Finite Reynolds Number Effect on Small-Scale Statistics in Decaying Grid Turbulence
Abstract
1. Introduction
2. FRN Effect on the Small Scales
3. Dual Scaling and Its Constraints
3.1. Dual Scaling of the Energy Spectrum
3.2. Dual Scaling of the Scale-By-Scale Energy Budget
4. Dual Scaling for Higher-Order Even Moments of
5. Concluding Remarks
- (i)
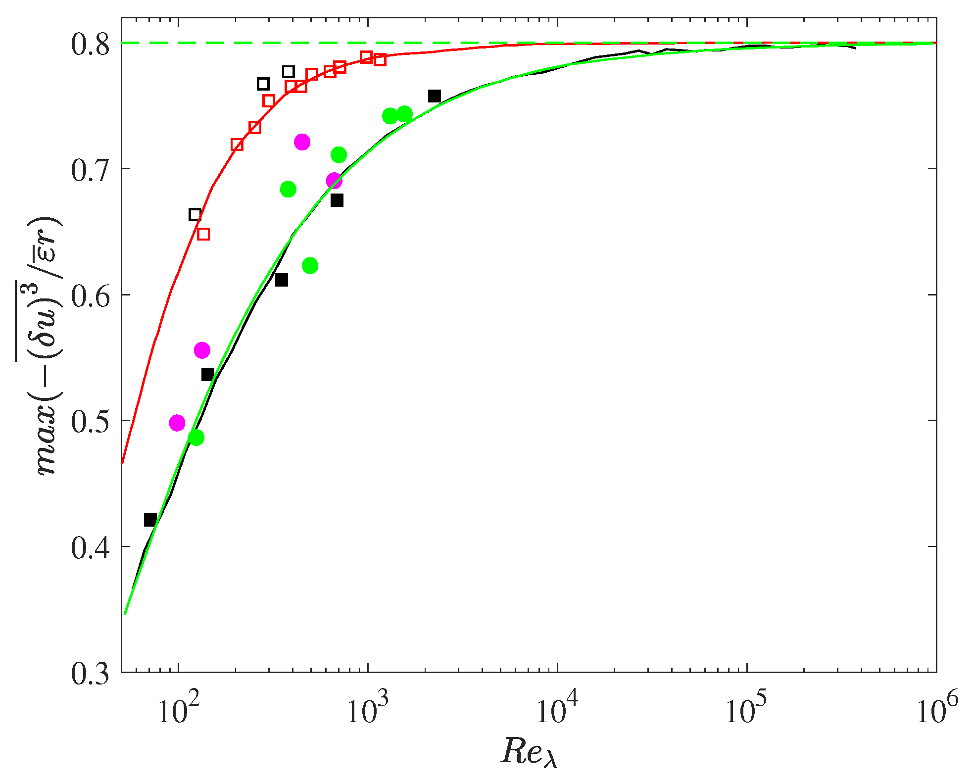
- Both K41 and K62 were postulated for very large values of . Analytical considerations in the context of the transport equations of and in decaying grid turbulence (Equations (5) and (6) and Figure 1) indicate that values of between and are required before the effect of the large scales (or equivalently, the FRN effect) disappears. Consequently, Equation (2), i.e., the 4/5 law, will be validated when the large scale (or non-stationary) term in (5) is no longer important. This is confirmed by the experimental data and EDQNM results in Figure 2.
- (ii)
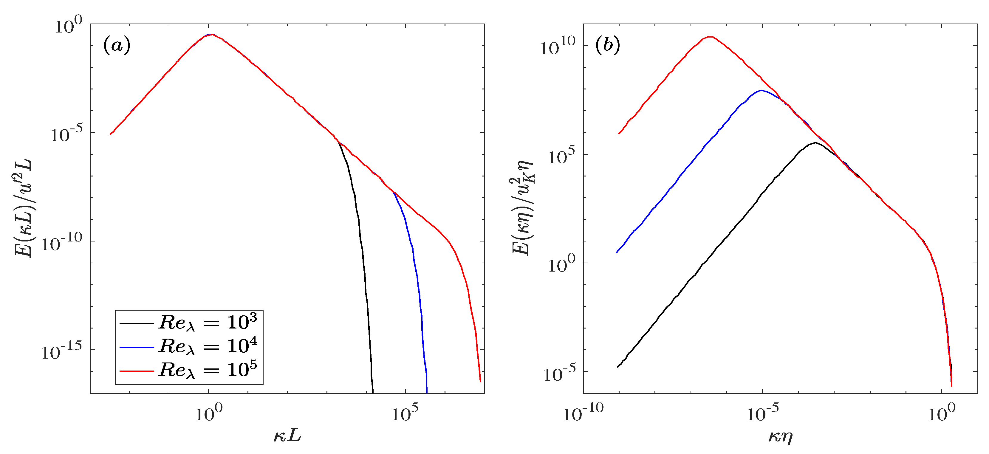
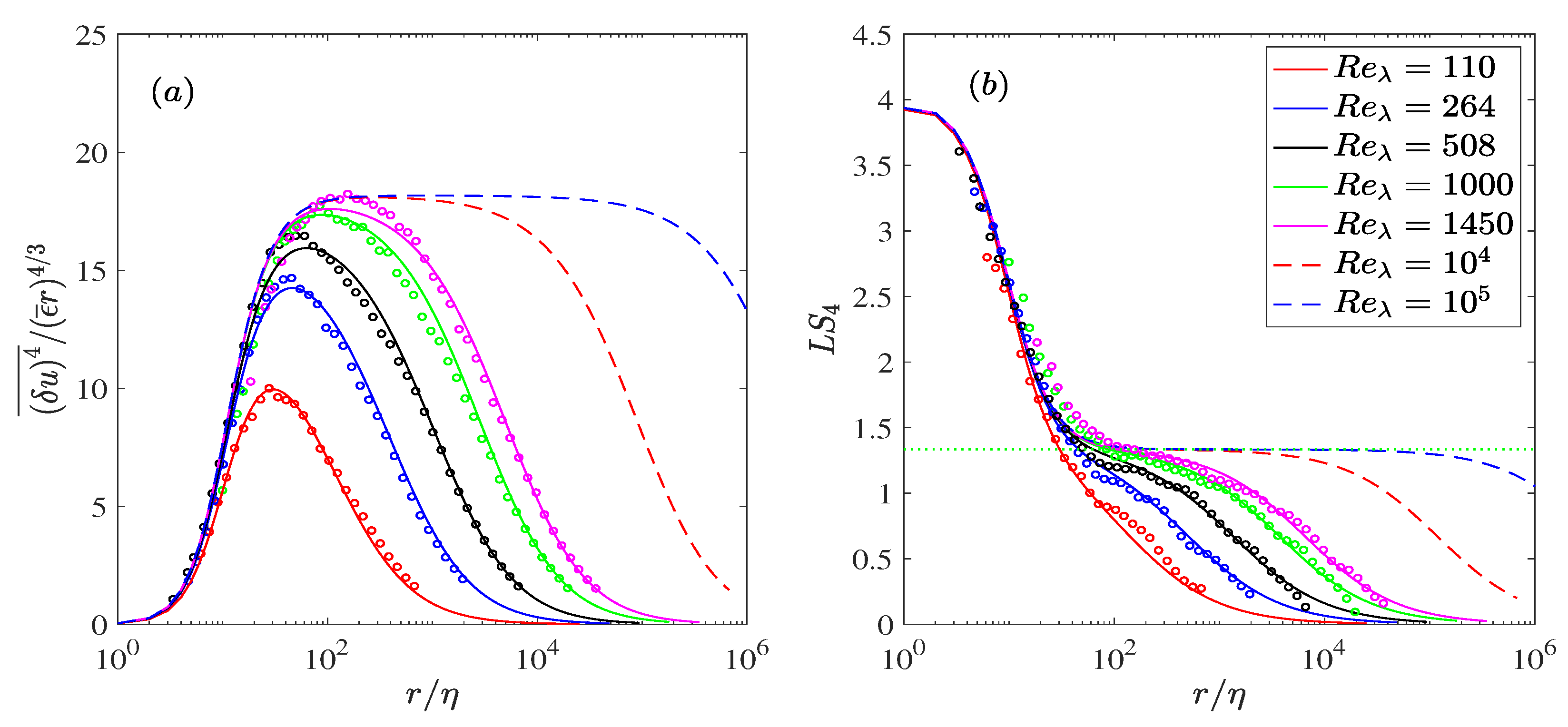
- Results, inferred from the dual scaling approach, based on either the energy spectra or the scale-by-scale energy budget are consistent with those in (i). For the scale-by-scale energy budget in decaying grid turbulence, the (, ) scaling at small scales should be effective since the two dimensionless parameters in Equation (16) are universal (by definition). The (, L) scaling should be also tenable for both large scales and scales within the scaling range since both and should approach constant values as increases. The dual scaling approach, which satisfies incomplete similarity of (5), is supported by the experimental data and the EDQNM results (Figure 4 and Figure 5); it is also supported by the () distributions in grid turbulence over a significant range, in the context of laboratory measurements, of [9]. When is sufficiently large, both scalings should overlap, thus leading to the power-law relations and in the overlap region over which the inertial range is established. This is consistent with the constraints imposed by the Hölder and Cauchy-Schwarz inequalities [80]. The EDQNM results of Meldi et al. [34] (Figure 7), the empirical fit of Mydlarski and Warhaft [35,36] for the energy spectra (Figure 6) and the extrapolation of Tang et al. [9] for () (Equation (18); see also Figure 9 for ) indicate that values of between and are required before an overlap range begins to emerge. Evidently, the maximum values of that are achievable in the laboratory experiments and direct numerical simulations are, as yet, insufficient to observe a power-law behavior of significant extent in energy spectra and, more especially, . Also, we note that Equation (9) of McComb [88] (i.e., the energy flux is equal to the dissipation rate and also the transfer spectrum is zero) requires that an IR exists and that the FRN effect is negligible, i.e., the Reynolds number must be large, if not very large. This is consistent with what we find in this review, based on the KH equation when is infinitely large. McComb [11] concluded the discussion in chapter 6 of his monograph with “our view is that K41 is basically correct and that, in particular, the work of Gamard and George [52] and of Lundgren [24], when taken together, leave little room for doubt on this matter”. The EDQNM results (Figure 7) at very high and those obtained by extrapolation, via Equation (18) to comparably high values (Figure 9), reinforce McComb’s conclusion.
- (i)
- the (, ) scaling, inferred from the N-S equation, e.g. [50] (see also Section 3.2);
- (ii)
- (iii)
- the overwhelming support for the (, ) scaling from experimental and EDQNM data in various other flows, as reviewed in this paper.
Author Contributions
Funding
Institutional Review Board Statement
Informed Consent Statement
Data Availability Statement
Conflicts of Interest
References
- Sreenivasan, K.; Antonia, R.A. The phenomenology of small-scale turbulence. Ann. Rev. Fluid Mech. 1997, 29, 435–472. [Google Scholar] [CrossRef]
- Qian, J. Inertial range and the finite Reynolds number effect of turbulence. Phys. Rev. E 1997, 55, 337–342. [Google Scholar] [CrossRef]
- Qian, J. Slow decay of the finite Reynolds number effect of turbulence. Phys. Rev. E 1999, 60, 3409. [Google Scholar] [CrossRef] [PubMed]
- Kármán, T.V.; Howarth, L. On the statistical theory of isotropic turbulence. Proc. R. Soc. Lond. A 1938, 164, 192–215. [Google Scholar] [CrossRef]
- Danaila, L.; Anselmet, F.; Zhou, T.; Antonia, R.A. A generalization of Yaglom’s equation which accounts for the large-scale forcing in heated decaying turbulence. J. Fluid Mech. 1999, 391, 359–372. [Google Scholar] [CrossRef]
- Lin, C.C. Remarks on the Spectrum of Turbulence Proc First Symposium of Applied Mathematics; American Mathematical Society: Providence, RI, USA, 1947; pp. 81–86. [Google Scholar]
- Comte-Bellot, G.; Corrsin, S. The use of a contraction to improve the isotropy of grid-generated turbulence. J. Fluid Mech. 1966, 25, 657–682. [Google Scholar] [CrossRef]
- Lavoie, P.; Djenidi, L.; Antonia, R.A. Effects of initial conditions in decaying turbulence generated by passive grids. J. Fluid Mech. 2007, 585, 395–420. [Google Scholar] [CrossRef]
- Tang, S.L.; Antonia, R.A.; Djenidi, L. Dual scaling and the n-thirds law in grid turbulence. J. Fluid Mech. 2023, 975, A32. [Google Scholar] [CrossRef]
- Kolmogorov, A.N. Dissipation of energy in the locally isotropic turbulence. Proc. R. Soc. Lond. A 1991, 434, 15–17. [Google Scholar]
- McComb, W.D. Homogeneous, Isotropic Turbulence, Phenomenology, Renormalization and Statistical Closures; Oxford UniversityPress: Oxford, UK, 2014. [Google Scholar]
- Batchelor, G.K. Kolmogoroff’s theory of locally isotropic turbulence. Proc. Camb. Phil. Soc. 1947, 43, 533–559. [Google Scholar] [CrossRef]
- Monin, A.S. The theory of locally isotropic turbulence. Dokl. Akad. Nauk. SSSR 1959, 125, 515–518. [Google Scholar]
- Frisch, U. Turbulence: The Legacy of AN Kolmogorov; Cambridge University Press: Cambridge, UK, 1995. [Google Scholar]
- Lindborg, E. A note on Kolmogorov’s third-order structure-function law, the local isotropy hypothesis and the pressure–velocity correlation. J. Fluid Mech. 1996, 326, 343–356. [Google Scholar] [CrossRef]
- Hill, R.J. Applicability of Kolmogorov’s and Monin’s equations of turbulence. J. Fluid Mech. 1997, 353, 67–81. [Google Scholar] [CrossRef]
- Monin, A.S.; Yaglom, A.M. Statistical Fluid Dynamics; MIT: Cambridge, MA, USA, 2007; Volume 2. [Google Scholar]
- Yaglom, A.M. Modern state of Kolmogorov’s theory of developed turbulence. In Advances in Turbulence X; Andersson, H.I., de Krogstad, P.Å., Eds.; CIMNE: Barcelona, Spain, 2004; pp. 443–448. [Google Scholar]
- Kármán, T.V.; Lin, C.C. On the concept of similiarity in the theory of isotropic turbulence. Rev. Modern Phys. 1949, 21, 516–519. [Google Scholar] [CrossRef]
- Kolmogorov, A.N. The local structure of turbulence in incompressible viscous fluid for very large Reynolds number. Proc. R. Soc. Lond. A 1991, 434, 9–13. [Google Scholar]
- Qian, J. Normal and anomalous scaling of turbulence. Phys. Rev. E 1998, 58, 7325–7329. [Google Scholar] [CrossRef]
- Lindborg, E. Correction to the four-fifths law due to variations of the dissipation. Phys. Fluids 1999, 11, 510. [Google Scholar] [CrossRef]
- Moisy, F.; Tabeling, P.; Willaime, H. Kolmogorov equation in a fully developed turbulence experiment. Phys. Rev. Lett. 1999, 82, 3994–3997. [Google Scholar] [CrossRef]
- Lundgren, T.S. Kolmogorov two-thirds law by matched asymptotic expansion. Phys. Fluids 2002, 14, 638–642. [Google Scholar] [CrossRef]
- Lundgren, T.S. Kolmogorov turbulence by matched asymptotic expansions. Phys. Fluids 2003, 15, 1074–1081. [Google Scholar] [CrossRef]
- Antonia, R.A.; Burattini, P. Approach to the 4/5 law in homogeneous isotropic turbulence. J. Fluid Mech. 2006, 550, 175–184. [Google Scholar] [CrossRef]
- Tchoufag, J.; Sagaut, P.; Cambon, C. Spectral approach to finite Reynolds number effects on Kolmogorov’s 4/5 law in isotropic turbulence. Phys. Fluids 2012, 24, 015107. [Google Scholar] [CrossRef]
- Sagaut, P.; Cambon, C. Homogeneous Turbulence Dynamics; Springer: Berlin/Heidelberg, Germany, 2018. [Google Scholar]
- Bos, W.J.T.; Chevillard, L.; Scott, J.F.; Rubinstein, R. Reynolds number effect on the velocity increment skewness in isotropic turbulence. Phys. Fluids 2012, 24, 015108. [Google Scholar] [CrossRef]
- Ni, R.; Xia, K. Kolmogorov constants for the second-order structure function and the energy spectrum. Phys. Rev. E 2013, 87, 023002. [Google Scholar] [CrossRef]
- Boschung, J.; Gauding, M.; Hennig, F.; Denker, D.; Pitsch, H. Finite Reynolds number corrections of the 4/5 law for decaying turbulence. Phys. Rev. Fluids 2016, 1, 064403. [Google Scholar] [CrossRef]
- Tang, S.L.; Antonia, R.A.; Djenidi, L.; Danaila, L.; Zhou, Y. Finite Reynolds number effect on the scaling range behavior of turbulent longitudinal velocity structure functions. J. Fluid Mech. 2017, 820, 341–369. [Google Scholar] [CrossRef]
- Antonia, R.; Tang, S.; Djenidi, L.; Zhou, Y. Finite Reynolds number effect and the 4/5 law. Phys. Rev. Fluids 2019, 4, 084602. [Google Scholar] [CrossRef]
- Meldi, M.; Djenidi, L.; Antonia, R.A. Sensitivity analysis of the second and third-order velocity structure functions to the Reynolds number in decaying and forced isotropic turbulence using the EDQNM model. Eur. J. Mech.-B/Fluids 2021, 88, 229–242. [Google Scholar] [CrossRef]
- Mydlarski, L.; Warhaft, Z. On the onset of high- Reynolds-number grid-generated wind tunnel turbulence. J. Fluid Mech. 1996, 320, 331–368. [Google Scholar] [CrossRef]
- Mydlarski, L.; Warhaft, Z. Passive scalar statistics in high-Peclet-number grid turbulence. J. Fluid Mech. 1998, 358, 135–175. [Google Scholar] [CrossRef]
- Kang, H.S.; Chester, S.; Meneveau, C. Decaying turbulence in an active-grid-generated flow and comparisons with large-eddy simulation. J. Fluid Mech. 2003, 480, 129–160. [Google Scholar] [CrossRef]
- Gylfason, A.; Ayyalasomayajula, S.; Warhaft, Z. Intermittency, pressure and acceleration statistics from hot-wire measurements in wind-tunnel turbulence. J. Fluid Mech. 2004, 501, 213–229. [Google Scholar] [CrossRef]
- Larssen, J.V.; Devenport, W.J. On the generation of large-scale homogeneous turbulence. Exp. Fluids 2011, 50, 1207–1223. [Google Scholar] [CrossRef]
- Bodenschatz, E.; Bewley, G.; Nobach, H.; Sinhuber, M.; Xu, H. Variable density turbulence tunnel facility. Rev. Sci. Instrum. 2014, 85, 093908. [Google Scholar] [CrossRef]
- Sinhuber, M.; Bodenschatz, E.; Bewley, G.P. Decay of turbulence at high Reynolds numbers. Phys. Rev. Lett. 2015, 114, 034501. [Google Scholar] [CrossRef]
- Sinhuber, M.; Bewley, G.P.; Bodenschatz, E. Dissipative effects on inertial-range statistics at high Reynolds numbers. Phys. Rev. Lett. 2017, 119, 134502. [Google Scholar] [CrossRef] [PubMed]
- Kaminsky, J.; Birnir, B.; Bewley, G.P.; Sinhuber, M. Reynolds number dependence of the structure functions in homogeneous turbulence. J. Nonlinear Sci. 2020, 30, 1081–1114. [Google Scholar] [CrossRef]
- Kuchler, C.; Bewley, G.P.; Bodenschatz, E. Universal Velocity Statistics in Decaying Turbulence. Phys. Rev. Lett. 2023, 131, 024001. [Google Scholar] [CrossRef] [PubMed]
- Kolmogorov, A.N. A refinement of previous hypotheses concerning the local structure of turbulence in a viscous incompressible fluid at high Reynolds number. J. Fluid Mech. 1962, 13, 82–85. [Google Scholar] [CrossRef]
- Oboukhov, A. Some specific features of atmospheric turbulence. J. Fluid Mech. 1962, 13, 77–81. [Google Scholar] [CrossRef]
- Frisch, U.; Sulem, P.L.; Nelkin, M. A simple dynamical model of intermittent fully developed turbulence. J. Fluid Mech. 1978, 87, 719–736. [Google Scholar] [CrossRef]
- She, Z.S.; Leveque, E. Universal scaling laws in fully developed turbulence. Phys. Rev. Lett. 1994, 72, 336. [Google Scholar] [CrossRef]
- Maurer, J.; Tabeling, P.; Zocchi, G. Statistics of turbulence between two counterrotating disks in low-temperature helium gas. Europhys. Lett. 1994, 26, 31. [Google Scholar] [CrossRef]
- Antonia, R.A.; Djenidi, L.; Danaila, L. Collapse of the turbulent dissipation range on Kolmogorov scales. Phys. Fluids 2014, 26, 045105. [Google Scholar] [CrossRef]
- Tennekes, I.; Lumley, J. A first Course in Turbulence; MIT Press: Cambridge, MA, USA, 1972. [Google Scholar]
- Gamard, S.; George, W.K. Reynolds number dependence of energy spectra in the overlap region of isotropic turbulence. Flow Turbul. Combust. 2000, 63, 443–477. [Google Scholar] [CrossRef]
- Antonia, R.A.; Djenidi, L.; Danaila, L.; Tang, S.L. Small scale turbulence and the finite Reynolds number effect. Phys. Fluids 2017, 29, 020715. [Google Scholar] [CrossRef]
- Tang, S.L.; Antonia, R.A.; Djenidi, L.; Zhou, Y. Can small-scale turbulence approach a quasi-universal state? Phys. Rev. Fluids 2019, 4, 024607. [Google Scholar] [CrossRef]
- Qian, J. Closure approach to high-order structure functions of turbulence. Phys. Rev. Lett. 2000, 84, 646. [Google Scholar] [CrossRef] [PubMed]
- Shi, J.Z. Qian Jian (1939–2018) and his contribution to small-scale turbulence studies. Phys. Fluids 2021, 33, 041301. [Google Scholar] [CrossRef]
- Djenidi, L.; Antonia, R.; Tang, S. Scale invariance in finite Reynolds number homogeneous isotropic turbulence. J. Fluid Mech. 2019, 864, 244–272. [Google Scholar] [CrossRef]
- Dryden, H. A review of the statistical theory of turbulence. Q. Appl. Math. 1943, 1, 7–42. [Google Scholar] [CrossRef]
- Batchelor, G. Energy decay and self-preserving correlation functions in isotropic turbulence. Q. Appl. Math. 1948, 6, 97–116. [Google Scholar] [CrossRef][Green Version]
- Meldi, M.; Sagaut, P. Further insights into self-similarity and self-preservation in freely decaying isotropic turbulence. J. Turbul. 2013, 14, 24–53. [Google Scholar] [CrossRef]
- Antonia, R.A.; Tang, S.L.; Djenidi, L.; Danaila, L. Boundedness of the velocity derivative skewness in various turbulent flows. J. Fluid Mech. 2015, 781, 727–744. [Google Scholar] [CrossRef]
- Tang, S.L.; Antonia, R.A.; Djenidi, L.; Danaila, L.; Zhou, Y. Reappraisal of the velocity derivative flatness factor in various turbulent flows. J. Fluid Mech. 2018, 847, 244–265. [Google Scholar] [CrossRef]
- Bos, W.J.; Bertoglio, J.P. Lagrangian Markovianized field approximation for turbulence. J. Turbul. 2013, 14, 99–120. [Google Scholar] [CrossRef]
- Comte-Bellot, G.; Corrsin, S. Simple Eulerian time correlation of full-and narrow-band velocity signals in grid-generated,’isotropic’ turbulence. J. Fluid Mech. 1971, 48, 273–337. [Google Scholar] [CrossRef]
- Briard, A.; Gomez, T.; Cambon, C. Spectral modelling for passive scalar dynamics in homogeneous anisotropic turbulence. J. Fluid Mech. 2016, 799, 159–199. [Google Scholar] [CrossRef]
- Saffman, P.G. Note on the decay of homogeneous turbulence. Phys. Fluids 1967, 10, 1349–1352. [Google Scholar] [CrossRef]
- Gotoh, T.; Fukayama, D.; Nakano, T. Velocity field statistics in homogeneous steady turbulence obtained using a high-resolution direct numerical simulation. Phys. Fluids 2002, 14, 1065–1081. [Google Scholar] [CrossRef]
- Gagne, Y.; Castaing, B.; Baudet, C.; Malecot, Y. Reynolds dependence of third-order velocity structure functions. Phys. Fluids 2004, 16, 482–485. [Google Scholar] [CrossRef][Green Version]
- Lesieur, M.; Schertzer, D. Amortissement autosimilaire d’une turbulence à grand nombre de Reynolds. J. Méc. 1978, 17, 609–646. [Google Scholar]
- Lesieur, M.; Ossia, S. 3D isotropic turbulence at very high Reynolds numbers: EDQNM study. J. Turbul. 2000, 1, N7. [Google Scholar] [CrossRef]
- Davidson, P.A. The minimum energy decay rate in quasi-isotropic grid turbulence. Phys. Fluids 2011, 23, 085108. [Google Scholar] [CrossRef]
- Batchelor, G. The Theory of Homogeneous Turbulence; Cambridge Unviersity Press: Cambridge, UK, 1953. [Google Scholar]
- McComb, W.D. Infrared properties of the energy spectrum in freely decaying isotropic turbulence. Phys. Rev. E 2016, 93, 013103. [Google Scholar] [CrossRef] [PubMed]
- George, W.K. Asymptotic Effect of Initial and Upstream Conditions on Turbulence. J. Fluids Eng. 2012, 134, 061203. [Google Scholar] [CrossRef]
- Loitsyansky, L. Some basic laws of isotropic turbulence. Trudy Tsentr. Aero.-Giedrodin Inst. 1939, 440, 3–23. [Google Scholar]
- Hill, R.J. Equations relating structure functions of all orders. J. Fluid Mech. 2001, 434, 379–388. [Google Scholar] [CrossRef]
- Antonia, R.A.; Zhou, T.; Danaila, L.; Anselmet, F. Streamwise inhomogeneity of decaying grid turbulence. Phys. Fluids 2000, 12, 3086. [Google Scholar] [CrossRef]
- George, W.K. The self-preservation of turbulent flows and its relation to initial conditions and coherent structures. In Advances in Turbulence; George, W.K., Arndt, R., Eds.; Hemisphere: New York, NY, USA, 1989; pp. 39–73. [Google Scholar]
- George, W.K. Some new ideas for similarity of turbulent shear flows. In Proceedings of the Turbulence Heat and Mass Transfer Symposium, Lisbon, Portugal, 9–12 August 1994; Hanjalic, Pereira, Eds.; Begell House: New York, NY, USA; pp. 24–49. [Google Scholar]
- Djenidi, L.; Antonia, R.A.; Tang, S.L. Scaling of turbulent velocity structure functions: Plausibility constraints. J. Fluid Mech. 2023, 965, A14. [Google Scholar] [CrossRef]
- Hill, R.J.; Wilczak, J.M. Pressure structure functions and spectra for locally isotropic turbulence. J. Fluid Mech. 1995, 296, 247–269. [Google Scholar] [CrossRef]
- Meldi, M.; Sagaut, P. Pressure statistics in self-similar freely decaying isotropic turbulence. J. Fluid Mech. 2013, 717, R2. [Google Scholar] [CrossRef]
- Tsuji, Y.; Ishihara, T. Similarity scaling of pressure fluctuation in turbulence. Phys. Rev. E 2003, 68, 026309. [Google Scholar] [CrossRef] [PubMed]
- Peters, N.; Boschung, J.; Gauding, M.; Goebbert, J.H.; Hill, R.J.; Pitsch, H. Higher-order dissipation in the theory of homogeneous isotropic turbulence. J. Fluid Mech. 2016, 803, 250–274. [Google Scholar] [CrossRef][Green Version]
- Boschung, J.; Hennig, F.; Gauding, M.; Pitsch, H.; Peters, N. Generalised higher-order Kolmogorov scales. J. Fluid Mech. 2016, 794, 233–251. [Google Scholar] [CrossRef]
- Boschung, J. Exact relations between the moments of dissipation and longitudinal velocity derivatives in turbulent flows. Phys. Rev. E 2015, 92, 043013. [Google Scholar] [CrossRef]
- Gauding, M.; Danaila, L.; Varea, E. High-order structure functions for passive scalar fed by a mean gradient. Int. J. Heat Fluid Flow 2017, 67, 86–93. [Google Scholar] [CrossRef]
- McComb, W.D. A modified Lin equation for the energy balance in isotropic turbulence. Theor. Appl. Mech. Lett. 2020, 10, 377–381. [Google Scholar] [CrossRef]
- Saddoughi, S.G.; Veeravalli, S.V. Local isotropy of turbulent boundary layers at high Reynolds number. J. Fluid Mech. 1994, 268, 333–372. [Google Scholar] [CrossRef]
- Pope, S.B. Turbulent Flows; Cambridge University Press: Cambridge, UK, 2000. [Google Scholar]
- Tang, S.L.; Antonia, R.A.; Djenidi, L.; Zhou, Y. Scaling of the turbulent energy dissipation correlation function. J. Fluid Mech. 2020, 891, A26. [Google Scholar] [CrossRef]
- Ishihara, T.; Kaneda, Y.; Yokokawa, M.; Itakura, K.; Uno, A. Small-scale statistics in high-resolution direct numerical simulation of turbulence: Reynolds number dependence of one-point velocity gradient statistics. J. Fluid Mech. 2007, 592, 335–366. [Google Scholar] [CrossRef]
- Gauding, M. Statistics and Scaling Laws of Turbulent Scalar Mixing at High Reynolds Numbers. Ph.D. Thesis, RWTH Aachen University, Aachen, Germany, 2014. [Google Scholar]
- Khurshid, S.; Donzis, A.; Sreenivasan, K.R. Energy spectrum in the dissipation range. Phys. Rev. Fluids 2020, 3, 082601. [Google Scholar] [CrossRef]
- Buaria, D.; Sreenivasan, K.R. Dissipation range of the energy spectrum in high Reynolds number turbulence. Phys. Rev. Fluids 2020, 5, 092601. [Google Scholar] [CrossRef]
- Jimenez, J.; Wray, A.A.; Saffman, P.G.; Rogallo, R.S. The structure of intense vorticity in isotropic turbulence. J. Fluid Mech. 1993, 255, 65–90. [Google Scholar] [CrossRef]
- Yeung, P.K.; Zhou, Y. Universality of the Kolmogorov constant in numerical simulations of turbulence. Phys. Rev. E 1997, 56, 1746–1752. [Google Scholar] [CrossRef]
- Yeung, P.K.; Donzis, D.A.; Sreenivasan, K.R. High-Reynolds-number simulation of turbulent mixing. Phys. Fluids 2005, 17, 081703. [Google Scholar] [CrossRef]
- Iyer, K.P.; Sreenivasan, K.R.; Yeung, P.K. Reynolds number scaling of velocity increments in isotropic turbulence. Phys. Rev. E 2017, 95, 021101. [Google Scholar] [CrossRef]
- Iyer, K.P.; Sreenivasan, K.R.; Yeung, P.K. Scaling exponents saturate in three-dimensional isotropic turbulence. Phys. Rev. Fluids 2020, 5, 054605. [Google Scholar] [CrossRef]
- Ishihara, T.; Kaneda, Y.; Morishita, K.; Yokokawa, M.; Uno, A. Second-order velocity structure functions in direct numerical simulations of turbulence with Rλ up to 2250. Phys. Rev. Fluids 2020, 5, 104608. [Google Scholar] [CrossRef]
- McComb, W.D.; Yoffe, S.R.; Berera, A. A new method of identifying self-similarity in isotropic turbulence. arXiv 2013, arXiv:1307.4575. [Google Scholar]
- McComb, W.; Yoffe, S.; Linkmann, M.; Berera, A. Spectral analysis of structure functions and their scaling exponents in forced isotropic turbulence. Phys. Rev. E 2014, 90, 053010. [Google Scholar] [CrossRef] [PubMed]
- Warhaft, Z. Passive scalars in turbulent flows. Ann. Rev. Fluid Mech. 2000, 32, 203–240. [Google Scholar] [CrossRef]
- Tang, S.L.; Antonia, R.A.; Djenidi, L.; Danaila, L.; Zhou, Y. Boundedness of the mixed velocity-temperature derivative skewness in homogeneous isotropic turbulence. Phys. Fluids 2016, 28, 095102. [Google Scholar] [CrossRef]









Disclaimer/Publisher’s Note: The statements, opinions and data contained in all publications are solely those of the individual author(s) and contributor(s) and not of MDPI and/or the editor(s). MDPI and/or the editor(s) disclaim responsibility for any injury to people or property resulting from any ideas, methods, instructions or products referred to in the content. |
© 2024 by the authors. Licensee MDPI, Basel, Switzerland. This article is an open access article distributed under the terms and conditions of the Creative Commons Attribution (CC BY) license (https://creativecommons.org/licenses/by/4.0/).
Share and Cite
Tang, S.; Danaila, L.; Antonia, R.A. Finite Reynolds Number Effect on Small-Scale Statistics in Decaying Grid Turbulence. Atmosphere 2024, 15, 540. https://doi.org/10.3390/atmos15050540
Tang S, Danaila L, Antonia RA. Finite Reynolds Number Effect on Small-Scale Statistics in Decaying Grid Turbulence. Atmosphere. 2024; 15(5):540. https://doi.org/10.3390/atmos15050540
Chicago/Turabian StyleTang, Shunlin, Luminita Danaila, and Robert Anthony Antonia. 2024. "Finite Reynolds Number Effect on Small-Scale Statistics in Decaying Grid Turbulence" Atmosphere 15, no. 5: 540. https://doi.org/10.3390/atmos15050540
APA StyleTang, S., Danaila, L., & Antonia, R. A. (2024). Finite Reynolds Number Effect on Small-Scale Statistics in Decaying Grid Turbulence. Atmosphere, 15(5), 540. https://doi.org/10.3390/atmos15050540

