Sand Supply Affects Wind Erosion Efficiency and Sand Transport on Sand-Cemented Body Mulch Bed
Abstract
1. Introduction
2. Materials and Methods
2.1. Materials
2.2. Experimental Design
2.3. Wind Erosion Efficiency
2.4. Sand Flux Profile
3. Results and Discussion
3.1. Wind Erosion Efficiency Variation with Different Sand Supplies and SCB Coverages
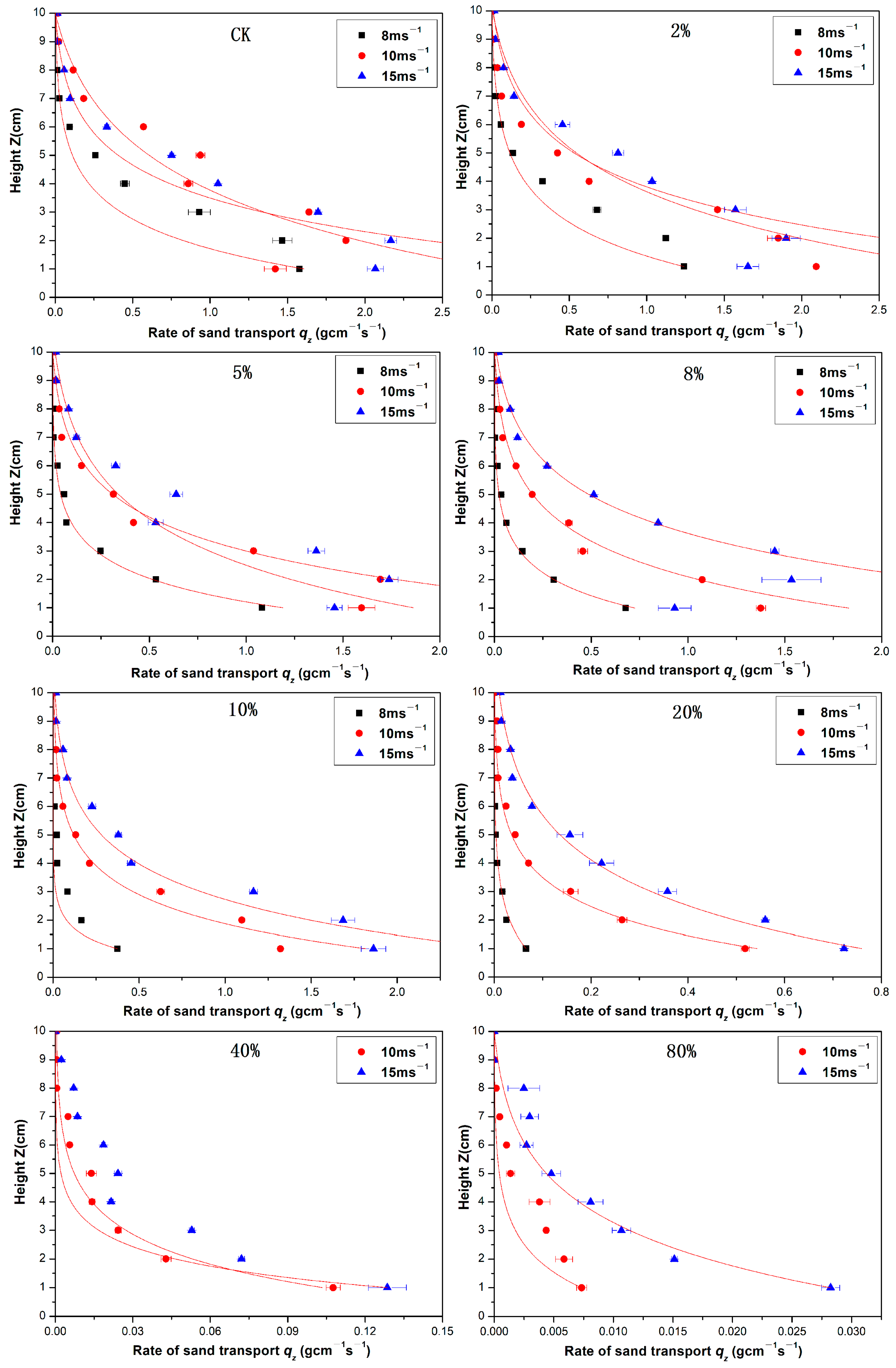
3.2. Horizontal Mass Flux Vertical Profiles at Different SCB Coverages and Sand Supplies
4. Conclusions
Author Contributions
Funding
Institutional Review Board Statement
Informed Consent Statement
Data Availability Statement
Conflicts of Interest
Appendix A
| Coverage | 0 | 5% | 10% | 20% | 40% | 80% | ||||||||||||
|---|---|---|---|---|---|---|---|---|---|---|---|---|---|---|---|---|---|---|
| Wind Velocity (ms−1) | 8 | 10 | 15 | 8 | 10 | 15 | 8 | 10 | 15 | 8 | 10 | 15 | 8 | 10 | 15 | 8 | 10 | 15 |
| 0–2 cm | 10.16 | 18.31 | 35.31 | 9.31 | 20.62 | 33.65 | 7.78 | 18.88 | 34.19 | 7.61 | 9.98 | 32.16 | 7.22 | 14.11 | 25.92 | 7.48 | 15.23 | 24.99 |
| 2–4 cm | 1.94 | 9.84 | 19.45 | 1.38 | 6.58 | 19.24 | 1.42 | 6.01 | 16.51 | 1.28 | 3.38 | 16.12 | 2.05 | 7.31 | 16.55 | 1.72 | 7.04 | 13.13 |
| 4–6 cm | 0.80 | 4.86 | 6.89 | 0.46 | 2.81 | 8.14 | 0.59 | 2.94 | 7.86 | 0.53 | 1.66 | 9.55 | 0.95 | 3.83 | 9.42 | 0.68 | 3.97 | 8.99 |
| 6–15 cm | 0.45 | 2.52 | 6.05 | 0.14 | 1.81 | 4.45 | 0.25 | 2.17 | 5.89 | 0.29 | 1.13 | 7.55 | 0.69 | 3.96 | 7.18 | 0.36 | 2.52 | 6.28 |
| Coverage | 0 | 5% | 10% | 20% | 40% | 80% | ||||||||||||
|---|---|---|---|---|---|---|---|---|---|---|---|---|---|---|---|---|---|---|
| Wind Velocity (ms−1) | 8 | 10 | 15 | 8 | 10 | 15 | 8 | 10 | 15 | 8 | 10 | 15 | 8 | 10 | 15 | 8 | 10 | 15 |
| 0–2 cm | 3.10 | 8.35 | 11.13 | 1.61 | 6.48 | 10.66 | 0.54 | 4.83 | 11.50 | 0.10 | 1.54 | 4.25 | 0 | 0.30 | 0.65 | 0 | 0.03 | 0.17 |
| 2–4 cm | 1.45 | 5.53 | 8.36 | 0.32 | 2.91 | 6.51 | 0.11 | 1.62 | 5.29 | 0.02 | 0.44 | 1.92 | 0 | 0.08 | 0.24 | 0 | 0.02 | 0.07 |
| 4–6 cm | 0.35 | 2.21 | 5.07 | 0.08 | 0.98 | 3.34 | 0.03 | 0.37 | 2.01 | 0 | 0.14 | 0.72 | 0 | 0.04 | 0.14 | 0 | 0.00 | 0.02 |
| 6–10 cm | 0.05 | 0.36 | 1.17 | 0.01 | 0.23 | 0.76 | 0 | 0.11 | 0.57 | 0 | 0.05 | 0.33 | 0 | 0.01 | 0.06 | 0 | 0.00 | 0.01 |
References
- Chepil, W.S.; Woodruff, N.P. The physics of wind erosion and its control. Adv. Agron. 1963, 15, 211–302. [Google Scholar] [CrossRef]
- Overpeck, J.; Anderson, D.; Trumbore, S.; Prell, W. The southwest Indian monsoon over the last 18000 years. Clim. Dyn. 1996, 12, 213–225. [Google Scholar] [CrossRef]
- Schwartz, J. Air pollution and daily mortality: A review and meta-analysis. Environ. Res. 1994, 64, 36–52. [Google Scholar] [CrossRef]
- Akbari, M.; Shalamzari, M.J.; Memarian, H.; Gholami, A. Monitoring desertification processes using ecological indicators and providing management programs in arid regions of Iran. Ecol. Indic. 2020, 111, 106011. [Google Scholar] [CrossRef]
- Li, A.; Zhang, J.; Wang, A. Utilization of starch and clay for the preparation of superabsorbent composite. Bioresour. Technol. 2007, 98, 327–332. [Google Scholar] [CrossRef]
- Abulimiti, M.; Wang, J.; Li, C.; Zhang, Y.; Li, S. Bentonite could be an eco-friendly windbreak and sand-fixing material. Environ. Technol. Innov. 2023, 29, 102981. [Google Scholar] [CrossRef]
- Xin, G.W.; Huang, N.; Zhang, J.; Dun, H.C. Investigations into the design of sand control fence for Gobi buildings. Aeolian Res. 2021, 49, 100662. [Google Scholar] [CrossRef]
- Zang, Y.X.; Gong, W.; Xie, H.; Liu, B.L.; Chen, H.L. Chemical sand stabilization: A review of material, mechanism and problems. Environ. Technol. Rev. 2015, 4, 119–132. [Google Scholar] [CrossRef]
- Fattahi, S.M.; Soroush, A.; Huang, N. Wind erosion control using inoculation of aeolian sand with cyanobacteria. Land. Degrad. Dev. 2020, 31, 2104–2116. [Google Scholar] [CrossRef]
- Li, C.J.; Lei, J.Q.; Zhao, Y.; Xu, X.W.; Li, S.Y. Effect of saline water irrigation on soil development and plant growth in the Taklimakan Desert highway shelterbelt. Soil. Till. Res. 2015, 146, 99–107. [Google Scholar] [CrossRef]
- Pi, H.; Huggins, D.R.; Sharratt, B. Wind erosion of soil influenced by clay amendment in the inland Pacific Northwest, USA. Land. Degrad. Dev. 2021, 32, 241–255. [Google Scholar] [CrossRef]
- Nickling, W.G.; Neuman, M.K. Development of deflation lag surfaces. Sedimentology 1995, 42, 403–414. [Google Scholar] [CrossRef]
- Gillette, D.; Goodwin, P.A. Microscale transport of sand-sized soil aggregates eroded by wind. J. Geophys. Res. 1974, 79, 4080–4084. [Google Scholar] [CrossRef]
- Dong, Z.; Liu, X.; Wang, X. Aerodynamic roughness of gravel surfaces. Geomorphology 2002, 43, 17–31. [Google Scholar] [CrossRef]
- Zhang, K.C.; Qu, J.J.; Zu, R.P.; Ta, W.Q. Characteristics of wind blown sand on Gobi and mobile sand surface. Environ. Geol. 2008, 54, 411–416. [Google Scholar] [CrossRef]
- Wang, X.M.; Hua, T.; Zhang, C.X.; Lang, L.L.; Wang, H.T. Aeolian salts in Gobi deserts of the western region of Inner Mongolia: Gone with the dust aerosols. Atmos. Res. 2012, 118, 1–9. [Google Scholar] [CrossRef]
- Zhang, K.; Zhang, W.; Tan, L.; An, Z.; Zhang, H. Effects of gravel mulch on aeolian transport: A field wind tunnel simulation. J. Arid. Land. 2015, 7, 296–303. [Google Scholar] [CrossRef]
- Tan, L.H.; Zhang, W.M.; Qu, J.J.; Zhang, K.C.; An, Z.S.; Wang, X. Aeolian sand transport over gobi with different gravel coverages under limited sand supply: A mobile wind tunnel investigation. Aeolian Res. 2013, 11, 67–74. [Google Scholar] [CrossRef]
- De Vries, S.; de Vries, J.S.M.v.T.; Rijn, L.C.; Arens, S.M.; Ranasinghe, R. Aeolian sediment transport in supply limited situations. Aeolian Res. 2014, 12, 75–85. [Google Scholar] [CrossRef]
- Ren, C.Y.; Wu, S.Z. Effects of Sediment Supply on Aeolian Saltation Transport. J. Desert Res. 2011, 31, 597–601. [Google Scholar]
- Wilcock, P.R.; Kenworthy, S.T.; Crowe, J.C. Experimental study of the transport of mixed sand and gravel. Water Resour. Res. 2001, 37, 3349–3358. [Google Scholar] [CrossRef]
- Cai, D.X.; Li, S.Y.; Gao, X.; Lei, J.Q. Wind tunnel simulation of the aeolian erosion on the leeward side of barchan dunes and its implications for the spatial distribution patterns of barchan dunes. Catena 2021, 207, 105583. [Google Scholar] [CrossRef]
- Zhang, W.; Wang, T.; Wang, W.; Wang, T. Wind tunnel experiments on vertical distribution of wind-blown sand flux and change of the quantity of sand erosion and deposition above gravel beds under different sand supplies. Environ. Earth Sci. 2011, 64, 1031–1038. [Google Scholar] [CrossRef]
- Zhang, D.S.; Wu, W.Y.; Tian, L.H.; Wei, D. Effects of Erosion and Deposition and Dimensions Selection of Straw-checkerboard Barriers in the Desert of Qinghai Lake. Acta Geogr. Sin. 2014, 66, 426–435. [Google Scholar]
- Liu, L.Y.; Liu, Y.Z.; Li, X.Y. Effect of gravel mulch restraining soil deflation by wind tunnel simulation. J. Desert Res. 1999, 19, 60–62. [Google Scholar]
- Liu, B.L.; Zhang, W.M.; Qu, J.J.; Zhang, K.C.; Han, Q.J. Controlling windblown sand problems by an artificial gravel surface: A case study over the gobi surface of the Mogao Grottoes. Geomorphology 2011, 134, 461–469. [Google Scholar] [CrossRef]
- Buyantogtokh, B.; Kurosaki, Y.; Tsunekawa, A. Effect of stones on the sand saltation threshold during natural sand and dust storms in a stony desert in Tsogt-Ovoo in the Gobi Desert, Mongolia. J. Arid. Land. 2021, 13, 653–673. [Google Scholar] [CrossRef]
- Li, H.; Zou, X.; Zhang, C.; Kang, L.; Cheng, H.; Liu, B.; Liu, W.; Fang, Y.; Yang, D.; Wu, X. Effects of gravel cover on the near-surface airflow field and soil wind erosion. Soil. Till Res. 2021, 214, 105133. [Google Scholar] [CrossRef]
- Nickling, W.G.; Neuman, M.K. Wind tunnel evaluation of a wedge-shaped aeolian sediment trap. Geomorphology 1997, 18, 333–345. [Google Scholar] [CrossRef]
- Li, X.Y.; Liu, L.Y. Effect of gravel mulch on aeolian dust accumulation in the semiarid region of northwest China. Soil. Till Res. 2003, 70, 73–81. [Google Scholar] [CrossRef]
- Al-Awadhi, J.M.; Willetts, B.B. Sand transport and deposition within arrays of non-erodible cylindrical elements. Earth Surf. Process. Landf. 1999, 24, 423–435. [Google Scholar] [CrossRef]
- Xue, X.; Zhang, W.; Wang, T. Wind tunnel experiments on the effects of gravel protection and problems of field surveys. Acta Geogr. Sin. 2000, 55, 375–383. [Google Scholar]
- Zhang, W.; Tao, W.; Xian, X.; Wang, W.; Guo, Y.; Liu, J. The discuss of comprehensively preventing blown-sand system in Mogao Grottoes, Dunhuang. J. Desert Res. 2000, 20, 409–414. [Google Scholar]
- Zhang, W.; Wang, T.; Wang, W.; Qu, J.; Xue, X.; Yao, Z. The Gobi sand stream and its control over the top surface of the Mogao Grottoes, China. Bull. Eng. Geol. Environ. 2004, 63, 261–269. [Google Scholar] [CrossRef]
- Wang, W.; Dong, Z.; Wang, T.; Zhang, G. The equilibrium gravel coverage of the deflated Gobi above the Mogao Grottoes of Dunhuang, China. Environ. Geol. 2006, 50, 1077–1083. [Google Scholar] [CrossRef]
- Zheng, X.J.; He, L.H.; Wu, J.J. Vertical profiles of mass flux for windblown sand movement at steady state. J. Geophys. Res. 2004, 109, B01106. [Google Scholar] [CrossRef]
- Gillette, D.A.; Stockton, P.H. The effect of nonerodible particles on wind erosion of erodible surfaces. J. Geophys. Res. Atmos. 1989, 94, 12885–12893. [Google Scholar] [CrossRef]
- Wu, Z. Geomorphology of Blown Sand and Their Controlled Engineering; Science Press: Beijing, China, 2003; pp. 341–352. (In Chinese) [Google Scholar]







| Mineral Composition (%) | Average Conductivity (m·Scm−1) | Average pH | |||||
|---|---|---|---|---|---|---|---|
| CaSO4 | NaCl | CaCl2 | MgCl2 | KCl | Mg(HCO3)2 | ||
| 79.67 | 6.87 | 6.20 | 5.62 | 1.22 | 0.42 | 2.57 | 7.40 |
| SCB Coverage (%) | a (Intercept) | b (Slope) |
|---|---|---|
| 0 | −0.447 | 0.662 |
| 2 | −0.449 | 0.650 |
| 5 | −0.534 | 0.652 |
| 8 | −0.428 | 0.507 |
| 10 | −0.293 | 0.324 |
| 20 | −0.191 | 0.155 |
| 40 | −0.089 | 0.036 |
| 80 | −0.041 | 0.058 |
| SCB Coverage (%) | a (Intercept) | b (Slope) |
|---|---|---|
| 0 | 2.596 | 0.397 |
| 2 | 0.435 | 0.508 |
| 5 | −1.460 | 0.547 |
| 8 | −3.285 | 0.629 |
| 10 | −4.184 | 0.683 |
| 20 | −1.933 | 0.278 |
| 40 | −0.281 | 0.032 |
| 80 | −0.086 | 0.011 |
Disclaimer/Publisher’s Note: The statements, opinions and data contained in all publications are solely those of the individual author(s) and contributor(s) and not of MDPI and/or the editor(s). MDPI and/or the editor(s) disclaim responsibility for any injury to people or property resulting from any ideas, methods, instructions or products referred to in the content. |
© 2024 by the authors. Licensee MDPI, Basel, Switzerland. This article is an open access article distributed under the terms and conditions of the Creative Commons Attribution (CC BY) license (https://creativecommons.org/licenses/by/4.0/).
Share and Cite
Zhou, J.; Wang, H.; Han, B. Sand Supply Affects Wind Erosion Efficiency and Sand Transport on Sand-Cemented Body Mulch Bed. Atmosphere 2024, 15, 571. https://doi.org/10.3390/atmos15050571
Zhou J, Wang H, Han B. Sand Supply Affects Wind Erosion Efficiency and Sand Transport on Sand-Cemented Body Mulch Bed. Atmosphere. 2024; 15(5):571. https://doi.org/10.3390/atmos15050571
Chicago/Turabian StyleZhou, Jie, Haifeng Wang, and Beibei Han. 2024. "Sand Supply Affects Wind Erosion Efficiency and Sand Transport on Sand-Cemented Body Mulch Bed" Atmosphere 15, no. 5: 571. https://doi.org/10.3390/atmos15050571
APA StyleZhou, J., Wang, H., & Han, B. (2024). Sand Supply Affects Wind Erosion Efficiency and Sand Transport on Sand-Cemented Body Mulch Bed. Atmosphere, 15(5), 571. https://doi.org/10.3390/atmos15050571
