Heatwaves and Their Impact on Air Quality in Greater Cairo, Egypt
Abstract
1. Introduction
2. Materials and Methods
2.1. Study Area
2.2. Temperature Data
2.3. Air Quality Data
2.4. Methodology
2.4.1. Heatwave Definition
2.4.2. Data Analysis
- Analysis of the HW intensity, in terms of the number of HW days and the maximum temperature reached during an HW event;
- Analysis of the HW frequency, in terms of the number of HW events.
- Analysis of the time series of daily mean temperature and air pollutant concentration during the months that recorded severe HW events [19].
- Analysis of correlation between the temperature and each of the air pollutants, using a simple linear regression model (linear correlation model) [19].
- Analysis of the Air Quality Health Index (AQHI), which measures the air quality in relation to public health, taking into account the daily averaged concentrations of PM10, NO2, and O3 on a scale of 1 to 10. The largest AQHI corresponds to the highest health risk from air pollution. The AQHI [29] also provides a word classification that describes the degree of health risk related to the index reading (such as Low, Moderate, High, or Very High Health Risk). It is calculated according to Equation (1) [23,30]. Table 1 shows the health risk as class indices, along with the AQHI grid showing associated health messages:
3. Results
3.1. Characteristics of Recent HWs
3.2. Assessment of the Relationship between Temperature and the Pollutant Concentrations during HWs
3.2.1. Selection of the Periods of Study
3.2.2. Time Series Analysis of Temperature and PM10 Concentration during Months with Severe HWs
3.2.3. Correlation Analysis of Temperature and Air Pollution
3.2.4. Implications for AQHI during HWs
4. Discussion
5. Conclusions
- Temperature and PM10 are strongly and positively correlated (R2 = 0.84). On average, PM10 is around 60 µg/m3 when the daily maximum temperature is between 27 and 30 °C, but this concentration doubles when the temperature increases above 40 °C during the HWs.
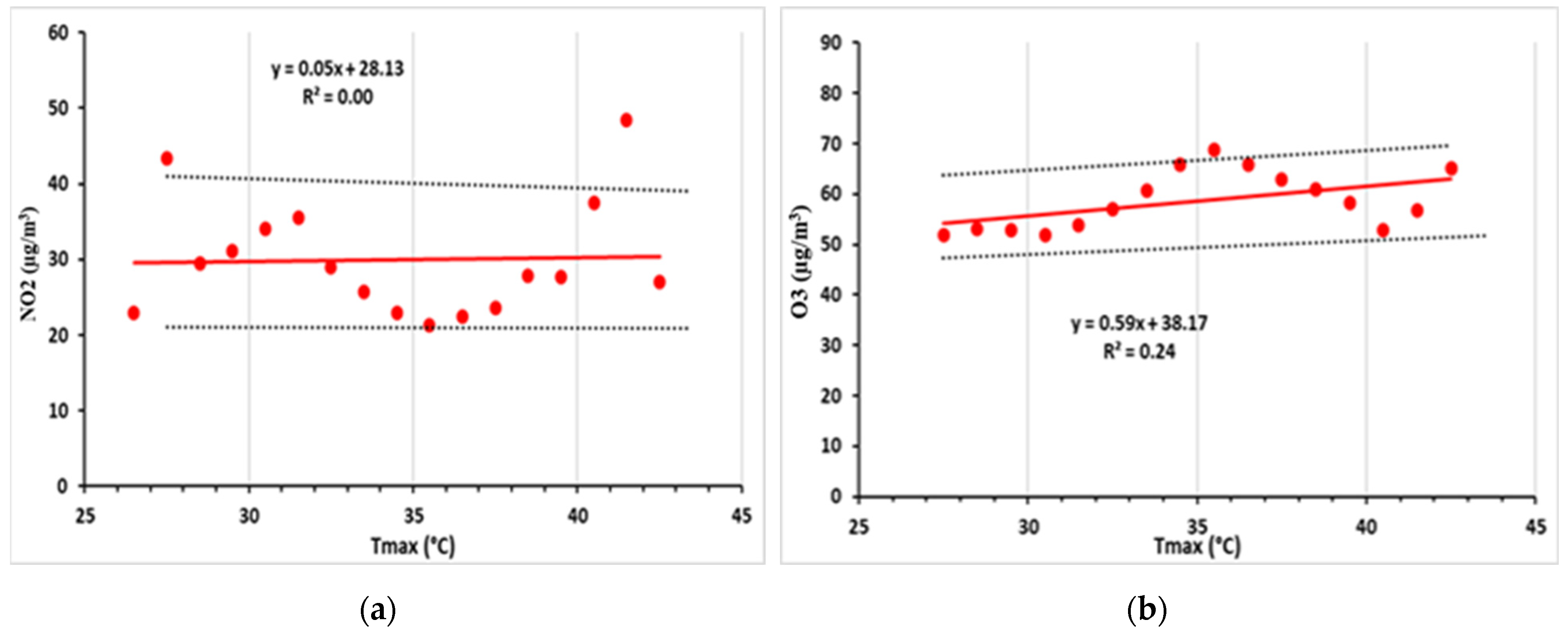
- Ozone concentration is also positively correlated with temperature, but less strongly (R2 = 0.24) than PM10. On average, its concentration increases by 10% (between 50 and 60 µg/m3) when the temperature increases from 30 to 40 °C.
- Conversely, there is no detectable impact (R2 = 0.001) of temperature on the NO2 concentration.
Author Contributions
Funding
Institutional Review Board Statement
Informed Consent Statement
Data Availability Statement
Acknowledgments
Conflicts of Interest
References
- Aboelkhair, H.; Morsy, M. Extreme Warm and Cold Waves Derived from Multiple High-Resolution Gridded Datasets in Egypt. Theor. Appl. Clim. Climatol. 2023, 155, 1321–1341. [Google Scholar] [CrossRef]
- AirNow AirNow Department of State. Available online: https://www.airnow.gov/international/us-embassies-and-consulates/#Egypt$Cairo (accessed on 14 November 2023).
- AMS Heat Wave—Glossary of Meteorology. Available online: https://glossary.ametsoc.org/wiki/Heat_wave (accessed on 30 December 2023).
- Boraiy, M.; El-Metwally, M.; Wheida, A.; El-Nazer, M.; Hassan, S.K.; El-Sanabary, F.F.; Alfaro, S.C.; Abdelwahab, M.; Borbon, A. Statistical Analysis of the Variability of Reactive Trace Gases (SO2, NO2 and Ozone) in Greater Cairo during Dust Storm Events. J. Atmos. Chem. 2023, 80, 227–250. [Google Scholar] [CrossRef]
- Ceccherini, G.; Russo, S.; Ameztoy, I.; Francesco Marchese, A.; Carmona-Moreno, C. Heat Waves in Africa 1981-2015, Observations and Reanalysis. Nat. Hazards Earth Syst. Sci. 2017, 17, 115–125. [Google Scholar] [CrossRef]
- El-Metwally, M.; Alfaro, S.C.; Abdel Wahab, M.; Chatenet, B. Aerosol Characteristics over Urban Cairo: Seasonal Variations as Retrieved from Sun Photometer Measurements. J. Geophys. Res. Atmos. 2008, 113, 0148–0227. [Google Scholar] [CrossRef]
- Frich, P.; Alexander, L.V.; Della-Marta, P.; Gleason, B.; Haylock, M.; Tank Klein, A.M.G.; Peterson, T. Observed Coherent Changes in Climatic Extremes during the Second Half of the Twentieth Century. Clim. Res. 2002, 19, 193–212. [Google Scholar] [CrossRef]
- Janyasuthiwong, S.; Choomanee, P.; Bualert, S.; Maneejantra, S.; Charoenpun, T.; Chommon, W.; Jitjun, S. Biogenic Volatile Organic Compound Emission from Tropical Plants in Relation to Temperature Changes. Environ. Chall. 2022, 9, 100643. [Google Scholar] [CrossRef]
- Kalisa, E.; Fadlallah, S.; Amani, M.; Nahayo, L.; Habiyaremye, G. Temperature and Air Pollution Relationship during Heatwaves in Birmingham, UK. Sustain. Cities Soc. 2018, 43, 111–120. [Google Scholar] [CrossRef]
- Katzan, J.; Owsianowski, S. A Qualitative Vulnerability and Adaptation Assessment among Pregnant Women and Mothers of Children under Five Protecting Health from Heat Stress in Informal Settlements of the Greater Cairo Region; Deutsche Gesellschaft für Internationale Zusammenarbeit (GIZ) GmbH: Bonn, Germany, 2017. [Google Scholar]
- Khomsi, K.; Chelhaoui, Y.; Alilou, S.; Souri, R.; Najmi, H.; Souhaili, Z. Concurrent Heat Waves and Extreme Ozone (O3) Episodes: Combined Atmospheric Patterns and Impact on Human Health. Int. J. Environ. Res. Public. Health 2022, 19, 2770. [Google Scholar] [CrossRef] [PubMed]
- Klingelhöfer, D.; Braun, M.; Brüggmann, D.; Groneberg, D.A. Heatwaves: Does Global Research Reflect the Growing Threat in the Light of Climate Change? Glob. Health 2023, 19, 56. [Google Scholar] [CrossRef]
- Lacour, S.A.; De Monte, M.; Diot, P.; Brocca, J.; Veron, N.; Colin, P.; Leblond, V. Relationship between Ozone and Temperature during the 2003 Heat Wave in France: Consequences for Health Data Analysis. BMC Public Health 2006, 6, 261. [Google Scholar] [CrossRef]
- Masoud, A.A. Spatio-Temporal Patterns and Trends of the Air Pollution Integrating MERRA-2 and in Situ Air Quality Data over Egypt (2013–2021). Air Qual. Atmos. Health 2023, 16, 1543–1570. [Google Scholar] [CrossRef] [PubMed]
- Metaxas, D.A.; Kallos, G. Heat Waves from a Synoptic Point of View. Riv. Meteorol. Aeronaut. 1980, 2, 107–119. [Google Scholar]
- Mohamed, M.A.E.H.; Hwehy, M.M.A.; Moursy, F.I.; El-Tantawi, A.M. The Synergy of Ambient Air Quality and Thermal Discomfort: A Case Study of Greater Cairo, Egypt. J. Agrometeorol. 2023, 25, 553–559. [Google Scholar] [CrossRef]
- Morsy, M.; El Afandi, G. Decadal Changes of Heatwave Aspects and Heat Index over Egypt. Theor. Appl. Climatol. 2021, 146, 71–90. [Google Scholar] [CrossRef]
- Mostafa, A.N.; Wheida, A.; El Nazer, M.; Adel, M.; El Leithy, L.; Siour, G.; Coman, A.; Borbon, A.; Magdy, A.W.; Omar, M.; et al. Past (1950–2017) and Future (−2100) Temperature and Precipitation Trends in Egypt. Weather. Clim. Extrem. 2019, 26, 100225. [Google Scholar] [CrossRef]
- Mostafa, A.N.; Zakey, A.S.; Alfaro, S.C.; Wheida, A.A.; Monem, S.A.; Abdul Wahab, M.M. Validation of RegCM-CHEM4 Model by Comparison with Surface Measurements in the Greater Cairo (Egypt) Megacity. Environ. Sci. Pollut. Res. 2019, 26, 23524–23541. [Google Scholar] [CrossRef] [PubMed]
- Mostafa, A.N.; Zakey, A.S.; Monem, A.S.; Abdel Wahab, M.M. Analysis of the Surface Air Quality Measurements in The Greater Cairo (Egypt) Metropolitan. Glob. J. Adv. Res. 2018, 5, 207–214. [Google Scholar]
- National Weather Service During a Heat Wave. Available online: https://www.weather.gov/safety/heat-during#:~:text=Use%20air%20conditioners%20or%20spend,hotter%20than%2090%C2%B0F (accessed on 30 December 2023).
- Papanastasiou, D.K.; Melas, D.; Kambezidis, H.D. Heat Waves Characteristics and Their Relation to Air Quality in Athens. Glob. Nest J. 2014, 16, 919–928. [Google Scholar]
- Pascal, M.; Wagner, V.; Alari, A.; Corso, M.; Le Tertre, A. Extreme Heat and Acute Air Pollution Episodes: A Need for Joint Public Health Warnings? Atmos. Environ. 2021, 249, 118249. [Google Scholar] [CrossRef]
- Pearce, J.L.; Beringer, J.; Nicholls, N.; Hyndman, R.J.; Tapper, N.J. Quantifying The Influence of Local Meteorology on Air Quality Using Generalized Additive Modeling. Atmos. Environ. 2011, 45, 1328–1336. [Google Scholar] [CrossRef]
- Potsdam Institute for Climate Impact Research and Climate Analytics. In Why a 4 °C Warmer World Must Be Avoided Turn Down the Heat; Potsdam Institute for Climate Impact Research: Potsdam, Germany, 2012.
- Robinson, P.J. On the Definition of a Heat Wave. J. Appl. Meteorol. 2001, 40, 762–775. [Google Scholar] [CrossRef]
- Said, S.; Salah, Z.; Wahab, M.M.A.; Alfaro, S.C. Retrieving PM10 Surface Concentration from AERONET Aerosol Optical Depth: The Cairo and Delhi Megacities Case Studies. J. Indian. Soc. Remote Sens. 2023, 51, 1797–1807. [Google Scholar] [CrossRef]
- Saleh, S.M.; Heggi, M.A.M.; Abdrabbo, M.A.A.; Farag, A.A. Heat waves investigation during last decades insome climatic regions in egypt. Egypt. J. Agric. Res. 2017, 95, 863–889. [Google Scholar] [CrossRef]
- Stieb, D.M.; Burnett, R.T.; Smith-Doiron, M.; Brion, O.; Hwashin, H.S.; Economou, V. A New Multipollutant, No-Threshold Air Quality Health Index Based on Short-Term Associations Observed in Daily Time-Series Analyses. J. Air Waste Manag. Assoc. 2008, 58, 435–450. [Google Scholar] [CrossRef] [PubMed]
- Theoharatos, G.; Pantavou, K.; Mavrakis, A.; Spanou, A.; Katavoutas, G.; Efstathiou, P.; Mpekas, P.; Asimakopoulos, D. Heat Waves Observed in 2007 in Athens, Greece: Synoptic Conditions, Bioclimatological Assessment, Air Quality Levels and Health Effects. Environ. Res. 2010, 110, 152–161. [Google Scholar] [CrossRef]
- UK Met Office What Is a Heatwave? Available online: https://www.metoffice.gov.uk/weather/learn-about/weather/types-of-weather/temperature/heatwave (accessed on 30 December 2023).
- Wheida, A.; Nasser, A.; El Nazer, M.; Borbon, A.; Abo El Ata, G.A.; Abdel Wahab, M.; Alfaro, S.C. Tackling the Mortality from Long-Term Exposure to Outdoor Air Pollution in Megacities: Lessons from the Greater Cairo Case Study. Env. Environ. Res. 2018, 160, 223–231. [Google Scholar] [CrossRef]
- WHO Heat and Health. Available online: https://www.who.int/news-room/fact-sheets/detail/climate-change-heat-and-health (accessed on 30 December 2023).
- WMO Extreme Weather. Available online: https://wmo.int/topics/extreme-weather (accessed on 30 December 2023).
- WMO Heatwave. Available online: https://wmo.int/topics/heatwave#:~:text=A%20heatwave%20can%20be%20defined,power%20shortages%20and%20agricultural%20losses. (accessed on 30 December 2023).








| Health Risk Index Class | AQHI Grid |
|---|---|
| Low Risk | 1–3 |
| Moderate Risk | 4–6 |
| High Risk | 7–10 |
| Very High Risk | 10+ |
| Year | Month | Period | N (%) | Tmax (°C) | PM10 (μg/m3) | NO2 (μg/m3) | O3 (μg/m3) |
|---|---|---|---|---|---|---|---|
| 2007 | June | 24–29th | 6 (31.6) | 39.8 | 134.1 | Nil | Nil |
| July | 24–28th | 5 (26.3) | 39.2 | 146.2 | Nil | Nil | |
| 2010 | June | 17–23rd | 7 (23.3) | 39.9 | 186.0 | 14.7 | 13.1 |
| August | 15–20th | 6 (20.0) | 38.3 | 108.7 | 16.2 | 12.5 | |
| 2012 | August | 7–13th | 7 (41.2) | 37.6 | 49.4 | 22.9 | 39.6 |
| 2015 | August | 3–11th | 9 (37.5) | 38.3 | 312.1 | 18.8 | 37.0 |
| 2021 | July | 15–21st | 7 (15.9) | 38.0 | Nil | Nil | Nil |
| July–August | 29–8th | 11 (25.0) | 39.9 | Nil | Nil | Nil | |
| 2023 | July | 22–28th | 7 (25.0) | 38.4 | Nil | Nil | Nil |
Disclaimer/Publisher’s Note: The statements, opinions and data contained in all publications are solely those of the individual author(s) and contributor(s) and not of MDPI and/or the editor(s). MDPI and/or the editor(s) disclaim responsibility for any injury to people or property resulting from any ideas, methods, instructions or products referred to in the content. |
© 2024 by the authors. Licensee MDPI, Basel, Switzerland. This article is an open access article distributed under the terms and conditions of the Creative Commons Attribution (CC BY) license (https://creativecommons.org/licenses/by/4.0/).
Share and Cite
Mostafa, A.N.; Alfaro, S.C.; Robaa, S.M.; Zakey, A.S.; Abdel Wahab, M.M. Heatwaves and Their Impact on Air Quality in Greater Cairo, Egypt. Atmosphere 2024, 15, 637. https://doi.org/10.3390/atmos15060637
Mostafa AN, Alfaro SC, Robaa SM, Zakey AS, Abdel Wahab MM. Heatwaves and Their Impact on Air Quality in Greater Cairo, Egypt. Atmosphere. 2024; 15(6):637. https://doi.org/10.3390/atmos15060637
Chicago/Turabian StyleMostafa, Amira N., Stéphane C. Alfaro, Sayed. M. Robaa, Ashraf S. Zakey, and Mohamed M. Abdel Wahab. 2024. "Heatwaves and Their Impact on Air Quality in Greater Cairo, Egypt" Atmosphere 15, no. 6: 637. https://doi.org/10.3390/atmos15060637
APA StyleMostafa, A. N., Alfaro, S. C., Robaa, S. M., Zakey, A. S., & Abdel Wahab, M. M. (2024). Heatwaves and Their Impact on Air Quality in Greater Cairo, Egypt. Atmosphere, 15(6), 637. https://doi.org/10.3390/atmos15060637

