Comparison of Surface Ozone Variability in Mountainous Forest Areas and Lowland Urban Areas in Southeast China
Abstract
1. Introduction
2. Study Area, Data, and Methods
2.1. Study Area
2.2. Data
2.2.1. Air Quality, Emission, and Leaf Area Data
2.2.2. Meteorological Observations and Reanalysis Data
2.3. Methods
2.3.1. Statistical Analysis
2.3.2. Random Forest Model
2.3.3. GEOS-Chem Model
2.3.4. Trajectory Analysis
3. Results and Discussion
3.1. Comparison of O3 Precursors Emissions, Meteorology, and Vegetation Covers between the Inland and Coastal Areas
3.2. Daily Variability in Surface O3 Concentrations
3.3. Impact of O3 Precursors and Vegetation Covers on Surface O3 Variability
3.4. Impact of Meteorological Conditions on Surface O3 Variability
3.4.1. Meteorological Impact Surface O3 Concentrations on Hourly Scale
3.4.2. Meteorological Impact Surface O3 Concentrations on Daily Scale
3.5. Diurnal Variability in Surface O3 Concentrations
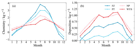
3.6. Seasonal Variability in Surface O3 Concentrations
3.7. O3 Exceedance Days and Sources of O3 Identified by Trajectory Analysis
4. Conclusions
Author Contributions
Funding
Institutional Review Board Statement
Informed Consent Statement
Data Availability Statement
Acknowledgments
Conflicts of Interest
References
- Song, M.; Li, X.; Yang, S.; Yu, X.; Zhou, S.; Yang, Y.; Chen, S.; Dong, H.; Liao, K.; Chen, Q.; et al. Spatiotemporal variation, sources, and secondary transformation potential of volatile organic compounds in Xi’an, China. Atmos. Chem. Phys. 2021, 21, 4939–4958. [Google Scholar] [CrossRef]
- Haagen-Smit, A.J. Chemistry and Physiology of Los Angeles Smog. Ind. Eng. Chem. 1952, 44, 1342–1346. [Google Scholar] [CrossRef]
- Wang, S.; Zhao, Y.; Han, Y.; Li, R.; Fu, H.; Gao, S.; Duan, Y.; Zhang, L.; Chen, J. Spatiotemporal variation, source and secondary transformation potential of volatile organic compounds (VOCs) during the winter days in Shanghai, China. Atmos. Environ. 2022, 286, 119203. [Google Scholar] [CrossRef]
- Zhao, D.D.; Xin, J.Y.; Wang, W.F.; Jia, D.J.; Wang, Z.F.; Xiao, H.; Liu, C.; Zhou, J.; Tong, L.; Ma, Y.J.; et al. Effects of the sea-land breeze on coastal ozone pollution in the Yangtze River Delta, China. Sci. Total Environ. 2022, 807, 150306. [Google Scholar] [CrossRef] [PubMed]
- Zeng, Y.; Cao, Y.; Qiao, X.; Seyler, B.C.; Tang, Y. Air pollution reduction in China: Recent success but great challenge for the future. Sci. Total Environ. 2019, 663, 329–337. [Google Scholar] [CrossRef] [PubMed]
- Pan, S.; Roy, A.; Choi, Y.; Eslami, E.; Thomas, S.; Jiang, X.; Gao, H.O. Potential impacts of electric vehicles on air quality and health endpoints in the Greater Houston Area in 2040. Atmos. Environ. 2019, 207, 38–51. [Google Scholar] [CrossRef]
- Mills, G.; Pleijel, H.; Malley, C.S.; Sinha, B.; Cooper, O.R.; Schultz, M.G.; Neufeld, H.S.; Simpson, D.; Sharps, K.; Feng, Z.; et al. Tropospheric Ozone Assessment Report: Present-day tropospheric ozone distribution and trends relevant to vegetation. Elem. Sci. Anthr. 2018, 6, 47. [Google Scholar] [CrossRef]
- Wang, T.; Xue, L.; Feng, Z.; Dai, J.; Zhang, Y.; Tan, Y. Ground-level ozone pollution in China: A synthesis of recent findings on influencing factors and impacts. Environ. Res. Lett. 2022, 17, 063003. [Google Scholar] [CrossRef]
- Lu, X.; Zhang, L.; Wang, X.; Gao, M.; Li, K.; Zhang, Y.; Yue, X.; Zhang, Y. Rapid increases in warm-season surface ozone and resulting health impact in China since 2013. Environ. Sci. Technol. Lett. 2020, 7, 240–247. [Google Scholar] [CrossRef]
- Liu, Y.; Wang, T. Worsening urban ozone pollution in China from 2013 to 2017—Part 1: The complex and varying roles of meteorology. Atmos. Chem. Phys. 2020, 20, 6305–6321. [Google Scholar] [CrossRef]
- Wang, Z.; Lv, J.; Tan, Y.; Guo, M.; Gu, Y.; Xu, S.; Zhou, Y. Temporospatial variations and Spearman correlation analysis of ozone concentrations to nitrogen dioxide, sulfur dioxide, particulate matters and carbon monoxide in ambient air, China. Atmos. Pollut. Res. 2019, 10, 1203–1210. [Google Scholar] [CrossRef]
- Li, K.; Jacob, D.J.; Liao, H.; Shen, L.; Zhang, Q.; Bates, K.H. Anthropogenic drivers of 2013–2017 trends in summer surface ozone in China. Proc. Natl. Acad. Sci. USA 2019, 116, 422–427. [Google Scholar] [CrossRef]
- Gong, C.; Liao, H.; Zhang, L.; Yue, X.; Dang, R.; Yang, Y. Persistent ozone pollution episodes in North China exacerbated by regional transport. Environ. Pollut. 2020, 265, 115056. [Google Scholar] [CrossRef]
- Zhang, Y.; Yu, S.; Chen, X.; Li, Z.; Li, M.; Song, Z.; Liu, W.; Li, P.; Zhang, X.; Lichtfouse, E.; et al. Local production, downward and regional transport aggravated surface ozone pollution during the historical orange-alert large-scale ozone episode in eastern China. Environ. Chem. Lett. 2022, 20, 1577–1588. [Google Scholar] [CrossRef]
- Mao, J.; Tai, A.P.K.; Yung, D.H.Y.; Yuan, T.; Chau, K.T.; Feng, Z. Multidecadal ozone trends in China and implications for human health and crop yields: A hybrid approach combining chemical transport model and machine learning. EGUsphere 2023, 2023, 1–25. [Google Scholar] [CrossRef]
- Liu, Y.; Geng, G.; Cheng, J.; Liu, Y.; Xiao, Q.; Liu, L.; Shi, Q.; Tong, D.; He, K.; Zhang, Q. Drivers of Increasing Ozone during the Two Phases of Clean Air Actions in China 2013–2020. Environ. Sci. Technol. 2023, 57, 8954–8964. [Google Scholar] [CrossRef]
- Ji, X.; Hong, Y.; Lin, Y.; Xu, K.; Chen, G.; Liu, T.; Xu, L.; Li, M.; Fan, X.; Wang, H.; et al. Impacts of synoptic patterns and meteorological factors on distribution trends of ozone in southeast China during 2015–2020. J. Geophys. Res. Atmos. 2023, 128, e2022JD037961. [Google Scholar] [CrossRef]
- Ge, C.; Liu, J.; Cheng, X.; Fang, K.; Chen, Z.; Chen, Z.; Hu, J.; Jiang, D.; Shen, L.; Yang, M. Impact of regional transport on high ozone episodes in southeast coastal regions of China. Atmos. Pollut. Res. 2022, 13, 101497. [Google Scholar] [CrossRef]
- Chen, Z.; Xie, Y.; Liu, J.; Shen, L.; Cheng, X.; Han, H.; Yang, M.; Shen, Y.; Zhao, T.; Hu, J. Distinct seasonality in vertical variations of tropospheric ozone over coastal regions of southern China. Sci. Total Environ. 2023, 874, 162423. [Google Scholar] [CrossRef]
- Chen, G.; Liu, T.; Chen, J.; Xu, L.; Hu, B.; Yang, C.; Fan, X.; Li, M.; Hong, Y.; Ji, X.; et al. Atmospheric oxidation capacity and O3 formation in a coastal city of southeast China: Results from simulation based on four-season observation. J. Environ. Sci. 2024, 136, 68–80. [Google Scholar] [CrossRef]
- Zhang, X.; Wu, Z.; He, Z.; Zhong, X.; Bi, F.; Li, Y.; Gao, R.; Li, H.; Wang, W. Spatiotemporal patterns and ozone sensitivity of gaseous carbonyls at eleven urban sites in southeastern China. Sci. Total Environ. 2022, 824, 153719. [Google Scholar] [CrossRef] [PubMed]
- Hong, Z.; Li, M.; Wang, H.; Xu, L.; Hong, Y.; Chen, J.; Chen, J.; Zhang, H.; Zhang, Y.; Wu, X.; et al. Characteristics of atmospheric volatile organic compounds (VOCs) at a mountainous forest site and two urban sites in the southeast of China. Sci. Total Environ. 2019, 657, 1491–1500. [Google Scholar] [CrossRef] [PubMed]
- Ji, X.; Chen, G.; Chen, J.; Xu, L.; Lin, Z.; Zhang, K.; Fan, X.; Li, M.; Zhang, F.; Wang, H.; et al. Meteorological impacts on the unexpected ozone pollution in coastal cities of China during the unprecedented hot summer of 2022. Sci. Total Environ. 2024, 914, 170035. [Google Scholar] [CrossRef] [PubMed]
- Chen, G.; Shi, Q.; Xu, L.; Yu, S.; Lin, Z.; Ji, X.; Fan, X.; Hong, Y.; Li, M.; Zhang, F.; et al. Photochemistry in the urban agglomeration along the coastline of southeastern China: Pollution mechanism and control implication. Sci. Total Environ. 2023, 901, 166318. [Google Scholar] [CrossRef]
- Lin, C.; Zhang, W. Using a Pollution-to-Risk Method to Evaluate the Impact of a Cold Front: A Case Study in a Downstream Region in Southeastern China. Atmosphere 2022, 13, 1944. [Google Scholar] [CrossRef]
- Kan, H.D. A review of standard value of fine particulate matter (PM(2.5)) ruled by National Ambient Air Quality Standards (GB3095-2012) in China. Chin. J. Preventive Med. 2012, 46, 396–398. [Google Scholar]
- Liu, X.H.; Zhu, B.; Zhu, T.; Liao, H. The Seesaw Pattern of PM2.5 Interannual Anomalies Between Beijing-Tianjin-Hebei and Yangtze River Delta Across Eastern China in Winter. Geophys. Res. Lett. 2022, 49, e2021GL095878. [Google Scholar] [CrossRef]
- Hua, W.; Wu, B. Atmospheric circulation anomaly over mid- and high-latitudes and its association with severe persistent haze events in Beijing. Atmos. Res. 2022, 277, 106315. [Google Scholar] [CrossRef]
- Breiman, L. Random Forests. Mach. Learn. 2001, 45, 5–32. [Google Scholar] [CrossRef]
- Biau, G. Analysis of a Random Forests Model. J. Mach. Learn. Res. 2010, 13, 1063–1095. [Google Scholar]
- Dietterich, T.G. An Experimental Comparison of Three Methods for Constructing Ensembles of Decision Trees: Bagging, Boosting, and Randomization. Mach. Learn. 2000, 40, 139–157. [Google Scholar] [CrossRef]
- Xiong, K.; Xie, X.; Mao, J.; Wang, K.; Huang, L.; Li, J.; Hu, J. Improving the accuracy of O3 prediction from a chemical transport model with a random forest model in the Yangtze River Delta region, China. Environ. Pollut. 2023, 319, 120926. [Google Scholar] [CrossRef] [PubMed]
- Li, T.; Lu, Y.; Deng, X.; Zhan, Y. Spatiotemporal variations in meteorological influences on ambient ozone in China: A machine learning approach. Atmos. Pollut. Res. 2023, 14, 101720. [Google Scholar] [CrossRef]
- Zhan, Y.; Luo, Y.; Deng, X.; Grieneisen, M.L.; Zhang, M.; Di, B. Spatiotemporal prediction of daily ambient ozone levels across China using random forest for human exposure assessment. Environ. Pollut. 2018, 233, 464–473. [Google Scholar] [CrossRef] [PubMed]
- Bey, I.; Jacob, D.J.; Yantosca, R.M.; Logan, J.A.; Field, B.D.; Fiore, A.M.; Li, Q.; Liu, H.Y.; Mickley, L.J.; Schultz, M.G. Global modeling of tropospheric chemistry with assimilated meteorology: Model description and evaluation. J. Geophys. Res. Atmos. 2001, 106, 23073–23095. [Google Scholar] [CrossRef]
- Keller, C.A.; Long, M.S.; Yantosca, R.M.; Da Silva, A.M.; Pawson, S.; Jacob, D.J. HEMCO v1.0: A versatile, ESMF-compliant component for calculating emissions in atmospheric models. Geosci. Model Dev. 2014, 7, 1409–1417. [Google Scholar] [CrossRef]
- Guenther, A.B.; Jiang, X.; Heald, C.L.; Sakulyanontvittaya, T.; Duhl, T.; Emmons, L.K.; Wang, X. The Model of Emissions of Gases and Aerosols from Nature version 2.1 (MEGAN2.1): An extended and updated framework for modeling biogenic emissions. Geosci. Model Dev. 2012, 5, 1471–1492. [Google Scholar] [CrossRef]
- Hudman, R.C.; Moore, N.E.; Mebust, A.K.; Martin, R.V.; Russell, A.R.; Valin, L.C.; Cohen, R.C. Steps towards a mechanistic model of global soil nitric oxide emissions: Implementation and space based-constraints. Atmos. Chem. Phys. 2012, 12, 7779–7795. [Google Scholar] [CrossRef]
- Hoesly, R.M.; Smith, S.J.; Feng, L.; Klimont, Z.; Janssens-Maenhout, G.; Pitkanen, T.; Seibert, J.J.; Vu, L.; Andres, R.J.; Bolt, R.M.; et al. Historical (1750–2014) anthropogenic emissions of reactive gases and aerosols from the Community Emissions Data System (CEDS). Geosci. Model Dev. 2018, 11, 369–408. [Google Scholar] [CrossRef]
- Gong, C.; Liao, H. A typical weather pattern for ozone pollution events in North China. Atmos. Chem. Phys. 2019, 19, 13725–13740. [Google Scholar] [CrossRef]
- Zhou, X.; Li, Z.; Zhang, T.; Wang, F.; Wang, F.; Tao, Y.; Zhang, X.; Wang, F.; Huang, J. Volatile organic compounds in a typical petrochemical industrialized valley city of northwest China based on high-resolution PTR-MS measurements: Characterization, sources and chemical effects. Sci. Total Environ. 2019, 671, 883–896. [Google Scholar] [CrossRef] [PubMed]
- Zheng, H.; Kong, S.; Xing, X.; Mao, Y.; Hu, T.; Ding, Y.; Li, G.; Liu, D.; Li, S.; Qi, S. Monitoring of volatile organic compounds (VOCs) from an oil and gas station in northwest China for 1 year. Atmos. Chem. Phys. 2018, 18, 4567–4595. [Google Scholar] [CrossRef]
- Liu, B.; Cheng, Y.; Zhou, M.; Liang, D.; Dai, Q.; Wang, L.; Jin, W.; Zhang, L.; Ren, Y.; Zhou, J.; et al. Effectiveness evaluation of temporary emission control action in 2016 in winter in Shijiazhuang, China. Atmos. Chem. Phys. 2018, 18, 7019–7039. [Google Scholar] [CrossRef]
- Ren, B.; Xie, P.; Xu, J.; Li, A.; Tian, X.; Hu, Z.; Huang, Y.; Li, X.; Zhang, Q.; Ren, H.; et al. Use of the PSCF method to analyze the variations of potential sources and transports of NO2, SO2, and HCHO observed by MAX-DOAS in Nanjing, China during 2019. Sci. Total Environ. 2021, 782, 146865. [Google Scholar] [CrossRef]
- Han, H.; Liu, J.E.; Shu, L.; Wang, T.J.; Yuan, H.L. Local and synoptic meteorological influences on daily variability in summertime surface ozone in eastern China. Atmos. Chem. Phys. 2020, 20, 203–222. [Google Scholar] [CrossRef]
- Wang, T.; Xue, L.; Brimblecombe, P.; Lam, Y.F.; Li, L.; Zhang, L. Ozone pollution in China: A review of concentrations, meteorological influences, chemical precursors, and effects. Sci. Total Environ. 2017, 575, 1582–1596. [Google Scholar] [CrossRef] [PubMed]
- Cheng, X.; Liu, J.; Zhao, T.; Gong, S.; Xu, X.; Xie, X.; Wang, R. A teleconnection between sea surface temperature in the central and eastern Pacific and wintertime haze variations in southern China. Theor. Appl. Climatol. 2021, 143, 349–359. [Google Scholar] [CrossRef]
- Zhang, L.; Brook, J.R.; Vet, R. A revised parameterization for gaseous dry deposition in air-quality models. Atmos. Chem. Phys. 2003, 3, 2067–2082. [Google Scholar] [CrossRef]
- Yin, Z.; Cao, B.; Wang, H. Dominant patterns of summer ozone pollution in eastern China and associated atmospheric circulations. Atmos. Chem. Phys. 2019, 19, 13933–13943. [Google Scholar] [CrossRef]
- Kavassalis, S.C.; Murphy, J.G. Understanding ozone-meteorology correlations: A role for dry deposition. Geophys. Res. Lett. 2017, 44, 2922–2931. [Google Scholar] [CrossRef]
- He, J.J.; Gong, S.L.; Yu, Y.; Yu, L.J.; Wu, L.; Mao, H.J.; Song, C.B.; Zhao, S.P.; Liu, H.L.; Li, X.Y.; et al. Air pollution characteristics and their relation to meteorological conditions during 2014–2015 in major Chinese cities. Environ. Pollut. 2017, 223, 484–496. [Google Scholar] [CrossRef] [PubMed]
- Yang, Y.; Zhou, Y.; Wang, H.; Li, M.; Li, H.; Wang, P.; Yue, X.; Li, K.; Zhu, J.; Liao, H. Meteorological characteristics of extreme ozone pollution events in China and their future predictions. Atmos. Chem. Phys. 2024, 24, 1177–1191. [Google Scholar] [CrossRef]
- Chen, Z.; Li, R.; Chen, D.; Zhuang, Y.; Gao, B.; Yang, L.; Li, M. Understanding the causal influence of major meteorological factors on ground ozone concentrations across China. J. Clean. Prod. 2020, 242, 118498. [Google Scholar] [CrossRef]
- Sun, L.; Xue, L.; Wang, Y.; Li, L.; Lin, J.; Ni, R.; Yan, Y.; Chen, L.; Li, J.; Zhang, Q.; et al. Impacts of meteorology and emissions on summertime surface ozone increases over central eastern China between 2003 and 2015. Atmos. Chem. Phys. 2019, 19, 1455–1469. [Google Scholar] [CrossRef]
- Hu, C.; Kang, P.; Jaffe, D.A.; Li, C.; Zhang, X.; Wu, K.; Zhou, M. Understanding the impact of meteorology on ozone in 334 cities of China. Atmos. Environ. 2021, 248, 118221. [Google Scholar] [CrossRef]
- Chu, W.; Li, H.; Ji, Y.; Zhang, X.; Xue, L.; Gao, J.; An, C. Research on ozone formation sensitivity based on observational methods: Development history, methodology, and application and prospects in China. J. Environ. Sci. 2024, 138, 543–560. [Google Scholar] [CrossRef]
- Lu, H.; Lyu, X.; Cheng, H.; Ling, Z.; Guo, H. Overview on the spatial-temporal characteristics of the ozone formation regime in China. Environmental science. Processes & impacts. 2019, 21, 916–929. [Google Scholar]
- Yang, L.; Yuan, Z.; Luo, H.; Wang, Y.; Xu, Y.; Duan, Y.; Fu, Q. Identification of long-term evolution of ozone sensitivity to precursors based on two-dimensional mutual verification. Sci. Total Environ. 2021, 760, 143401. [Google Scholar] [CrossRef]
- Wang, W.; van der A, R.; Ding, J.; van Weele, M.; Cheng, T. Spatial and temporal changes of the ozone sensitivity in China based on satellite and ground-based observations. Atmos. Chem. Phys. 2021, 21, 7253–7269. [Google Scholar] [CrossRef]
- Vermeuel, M.P.; Novak, G.A.; Alwe, H.D.; Hughes, D.D.; Kaleel, R.; Dickens, A.F.; Kenski, D.; Czarnetzki, A.C.; Stone, E.A.; Stanier, C.O.; et al. Sensitivity of ozone production to NOx and VOC along the Lake Michigan coastline. J. Geophys. Res. Atmos. 2019, 124, 10989–11006. [Google Scholar] [CrossRef]
- Orlando, J.P.; Alvim, D.S.; Yamazaki, A.; Corrêa, S.M.; Gatti, L.V. Ozone precursors for the São Paulo Metropolitan Area. Sci. Total Environ. 2010, 408, 1612–1620. [Google Scholar] [CrossRef] [PubMed]
- Cheng, N.; Li, R.; Xu, C.; Chen, Z.; Chen, D.; Meng, F.; Cheng, B.; Ma, Z.; Zhuang, Y.; He, B.; et al. Ground ozone variations at an urban and a rural station in Beijing from 2006 to 2017: Trend, meteorological influences and formation regimes. J. Clean. Prod. 2019, 235, 11–20. [Google Scholar] [CrossRef]
- Zhang, H.; Wang, Y.; Lu, Y.; Wang, Y.; Yu, C.; Wang, J.; Cao, D.; Jiang, H. Identification of ozone pollution control zones and types in China. China Environ. Sci. 2021, 41, 4051–4059. [Google Scholar]
- Nguyen, D.-H.; Lin, C.; Vu, C.-T.; Cheruiyot, N.K.; Nguyen, M.K.; Le, T.H.; Lukkhasorn, W.; Vo, T.-D.-H.; Bui, X.-T. Tropospheric ozone and NOx: A review of worldwide variation and meteorological influences. Environ. Technol. Innov. 2022, 28, 102809. [Google Scholar] [CrossRef]
- Tan, Z.; Lu, K.; Dong, H.; Hu, M.; Li, X.; Liu, Y.; Lu, S.; Shao, M.; Su, R.; Wang, H.; et al. Explicit diagnosis of the local ozone production rate and the ozone-NOx-VOC sensitivities. Sci. Bull. 2018, 63, 1067–1076. [Google Scholar] [CrossRef] [PubMed]
- Hu, X.M.; Doughty, D.C.; Sanchez, K.J.; Joseph, E.; Fuentes, J.D. Ozone variability in the atmospheric boundary layer in Maryland and its implications for vertical transport model. Atmos. Environ. 2012, 46, 354–364. [Google Scholar] [CrossRef]
- Liu, N.; Lin, W.; Ma, J.; Xu, W.; Xu, X. Seasonal variation in surface ozone and its regional characteristics at global atmosphere watch stations in China. J. Environ. Sci. 2019, 77, 291–302. [Google Scholar] [CrossRef]
- Han, H.; Liu, J.; Yuan, H.; Wang, T.; Zhuang, B.; Zhang, X. Foreign influences on tropospheric ozone over East Asia through global atmospheric transport. Atmos. Chem. Phys. 2019, 19, 12495–12514. [Google Scholar] [CrossRef]

















| Area | Monitoring Stations | Longitude | Latitude | Elevation/(m) |
|---|---|---|---|---|
| Fuzhou (FZ) | Kuaian | 119.41° E | 26.02° N | 6 |
| Shida | 119.30° E | 26.03° N | 22 | |
| Wusibeilu | 119.29° E | 26.10° N | 4 | |
| Yangqiaoxilu | 119.26° E | 26.07° N | 11 | |
| Ziyang | 119.31° E | 26.07° N | 10 | |
| Jiulong | 119.58° E | 26.09° N | 10 | |
| Meteorological station | 119.28° E | 26.08° N | 84 | |
| Putian (PT) | Lichengqucanghoulu | 119.01° E | 25.44° N | 18 |
| Putian monitoring station | 119.00° E | 25.45° N | 21 | |
| Hanjiangquliuzhong | 119.11° E | 25.45° N | 14 | |
| Xiuyuquzhengfu | 119.10° E | 25.32° N | 17 | |
| Meteorological station | 119.00° E | 25.45° N | 81 | |
| Nanping (NP) | Nanping monitoring stations | 118.16° E | 26.63° N | 96 |
| Lvyeyouxianggongsi | 118.18° E | 26.65° N | 111 | |
| Qizhong | 118.17° E | 26.62° N | 112 | |
| Meteorological station | 118.17° E | 26.65° N | 152 | |
| Wuyishan (WYS) | Yizhong | 118.03° E | 27.76° N | 223 |
| Wuyixueyuan | 117.80° E | 27.73° N | 222 | |
| Meteorological station | 118.02° E | 27.76° N | 222 |
| Year | FZ | PT | NP | WYS | Season | FZ | PT | NP | WYS |
|---|---|---|---|---|---|---|---|---|---|
| 2016 | 27 | 21 | 6 | 3 | Spring | 63 | 62 | 26 | 5 |
| 2017 | 44 | 53 | 29 | 7 | Summer | 54 | 55 | 6 | 4 |
| 2018 | 48 | 52 | 8 | 11 | Autumn | 46 | 50 | 12 | 20 |
| 2019 | 20 | 21 | 3 | 6 | Winter | 3 | 4 | 7 | 0 |
| 2020 | 27 | 24 | 5 | 2 | Total | 166 | 171 | 51 | 29 |
| Total | 166 | 171 | 51 | 29 | |||||
| Mean | 33.2 | 34.2 | 10.2 | 5.8 |
Disclaimer/Publisher’s Note: The statements, opinions and data contained in all publications are solely those of the individual author(s) and contributor(s) and not of MDPI and/or the editor(s). MDPI and/or the editor(s) disclaim responsibility for any injury to people or property resulting from any ideas, methods, instructions or products referred to in the content. |
© 2024 by the authors. Licensee MDPI, Basel, Switzerland. This article is an open access article distributed under the terms and conditions of the Creative Commons Attribution (CC BY) license (https://creativecommons.org/licenses/by/4.0/).
Share and Cite
Jiang, X.; Cheng, X.; Liu, J.; Chen, Z.; Wang, H.; Deng, H.; Hu, J.; Jiang, Y.; Yang, M.; Gai, C.; et al. Comparison of Surface Ozone Variability in Mountainous Forest Areas and Lowland Urban Areas in Southeast China. Atmosphere 2024, 15, 519. https://doi.org/10.3390/atmos15050519
Jiang X, Cheng X, Liu J, Chen Z, Wang H, Deng H, Hu J, Jiang Y, Yang M, Gai C, et al. Comparison of Surface Ozone Variability in Mountainous Forest Areas and Lowland Urban Areas in Southeast China. Atmosphere. 2024; 15(5):519. https://doi.org/10.3390/atmos15050519
Chicago/Turabian StyleJiang, Xue, Xugeng Cheng, Jane Liu, Zhixiong Chen, Hong Wang, Huiying Deng, Jun Hu, Yongcheng Jiang, Mengmiao Yang, Chende Gai, and et al. 2024. "Comparison of Surface Ozone Variability in Mountainous Forest Areas and Lowland Urban Areas in Southeast China" Atmosphere 15, no. 5: 519. https://doi.org/10.3390/atmos15050519
APA StyleJiang, X., Cheng, X., Liu, J., Chen, Z., Wang, H., Deng, H., Hu, J., Jiang, Y., Yang, M., Gai, C., & Cheng, Z. (2024). Comparison of Surface Ozone Variability in Mountainous Forest Areas and Lowland Urban Areas in Southeast China. Atmosphere, 15(5), 519. https://doi.org/10.3390/atmos15050519

