| The amount of data of pollutant i in VSP j |
| VSP (kW/t) | Vehicle Speed (km/h) | |||
|---|---|---|---|---|
| v < 1.6 | 1.6 ≤ v < 40 | 40 ≤ v < 80 | ||
| VSP < −4 | Bin0 Deceleration or braking | Bin1 Idle | Bin11 | Bin21 |
| −4 ≤ VSP < −2 | Bin12 | Bin22 | ||
| −2 ≤ VSP < 0 | Bin13 | Bin23 | ||
| 0 ≤ VSP < 2 | Bin14 | Bin24 | ||
| 2 ≤ VSP < 4 | Bin15 | Bin25 | ||
| 4 ≤ VSP < 6 | Bin16 | Bin26 | ||
| 6 ≤ VSP < 8 | Bin17 | Bin27 | ||
| VSP ≥ 8 | Bin18 | Bin28 | ||
| Operating Condition | Vehicle Load (%) | CO2 (g/km) | CO (g/km) | NOX (g/km) | THC (g/km) |
|---|---|---|---|---|---|
| Urban | 0% | 565.3 | 3.9 | 10.5 | 0.59 |
| 50% | 723.5 | 6.0 | 12.6 | 0.84 | |
| 100% | 856.3 | 7.9 | 15.2 | 0.64 | |
| Suburban | 0% | 533.7 | 2.2 | 10.5 | 0.41 |
| 50% | 635.7 | 6.5 | 9.8 | 0.11 | |
| 100% | 736.0 | 6.9 | 12.2 | 0.35 | |
| High-speed | 0% | 620.6 | 1.5 | 11.2 | 0.43 |
| 50% | 779.5 | 1.6 | 12.5 | 0.09 | |
| 100% | 852.2 | 2.0 | 13.4 | 0.35 | |
| Comprehensive | 0% | 581.7 | 2.2 | 10.8 | 0.46 |
| 50% | 719.8 | 4.1 | 11.6 | 0.26 | |
| 100% | 811.4 | 4.6 | 13.3 | 0.40 |
Disclaimer/Publisher’s Note: The statements, opinions and data contained in all publications are solely those of the individual author(s) and contributor(s) and not of MDPI and/or the editor(s). MDPI and/or the editor(s) disclaim responsibility for any injury to people or property resulting from any ideas, methods, instructions or products referred to in the content. |
© 2024 by the authors. Licensee MDPI, Basel, Switzerland. This article is an open access article distributed under the terms and conditions of the Creative Commons Attribution (CC BY) license (https://creativecommons.org/licenses/by/4.0/).
Share and Cite
Zhang, Y.; Song, Y.; Feng, T. Real-World Emission Characteristics of Diesel Pallet Trucks under Varying Loads: Using the Example of China. Atmosphere 2024, 15, 956. https://doi.org/10.3390/atmos15080956
Zhang Y, Song Y, Feng T. Real-World Emission Characteristics of Diesel Pallet Trucks under Varying Loads: Using the Example of China. Atmosphere. 2024; 15(8):956. https://doi.org/10.3390/atmos15080956
Chicago/Turabian StyleZhang, Ye, Yating Song, and Tianshi Feng. 2024. "Real-World Emission Characteristics of Diesel Pallet Trucks under Varying Loads: Using the Example of China" Atmosphere 15, no. 8: 956. https://doi.org/10.3390/atmos15080956
APA StyleZhang, Y., Song, Y., & Feng, T. (2024). Real-World Emission Characteristics of Diesel Pallet Trucks under Varying Loads: Using the Example of China. Atmosphere, 15(8), 956. https://doi.org/10.3390/atmos15080956

