Research of Air Purification Using Ion Energy Effect on Particulate Matter Agglomeration
Abstract
1. Introduction
2. Research Equipment
3. Methodology of Research
- The fan was switched on;
- The air flow speed from 2 m/s was increased by 0.5 m/s to 5 m/s;
- The air flow was supplied from the environment (particle size: 10–2.5 μm);
- Large particles over 10 μm were deposited in the cyclone;
- The measurement of the number of particles was performed in the first measurement zone;
- Next, 1–2 ion generators were enabled (3.84 W);
- After that, 1–2 and 3–4 ion generators were enabled (7.68 W);
- The measurement of the number of particles was performed in the second measurement zone;
- The obtained measurement results from the particle counters in the first and second measurement zones were transferred to the computer;
- An analysis of the measurement results was performed.
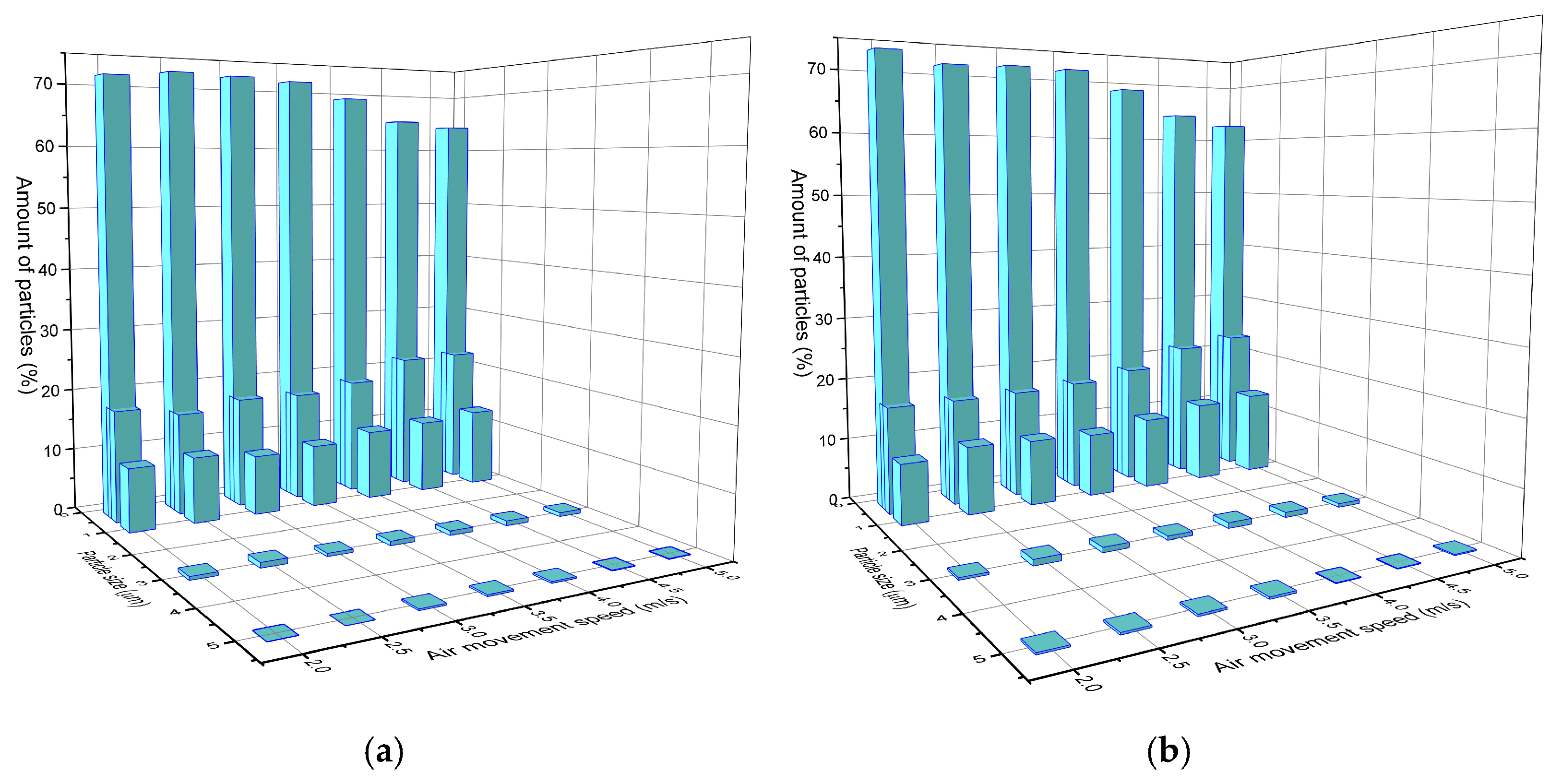
4. Research Results
5. Discussion
6. Conclusions
- It can be concluded that the application of ion generators affects the agglomeration of particles.
- The highest efficiency of agglomeration was observed between particles up to 1 μm in size. The efficiency of particle agglomeration decreased with increasing particle size.
- After using ion generators, the results of particle agglomeration improved even up to 5%.
- The number of ion generators also affected the efficiency of particle agglomeration, because the agglomeration efficiency was different when two and four ion generators are used. Adding two more ion generators to the applied two ion generators increased the e-efficiency of particle agglomeration up to 8%.
- Summarizing the research results, it can be said that it makes sense to use ion generators for particle agglomeration. It also makes sense to continue to conduct research using ion generators.
Author Contributions
Funding
Institutional Review Board Statement
Informed Consent Statement
Data Availability Statement
Conflicts of Interest
References
- Kihong, P.; Kittelson, D.B.; McMurry, P.H. Structural Properties of Diesel Exhaust Particles Measured by Transmission Electron Microscopy (TEM). Relationships to Particle Mass and Mobility. Aerosol Sci. Technol. 2004, 38, 881–889. [Google Scholar] [CrossRef]
- Burtscher, H. Physical characterization of particulate emissions from diesel engines. J. Aerosol Sci. 2005, 36, 896–932. [Google Scholar] [CrossRef]
- Sanchez-Soberon, F.; Rovira, J.; Mari, M.; Sierra, J.; Nadal, M.; Domingo, J.; Schuhmacher, M. Main components and human health risks assessment of PM10, PM2.5, and PM1 in two areas influenced by cement plants. Atmos. Environ. 2015, 120, 109–116. [Google Scholar] [CrossRef]
- Gupta, R.K.; Majumdar, D.; Trivedi, J.V.; Bhanarkar, A.D. Particulate matter and elemental emissions from a cement kiln. Fuel Process. Technol. 2012, 104, 343–351. [Google Scholar] [CrossRef]
- WHO. Frequently Asked Questions: Ambient and Household Air Pollution and Health. Available online: https://www.who.int/vietnam/news/feature-stories/detail/frequently-asked-questions-about-ambient-and-household-air-pollution-and-health (accessed on 18 May 2023).
- Cohen, A.J.; Ross Anderson, H.; Ostro, B.; Pandey, K.D.; Krzyzanowski, M.; Künzli, N.; Gutschmidt, K.; Pope, A.; Romieu, I.; Samet, J.M.; et al. The global burden of disease due to outdoor air pollution. J. Toxicol. Environ. Health 2005, 68, 1301–1307. [Google Scholar] [CrossRef] [PubMed]
- EEA. Air Quality in Europe 2013 Report, EEA Report; EEA: Copenhagen, Denmark, 2013. [Google Scholar] [CrossRef]
- Sierra-Vargas, M.P.; Teran, L.M. Air Pollution: Impact and Prevention. Respirology 2012, 17, 1031–1038. [Google Scholar] [CrossRef] [PubMed]
- World Health Organization. WHO Air Quality Guidelines Global Update 2005; World Health Organization: Bonn, Germany, 2005. [Google Scholar]
- Particulate Matter (PM) Pollution. Available online: https://www.epa.gov/pm-pollution/particulate-matter-pm-basics (accessed on 1 May 2024).
- Pui, D.; Chen, S.; Zuo, Z. PM2.5 in China: Measurments, sources, visibility and health effects, and mitigation. Particuology 2014, 13, 1–26. [Google Scholar] [CrossRef]
- Čereška, A.; Zavadskas, E.K.; Cavallaro, F.; Podvezko, V.; Tetsman, I.; Grinbergienė, I. Sustainable assessment of aerosol pollution decrease applying multiple attribute decision-making methods. Sustainability 2016, 8, 586. [Google Scholar] [CrossRef]
- Dong, S.; Lipkens, B.; Cameron, T.M. The effects of orthokinetic collision, acoustic wake, and gravity on acoustic agglomeration of polydisperse aerosols. J. Aerosol Sci. 2006, 37, 540–553. [Google Scholar] [CrossRef]
- Hoffmann, T.L. An extended kernel for acoustic agglomeration simulation based on the acoustic wake effect. J. Aerosol Sci. 1999, 28, 919–936. [Google Scholar] [CrossRef]
- Hoffmann, T.L. Environmental implications of acoustic aerosol agglomeration. Ultrasonics 2000, 238, 353–357. [Google Scholar] [CrossRef] [PubMed]
- Sheng, C.; Shen, X. Modelling of acoustic agglomeration processes using the direct simulation Mote Carlo method. J. Aerosol Sci. 2006, 37, 16–36. [Google Scholar] [CrossRef]
- Riera, E.; Gonzalez-Gomez, I.; Rodrigue, G.; Gallego-Juarez, J.A. Ultrasonic agglomeration and preconditioning of aerosol particles and other applications. Powder Ultrason. 2023, 38, 861–886. [Google Scholar] [CrossRef]
- Markauskas, D.; Kačianauskas, R.; Maknickas, A. Numerical particle-based analysis of the effects responsible for acoustic particle agglomeration. Adv. Powder Technol. 2015, 26, 698–704. [Google Scholar] [CrossRef]
- Gallego, J.A.; Sarabia, E.R.; Rodriguez, G. Application of acoustic agglomeration to reduce fine particle emissions from coal combustion plants. Environ. Sci. Technol. 1999, 33, 3843–3849. [Google Scholar] [CrossRef]
- Heidenreich, S.; Vogt, U.; Büttner, H. A novel process to separate submicron particles from gases-a cascade of packed columns. Chem. Eng. Sci. 2000, 55, 2895–2905. [Google Scholar] [CrossRef]
- Sarabia, E.R.; Elvira-Segura, L.; Gonzalez-Gomez, I. Investigation of the influence of humidity on the ultrasonic agglomeration of submicron particles in diesel exhausts. Ultrasonics 2003, 41, 277–281. [Google Scholar] [CrossRef] [PubMed]
- Yuen, W.T.; Fu, S.C.; Chao, Y.H. The Effect of Aerosol Size Distribution and Concentration on the Removal Efficiency of an Acoustic Aerosol Removal System. J. Aerosol Sci. 2017, 104, 79–89. [Google Scholar] [CrossRef]
- Bin, H.; Yang, Y.; Zhou, L.; Shen, A.; Cai, L.; Yang, L.; Roszak, S. Experimental and DTF studies of PM2.5 removal by chemical agglomeration. Fuel 2018, 212, 27–33. [Google Scholar] [CrossRef]
- Shen, G.; Huang, X.; He, C.; Zhang, S.; An, L. Experimental study of acoustic agglomeration and fragmentation on coal-fired ash with different particle size distribution. Powder Technol. 2018, 325, 145–150. [Google Scholar] [CrossRef]
- Guo, Q.; Yang, Z.; Zhang, J. Influence of a combined external field on the agglomeration of inhalable particles from a coal combustion plant. Powder Technol. 2012, 227, 67–73. [Google Scholar] [CrossRef]
- Ng, B.F.; Xiong, J.W.; Wan, M.P. Application of acoustic agglomeration to enhance air filtration efficiency in air-conditioning and mechanical ventilation (ACMV) systems. PLoS ONE 2017, 12, e0178851. [Google Scholar] [CrossRef]
- He, M.; Luo, Z.; Wan, H.; Fang, M. The Influences of Acoustic and Pulsed Corona Discharge Coupling Field on Agglomeration of Monodisperse Fine Particles. Appl. Sci. 2020, 10, 1045. [Google Scholar] [CrossRef]
- Wu, Z.; Fan, F.; Yan, J.; Chen, H.; Hu, X.; Su, M. An adaptable direct simulation Monte Carlo method for simulating acoustic agglomeration of solid particles. Chem. Eng. Sci. 2021, 249, 117298. [Google Scholar] [CrossRef]
- Qiu, J.; Tang, L.J.; Cheng, L.; Wang, G.Q.; Li, F.F. Interaction between strong sound waves and cloud droplets: Cloud chamber experiment. Appl. Acoust. 2021, 176, 107891. [Google Scholar] [CrossRef]
- Sun, Z.; Yang, L.J.; Wu, X. Promoting the removal of fine particles by turbulent agglomeration with the coupling of different-scale vortexes. Powder Technol. 2020, 367, 399–410. [Google Scholar] [CrossRef]
- Sun, Z.; Yang, L.; Wu, H.; Wu, X. Agglomeration and removal characteristics of fine particles from coal combustion under different turbulent flow fields. J. Environ. Sci. 2020, 89, 113–124. [Google Scholar] [CrossRef]
- Zhu, L.; Tang, Y. Effects of acoustic fields on the dynamics of micron-sized particles in a fluidized bed. Powder Technol. 2020, 372, 625–637. [Google Scholar] [CrossRef]
- Li, K.; Wang, E.; Wang, Q.; Husnain, N.; Deli, L.; Fareed, S. Improving the removal of inhalable particles by combining flue gas condensation and acoustic agglomeration. J. Clean. Prod. 2020, 261, 121270. [Google Scholar] [CrossRef]
- Khmelev, V.N.; Shalunov, A.V.; Nesterov, V.A. Improving the performance of air purification efficiency from fine-dispersed particles by ultrasonic exposure in swirling flow. Int. J. Environ. Sci. Technol. 2020, 17, 3927–3934. [Google Scholar] [CrossRef]
- Liu, H.; Li, Z.; Tan, H.; Yang, F.; Feng, P.; Du, Y.; Ren, M.; Dong, M. Experimental investigation on a novel agglomeration device based on charged ultrasonic spray and vortex generators for improving the removal of fine particles. Fuel 2021, 287, 119549. [Google Scholar] [CrossRef]
- Khmelev, V.N.; Nesterov, V.A.; Bochenkov, A.S.; Shalunov, A.V. The Limits of Fine Particle Ultrasonic Coagulation. Symmetry 2021, 13, 1607. [Google Scholar] [CrossRef]
- Sun, Z.; Yang, L.; Shen, A.; Zhou, L.; Wu, H. Combined effect of chemical and turbulent agglomeration on improving the removal of fine particles by different coupling mode. Powder Technol. 2019, 344, 242–250. [Google Scholar] [CrossRef]
- Zheng, J.; Li, Y.; Wan, Z.; Hong, W.; Wang, L. Modification of the agglomeration kernel and simulation of the flow pattern in acoustic field with fine particles. Powder Technol. 2019, 356, 930–940. [Google Scholar] [CrossRef]
- Qu, G.N.; Fan, F.X.; Zhang, S.H.; Su, M.X. Interaction between monodisperse fine particles in a standing wave acoustic field. Acta Phys. Sin. 2020, 69, 064704. [Google Scholar] [CrossRef]
- El-Emam, M.A.; Shi, W.; Zhou, L. CFD-DEM simulation and optimization of gas-cyclone performance with realistic macroscopic particulate matter. Adv. Powder Technol. 2019, 30, 2686–2702. [Google Scholar] [CrossRef]
- Li, F.; Jin, L. Application of COMSOL Multiphysics numerical simulation method on dust control. In Proceedings of the 2010 International Conference on Computer Application and System Modeling (ICCASM 2010), Taiyuan, China, 22–24 October 2010; Volume 14, pp. 425–428. [Google Scholar] [CrossRef]
- Rudžionis, Ž.; Ivanauskas, E.; Navickas, A.A. Influence of Cement Kiln Dust and Shale Ash on the Cement Stone Properties. In Proceedings of the 10th International Conference on Modern Building Materials, Structures and Techniques, Vilnius Gediminas Technical University, Department of Construction Economics & Property, Vilnius, Lithuania, 19–21 May 2010; p. 270. [Google Scholar]
- Constantinides, G.; Ulm, F.J. The effect of two types of C-S-H on the elasticity of cement-based materials: Results from nanoindentation and micromechanical modeling. Cem. Concr. Res. 2004, 34, 67–80. [Google Scholar] [CrossRef]
- Kapusta, M.; Skrzypkowski, K. Determination of the Salt-Dust Emission and the Efficiency of the Dedusting Installation in the Wieliczka Salt Mine. Energies 2022, 15, 8122. [Google Scholar] [CrossRef]















| Technical Characteristics | Value |
|---|---|
| Operating frequency | 35 kHz |
| Voltage | 6 kV |
| Power supply voltage | 12 V |
| Current | 4–20 mA |
| Parameter | Value | References, Source |
|---|---|---|
| Density, | Rudžionis et al. [42] | |
| Young’s modulus, | Constantinides and Ulm [43] | |
| Poisson’s ratio, | 0.24 | Constantinides and Ulm [43] |
| Number of Generators | Voltage (V) | Current (mA) | Power (W) |
|---|---|---|---|
| 1 | 12 | 0.16 | 1.92 |
| 1–2 | 12 | 0.32 | 3.84 |
| 1–2–3–4 | 12 | 0.64 | 7.68 |
Disclaimer/Publisher’s Note: The statements, opinions and data contained in all publications are solely those of the individual author(s) and contributor(s) and not of MDPI and/or the editor(s). MDPI and/or the editor(s) disclaim responsibility for any injury to people or property resulting from any ideas, methods, instructions or products referred to in the content. |
© 2024 by the authors. Licensee MDPI, Basel, Switzerland. This article is an open access article distributed under the terms and conditions of the Creative Commons Attribution (CC BY) license (https://creativecommons.org/licenses/by/4.0/).
Share and Cite
Čereška, A.; Tetsmann, I.; Bareikis, R.; Jasevičius, R. Research of Air Purification Using Ion Energy Effect on Particulate Matter Agglomeration. Atmosphere 2024, 15, 915. https://doi.org/10.3390/atmos15080915
Čereška A, Tetsmann I, Bareikis R, Jasevičius R. Research of Air Purification Using Ion Energy Effect on Particulate Matter Agglomeration. Atmosphere. 2024; 15(8):915. https://doi.org/10.3390/atmos15080915
Chicago/Turabian StyleČereška, Audrius, Ina Tetsmann, Regimantas Bareikis, and Raimondas Jasevičius. 2024. "Research of Air Purification Using Ion Energy Effect on Particulate Matter Agglomeration" Atmosphere 15, no. 8: 915. https://doi.org/10.3390/atmos15080915
APA StyleČereška, A., Tetsmann, I., Bareikis, R., & Jasevičius, R. (2024). Research of Air Purification Using Ion Energy Effect on Particulate Matter Agglomeration. Atmosphere, 15(8), 915. https://doi.org/10.3390/atmos15080915

