COAT Project: Intercomparison of Thermometer Radiation Shields in the Arctic
Abstract
1. Introduction
- -
- To test and evaluate as many radiation shields, commonly used by national weather services, as possible, at the same location and time under polar conditions.
- -
- To update the knowledge on the performance characteristics and operational factors of radiation shields in Arctic conditions.
- -
- To estimate the relative different impacts of solar radiation, wind speed and precipitation on air temperature measurements inside different models of radiation shields.
2. Intercomparison Field, Data and Methods
2.1. Intercomparison Field
- -
- Lower than 5 m/s for the 34.45% of the events;
- -
- In the interval (5, 10) m/s for the 42.18% of the events;
- -
- In the interval (10, 15) m/s for the 18.08% of the events;
- -
- In the interval (15, 20) m/s in the 4.19% of the events;
- -
- Higher than 20 m/s for the 1.1% of the events.
2.2. Instrumentation
2.3. Data Acquisition
- -
- The ventilation in the pole 4 shield stopped working since almost the beginning of the comparison (around the 20 July). As the pole 10 shield is the same model as the one at pole 4, this comparison provides information of the same model shield under two different configurations: natural ventilated and artificial ventilated.
- -
- On the 26 August, the power supply applied to datalogger A failed, and it was changed the 2 September.
- -
- On 1 February 2023, a new radiation shield was included in the comparison (pole 15), which was installed by National Research Council, Institute of Polar Sciences (CNR-IPS) local staff.
- -
- On 6 February 2023, after a big storm, the shield and the three corresponding thermometers (Pt-100) in pole 8 disappeared. The drift of these thermometers could not be evaluated.
- -
- On 1 April 2023, datalogger B, related to poles 11 and 19, stopped working. The manufacturer sent a new datalogger that was deployed the 20 May. Unfortunately, the configuration of the new datalogger sampled the data every 10 min instead of every 2 min. This fact could not be checked until the final field campaign due to the communication between the local computer, and the new datalogger B could not be arranged remotely. All the data were kept at the internal memory of the datalogger, and these data were downloaded after the field campaign.
- -
- From 12 April to 19 April, the local PC lost its power supply, and the recovery took some time due to bad meteorological conditions.
- -
- From 14 May 2023 to 28 May 2023, the internal memory of the dataloggers was almost full, which created some irregularities in the sampling time interval, and data from some channels were lost. The usual dataloggers working was reached after the internal memory was cleared out by CNR-IPS local staff.
- -
- In September 2023, when the experiment was dismantled, the thermometer of the shield in pole 3 was found on the ground. By its measurements (provided along all the comparison period), the date the thermometer fell to the ground was estimated: the 4 October 2022. The shield at pole 3 (Pt-100 black) is the same model as the shield at pole 2 (usual pt-100). Although this paper cannot provide a complete analysis of this shield in terms of residual inner solar radiation, important information about its behavior is still included in this report.
2.4. Data Quality Control
- Null data. For Pt-100, null data are considered when the resistance value is equal to zero or when the resistance value is void. In the case of thermometers with digital output, null data are considered when there are no data.
- Erroneous data. Erroneous data are only applicable to Pt-100 and includes the data having exactly the same figure as the previous one. The fluke dataloggers record resistance values with a resolution of 0.1 mΩ (~0.25 mK). The probability of having two consecutive resistance values with the same figure is considered negligible, and this fact was contemplated as a wrong value.
- Inconsistency data: Resistance values out of the temperature range (−40, 40) °C.
- High variability of the data: Data variation higher than 5 °C in relation to the previous value.
3. Experimental Results and Discussion
3.1. Reference Screen
- Covering long comparison period (Table 1);
- Redundant shields deployed in the comparison field. Same model shields at pole 1 and at pole 18 (Table 1);
- Amount of available data after the data quality control check;
- Colder daily maximum temperatures and the dispersion of the measurements (Figure 5a);
- Warmer daily minimum temperatures and the dispersion of the measurements (Figure 5a);
- Reliability of the measurements provided by the two thermometers included in the shield and thermal homogeneity inside the shield (Figure 5b).
3.2. Comparison of the Shields under Daily Maximum and Minimum Air Temperature Values
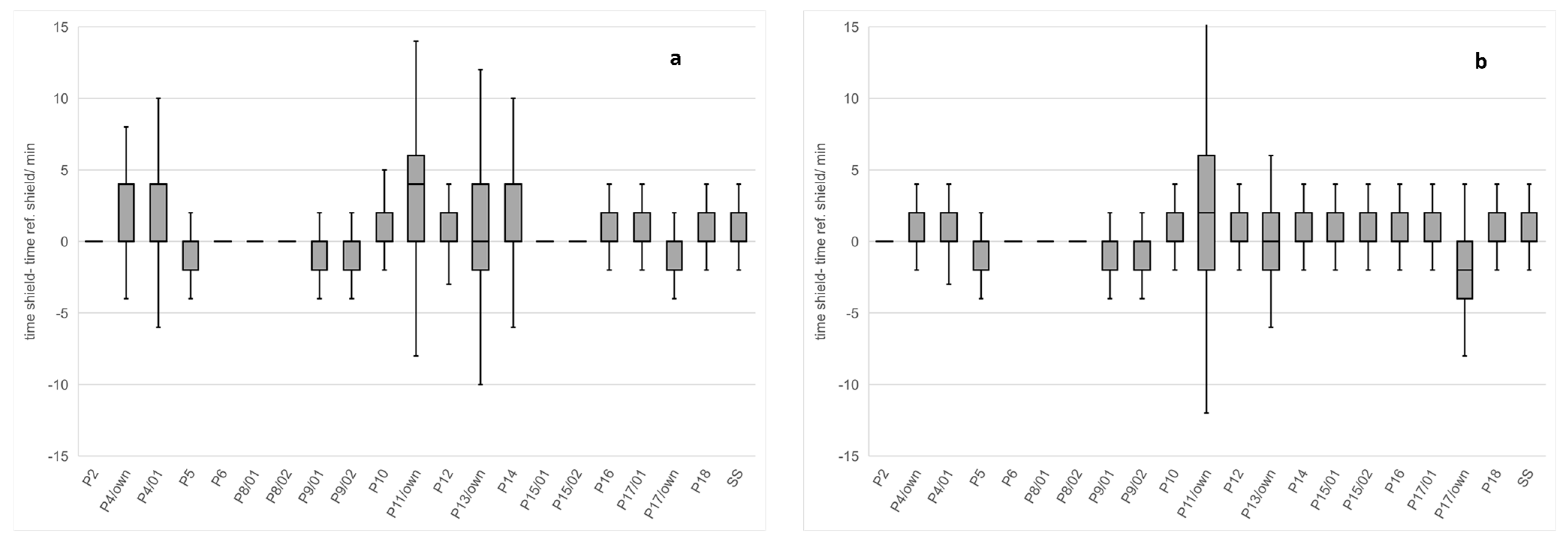
3.3. Lag-Time Response
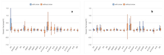
3.4. Effect of Ground Covered by Snow on the Behavior of the Shields
3.5. Direct Solar Irradiance Impact on the Performance of the Shields
- -
- Impact of the solar irradiance on the shield performance in relation to the reference shield.
- -
- Impact of the wind speed on the shield performance.
- -
- The presence of residual solar radiation inside each shield model is derived by the difference between the readings of the black Pt-100 and the usual Pt-100s.
- -
- Shield performance for different thermometers.
- -
- Reliability of the temperature measurements inside the shield with two Pt-100.
- -
- Each of the figures (Figure 11a–j) includes a comparison of the same model shield under different configurations.

3.5.1. Comparison of Shields at Pole 1 (Reference Shield) and at Pole 18
3.5.2. Comparison of Shields at Pole 2 and at Pole 3 to the Reference One
3.5.3. Comparison of Shields at Pole 4 and at Pole 10 to the Reference One
3.5.4. Comparison of Shields at Pole 5, at Pole 16 and at Pole 17 to the Reference One
3.5.5. Comparison of Shields at Pole 6, at Pole 7 and at Pole 11 to the Reference One
3.5.6. Comparison of Shields at Pole 8 and at Pole 9 to the Reference One
3.5.7. Comparison of Shields at Pole 12 to the Reference One
3.5.8. Comparison of Shields at Pole 13 and at Pole 14 to the Reference One
3.5.9. Comparison of Shields at Pole 15 to the Reference One
3.5.10. Comparison of Stevenson Screen to the Reference One
3.6. Uncertainties
3.6.1. Uncertainty Contribution Due to the Standard Deviation of the Differences between the Shield under Study and the Reference Shield, u(ti − treference)
3.6.2. Uncertainty Contribution Due to the Calibration of the Thermometers, u(δtref,calibration), u(δti,calibration)
3.6.3. Uncertainty Contribution Due to the Drift of the Thermometers, u(δtref,drift), u(δti,drift)
3.6.4. Uncertainty Contribution Due to the Readings during the Field Campaign, u(δtref,reading system), u(δti,reading system)
3.6.5. Uncertainty Contribution Due to the Thermal Homogeneity of the Comparison Field, u(δtthermal homogeneity of the compariosn field)
4. Conclusions
Supplementary Materials
Author Contributions
Funding
Institutional Review Board Statement
Informed Consent Statement
Data Availability Statement
Conflicts of Interest
References
- Standing Committee on Measurements, Instrumentation and Traceability (SC-MINT). Available online: https://community.wmo.int/en/governance/commission-membership/INFCOM/Officers/Management-Group/SC-MINT (accessed on 13 May 2024).
- Commission for Instruments and Methods of Observations. 17th Session, Amsterdam, 12–16 October 2018. WMO-n° 1227. Available online: https://library.wmo.int/records/item/56292-commission-for-instruments-and-methods-of-observation?offset=4 (accessed on 13 May 2024).
- Lacombe, M.; Bousri, D.; Leroy, M.; Mezred, M. Instruments and Observing Methods. Report n° 106; WMO Field Intercomparison of Thermometer Screens/Shields and Humidity Measuring Instruments: Geneva, Switzerland, 2011. [Google Scholar]
- Van der Meulen, J.P.; Brandsma, T. Thermometer screen intercomparison in De Bilt (The Netherlands), Part I: Understanding the weather-dependent temperature differences. Int. J. Climatol. 2008, 28, 371–387. [Google Scholar] [CrossRef]
- Brandsma, T.; Van der Meulen, J.P. Thermometer screen intercomparison in De Bilt (The Netherlands), Part II: Description and modelling of mean temperature differences and extremes. Int. J. Climatol. 2008, 28, 389–400. [Google Scholar] [CrossRef]
- de Haij, M.; Bijma, J.; Proksch, N. (Too) Hot or Not? Field Experiment with the KNMI Thermometer Screen. Available online: https://www.knmi.nl/kennis-en-datacentrum/publicatie/too-hot-or-not-field-experiment-with-the-knmi-thermometer-screen (accessed on 13 May 2024).
- Kaspar, F.; Hannak, L.; Screiber, K.-J. Climate Reference Stations in Germany: Status, Parallel Measurements and Homogeneity of Temperature Time Series. Available online: https://www.adv-sci-res.net/13/163/2016/asr-13-163-2016.pdf (accessed on 13 May 2024).
- Hoover, J.; Yao, L. Aspirated and non-aspirated automatic weather station Stevenson screen intercomparison. Int. J. Climatol. 2018, 38, 2686–2700. [Google Scholar] [CrossRef]
- Available online: https://www.euramet.org/research-innovation/search-research-projects/details/?tx_eurametctcp_project[project]=1679 (accessed on 13 May 2024).
- Merlone, A.; Lopardo, G.; Sanna, F.; Bell, S.; Benyon, R.; Bergerud, R.A.; Bertiglia, F.; Bojkovski, J.; Böse, N.; Brunet, M.; et al. The MeteoMet project–metrology for meteorology: Challenges and results. Meteorol. Appl. 2015, 22, 820–829. [Google Scholar] [CrossRef]
- Merlone, A.; Sanna, F.; Beges, G.; Bell, S.; Beltramino, G.; Bojkovski, J.; Brunet, M.; Del Campo, D.; Castrillo, A.; Chiodo, N.; et al. The MeteoMet2 project–Highlights and results. Meas. Sci. Technol. 2018, 29, 025802. [Google Scholar] [CrossRef]
- Annex 1G of the WMO GIMO Guide to Instruments and Methods of Observation, (WMO-No. 8), 2023 Edition. Available online: https://library.wmo.int/viewer/68695/?offset=1#page=1&viewer=picture&o=bookmark&n=0&q= (accessed on 13 May 2024).
- Maturilli, M.; Herber, A.; König-Langlo, G. Surface radiation climatology for Ny-Ålesund, Svalbard (78.9° N), basic observations for trend detection. Theor. Appl. Climatol. 2015, 120, 331–339. [Google Scholar] [CrossRef]
- Mazzola, M.; Viola, A.P.; Lanconelli, C.; Vitale, V. Atmospheric observations at the Amundsen-Nobile Climate Change Tower in Ny-Ålesund, Svalbard. Rend. Fis. Acc. Lincei 2016, 27 (Suppl. S1), 7–18. [Google Scholar] [CrossRef]
- Norsk Klima Service Center. Available online: https://seklima.met.no/ (accessed on 13 May 2024).
- Astronomical Calculations: Solar Coordinates. Available online: https://squarewidget.com/solar-coordinates/ (accessed on 13 May 2024).
- NOAA Solar Calculator. Available online: https://gml.noaa.gov/grad/solcalc/ (accessed on 13 May 2024).
- WMO-N°8 WMO Guide to Meteorological Instruments and Methods of Observations, Part I, Chapter I, Annex 1D, 2021 Edition. Available online: https://library.wmo.int/idurl/4/68695 (accessed on 25 January 2024).
- Coppa, G.; Quarello, A.; Steeneveld, G.; Jandrić, N.; Merlone, A. Metrological evaluation of the effect of the presence of a road on near-surface air temperatures. Int. J. Clim. 2021, 41, 3705–3724. [Google Scholar] [CrossRef]
- Garcia Izquierdo, C.; Coppa, G.; Hernández, S.; Merlone, A. Metrological Evaluation of the Building Influence on Air Temperature Measurements. Atmosphere 2024, 15, 209. [Google Scholar] [CrossRef]
- EN 60751:2008; Industrial Platinum Resistance Thermometers and Platinum Temperature Sensors. IEC: Geneva, Switzerland, 2007.
- Nicholas, J.V.; White, D.R. Traceable Temperatures: An introduction to temperature measurement and calibration, 2nd ed. Meas. Sci. Technol. 2002, 13, 1651. [Google Scholar] [CrossRef]
- Guide to the Realization of the ITS-90.BIPM/CCT:2018. Available online: https://www.bipm.org/documents/20126/41773843/Guide_ITS-90_5_SPRT_2021.pdf/c4bbbe56-4118-eef7-47cb-3ea234db40b8 (accessed on 25 January 2024).
- Izquierdo, C.G.; Hernández, S.; González, A.; Matias, L.; Šindelářová, L.; Strnad, R.; del Campo, D. Evaluation of the self-heating effect in a group of thermometers used in meteorological and climate applications. Meteorol. Appl. 2019, 26, 117–129. [Google Scholar] [CrossRef]
- JCGM 200:2012; International Vocabulary of Metrology—Basic and General Concepts and Associated Terms (VIM). 3rd ed. JCGM 200:2008 with Minor Corrections. Joint Committee for Guides in Metrology: Sèvres, France, 2012. Available online: http://www.bipm.org/utils/common/documents/jcgm/JCGM_200_2012.pdf (accessed on 25 January 2024).
- JCGM 100:2008; Evaluation of Measurement Data—Guide to the Expression of Uncertainty in Measurement. Joint Committee for Guides in Metrology: Sèvres, France. Available online: http://www.bipm.org/utils/common/documents/jcgm/JCGM_100_2008_E.pdf (accessed on 25 January 2024).
- ISO 17714:2007; Meteorlogy-Air Temperature Measurements—Test Methods for Comparing the Performance of Thermometer Shields/Screens and Defining Important Characteristics. ISO: Geneva, Switzerland, 2007.
- Buisan, S.T.; Azorin-Molina, C.; Jimenez, Y. Impact of two different sized stevenson screens on air temperature measurements. Int. J. Climatol. 2015, 35, 4408–4416. [Google Scholar] [CrossRef]
- Perry, M.C.; Prior, M.J.; Parker, D.E. An assessment of the suitability of a plastic thermometer screen for climatic data collection. Int. J. Climatol. 2007, 27, 267–276. [Google Scholar] [CrossRef]
- Harrison, R.G. Natural ventilation effects on temperatures within Stevenson screens. Q. J. R. Meteorol. Soc. 2010, 136, 253–259. [Google Scholar] [CrossRef]
- Harrison, R.G. Lag-time effects on a naturally ventilated large thermometer screen. Q. J. R. Meteorol. Soc. 2011, 137, 402–408. [Google Scholar] [CrossRef]
- Harrison, R.G.; Burt, S.D. Quantifying uncertainties in climate data: Measurement limitations of naturally ventilated thermometer screens. Environ. Res. Commun. 2021, 3, 061005. [Google Scholar] [CrossRef]










| Pole | Type of Shield | Ventilation | Pt-100 | Pt-100 Black | Other Thermometer | Datalogger | Comparison Period | Comments |
|---|---|---|---|---|---|---|---|---|
| 1 | round multiplate | natural | P1/01, P1/02 | P1/03b | 0 | fluke 1586A (n° 2) | 16 July 2022–31 August 2023 | shield same model as 18 |
| 2 | round multiplate | natural | P2/01 | 0 | 0 | fluke 1586A (n° 2) | 16 July 2022–31 August 2023 | shield same model as 3 |
| 3 | round multiplate | natural | 0 | P3/01b | 0 | fluke 1586A (n° 3) | 16 July 2022–31 January 2023 | shield same model as 2 |
| 4 | round multiplate | natural | P4/01 | P4/02b | P4/own: Pt-100 | fluke 1586A (n° 2) | 16 July 2022–31 August 2023 | shield same model as 10 |
| 5 | round multiplate | natural | P5/01, P5/02 | P5/03b | 0 | fluke 1586A (n° 2) | 16 July 2022–31 August 2023 | shield same model as 16 and 17 |
| 6 | round multiplate | natural | P6/01 | 0 | 0 | fluke 1586A (n° 2) | 16 July 2022–31 August 2023 | shield same model as 7 and 11 |
| 7 | round multiplate | natural | 0 | P7/01b | 0 | fluke 1586A (n° 2) | 16 July 2022–31 August 2023 | shield same model as 6 and 12 |
| 8 | round multiplate | natural | P8/01, P8/02 | P8/03b | 0 | fluke 1586A (n° 2) | 16 July 2022–6 February 2023 | |
| 9 | round multiplate | natural | P9/01, P9/02 | P9/03b | 0 | fluke 1586A (n° 2) | 16 July 2022–31 August 2023 | |
| 10 | round multiplate | active (12 V) | P10/01, P10/02 | P10/03b | 0 | fluke 1586A (n° 3) | 16 July 2022–31 August 2023 | shield same model as 4 |
| 11 | round multiplate | natural | 0 | 0 | P11/own: T&HR sensor (20 V) | own datalogger A | 16 July 2022–1 April 2023, 20 May 23–31 August 2023 | shield same model as 6 and 7 |
| 12 | round multiplate | active (12 V) | P12/01 | P12/02b | 0 | fluke 1586A (n° 3) | 16 July 2022–31 August 2023 | |
| 13 | Specific design | active (20 V) | 0 | 0 | P13/own: T&HR sensor (20 V) | fluke 1586A (n° 3) | 16 July 2022–31 August 2023 | shield same model as 14 |
| 14 | Specific design | active (20 V) | P14/01 | 0 | 0 | fluke 1586A (n° 3) | 16 July 2022–31 August 2023 | shield same model as 13 |
| 15 | round multiplate | natural | P15/01, P15/02 | P15/03b | 0 | fluke 1586A (n° 1) | 1 February 2023–31 August 2023 | |
| 16 | round multiplate | natural | P16/01, P16/02 | P16/03b | 0 | fluke 1586A (n° 3) | 16 July 2022–31 August 2023 | shield same model as 8 and 17 |
| 17 | round multiplate | natural | P17/01 | 0 | P17/own: Pt-100 and T&HR sensor | P17/01: fluke 1586A (n° 3). P17/own: own datalogger B | 16 July 2022–31 August 2023 | shield same model as 8 and 16 |
| 18 | round multiplate | natural | P18/01, P18/02 | P18/03b | 0 | fluke 1586A (n° 3) | 16 July 2022–31 August 2023 | shield same model as 1 |
| Stevenson screen | wood | natural | SS/01, SS/02 | 0 | 0 | fluke 1586A (n° 1) | 16 July 2022–31 August 2023 |
| Percentage of Lost Data: Fluke | Percentage of Lost Data: Datalogger A | Percentage of Lost Data: Datalogger B | |
|---|---|---|---|
| July 2022 | 9.3 | 9.7 | 11.3 |
| August 2022 | 1.0 | 17.9 | 4.3 |
| September 2022 | 0.0 | 5.3 | 0.1 |
| October 2022 | 0.0 | 0.0 | 0.0 |
| November 2022 | 0.0 | 0.0 | 0.0 |
| December 2022 | 0.0 | 0.0 | 0.0 |
| January 2023 | 0.0 | 0.0 | 0.0 |
| February 2023 | 0.3 | 0.0 | 0.0 |
| March 2023 | 0.1 | 0.0 | 0.1 |
| April 2023 | 25.3 | 96.7 | 25.3 |
| May 2023 | 39.1 | 58.8 | 39.1 |
| June 2023 | 2.0 | 0.0 | 0.0 |
| July 2023 | 2.3 | 0.4 | 0.0 |
| August 2023 | 0.0 | 0.0 | 0.0 |
| total | 5.5 | 33.8 | 5.5 |
| total without July 2022 | 5.3 | 10.1 | 5.2 |
| Downward Shortwave Radiation Lower Limit Values. Values Based on [13] (W/m2) | ||||||
|---|---|---|---|---|---|---|
| March | April | May | June | July | August | September |
| 50 | 100 | 175 | 200 | 175 | 100 | 50 |
| Polar Night | v < 2 m/s | v ϵ [2, 5) m/s | v ≥ 5 m/s | |
|---|---|---|---|---|
| difference to ref. shield, P2, (°C) | 0.00 | 0.93 | 0.24 | 0.16 |
| difference to ref. shield, P4/own, (°C) | −0.11 | 0.09 | 0.03 | 0.04 |
| difference to ref. shield, P4/01, (°C) | −0.13 | 0.07 | 0.01 | −0.01 |
| difference to ref. shield, P5, P16 = (P5/01 + P5/02 + P16/01 + P16/02)/4, (°C) | 0.03 | −0.11 | 0.00 | 0.01 |
| difference to ref. shield, P6, (°C) | 0.03 | 1.29 | 0.46 | 0.29 |
| difference to ref. shield, P8 = P8/01, (°C) | 0.00 | 0.01 | 0.05 | 0.05 |
| difference to ref. shield, P9 = P9/02, (°C) | 0.01 | 0.05 | 0.03 | 0.06 |
| difference to ref. shield, P10 = (P10/01 + P10/02)/2, (°C) | 0.00 | −0.29 | −0.03 | −0.05 |
| difference to ref. shield, P11/own, (°C) | −0.05 | 0.97 | −0.04 | −0.02 |
| difference to ref. shield, P12, (°C) | 0.21 | 1.04 | 0.64 | 0.45 |
| difference to ref. shield, P13/own, (°C) | −0.01 | 0.11 | 0.20 | 0.16 |
| difference to ref. shield, P14, (°C) | −0.01 | 0.24 | 0.06 | 0.10 |
| difference to ref. shield, P15 = P15/01 + P15/02)/2, (°C) | 1.01 | 0.42 | 0.19 | |
| difference to ref. shield P17/own, (°C) | 0.08 | −0.20 | −0.01 | 0.00 |
| difference to ref. shield, P18 = (P18/01 + P18/02)/2, (°C) | 0.00 | 0.05 | 0.00 | −0.02 |
| difference to ref. shield, SS = (SS/01 + SS/02)/2, (°C) | −0.03 | 0.05 | 0.02 | 0.01 |
| Polar Night | v < 2 m/s | v ϵ [2, 5) m/s | v ≥ 5 m/s | |
|---|---|---|---|---|
| U(P2-ref. shield), k = 2 (°C) | 0.22 | 0.76 | 0.34 | 0.36 |
| U(P4/own-ref. shield), k = 2 (°C) | 0.66 | 0.64 | 0.73 | 0.65 |
| U(P4/01-ref. shield), k = 2 (°C) | 0.66 | 0.64 | 0.73 | 0.65 |
| U(P5, P16-ref. shield), k = 2 (°C) | 0.31 | 0.41 | 0.39 | 0.31 |
| U(P6-ref. shield), k = 2 (°C) | 0.22 | 1.1 | 0.54 | 0.82 |
| U(P8-ref. shield), k = 2 (°C) | 0.20 | 0.20 | 0.24 | 0.17 |
| U(P9-ref. shield), k = 2 (°C) | 0.27 | 0.31 | 0.33 | 0.26 |
| U(P10-ref. shield), k = 2 (°C) | 0.63 | 0.68 | 0.65 | 0.61 |
| U(P11/own-ref. shield), k = 2 (°C) | 0.62 | 1.2 | 1.0 | 0.58 |
| U(P12-ref. shield), k = 2 (°C) | 0.46 | 1.0 | 0.60 | 0.65 |
| U(P13/own-ref. shield), k = 2 (°C) | 0.58 | 0.66 | 0.69 | 0.68 |
| U(P14-ref. shield), k = 2 (°C) | 0.58 | 0.50 | 0.56 | 0.58 |
| U(P15-ref. shield), k = 2 (°C) | 0.87 | 0.75 | 0.91 | |
| U(P17/own-ref. shield), k = 2 (°C) | 0.35 | 0.46 | 0.44 | 0.33 |
| U(P18-ref. shield), k = 2 (°C) | 0.31 | 0.30 | 0.35 | 0.27 |
| U(SS-ref. shield), k = 2 (°C) | 0.30 | 0.59 | 0.33 | 0.30 |
Disclaimer/Publisher’s Note: The statements, opinions and data contained in all publications are solely those of the individual author(s) and contributor(s) and not of MDPI and/or the editor(s). MDPI and/or the editor(s) disclaim responsibility for any injury to people or property resulting from any ideas, methods, instructions or products referred to in the content. |
© 2024 by the authors. Licensee MDPI, Basel, Switzerland. This article is an open access article distributed under the terms and conditions of the Creative Commons Attribution (CC BY) license (https://creativecommons.org/licenses/by/4.0/).
Share and Cite
García Izquierdo, C.; Hernandez, S.; Parrondo, M.; Casas, A.; Viola, A.; Mazzola, M.; Merlone, A.; Roulet, Y.-A. COAT Project: Intercomparison of Thermometer Radiation Shields in the Arctic. Atmosphere 2024, 15, 841. https://doi.org/10.3390/atmos15070841
García Izquierdo C, Hernandez S, Parrondo M, Casas A, Viola A, Mazzola M, Merlone A, Roulet Y-A. COAT Project: Intercomparison of Thermometer Radiation Shields in the Arctic. Atmosphere. 2024; 15(7):841. https://doi.org/10.3390/atmos15070841
Chicago/Turabian StyleGarcía Izquierdo, Carmen, Sonia Hernandez, Marina Parrondo, Alberto Casas, Angelo Viola, Mauro Mazzola, Andrea Merlone, and Yves-Alain Roulet. 2024. "COAT Project: Intercomparison of Thermometer Radiation Shields in the Arctic" Atmosphere 15, no. 7: 841. https://doi.org/10.3390/atmos15070841
APA StyleGarcía Izquierdo, C., Hernandez, S., Parrondo, M., Casas, A., Viola, A., Mazzola, M., Merlone, A., & Roulet, Y.-A. (2024). COAT Project: Intercomparison of Thermometer Radiation Shields in the Arctic. Atmosphere, 15(7), 841. https://doi.org/10.3390/atmos15070841

