Complexity and Nonlinear Dependence of Ionospheric Electron Content and Doppler Frequency Shifts in Propagating HF Radio Signals within Equatorial Regions
Abstract
1. Introduction
2. Methodology
2.1. Data and Study Area
2.2. Complex Measures
2.3. Linear and Dynamical Coupling
3. Results and Discussion
3.1. Ionospheric Conditions
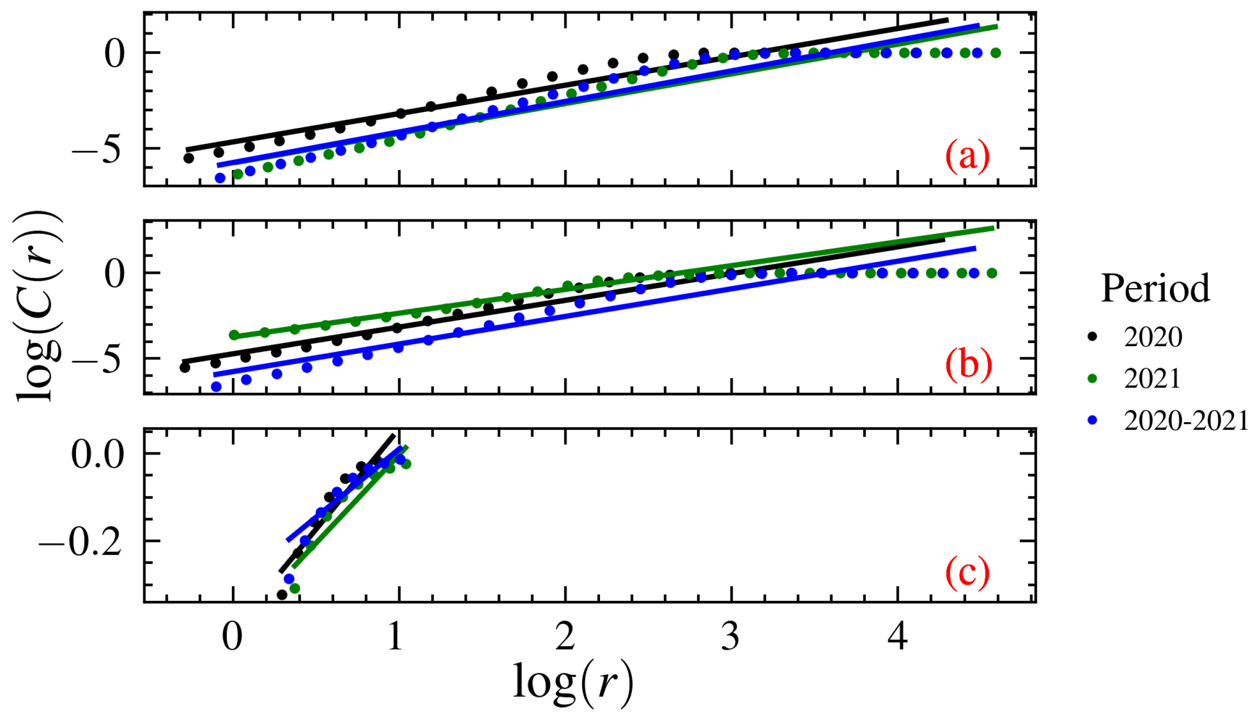
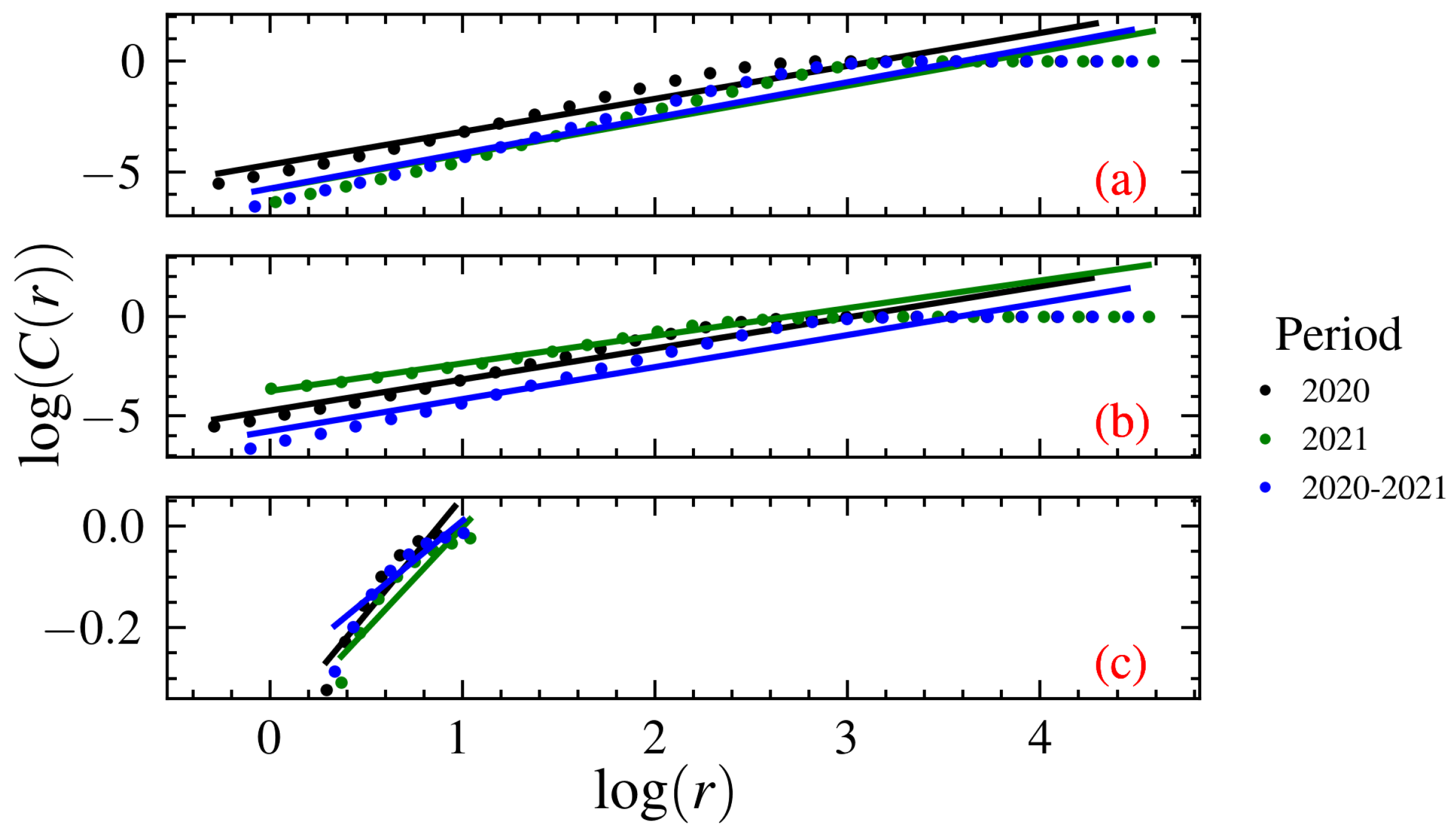
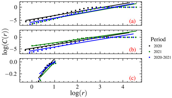
3.2. Complex Measures
3.3. Linear and Dynamic Coupling
4. Conclusions
Author Contributions
Funding
Institutional Review Board Statement
Informed Consent Statement
Data Availability Statement
Acknowledgments
Conflicts of Interest
References
- Heelis, R.; Maute, A. Challenges to understanding the Earth’s ionosphere and thermosphere. J. Geophys. Res. Space Phys. 2020, 125, e2019JA027497. [Google Scholar] [CrossRef]
- Ogunjo, S.; Dada, J.; Oluyamo, S.; Fuwape, I. Tropospheric delay in microwave propagation in Nigeria. Arab. J. Geosci. 2021, 14, 1542. [Google Scholar] [CrossRef]
- Yiğit, E.; Knížová, P.K.; Georgieva, K.; Ward, W. A review of vertical coupling in the Atmosphere–Ionosphere system: Effects of waves, sudden stratospheric warmings, space weather, and of solar activity. J. Atmos. Sol.-Terr. Phys. 2016, 141, 1–12. [Google Scholar] [CrossRef]
- Mukherjee, S.; Sarkar, S.; Purohit, P.; Gwal, A. Seasonal variation of total electron content at crest of equatorial anomaly station during low solar activity conditions. Adv. Space Res. 2010, 46, 291–295. [Google Scholar] [CrossRef]
- Abdullah, M.; Strangeways, H.J.; Walsh, D.M. Improving ambiguity resolution rate with an accurate ionospheric differential correction. J. Navig. 2009, 62, 151–166. [Google Scholar] [CrossRef]
- Reznychenko, A.I.; Koloskov, A.V.; Sopin, A.O.; Yampolski, Y.M. Statistic of seasonal and diurnal variations of Doppler frequency shift of hf signals at mid-latitude radio path. Radio Phys. Radio Astron. 2020, 25, 118–135. [Google Scholar] [CrossRef]
- Boldovskaya, I. Doppler frequency shifts of radio waves reflected by parabolic and quasi-parabolic ionospheric layers. J. Atmos. Terr. Phys. 1982, 44, 305–311. [Google Scholar] [CrossRef]
- Liu, J.; Chiu, C.; Lin, C. The solar flare radiation responsible for sudden frequency deviation and geomagnetic fluctuation. J. Geophys. Res. Space Phys. 1996, 101, 10855–10862. [Google Scholar] [CrossRef]
- Chum, J.; Šindelářová, T.; Laštovička, J.; Hruška, F.; Burešová, D.; Baše, J. Horizontal velocities and propagation directions of gravity waves in the ionosphere over the Czech Republic. J. Geophys. Res. Space Phys. 2010, 115. [Google Scholar] [CrossRef]
- Chum, J.; Liu, J.Y.; Chen, S.P.; Cabrera, M.A.; Laštovička, J.; Baše, J.; Burešová, D.; Fišer, J.; Hruška, F.; Ezquer, R. Spread F occurrence and drift under the crest of the equatorial ionization anomaly from continuous Doppler sounding and FORMOSAT-3/COSMIC scintillation data. Earth Planets Space 2016, 68, 56. [Google Scholar] [CrossRef]
- Nishioka, M.; Tsugawa, T.; Kubota, M.; Ishii, M. Concentric waves and short-period oscillations observed in the ionosphere after the 2013 Moore EF5 tornado. Geophys. Res. Lett. 2013, 40, 5581–5586. [Google Scholar] [CrossRef]
- Chum, J.; Diendorfer, G.; Šindelářová, T.; Baše, J.; Hruška, F. Infrasound pulses from lightning and electrostatic field changes: Observation and discussion. J. Geophys. Res. Atmos. 2013, 118, 10–653. [Google Scholar] [CrossRef]
- Sindelarova, T.; Chum, J.; Skripnikova, K.; Base, J. Atmospheric infrasound observed during intense convective storms on 9–10 July 2011. J. Atmos. Sol.-Terr. Phys. 2015, 122, 66–74. [Google Scholar] [CrossRef]
- López-Urias, C.; Vazquez-Becerra, G.E.; Nayak, K.; López-Montes, R. Analysis of Ionospheric Disturbances during X-Class Solar Flares (2021–2022) Using GNSS Data and Wavelet Analysis. Remote Sens. 2023, 15, 4626. [Google Scholar] [CrossRef]
- Sergeeva, M.A.; Maltseva, O.A.; Vesnin, A.M.; Blagoveshchensky, D.V.; Gatica-Acevedo, V.J.; Gonzalez-Esparza, J.A.; Chernov, A.G.; Orrala-Legorreta, I.D.; Melgarejo-Morales, A.; Gonzalez, L.X.; et al. Solar Flare Effects Observed over Mexico during 30–31 March 2022. Remote Sens. 2023, 15, 397. [Google Scholar] [CrossRef]
- Salikhov, N.; Shepetov, A.; Pak, G.; Saveliev, V.; Nurakynov, S.; Ryabov, V.; Zhukov, V. Disturbances of Doppler Frequency Shift of Ionospheric Signal and of Telluric Current Caused by Atmospheric Waves from Explosive Eruption of Hunga Tonga Volcano on January 15, 2022. Atmosphere 2023, 14, 245. [Google Scholar] [CrossRef]
- Strogatz, S.H. Nonlinear Dynamics and Chaos: Lab Demonstrations; Internet-First University Press: Ithaca, NY, USA, 1994. [Google Scholar]
- Ogunjo, S.T.; Rabiu, A.B.; Fuwape, I.A.; Obafaye, A.A. Evolution of Dynamical Complexities in Geospace as Captured by Dst Over Four Solar Cycles 1964–2008. J. Geophys. Res. Space Phys. 2021, 126, e2020JA027873. [Google Scholar] [CrossRef]
- Materassi, M.; Alberti, T.; Migoya-Orué, Y.; Radicella, S.M.; Consolini, G. Chaos and Predictability in Ionospheric Time Series. Entropy 2023, 25, 368. [Google Scholar] [CrossRef] [PubMed]
- Ke, X.; Wan, W.X.; Ning, B.Q. Chaotic Properties Analysis and Nonlinear Prediction of Ionospheric Total Electron Content over 120° E Magnetism Equator. Chin. J. Geophys. 2006, 49, 1130–1138. [Google Scholar]
- Unnikrishnan, K. A comparative study on chaoticity of equatorial/low latitude ionosphere over Indian subcontinent during geomagnetically quiet and disturbed periods. Nonlinear Process. Geophys. 2010, 17, 765–776. [Google Scholar] [CrossRef]
- Ogunsua, B.; Laoye, J.; Fuwape, I.; Rabiu, A. The comparative study of chaoticity and dynamical complexity of the low-latitude ionosphere, over Nigeria, during quiet and disturbed days. Nonlinear Process. Geophys. 2014, 21, 127–142. [Google Scholar] [CrossRef]
- Ogunsua, B. Low latitude ionospheric TEC responses to dynamical complexity quantifiers during transient events over Nigeria. Adv. Space Res. 2018, 61, 1689–1701. [Google Scholar] [CrossRef]
- Ogunjo, S.T.; Fuwape, I.A. Nonlinear characterization and interaction in teleconnection patterns. Adv. Space Res. 2020, 65, 2723–2732. [Google Scholar] [CrossRef]
- Kantz, H.; Schreiber, T. Nonlinear Time Series Analysis; Cambridge University Press: Singapore, 2004; Volume 7. [Google Scholar]
- Fuwape, I.A.; Ogunjo, S.T.; Dada, J.B.; Ashidi, G.A.; Emmanuel, I. Phase synchronization between tropospheric radio refractivity and rainfall amount in a tropical region. J. Atmos. Sol.-Terr. Phys. 2016, 149, 46–51. [Google Scholar] [CrossRef]
- Olusola, A.; Ogunjo, S.; Olusegun, C. The role of teleconnections and solar activity on the discharge of tropical river systems within the Niger basin. Environ. Monit. Assess. 2023, 195, 476. [Google Scholar] [CrossRef] [PubMed]
- Rabiu, A.B.; Mamukuyomi, A.; Joshua, E. Variability of equatorial ionosphere inferred from geomagnetic field measurements. Bull. Astron. Soc. India 2007, 35. [Google Scholar]
- Olugbon, B.; Oyeyemi, E.; Kascheyev, A.; Rabiu, A.; Obafaye, A.; Odeyemi, O.; Adewale, A. Daytime equatorial spread F-like irregularities detected by HF Doppler receiver and digisonde. Space Weather 2021, 19, e2020SW002676. [Google Scholar] [CrossRef]
- Chum, J.; Urbář, J.; Laštovička, J.; Cabrera, M.A.; Liu, J.Y.; Bonomi, F.A.M.; Fagre, M.; Fišer, J.; Mošna, Z. Continuous Doppler sounding of the ionosphere during solar flares. Earth Planets Space 2018, 70, 198. [Google Scholar] [CrossRef]
- Eyelade, V.A.; Adewale, A.O.; Akala, A.O.; Bolaji, O.S.; Rabiu, A.B. Studying the variability in the diurnal and seasonal variations in GPS total electron content over Nigeria. Ann. Geophys. 2017, 35, 701–710. [Google Scholar] [CrossRef]
- Takens, F. Detecting strange attractors in turbulence. In Dynamical Systems and Turbulence, Warwick 1980; Springer: Berlin/Heidelberg, Germany, 1981; pp. 366–381. [Google Scholar]
- Fraser, A.M.; Swinney, H.L. Independent coordinates for strange attractors from mutual information. Phys. Rev. A 1986, 33, 1134. [Google Scholar] [CrossRef]
- Kennel, M.B.; Brown, R.; Abarbanel, H.D. Determining embedding dimension for phase-space reconstruction using a geometrical construction. Phys. Rev. A 1992, 45, 3403. [Google Scholar] [CrossRef] [PubMed]
- Rosenstein, M.T.; Collins, J.J.; De Luca, C.J. A practical method for calculating largest Lyapunov exponents from small data sets. Phys. D Nonlinear Phenom. 1993, 65, 117–134. [Google Scholar] [CrossRef]
- Grassberger, P.; Procaccia, I. Characterization of strange attractors. Phys. Rev. Lett. 1983, 50, 346. [Google Scholar] [CrossRef]
- Ma, J. Estimating transfer entropy via copula entropy. arXiv 2019, arXiv:1910.04375. [Google Scholar]
- Mannucci, A.J.; Wilson, B.D.; Edwards, C.D. A new method for monitoring the Earth’s ionospheric total electron content using the GPS global network. In Proceedings of the P6th International Technical Meeting of the Satellite Division of the Institute of Navigation (ION GPS 1993), Salt Lake City, UT, USA, 22–24 September 1993; pp. 1323–1332. [Google Scholar]
- Wielgosz, P.; Milanowska, B.; Krypiak-Gregorczyk, A.; Jarmołowski, W. Validation of GNSS-derived global ionosphere maps for different solar activity levels: Case studies for years 2014 and 2018. GPS Solut. 2021, 25, 103. [Google Scholar] [CrossRef]
- Okoh, D.; Seemala, G.; Rabiu, B.; Habarulema, J.B.; Jin, S.; Shiokawa, K.; Otsuka, Y.; Aggarwal, M.; Uwamahoro, J.; Mungufeni, P.; et al. A neural network-based ionospheric model over Africa from Constellation Observing System for Meteorology, Ionosphere, and Climate and Ground Global Positioning System observations. J. Geophys. Res. Space Phys. 2019, 124, 10512–10532. [Google Scholar] [CrossRef]
- Obrou, O.; Mene, M.; Kobea, A.; Zaka, K. Equatorial total electron content (TEC) at low and high solar activity. Adv. Space Res. 2009, 43, 1757–1761. [Google Scholar] [CrossRef]
- Bagiya, M.S.; Joshi, H.; Iyer, K.; Aggarwal, M.; Ravindran, S.; Pathan, B. TEC variations during low solar activity period (2005–2007) near the equatorial ionospheric anomaly crest region in India. Ann. Geophys. 2009, 27, 1047–1057. [Google Scholar] [CrossRef]
- Titheridge, J. Changes in atmospheric composition inferred from ionospheric production rates. J. Atmos. Terr. Phys. 1974, 36, 1249–1257. [Google Scholar] [CrossRef]
- Wu, C.C.; Fry, C.; Liu, J.Y.; Liou, K.; Tseng, C.L. Annual TEC variation in the equatorial anomaly region during the solar minimum: September 1996–August 1997. J. Atmos. Sol.-Terr. Phys. 2004, 66, 199–207. [Google Scholar] [CrossRef]
- Rama Rao, P.; Gopi Krishna, S.; Niranjan, K.; Prasad, D. Temporal and spatial variations in TEC using simultaneous measurements from the Indian GPS network of receivers during the low solar activity period of 2004–2005. Ann. Geophys. 2006, 24, 3279–3292. [Google Scholar] [CrossRef]
- Rishbeth, H.; Müller-Wodarg, I.; Zou, L.; Fuller-Rowell, T.; Millward, G.; Moffett, R.; Idenden, D.; Aylward, A. Annual and semiannual variations in the ionospheric F2-layer: II. Physical discussion. Ann. Geophys. 2000, 18, 945–956. [Google Scholar] [CrossRef]
- Shuhui, L.; Junhuan, P. Ionospheric TEC prediction and analysis based on phase space reconstruction. In Proceedings of the 2010 International Conference on Mechanic Automation and Control Engineering, Wuhan, China, 26–28 June 2010; IEEE: Piscataway, NJ, USA, 2010; pp. 1936–1939. [Google Scholar]
- Ngan, K.; Shepherd, T.G. A closer look at chaotic advection in the stratosphere. Part II: Statistical diagnostics. J. Atmos. Sci. 1999, 56, 4153–4166. [Google Scholar] [CrossRef]
- Sonnemann, G.; Fichtelmann, B. Subharmonics, cascades of period doubling, and chaotic behavior of photochemistry of the mesopause region. J. Geophys. Res. Atmos. 1997, 102, 1193–1203. [Google Scholar] [CrossRef]













| Parameter | Period | m | |||
|---|---|---|---|---|---|
| VTEC (Lagos) | 2020 | 11 | 17 | 0.031 | 1.553 |
| VTEC (Lagos) | 2021 | 18 | 17 | 0.021 | 1.775 |
| VTEC (Lagos) | 2020–2021 | 18 | 17 | 0.035 | 1.593 |
| VTEC (Abuja) | 2020 | 11 | 17 | 0.011 | 1.485 |
| VTEC (Abuja) | 2021 | 6 | 17 | 0.033 | 1.388 |
| VTEC (Abuja) | 2020–2021 | 18 | 17 | 0.041 | 1.610 |
| DFS | 2020 | 10 | 8 | −0.010 | 0.530 |
| DFS | 2021 | 11 | 10 | 0.002 | 0.312 |
| DFS | 2020–2021 | 10 | 8 | −0.009 | 0.390 |
| Location | Period | Correlation | TE |
|---|---|---|---|
| Lagos | 2020 | −0.167 | 1.073 |
| Lagos | 2021 | −0.279 | 0.385 |
| Lagos | 2020–2021 | −0.219 | 1.338 |
| Abuja | 2020 | −0.164 | 1.114 |
| Abuja | 2021 | −0.277 | 0.424 |
| Abuja | 2020–2021 | −0.216 | 1.414 |
Disclaimer/Publisher’s Note: The statements, opinions and data contained in all publications are solely those of the individual author(s) and contributor(s) and not of MDPI and/or the editor(s). MDPI and/or the editor(s) disclaim responsibility for any injury to people or property resulting from any ideas, methods, instructions or products referred to in the content. |
© 2024 by the authors. Licensee MDPI, Basel, Switzerland. This article is an open access article distributed under the terms and conditions of the Creative Commons Attribution (CC BY) license (https://creativecommons.org/licenses/by/4.0/).
Share and Cite
Akerele, A.; Rabiu, B.; Ogunjo, S.; Okoh, D.; Kascheyev, A.; Nava, B.; Bolaji, O.; Fuwape, I.; Oyeyemi, E.; Olugbon, B.; et al. Complexity and Nonlinear Dependence of Ionospheric Electron Content and Doppler Frequency Shifts in Propagating HF Radio Signals within Equatorial Regions. Atmosphere 2024, 15, 654. https://doi.org/10.3390/atmos15060654
Akerele A, Rabiu B, Ogunjo S, Okoh D, Kascheyev A, Nava B, Bolaji O, Fuwape I, Oyeyemi E, Olugbon B, et al. Complexity and Nonlinear Dependence of Ionospheric Electron Content and Doppler Frequency Shifts in Propagating HF Radio Signals within Equatorial Regions. Atmosphere. 2024; 15(6):654. https://doi.org/10.3390/atmos15060654
Chicago/Turabian StyleAkerele, Aderonke, Babatunde Rabiu, Samuel Ogunjo, Daniel Okoh, Anton Kascheyev, Bruno Nava, Olawale Bolaji, Ibiyinka Fuwape, Elijah Oyeyemi, Busola Olugbon, and et al. 2024. "Complexity and Nonlinear Dependence of Ionospheric Electron Content and Doppler Frequency Shifts in Propagating HF Radio Signals within Equatorial Regions" Atmosphere 15, no. 6: 654. https://doi.org/10.3390/atmos15060654
APA StyleAkerele, A., Rabiu, B., Ogunjo, S., Okoh, D., Kascheyev, A., Nava, B., Bolaji, O., Fuwape, I., Oyeyemi, E., Olugbon, B., Akinpelu, J., & Ajani, O. (2024). Complexity and Nonlinear Dependence of Ionospheric Electron Content and Doppler Frequency Shifts in Propagating HF Radio Signals within Equatorial Regions. Atmosphere, 15(6), 654. https://doi.org/10.3390/atmos15060654

