Statistical Dynamics and Subgrid Modelling of Turbulence: From Isotropic to Inhomogeneous
Abstract
1. Introduction
1.1. Statistical Dynamical Closure Theory
1.1.1. Eulerian Non-Markovian Closures for Isotropic Turbulence
1.1.2. Quasi-Lagrangian Non-Markovian Closures for Isotropic Turbulence
1.1.3. Vertex Renormalization
1.1.4. Markovian Closures for Homogeneous Turbulence
1.1.5. Markovian Closures for Homogeneous Turbulence Interacting with Waves
1.1.6. Eulerian Non-Markovian Closure for Inhomogeneous Turbulence
1.1.7. Non-Gaussian Initial Conditions and Restarting of Closure Calculations
1.1.8. Markovian Inhomogeneous Closures
1.2. Subgrid Modelling
1.2.1. Deterministic Parameterizations for Atmospheric Flows
1.2.2. Deterministic Parameterizations for Oceanic Flows
1.2.3. Statistical Dynamical Subgrid Modelling
1.2.4. Stochastic Subgrid Modelling and Data Driven Approaches
1.3. Fluid Dynamical Equations with Quadratic Nonlinearity
1.3.1. Navier Stokes Equations for Two- and Three-Dimensional Turbulent Flow
1.3.2. Quasigeostrophic Equations for Turbulent Flow
1.4. Aims and Structure
2. Barotropic 2D Flow over Topography on a –Plane
2.1. Large-Scale Flow Equation
2.2. Barotropic Vorticity Equation for the Small Scales
3. Dynamical Equations in Fourier Space
4. Euclidean Non-Markovian Closures for Homogeneous Turbulence
4.1. DIA Closure for Anisotropic Turbulence and Rossby Waves
4.2. SCFT and LET Closures for Ansotropic Turbulence and Rossby Waves
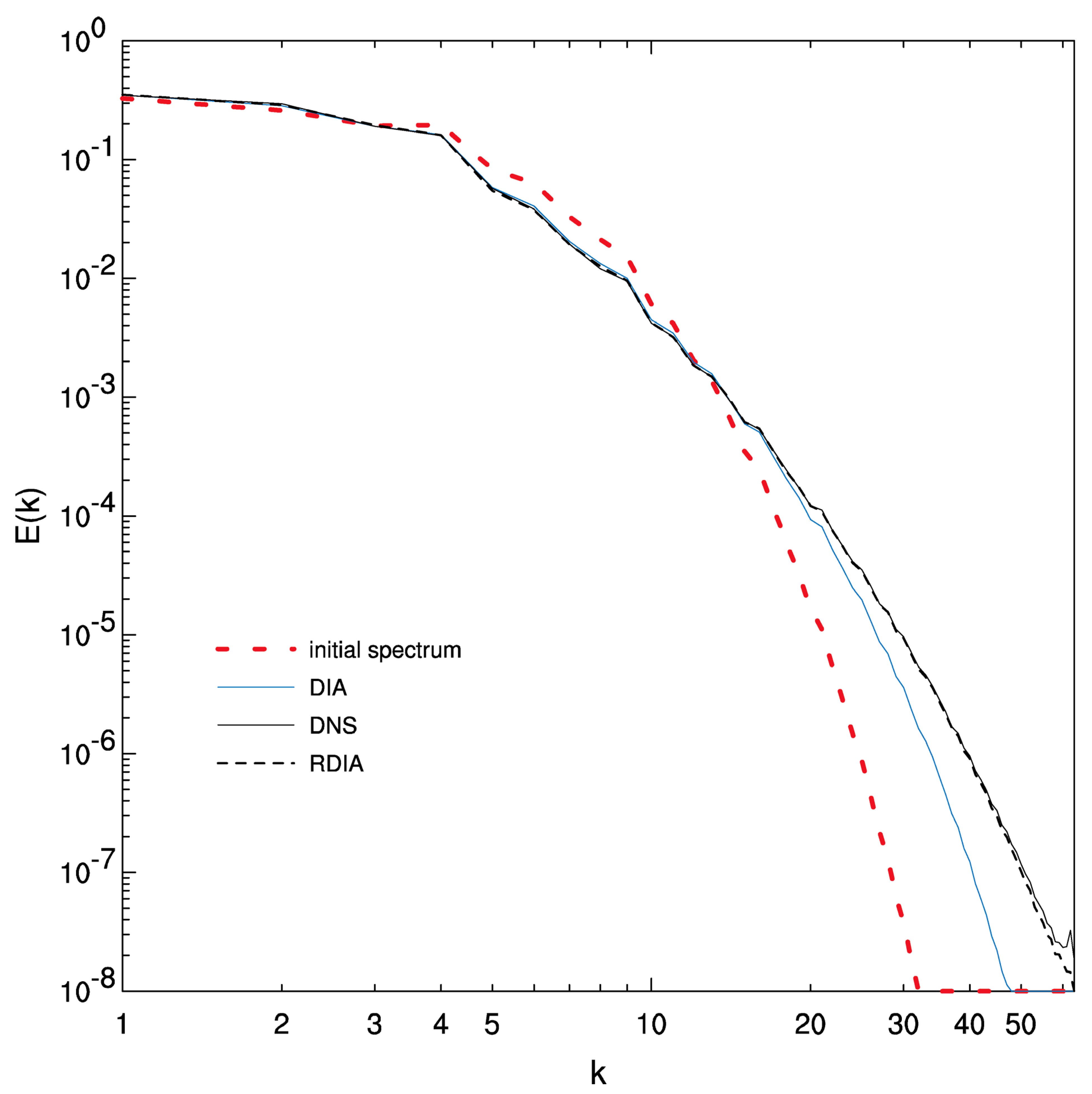
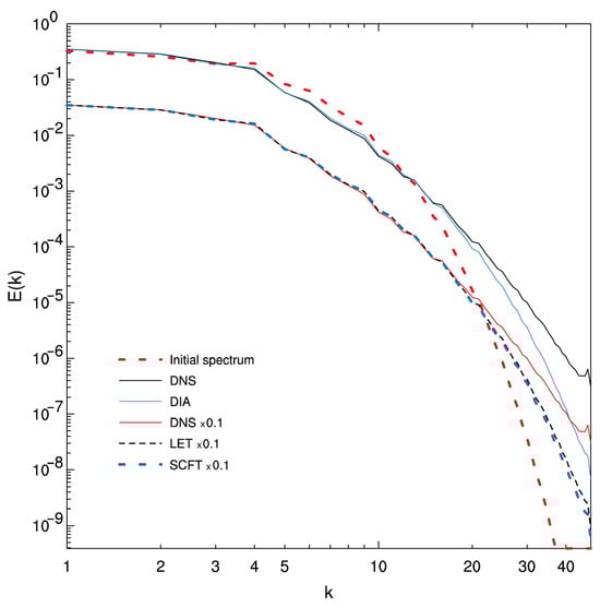
4.3. Performance of Eulerian Non-Markovian Closures for Isotropic Turbulence
4.4. Diagnostics
4.5. Initial Spectra and Parameter Specifications
5. Quasi-Lagrangian and Regularized Closures for Isotropic Turbulence
5.1. Impetus for Development of Quasi-Lagrangian Closures
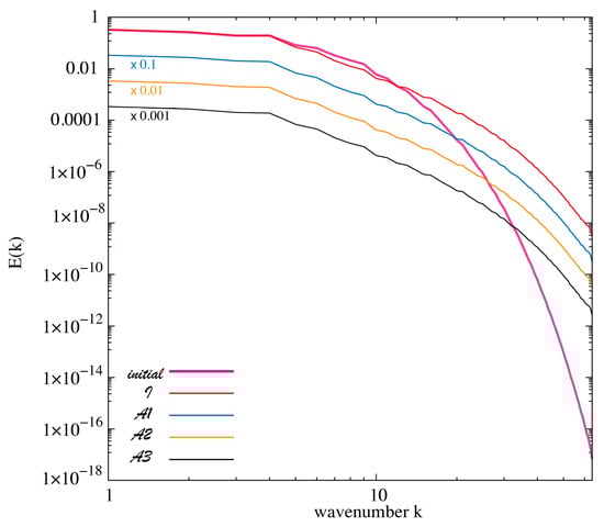
5.2. Comparison of Regularized DIA and Quasi-Lagrangian Closures for 2D Turbulence
6. Statistical Dynamical Equations for Markovian Anisotropic Closures
6.1. General Formulation of Markovian Anisotropic Closures
6.2. Realizable Eddy-Damped Markovian Anisotropic Closure
6.3. Generalizations of the Realizable EDMAC Model
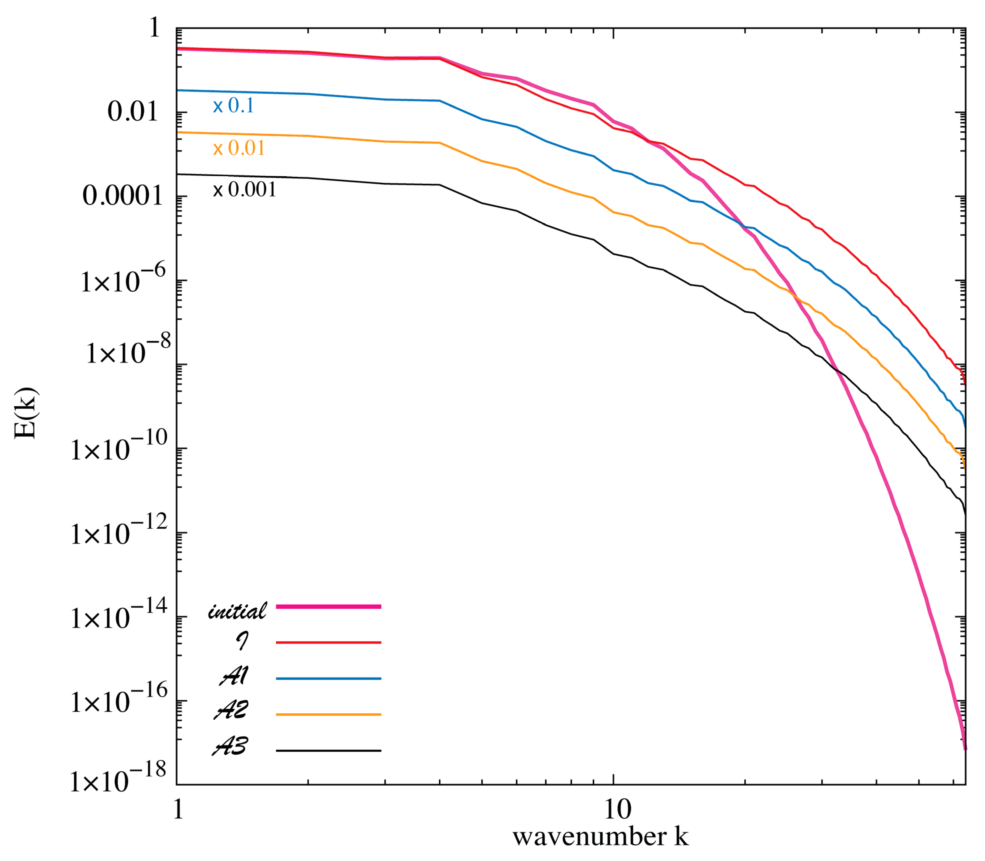
6.4. Comparison of EDQNM and EDMAC Model Integrations
7. Statistical Dynamical Equations for Inhomogeneous QDIA Closure
General Formulation of QDIA Closure
8. Statistical Dynamical Equations for Markovian Inhomogeneous Closures
8.1. General Formulation of Markovian Inhomogeneous Closures
8.2. Eddy-Damped Markovian Inhomogeneous Closure
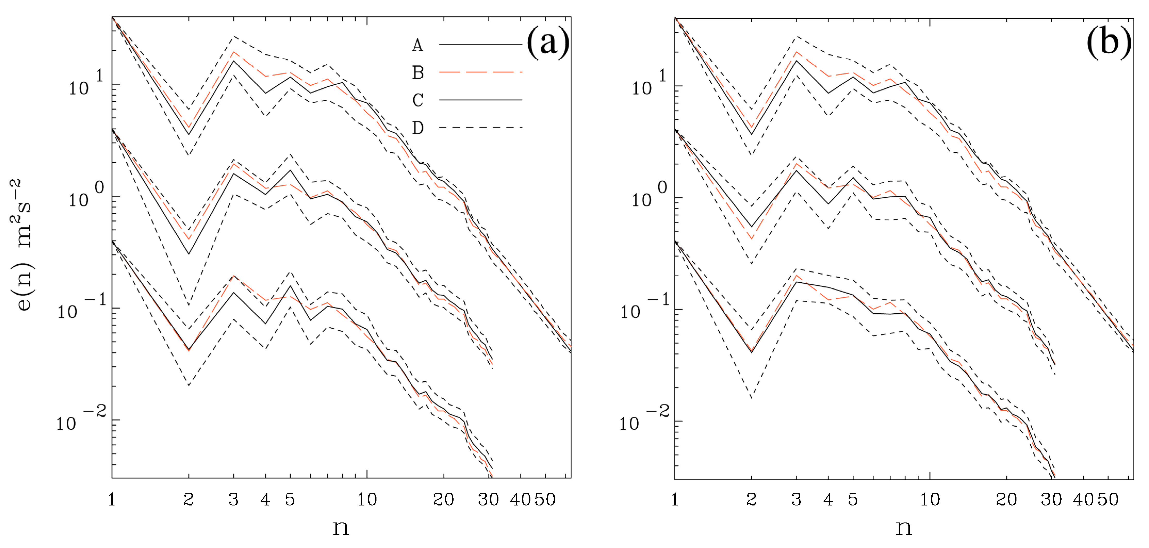
8.3. Comparison of Non-Markovian and Markovian Closure Calculations with DNS
9. Applications of the Inhomogeneous QDIA Closure
9.1. Ensemble Prediction
- The organization of error structures and the growth of off-diagonal covariances starting from isotropic initial perturbations;
- The development of organized flow-dependent error correlations;
- Rapid initial forecast error growth during this organizational period subsequent to breeding;
- Reduced error growth as the error field saturates the mean-field amplitude and predictability is lost.
9.2. The Application of the QDIA to Data Assimilation
9.2.1. Kalman Filter Variants
9.2.2. Spectral Kalman Filter Equations
10. Subgrid Modelling for Homogeneous Turbulence
10.1. Data Driven Stochastic Subgrid Parameterization Method
10.2. Atmospheric Barotropic Quasigeostrophic Turbulent Flows
10.3. Atmospheric Baroclinic Quasigeostrophic Turbulent Flows
10.4. Oceanic Baroclinic Quasigeostrophic Turbulent Flows
10.5. Atmospheric Primitive Equation Turbulent Flows
10.6. Three-Dimensional Navier–Stokes Turbulent Flows in a Boundary Layer Channel
11. Subgrid Modelling for Inhomogeneous Turbulence
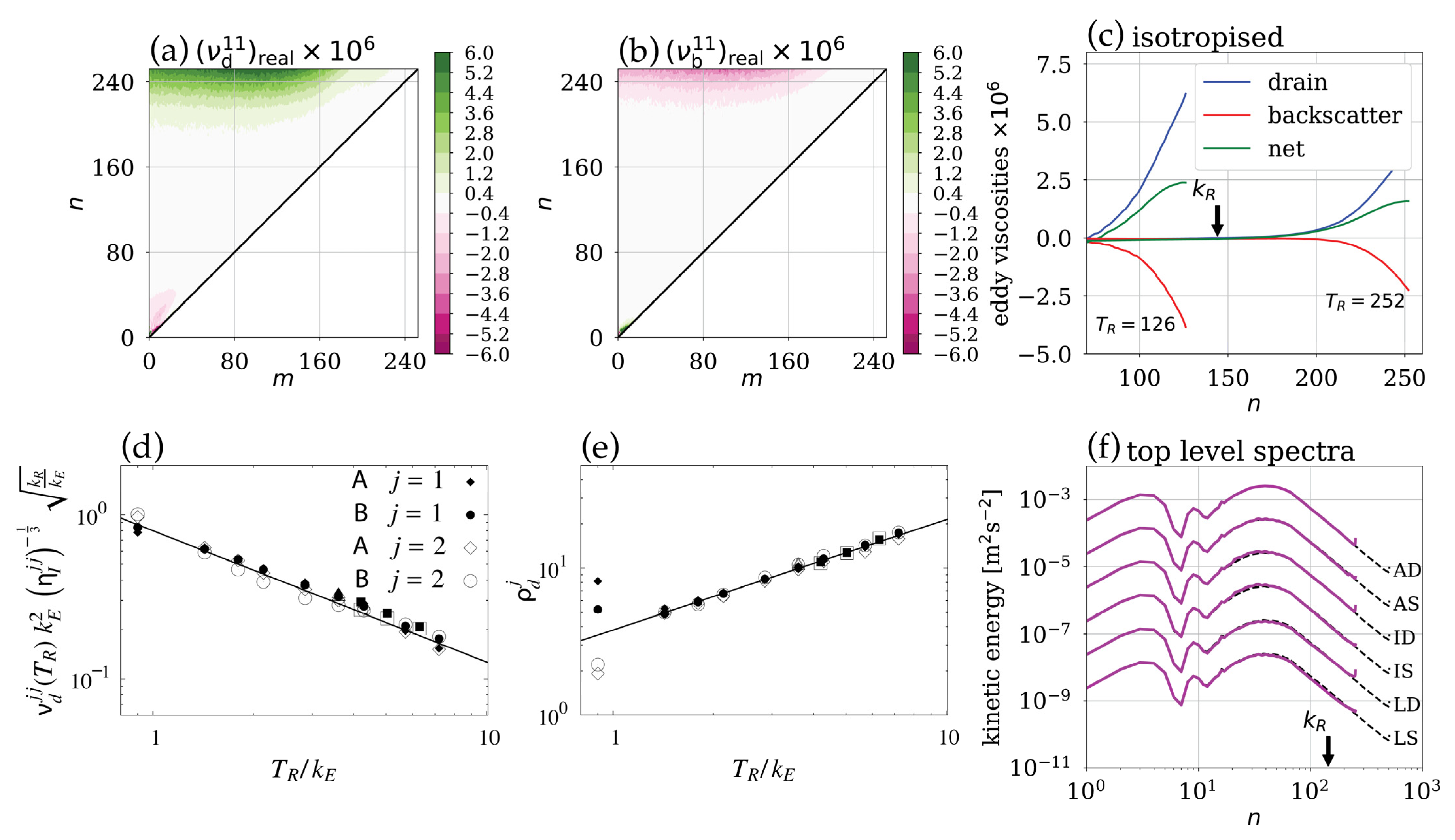
11.1. QDIA-Based Subgrid Modelling
- Eddy–eddy interactions are those between resolved and subgrid eddies and were the primary focus of Section 10.
- Eddy-mean-field interactions are those between the resolved eddies and subgrid mean field, and also those between the subgrid eddies and resolved mean field.
- Eddy–topographic interactions are those between the resolved eddies and subgrid topography, and as well those between the subgrid eddies are resolved topography.
- The mean-field–mean-field interactions are those between the resolved and subgrid components of the mean field.
- Mean-field–topographic interactions are those between the resolved mean field and subgrid topography, and as well those between the subgrid mean field and resolved topography.
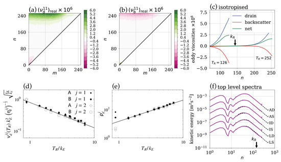
- For far-from-equilibrium flows as shown here, the contribution of the residual Jacobian is comparable to any of the other subgrid terms, whereas this term will vanish at canonical equilibrium.
- The quadratic subgrid mean-field term is representative of a high-pass filter of the large-scale Rossby waves with largest amplitudes occurring where large gradients in the zonal winds are manifest, that is, where the midlatitude jets occur, which is shown here for the boreal winter.
- The residual Jacobian mean-field topographic interactions have the largest amplitudes proximal to significant topographic features, namely, the Himalayans, Rocky Mountains and the Andes. Here, we see a significant correlation between these local in space wavetrains and the mean streamfunction.
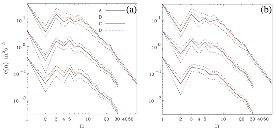
11.2. Quasigeostrophic Baroclinic Turbulence in the Atmospheric Simulatons with Topography
11.3. Quasigeostrophic Baroclinic Turbulence in Oceanic Simulations with Bathymetry
12. Discussion: Perspectives on Closures from Renormalized Perturbation Theory
12.1. Quantum Electro-Dynamics: Triumph of Renormalized Perturbation Theory
12.2. Closure Equations for Strong Interaction Hadron Scattering
12.3. Time-Dependent Nonequilibrium Quantum Field Theory
- “So, we, as quantum field theorists, having entered the domain of nonequilibrium phenomena, are now beset with all the problems faced by our plasma and condensed matter brethren more than 40 years ago”.
- “Most naive truncation schemes which, for example, just truncate the hierarchy of coupled correlators at a particular order, do not preserve various physical properties required of the system”.
- “A corollary of this is that in most perturbation schemes, secularity arises quickly with each term in the perturbation series, growing with higher powers of the time”.
- “In his seminal paper of 1961, Robert Kraichnan (1961) discussed in detail the key issues and obtained a partial solution to the problem by demanding that the approximations one should use should correspond to some physically realizable dynamical system. This would guarantee positivity and secularity would be avoided”.
12.4. The Problem of Dimensionality and the QDIA Closure
13. Conclusions and Future Prospects
Author Contributions
Funding
Data Availability Statement
Conflicts of Interest
Appendix A. Spectral Equations for Turbulent Flows
Appendix A.1. Spectral Equations for Navier–Stokes Turbulent Flow
Appendix A.2. Spectral Equations for Quasigeostrophic Turbulent Flow in Planar Geometry
Appendix A.3. Spectral Equations for Quasigeostrophic Turbulent Flow in Spherical Geometry
Appendix B. Interaction Coefficients for Barotropic Flows with Large Scale Wind
Appendix C. QDIA Structure and Cumulant and Response Function Relationships
Appendix D. Multi-Field QDIA Closure for Inhomogeneous Turbulent Flows
Appendix E. Langevin Equation for Multi-Field QDIA Closure
Appendix F. Subgrid Parameterizations from Multi-Field QDIA Closure
Appendix G. Stochastic Modelling of Fluctuating Subgrid Tendency
Appendix H. Data Driven Modelling of Mean Subgrid Tendency
References
- Millionshtchikov, M. On the theory of homogeneous isotropic turbulence. Dokl. Acad. Nauk. SSSR 1941, 32, 615–618. [Google Scholar]
- Ogura, Y. A consequence of the zero fourth order cumulant approximation in the decay of isotropic turbulence. J. Fluid Mech. 1963, 16, 33–40. [Google Scholar] [CrossRef]
- Frederiksen, J.S.; O’Kane, T.J. Markovian inhomogeneous closures for Rossby waves and turbulence over topography. J. Fluid Mech. 2019, 858, 45–70. [Google Scholar] [CrossRef]
- Marston, J.B.; Tobias, S.M. Recent Developments in Theories of Inhomogeneous and Anisotropic Turbulence. Ann. Rev. Fluid Mech. 2023, 55, 351–375. [Google Scholar] [CrossRef]
- Kraichnan, R.H. The structure of isotropic turbulence at very high Reynolds numbers. J. Fluid Mech. 1959, 5, 497–543. [Google Scholar] [CrossRef]
- Kraichnan, R.H. Dynamics of nonlinear stochastic systems. J. Math. Phys. 1961, 2, 124–148. [Google Scholar] [CrossRef]
- Schwinger, J. Quantum electrodynamics. I. A covariant formulation. Phys. Rev. 1948, 74, 1439–1461. [Google Scholar] [CrossRef]
- Dyson, F.J. The radiation theories of Tomonaga, Schwinger and Feynman. Phys. Rev. 1949, 75, 486–502. [Google Scholar] [CrossRef]
- Frederiksen, J.S. Quasi-diagonal inhomogeneous closure for classical and quantum statistical dynamics. J. Math. Phys. 2017, 58, 103303. [Google Scholar] [CrossRef]
- Edwards, S.F. The statistical dynamics of homogeneous turbulence. J. Fluid Mech. 1964, 18, 239–273. [Google Scholar] [CrossRef]
- Herring, J.R. Self-consistent-field approach to turbulence theory. Phys. Fluids 1965, 8, 2219–2225. [Google Scholar] [CrossRef]
- Herring, J.R. Self-consistent-field approach to nonstationary turbulence. Phys. Fluids 1966, 9, 2106–2110. [Google Scholar] [CrossRef]
- McComb, W.D. A local energy-transfer theory of isotropic turbulence. J. Phys. A 1974, 7, 632–649. [Google Scholar] [CrossRef]
- McComb, W.D. A theory of time dependent, isotropic turbulence. J. Phys. A 1978, 11, 613–633. [Google Scholar] [CrossRef]
- Kraichnan, R.H. Classical fluctuation-relaxation theorem. Phys. Rev. 1959, 113, 1181–1182. [Google Scholar] [CrossRef]
- Frederiksen, J.S.; Davies, A.G.; Bell, R.C. Closure theories with non-Gaussian restarts for truncated two-dimensional turbulence. Phys. Fluids 1994, 6, 3153–3163. [Google Scholar] [CrossRef]
- Kiyani, K.; McComb, W.D. Time-ordered fluctuation-dissipation relation for incompressible isotropic turbulence. Phys. Rev. E 2004, 70, 066303. [Google Scholar] [CrossRef]
- Carnevale, G.F.; Frederiksen, J.S. Viscosity renormalization based on direct-interaction closure. J. Fluid Mech. 1983, 131, 289–304. [Google Scholar] [CrossRef]
- Wyld, H.W., Jr. Formulation of the theory of turbulence in an incompressible fluid. Ann. Phys. 1961, 14, 143–165. [Google Scholar] [CrossRef]
- Lee, L.L. A formulation of the theory of isotropic hydromagnetic turbulence in an incompressible fluid. Ann. Phys. 1965, 32, 292–321. [Google Scholar] [CrossRef]
- Feynman, R.P. Space-time approach to quantum electrodynamics. Phys. Rev. 1949, 76, 769–789. [Google Scholar] [CrossRef]
- Martin, P.C.; Siggia, E.D.; Rose, H.A. Statistical dynamics of classical systems. Phys. Rev. A 1973, 8, 423–437. [Google Scholar] [CrossRef]
- Feynman, R.P.; Hibbs, A.R. Quantum Mechanics and Path Integrals; Dover: Mineola, NY, USA, 1965; ISBN-13:978-0070206502. [Google Scholar]
- Zee, Y. Quantum Field Theory in a Nutshell; Princeton University Press: Princeton, NJ, USA, 2010; ISBN 978-0-691-14034-6. [Google Scholar]
- Phythian, R. The functional formalism of classical statistical dynamics. J. Phys. A Math. Gen. 1977, 10, 777–789. [Google Scholar] [CrossRef]
- Jensen, R.V. Functional integral approach to classical statistical dynamics. J. Stat. Phys. 1981, 25, 183–201. [Google Scholar] [CrossRef]
- Berera, A.; Salewski, M.; McComb, W.D. Eulerian field-theoretic closure formalisms for fluid turbulence. Phys. Rev. E 2013, 87, 013007. [Google Scholar] [CrossRef]
- Kraichnan, R.H. Decay of isotropic turbulence in the direct-interaction approximation. Phys. Fluids 1964, 7, 1030–1048. [Google Scholar] [CrossRef]
- Herring, J.R.; Orszag, S.A.; Kraichnan, R.H.; Fox, D.G. Decay of two-dimensional homogeneous turbulence. J. Fluid Mech. 1974, 66, 417–444. [Google Scholar] [CrossRef]
- McComb, W.D.; Shanmugasundaram, V. Numerical calculations of decaying isotropic turbulence using the LET theory. J. Fluid Mech. 1984, 143, 95–123. [Google Scholar] [CrossRef]
- Frederiksen, J.S.; Davies, A.G. Dynamics and spectra of cumulant update closures for two-dimensional turbulence. Geophys. Astrophys. Fluid Dyn. 2000, 92, 197–231. [Google Scholar] [CrossRef]
- Kraichnan, R.H. Kolmogorov’s hypothesis and Eulerian turbulence theory. Phys. Fluids 1964, 7, 1723–1733. [Google Scholar] [CrossRef]
- Frederiksen, J.S.; Davies, A.G. The regularized DIA closure for two-dimensional turbulence. Geophys. Astrophys. Fluid Dyn. 2004, 98, 203–223. [Google Scholar] [CrossRef]
- McComb, W.D. The Physics of Fluid Turbulence; Oxford University Press: Oxford, UK, 1990; ISBN 9780198562566. [Google Scholar]
- Kolmogorov, A.N. The local structure of turbulence in incompressible viscous fluid for very large Reynolds numbers. Dokl. 2772 Acad. Nauk. SSSR 1941, 30, 301–305. [Google Scholar]
- Kolmogorov, A.N. Dissipation of energy in locally isotropic turbulence. Dokl. Acad. Nauk. SSSR 1941, 32, 16–18. [Google Scholar]
- Kraichnan, R.H. Lagrangian-history approximation for turbulence. Phys. Fluids 1965, 8, 575–598. [Google Scholar] [CrossRef]
- Kraichnan, R.H. Eulerian and Lagrangian renormalization in turbulence theory. J. Fluid Mech. 1977, 83, 349–374. [Google Scholar] [CrossRef]
- Herring, J.R.; Kraichnan, R.H. A numerical comparison of velocity-based and strain-based Lagrangian-history turbulence approximations. J. Fluid Mech. 1979, 91, 581–597. [Google Scholar] [CrossRef]
- Kaneda, Y. Renormalised expansions in the theory of turbulence with the use of the Lagrangian position function. J. Fluid Mech. 1981, 107, 131–145. [Google Scholar] [CrossRef]
- Gotoh, T.; Kaneda, Y.; Bekki, N. Numerical integration of the Lagrangian renormalized approximation. J. Phys. Soc. Jpn. 1988, 57, 866–880. [Google Scholar] [CrossRef]
- Sudan, R.N.; Pfirsch, D. On the relation between ‘‘mixing length’’ and ‘‘direct interaction approximation” theories of turbulence. Phys. Fluids 1985, 28, 1702–1718. [Google Scholar] [CrossRef]
- O’Kane, T.J.; Frederiksen, J.S. The QDIA and regularized QDIA closures for inhomogeneous turbulence over topography. J. Fluid Mech. 2004, 65, 133–165. [Google Scholar] [CrossRef]
- Orszag, S.A. Analytical theories of turbulence. J. Fluid Mech. 1970, 41, 363–386. [Google Scholar] [CrossRef]
- Leith, C.E. Atmospheric predictability and two-dimensional turbulence. J. Atmos. Sci. 1971, 28, 145–161. [Google Scholar] [CrossRef]
- Herring, J.R. Theory of two-dimensional anisotropic turbulence. J. Atmos. Sci. 1975, 32, 2252–2271. [Google Scholar] [CrossRef]
- Lesieur, M. Turbulence in Fluids; Springer: Dordrecht, The Netherlands, 2008. [Google Scholar]
- Frederiksen, J.S. Renormalized closure theory and subgrid-scale parameterizations for two-dimensional turbulence. In Nonlinear Dynamics: From Lasers to Butterflies, World Scientific Lecture Notes in Complex Systems; Ball, R., Akhmediev, N., Eds.; World Scientific: Singapore, 2003; Volume 1, pp. 225–256. ISBN 9789814486361. [Google Scholar] [CrossRef]
- Sagaut, P.; Cambon, C. Homogeneous Turbulence Dynamics; Springer Nature: Cham, Switzerland, 2018. [Google Scholar]
- Zhou, Y. Turbulence theories and statistical closure approaches. Phys. Rep. 2021, 935, 1–117. [Google Scholar] [CrossRef]
- Salmon, R. Lectures on Geophysical Fluid Dynamics; Oxford University Press: Oxford, UK, 1998. [Google Scholar]
- Cambon, C.; Mons, V.; Gréa, B.-J.; Rubinstein, R. Anisotropic triadic closures for shear-driven and buoyancy-driven turbulent flows. Comput. Fluids 2017, 151, 73–84. [Google Scholar] [CrossRef]
- Carnevale, G.F.; Martin, P.C. Field theoretic techniques in statistical fluid dynamics: With application to nonlinear wave dynamics. Geophys. Astrophys. Fluid Dyn. 1982, 20, 131–164. [Google Scholar] [CrossRef]
- Carnevale, G.F.; Frederiksen, J.S. A statistical dynamical theory of strongly nonlinear internal gravity waves. Geophys. Astrophys. Fluid Dyn. 1983, 23, 175–207. [Google Scholar] [CrossRef]
- Zhou, Y.; Matthaeus, W.H.; Dmitruk, P. Magnetohydrodynamic turbulence and time scales in astrophysical and space plasmas. Rev. Mod. Phys. 2004, 76, 1015–1034. [Google Scholar] [CrossRef]
- Holloway, G.; Hendershott, M.C. Stochastic closure for nonlinear Rossby waves. J. Fluid Mech. 1977, 82, 747–765. [Google Scholar] [CrossRef]
- Holloway, G. On the spectral evolution of strongly interacting waves. Geophys. Astrophys. Fluid Dyn. 1978, 11, 271–287. [Google Scholar] [CrossRef]
- Vallis, G.K.; Maltrud, M.E. On the Generation of Mean Flows and Jets on a Beta Plane and over Topography. J. Phys. Oceanog. 1993, 23, 1346–1362. [Google Scholar] [CrossRef]
- Sukoriansky, S.; Galperin, B. QNSE theory of turbulence anisotropization and onset of the inverse energy cascade by solid body rotation. J. Fluid Mech. 2016, 805, 384–421. [Google Scholar] [CrossRef]
- Galperin, B.; Sukoriansky, S.; Qiu, B. Seasonal oceanic variability on meso- and sub-mesoscales: A turbulence perspective. Ocean Dynam. 2021, 71, 475–489. [Google Scholar] [CrossRef]
- Bowman, J.C.; Krommes, J.A.; Ottaviani, M. The realizable Markovian closure. I. General theory, with application to three-wave dynamics. Phys. Fluids 1993, 5, 3558–3589. [Google Scholar] [CrossRef]
- Hu, G.; Krommes, J.A.; Bowman, J.C. Statistical theory of resistive drift-wave turbulence and transport. Phys. Plasmas 1997, 4, 2116–2133. [Google Scholar] [CrossRef]
- Bowman, J.C.; Krommes, J.A. The realizable Markovian closure and realizable test-field model. II. Application to anisotropic drift-wave dynamics. Phys. Plasmas 1997, 4, 3895–3909. [Google Scholar] [CrossRef]
- Frederiksen, J.S.; O’Kane, T.J. Realizable Eddy Damped Markovian Anisotropic Closure for Turbulence and Rossby Wave Interactions. Atmosphere 2023, 14, 1098. [Google Scholar] [CrossRef]
- Frederiksen, J.S.; O’Kane, T.J. Turbulence and Rossby Wave Dynamics with Realizable Eddy Damped Markovian AnisotropicClosure. Fluids 2024, 9, 116. [Google Scholar] [CrossRef]
- Frederiksen, J.S. Subgrid-scale parameterizations of eddy-topographic force, eddy viscosity and stochastic backscatter for flow over topography. J. Atmos. Sci. 1999, 56, 1481–1494. [Google Scholar] [CrossRef]
- Frederiksen, J.S.; O’Kane, T.J. Inhomogeneous closure and statistical mechanics for Rossby wave turbulence over topography. J. Fluid Mech. 2005, 539, 137–165. [Google Scholar] [CrossRef]
- O’Kane, T.J.; Frederiksen, J.S. A comparison of statistical dynamical and ensemble prediction methods during blocking. J. Atmos. Sci. 2008, 65, 426–447. [Google Scholar] [CrossRef]
- O’Kane, T.J.; Frederiksen, J.S. Comparison of statistical dynamical, square root and ensemble Kalman filters. Entropy 2008, 10, 684–721. [Google Scholar] [CrossRef]
- O’Kane, T.J.; Frederiksen, J.S. Application of statistical dynamical closures to data assimilation. Phys. Scr. 2010, T142, 014042. [Google Scholar] [CrossRef]
- O’Kane, T.J.; Frederiksen, J.S. Statistical dynamical subgrid-scale parameterizations for geophysical flows. Phys. Scr. 2008, T132, 014033. [Google Scholar] [CrossRef]
- Frederiksen, J.S. Statistical dynamical closures and subgrid modeling for QG and 3D inhomogeneous turbulence. Entropy 2012, 14, 32–57. [Google Scholar] [CrossRef]
- Frederiksen, J.S. Self-Energy Closure for Inhomogeneous Turbulent Flows and Subgrid Modeling. Entropy 2012, 14, 769–799. [Google Scholar] [CrossRef]
- Rose, H.A. An efficient non-Markovian theory of non-equilibrium dynamics. Physica D 1985, 14, 216–226. [Google Scholar] [CrossRef]
- Frederiksen, J.S.; O’Kane, T.J. Statistical Dynamics of Mean Flows Interacting with Rossby Waves, Turbulence, and Topography. Fluids 2022, 7, 200. [Google Scholar] [CrossRef]
- Smagorinsky, J. General circulation experiments with the primitive equations: I. The basic experiment. Mon. Weather. Rev. 1963, 91, 99–164. [Google Scholar] [CrossRef]
- Manabe, S.; Hahn, D.G.; Holloway, J.L. Climate simulations with GFDL spectral models of the atmosphere: Effects of spectral truncation. GARP Publ. Ser. 1979, 22, 41–94. [Google Scholar]
- Laursen, L.; Eliasen, E. On the effects of the damping mechanisms in an atmospheric general circulation model. Tellus 1989, 41A, 385–400. [Google Scholar] [CrossRef]
- Koshyk, J.N.; Boer, G.J. Parameterization of dynamical subgrid-scale processes in a spectral GCM. J. Atmos. Sci. 1995, 52, 965–976. [Google Scholar] [CrossRef]
- Kaas, E.; Guldberg, A.; May, W.; Deque, M. Using tendency errors to tune the parameterization of unresolved dynamical scale interactions in atmospheric general circulation models. Tellus 1999, 51, 612–629. [Google Scholar] [CrossRef]
- Frederiksen, J.S.; Dix, M.R.; Davies, A.G. The effects of closure-based eddy diffusion on the climate and spectra of a GCM. Tellus 2003, 55, 31–44. [Google Scholar] [CrossRef]
- Frederiksen, J.S.; Dix, D.R.; Kepert, S.M. Systematic energy errors and the tendency towards canonical equilibrium in atmospheric circulation models. J. Atmos. Sci. 1996, 53, 887–904. [Google Scholar] [CrossRef]
- Eliassen, A.; Palm, E. On the transfer of energy in stationary mountain waves. Geofys. Publ. 1961, 22, 1–23. [Google Scholar]
- Andrews, D.G.; McIntyre, M.E. Planetary waves in horizontal and vertical shear: The generalized Eliassen-Palm relation and the mean zonal acceleration. J. Atmos. Sci. 1976, 33, 2031—2048. [Google Scholar] [CrossRef]
- Boyd, J. The noninteraction of waves with the zonally averaged flow on a spherical earth and the interrelationships of eddy fluxes of energy heat and momentum. J. Atmos. Sci. 1976, 33, 2285–2291. [Google Scholar] [CrossRef]
- Plumb, R.A. Eddy fluxes of conserved quantities by small-amplitude waves. J. Atmos. Sci. 1979, 36, 1699–1704. [Google Scholar] [CrossRef]
- Hoskins, B.J.; James, I.N.; White, G.H. The shape, propagation and mean-flow interaction of large-scale weather. J. Atmos. Sci. 1983, 40, 1595–1612. [Google Scholar] [CrossRef]
- Andrews, D.G.J.; Holton, J.R.; Leovy, C.B. Middle Atmosphere Dynamics; Academic: San Diego, CA, USA, 1987; 489p. [Google Scholar]
- Pfeffer, R.L. Comparison of conventional and transformed Eulerian diagnostics in the troposphere. Quart. J. R. Meteor. Soc. 1987, 113, 237–254. [Google Scholar] [CrossRef]
- Grotjahn, R. Global Atmospheric Circulations: Observations and Theory; Oxford University Press: New York, NY, USA, 1993; 430p. [Google Scholar]
- Bryan, K.; Lewis, L.J. A water mass model of the world ocean. J. Geophys. Res. 1979, 84, 2503–2517. [Google Scholar] [CrossRef]
- Redi, M.H. Oceanic Isopycnal Mixing by Coordinate Rotation. J. Phys. Oceanogr. 1982, 12, 1154–1158. [Google Scholar] [CrossRef]
- Gent, P.R.; McWilliams, J.C. Isopycnal mixing in ocean circulation models. J. Phys. Oceanogr. 1990, 20, 150–155. [Google Scholar] [CrossRef]
- McDougall, T.J.; McIntosh, P.C. The temporal-residual-mean velocity. Part I: Derivation and the scalar conservation equations. J. Phys. Oceanogr. 1996, 26, 2653–2665. [Google Scholar] [CrossRef]
- Treguier, A.M.; Held, I.M.; Larichev, V.D. Parameterization of quasi-geostrophic eddies in primitive equation ocean models. J. Phys. Oceanogr. 1997, 27, 567–580. [Google Scholar] [CrossRef]
- Griffies, S.M. The Gent–McWilliams skew-flux. J. Phys. Oceanogr. 1998, 28, 831–841. [Google Scholar] [CrossRef]
- de Szoeke, R.A.; Bennett, A.F. Microstructure fluxes across density surfaces. J. Phys. Oceanogr. 1993, 23, 2254–2264. [Google Scholar] [CrossRef]
- Griffies, S.M.; Pacanowski, R.C.; Hallberg, R.W. Spurious diapycnal mixing associated with advection in a z-coordinate ocean model. J. Phys. Oceanogr. 2000, 128, 538–564. [Google Scholar] [CrossRef]
- Holloway, G. 1992 Representing topographic stress for large-scale ocean models. J. Phys. Oceanogr. 1992, 22, 1033–1046. [Google Scholar] [CrossRef]
- Bretherton, F.; Haidvogel, D. Two-dimensional turbulence above topography. J. Fluid Mech. 1976, 78, 129–154. [Google Scholar] [CrossRef]
- Frederiksen, J.S.; Carnevale, G.F. Stability properties of exact nonzonal solutions for flow over topography. Geophys. Astrophys. Fluid Dyn. 1986, 35, 173–207. [Google Scholar] [CrossRef]
- Carnevale, G.F.; Frederiksen, J.S. Nonlinear stability and statistical mechanics of flow over topography. J. Fluid Mech. 1987, 175, 157–181. [Google Scholar] [CrossRef]
- Frederiksen, J.S. Nonlinear stability of baroclinic flows over topography. Geophys. Astrophys. Fluid Mech. 1991, 57, 85–97. [Google Scholar] [CrossRef]
- Frederiksen, J.S. Nonlinear studies on the effect of topography on baroclinic zonal flows. Geophys. Astrophys. Fluid Dyn. 1991, 59, 57–82. [Google Scholar] [CrossRef]
- Majda, A.J.; Wang, X. Nonlinear Dynamics and Statistical Theories for Basic Geophysical Flows; Cambridge University Press: Cambridge, UK, 2006; ISBN 9780511616778. [Google Scholar] [CrossRef]
- Cummins, P.F.; Holloway, G. On eddy-topographic stress representation. J. Phys. Oceanogr. 1994, 24, 700–706. [Google Scholar] [CrossRef]
- Alvarez, A.; Tintore, G.; Holloway, G.; Eby, M.; Beckers, J. Effect of topographic stress on the circulation in the western Mediterranean. J. Geophys. Res. 1994, 99, 16053–16064. [Google Scholar] [CrossRef]
- Kazantsev, E.; Sommeria, J.; Verron, J. Subgrid scale eddy parameterization by statistical mechanics in a barotropic ocean model. J. Phys. Oceanogr. 1998, 28, 1017–1042. [Google Scholar] [CrossRef]
- Polyakov, I. An eddy parameterization based on maximum entropy production with application to modeling of the Arctic Ocean circulation. J. Phys. Oceanogr. 2001, 31, 2255–2270. [Google Scholar] [CrossRef]
- Holloway, G. From classical to statistical ocean dynamics. Surv. Geophys. 2004, 25, 203–219. [Google Scholar] [CrossRef]
- Frederiksen, J.S.; O’Kane, T.J. Entropy, closures and subgrid modeling. Entropy 2008, 10, 635–683. [Google Scholar] [CrossRef]
- Holloway, G. Entropic Forces in Geophysical Fluid Dynamics. Entropy 2009, 11, 360–383. [Google Scholar] [CrossRef]
- Kraichnan, R. Eddy viscosity in two and three dimensions. J. Atmos. Sci. 1976, 33, 1521–1536. [Google Scholar] [CrossRef]
- McComb, W.D.; Watt, A.G. Conditional averaging procedure for the elimination of the small-scale modes from incompressible fluid turbulence at high Reynolds numbers. Phys. Rev. Lett. 1990, 65, 3281. [Google Scholar] [CrossRef] [PubMed]
- Young, A.J.; McComb, W.D. Effective viscosity due to local turbulence interactions near the cutoff wavenumber in a constrained numerical simulation. J. Phys. A Math. Gen. 2000, 33, L133. [Google Scholar] [CrossRef]
- McComb, W.D.; Hunter, A.; Johnson, C. Conditional mode elimination and the subgrid-modelling problem for isotropic turbulence. Phys. Fluids 2001, 13, 2030–2044. [Google Scholar] [CrossRef]
- McComb, W.D.; Johnson, C. Conditional mode elimination and scale-invariant dissipation in isotropic turbulence. Phys. A Stat. Mech. Its Appl. 2001, 292, 346–382. [Google Scholar] [CrossRef]
- McComb, W.D. Homogeneous, Isotropic Turbulence: Phenomenology, Renormalization and Statistical Closures; Oxford University Press: Oxford, UK, 2014; ISBN-13:9780199689385. [Google Scholar] [CrossRef]
- Leslie, D.C.; Quarini, G.L. The application of turbulence theory to the formulation of subgrid modelling procedures. J. Fluid Mech. 1979, 91, 65–91. [Google Scholar] [CrossRef]
- Chollet, J.P.; Lesieur, M. Parameterization of small scales of three-dimensional isotropic turbulence utilizing spectral closures. J. Atmos. Sci. 1981, 38, 2747–2757. [Google Scholar] [CrossRef]
- Leith, C.E. Stochastic backscatter in a subgrid-scale model: Plane shear mixing layer. Phys. Fluids 1990, 2, 297–299. [Google Scholar] [CrossRef]
- Chasnov, J.R. Simulation of the Kolmogorov inertial subrange using an improved subgrid model. Phys. Fluids A 1991, 3, 188–200. [Google Scholar] [CrossRef]
- Mason, P.J.; Thomson, D.J. Stochastic backscatter in large-eddy simulations of boundary layers. J. Fluid Mech. 1992, 242, 51–78. [Google Scholar] [CrossRef]
- Domaradzki, J.; Liu, W.; Bracket, M.E. An analysis of subgrid scale interactions in numerically simulated isotropic turbulence. Phys. Fluids A 1993, 5, 1747–1759. [Google Scholar] [CrossRef]
- Schilling, O.; Zhou, Y. Triadic energy transfers in non-helical magnetohydrodynamic turbulence. J. Plasma Phys. 2002, 68, 389–406. [Google Scholar] [CrossRef]
- Frederiksen, J.S.; Davies, A.G. Eddy viscosity and stochastic backscatter parameterizations on the sphere for atmospheric circulation models. J. Atmos. Sci. 1997, 54, 2475–2492. [Google Scholar] [CrossRef]
- Frederiksen, J.S.; Kepert, S.M. Dynamical subgrid-scale parameterizations from direct numerical simulations. J. Atmos. Sci. 2006, 63, 3006–3019. [Google Scholar] [CrossRef]
- Hasselmann, K. Stochastic climate models Part1: Theory. Tellus 1976, 6, 473—485. [Google Scholar] [CrossRef]
- Egger, J. Stochastically driven large scale circulation with multiple equilibria. J. Atmos. Sci. 1981, 38, 2606—2618. [Google Scholar] [CrossRef]
- Palmer, T.N. A nonlinear dynamical perspective on model error: A proposal for non-local stochasticdynamic parameterization in weather and climate prediction. Quart. J. Roy. Meteor. Soc. 2001, 127, 279–304. [Google Scholar] [CrossRef]
- Majda, A.; Vanden-Eijnden, E. Systematic strategies for stochastic mode reduction in climate. J. Atmos. Sci. 2003, 60, 1705–1722. [Google Scholar] [CrossRef]
- Franzke, C.; Majda, A.J. Low-order stochastic mode reduction for a prototype atmospheric GCM. J. Atmos. Sci. 2006, 63, 457–479. [Google Scholar] [CrossRef]
- Shutts, G. A kinetic energy backscatter algorithm for use in ensemble prediction systems. Q. J. R. Meteorol. Soc. 2005, 131, 3079–3102. [Google Scholar] [CrossRef]
- Seiffert, R.; Blender, R.; Fraedrich, K. Subscale forcing in a global atmospheric circulation model and stochastic parametrization. Q. J. R. Meteorol. Soc. 2006, 132, 1627–1643. [Google Scholar] [CrossRef]
- Frederiksen, J.S.; Kitsios, V.; O’Kane, T.J.; Zidikheri, M.J. Stochastic subgrid modelling for geophysical and three-dimensional turbulence. In Nonlinear and Stochastic Climate Dynamics; Franzke, C.J.E., O’Kane, T.J., Eds.; Cambridge University Press: Cambridge, UK, 2017; pp. 241–275. [Google Scholar] [CrossRef]
- Berner, J.; Shutts, G.J.; Leutbecher, M.; Palmer, T.N. A spectral stochastic kinetic energy backscatter scheme and its impact on flow-dependent predictability in the ECMWF ensemble prediction system. J. Atmos. Sci. 2009, 66, 603–626. [Google Scholar] [CrossRef]
- Kitsios, V.; Frederiksen, J.S. Subgrid parameterizations of eddy-eddy, eddy-meanfield, eddy-topographic, meanfield-meanfield and meanfield-topographic interactions in atmospheric models. J. Atmos. Sci. 2019, 76, 457–477. [Google Scholar] [CrossRef]
- Frederiksen, J.S.; Dix, M.R.; Osbrough, S.L.; Kitsios, V. Subgrid parameterisations for primitive equation atmospheric models. ANZIAM J. 2015, 56, C83–C100. [Google Scholar] [CrossRef][Green Version]
- Pouquet, A.; Lesieur, M.; Andre, J.C.; Basdevant, C. Evolution of high Reynolds number two-dimensional turbulence. J. Fluid Mech. 1975, 72, 305–319. [Google Scholar] [CrossRef]
- Cambon, C.; Jacquin, L. Spectral approach to non-isotropic turbulence subject to rotation. J. Fluid Mech. 1989, 202, 295–317. [Google Scholar] [CrossRef]
- Rose, H.A.; Sulem, P.-L. Fully developed turbulence and statistical mechanics. J. Phys. Fr. 1978, 39, 441–484. [Google Scholar] [CrossRef]
- Clark, D.; Ho, R.D.J.G.; Berera, A. Effect of spatial dimension on a model of fluid turbulence. J. Fluid Mech. 2021, 912, A40. [Google Scholar] [CrossRef]
- Leutbecher, M.; Palmer, T.N. Ensemble forecasting. J. Comput. Phys. 2008, 227, 3515–3539. [Google Scholar] [CrossRef]
- Quinn, C.; O’Kane, T.J.; Harries, H. Systematic calculation of finite-time mixed singular vectors and characterization of error growth for persistent coherent atmospheric disturbances over Eurasia. Chaos 2022, 32, 023126. [Google Scholar] [CrossRef]
- Wei, M.; Frederiksen, J.S. Finite-time normal mode disturbances and error growth during Southern Hemisphere blocking. Adv. Atmos. Sci. 2005, 22, 69–89. [Google Scholar] [CrossRef]
- Toth, Z.; Kalnay, E. Ensemble forecasting at NMC: The generation of perturbations. Bull. Am. Meteor. Soc. 1993, 74, 2317–2330. [Google Scholar] [CrossRef]
- Frederiksen, J.S. Covariant Lyapunov Vectors and Finite-Time Normal Modes for Geophysical Fluid Dynamical Systems. Entropy 2023, 25, 244. [Google Scholar] [CrossRef]
- Kalman, R. A New Approach to Linear Filtering and Prediction Problems. ASME J. Basic Eng. 1960, 82, 35–45. [Google Scholar] [CrossRef]
- Lorenc, A. Analysis methods for numerical weather prediction. Q. J. R. Meteorol. Soc. 1986, 112, 1177–1194. [Google Scholar] [CrossRef]
- Anderson, J. An ensemble adjustment Kalman filter for data assimilation. Mon. Weather. Rev. 2001, 129, 2884–2903. [Google Scholar] [CrossRef]
- Ghil, M.; Cohn, S.; Tavantzis, J.; Bube, K.; Isaacson, E. Applications of estimation theory to numerical weather prediction. In Dynamic Meteorology: Data Assimilation Methods; Bengtsson, L., Ghil, M., Källen, E., Eds.; Springer: New York, NY, USA, 1981; 139p. [Google Scholar]
- Evensen, G.; van Leeuwen, P. An Ensemble Kalman smoother for nonlinear dynamics. Mon. Weather Rev. 2000, 128, 1852. [Google Scholar] [CrossRef]
- Kalnay, E. Atmospheric Modelling, Data Assimilation and Predictability; Cambridge University Press: Cambridge, UK, 2003. [Google Scholar]
- Miller, R.; Ghil, M.; Gauthiez, F. Advanced data assimilation in strongly nonlinear dynamical systems. J. Atmos. Sci. 1994, 8, 1037–1056. [Google Scholar] [CrossRef]
- Kitsios, V.; Frederiksen, J.S.; O’Kane, T.J. Subgrid parameterization of eddy, meanfield and topographic interactions in simulations of an idealized Antarctic Circumpolar Current. J. Adv. Model. Earth Syst. 2023, 15, e2022MS003412. [Google Scholar] [CrossRef]
- Zidikheri, M.J.; Frederiksen, J.S. Stochastic subgrid parameterizations for simulations of atmospheric baroclinic flows. J. Atmos. Sci. 2009, 66, 2844–2858. [Google Scholar] [CrossRef]
- Kitsios, V.; Frederiksen, J.S.; Zidikheri, M.J. Subgrid model with scaling laws for atmospheric simulations. J. Atmos. Sci. 2012, 69, 1427–1445. [Google Scholar] [CrossRef]
- Zidikheri, M.J.; Frederiksen, J.S. Stochastic modelling of unresolved eddy fluxes. Geophys. Astrophys. Fluid Dyn. 2010, 104, 323–348. [Google Scholar] [CrossRef]
- Zidikheri, M.J.; Frederiksen, J.S. Stochastic subgrid-scale modelling for non-equilibrium geophysical flows. Phil. Trans. R. Soc. A 2010, 368, 145–160. [Google Scholar] [CrossRef]
- Kitsios, V.; Frederiksen, J.S.; Zidikheri, M.J. Scaling laws for parameterisations of subgrid eddy-eddy interactions in simulations of oceanic circulations. Ocean Model. 2013, 68, 88–105. [Google Scholar] [CrossRef]
- Kitsios, V.; Frederiksen, J.S.; Zidikheri, M.J. Scaling laws for parametrizations of subgrid interactions in simulations of oceanic circulations. Phil. Trans. R. Soc. A 2014, 372, 20130285. [Google Scholar] [CrossRef]
- Kitsios, V.; Frederiksen, J.S.; Zidikheri, M.J. Theoretical comparison of subgrid turbulence in atmospheric and oceanic quasi-geostrophic models. Nonlin. Process. Geophys. 2016, 23, 95–105. [Google Scholar] [CrossRef]
- Kitsios, V.; Sillero, J.A.; Frederiksen, J.S.; Soria, J. Scale and Reynolds number dependence of stochastic subgrid energy transfer in turbulent channel flow. Comput. Fluids 2017, 151, 132–143. [Google Scholar] [CrossRef]
- Perry, A.; Chong, M. On the mechanism of wall turbulence. J. Fluid Mech. 1982, 119, 173–217. [Google Scholar] [CrossRef]
- Tomonaga, S. On a relativistically invariant formulation of the quantum theory of wave fields. Prog. Theoret. Phys. 1946, 1, 27–42. [Google Scholar] [CrossRef]
- Bjorken, J.D.; Drell, S.D. Relativistic Quantum Mechanics; McGraw-Hill: New York, NY, USA, 1964; 300p, ISBN 9780070054936. [Google Scholar]
- Bjorken, J.D.; Drell, S.D. Relativistic Quantum Fields; McGraw-Hill: New York, NY, USA, 1965; 396p. [Google Scholar]
- Aoyama, T.; Kinoshita, T.; Nio, M. Theory of the Anomalous Magnetic Moment of the Electron. Atoms 2019, 7, 28. [Google Scholar] [CrossRef]
- Mandelstam, S. Determination of the pion-nucleon scattering amplitude from dispersion relations and unitarity. General theory. Phys. Rev. 1958, 112, 1344–1360. [Google Scholar] [CrossRef]
- Cutkosky, R.E. Singularities and discontinuities of Feynman amplitudes. J. Math. Phys. 1960, 1, 429–433. [Google Scholar] [CrossRef]
- Frederiksen, J.S.; Woolcock, W.S. The analytic properties of the box diagram amplitude. I. Ann. Phys. 1973, 75, 503–544. [Google Scholar] [CrossRef]
- Frederiksen, J.S.; Woolcock, W.S. The analytic properties of the box diagram amplitude. II. Ann. Phys. 1973, 80, 86–117. [Google Scholar] [CrossRef]
- Frederiksen, J.S. Spectral representation of the pentagon diagram. J. Math. Phys. 1974, 15, 1443–1450. [Google Scholar] [CrossRef]
- Frederiksen, J.S. Double spectral representations of single loop amplitudes with k vertices k ≥ 4. J. Math. Phys. 1974, 15, 1826–1834. [Google Scholar] [CrossRef]
- Frederiksen, J.S. Sommerfeld-Watson representation for double spectral functions. II. Crossing symmetric pion-pion scattering amplitude without Regge poles. Commun. Math. Phys. 1975, 43, 1–16. [Google Scholar] [CrossRef]
- Atkinson, D.; Kaekebeke, M.; Frederiksen, J.S.; Johnson, P.W. Sommerfeld-Watson representation for double-spectral functions. III. Crossing symmetric pion-pion scattering amplitude with Regge poles. Commun. Math. Phys. 1976, 51, 67–84. [Google Scholar] [CrossRef]
- Tourkine, P.; Zhiboedov, A. Scattering amplitudes from dispersive iterations of unitarity. J. High Energy Phys. 2023, 2023, 5. [Google Scholar] [CrossRef]
- Berges, J. Introduction to Nonequilibrium Quantum Field Theory. AIP Conf. Proc. 2004, 739, 3–62. [Google Scholar] [CrossRef]
- Calzetta, E.A.; Hu, B.B. Nonequilibrium Quantum Field Theory; Cambridge University Press: Cambridge, UK, 2008; 535p, ISBN 9780511535123. [Google Scholar] [CrossRef]
- Kofman, L.; Linde, A.; Starbinsky, A.A. Towards the theory of reheating after inflation. Phys. Rev. D 1997, 56, 3258–3295. [Google Scholar] [CrossRef]
- Micha, R.; Tkachev, I.I. Relativistic turbulence: A long way from preheating to equilibrium. Phys. Rev. Lett. 2003, 90, 121301. [Google Scholar] [CrossRef] [PubMed]
- Kofman, L. Preheating after inflation. In Inflationary Cosmology; Lemoine, M., Martin, J., Peter, P., Eds.; Lecture Notes in Physics; Springer: Berlin/Heidelberg, Germany, 2007; Volume 738, pp. 55–79. ISBN 978-3-540-74352-1. [Google Scholar]
- Gasenzer, T. Ultracold gases far from equilibrium. Eur. Phys. J. Spec. Top. 2009, 168, 89–148. [Google Scholar] [CrossRef]
- Berges, J.; Sexty, D. Bose-Einstein condensation in relativistic field theories far from equilibrium. Phys. Rev. Lett. 2012, 108, 161601. [Google Scholar] [CrossRef] [PubMed]
- Arnold, P. Quark-gluon plasmas and thermalization. Int. J. Mod. Phys. E 2007, 16, 2555–2594. [Google Scholar] [CrossRef]
- Schwinger, J. Brownian motion of a quantum oscillator. J. Math. Phys. 1961, 2, 407–432. [Google Scholar] [CrossRef]
- Keldysh, L.V. Diagram technique for nonequilibrium processes. Sov. Phys. JETP 1965, 20, 1018–1026. [Google Scholar]
- Cooper, F.; Khare, A.; Rose, H. Classical limit of time-dependent quantum field theory—A Schwinger-Dyson approach. Phys. Lett. B 2001, 515, 463–469. [Google Scholar] [CrossRef]
- Blagoev, K.B.; Cooper, F.; Dawson, J.F.; Mihaila, B. Schwinger-Dyson approach to nonequilibrium classical field theory. Phys. Rev. D 2001, 64, 125033. [Google Scholar] [CrossRef]
- Mihaila, B.; Dawson, J.F. Resumming the large-N approximation for time evolving quantum systems. Phys. Rev. D 2001, 63, 096003. [Google Scholar] [CrossRef]
- Kraichnan, R.H. Test-field model for inhomogeneous turbulence. J. Fluid Mech. 1972, 56, 287–304. [Google Scholar] [CrossRef]
- Frederiksen, J.S.; Sawford, B.L. Statistical Dynamics of Two-Dimensional Flow on a Sphere. J. Atmos. Sci. 1980, 37, 717–732. [Google Scholar] [CrossRef]





















| Closure Runs | |||
| Isotropic Run | 0 | 0 | 0 |
| Anisotropic Run | 0.5 | 0 | 0 |
| Anisotropic Run | 0.5 | 0.5 | 0 |
| Anisotropic Run | 0.5 | 0.5 | 0.065 |
| Closure Runs | ||||
| Isotropic Run | 304.8 | 263.7 | 0 | 0.735 |
| Anisotropic Run | 304.8 | 263.8 | 0 | 0.734 |
| Anisotropic Run | 304.8 | 263.8 | 0 | 0.735 |
| Anisotropic Run | 304.8 | 265.7 | 0 | 0.690 |
| a | b | ||
transform from obs to model grid | inverse spectral to grid transform transforms from model to obs grid |
Disclaimer/Publisher’s Note: The statements, opinions and data contained in all publications are solely those of the individual author(s) and contributor(s) and not of MDPI and/or the editor(s). MDPI and/or the editor(s) disclaim responsibility for any injury to people or property resulting from any ideas, methods, instructions or products referred to in the content. |
© 2024 by the authors. Licensee MDPI, Basel, Switzerland. This article is an open access article distributed under the terms and conditions of the Creative Commons Attribution (CC BY) license (https://creativecommons.org/licenses/by/4.0/).
Share and Cite
Frederiksen, J.S.; Kitsios, V.; O’Kane, T.J. Statistical Dynamics and Subgrid Modelling of Turbulence: From Isotropic to Inhomogeneous. Atmosphere 2024, 15, 921. https://doi.org/10.3390/atmos15080921
Frederiksen JS, Kitsios V, O’Kane TJ. Statistical Dynamics and Subgrid Modelling of Turbulence: From Isotropic to Inhomogeneous. Atmosphere. 2024; 15(8):921. https://doi.org/10.3390/atmos15080921
Chicago/Turabian StyleFrederiksen, Jorgen S., Vassili Kitsios, and Terence J. O’Kane. 2024. "Statistical Dynamics and Subgrid Modelling of Turbulence: From Isotropic to Inhomogeneous" Atmosphere 15, no. 8: 921. https://doi.org/10.3390/atmos15080921
APA StyleFrederiksen, J. S., Kitsios, V., & O’Kane, T. J. (2024). Statistical Dynamics and Subgrid Modelling of Turbulence: From Isotropic to Inhomogeneous. Atmosphere, 15(8), 921. https://doi.org/10.3390/atmos15080921

