Variation in Water Deficit and Its Association with Climate Indices in Weihe River Basin, China
Abstract
1. Introduction
2. Study Area and Data
2.1. Study Area
2.2. Data Sources
3. Methodology
3.1. Estimation of Water Deficit and Reference Evapotranspiration
3.2. Statistical Tests for Trend Analysis
3.3. Formula for Calculating Correlation Coefficient
3.4. Mann–Kendall Test
3.5. Cross-Wavelet Transform and Wavelet Coherence
4. Results and Discussions
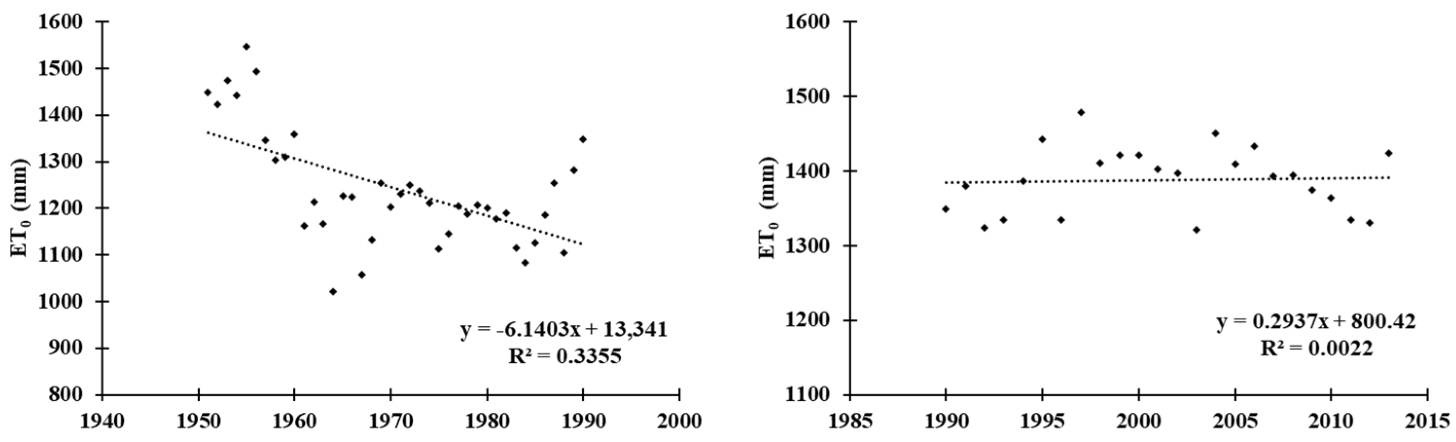
4.1. Interannual Variations in P and ET0
4.2. Interannual Variation in Water Deficit
4.3. The Spatial Variation Trend of the Water Deficit
4.4. Annual Variations in Water Deficit, P, and ET0
4.4.1. Extreme Distribution
4.4.2. Distribution Curve Morphology
4.5. Factors Affecting Water Deficit
4.5.1. Time Scale of Factors Affecting Water Deficit
4.5.2. Spatial Scale Analysis of Factors Affecting Water Deficit
4.6. The Relationship between Water Deficit and Several Climatic Factors
5. Discussion
5.1. The Impact of Human Activities
5.2. Impact of Climate Factors
6. Conclusions
Funding
Institutional Review Board Statement
Informed Consent Statement
Data Availability Statement
Conflicts of Interest
References
- Dai, A. Increasing drought under global warming in observations and models. Nat. Clim. Chang. 2012, 3, 52–58. [Google Scholar] [CrossRef]
- Wood, E.F.; Sheffield, J. Global Trends and Variability in Soil Moisture and Drought Characteristics, 1950–2000, from Observation-Driven Simulations of the Terrestrial Hydrologic Cycle. J. Clim. 2008, 21, 432–458. [Google Scholar]
- Dai, A. Drought under global warming: A review. WIREs Clim. Chang. 2010, 2, 45–65. [Google Scholar] [CrossRef]
- Anderegg, W.R.L.; Kane, J.M.; Anderegg, L.D.L. Consequences of widespread tree mortality triggered by drought and temperature stress. Nat. Clim. Chang. 2012, 3, 30–36. [Google Scholar] [CrossRef]
- Reichstein, M.; Bahn, M.; Ciais, P.; Frank, D.; Mahecha, M.D.; Seneviratne, S.I.; Zscheischler, J.; Beer, C.; Buchmann, N.; Frank, D.C.; et al. Climate extremes and the carbon cycle. Nature 2013, 500, 287–295. [Google Scholar] [CrossRef] [PubMed]
- Anderegg, W.R.L.; Flint, A.; Huang, C.-y.; Flint, L.; Berry, J.A.; Davis, F.W.; Sperry, J.S.; Field, C.B. Tree mortality predicted from drought-induced vascular damage. Nat. Geosci. 2015, 8, 367–371. [Google Scholar] [CrossRef]
- Choat, B.; Jansen, S.; Brodribb, T.J.; Cochard, H.; Delzon, S.; Bhaskar, R.; Bucci, S.J.; Feild, T.S.; Gleason, S.M.; Hacke, U.G.; et al. Global convergence in the vulnerability of forests to drought. Nature 2012, 491, 752–755. [Google Scholar] [CrossRef]
- Seneviratne, S.I.; Corti, T.; Davin, E.L.; Hirschi, M.; Jaeger, E.B.; Lehner, I.; Orlowsky, B.; Teuling, A.J. Investigating soil moisture–climate interactions in a changing climate: A review. Earth-Sci. Rev. 2010, 99, 125–161. [Google Scholar] [CrossRef]
- Short Gianotti, D.J.; Rigden, A.J.; Salvucci, G.D.; Entekhabi, D. Satellite and Station Observations Demonstrate Water Availability’s Effect on Continental-Scale Evaporative and Photosynthetic Land Surface Dynamics. Water Resour. Res. 2019, 55, 540–554. [Google Scholar] [CrossRef]
- McCarthy, M.G. Developmental variation in sensitivity of Vitis vinifera L. (Shiraz) berries to soil water deficit. Aust. J. Grape Wine Res. 2000, 6, 136–140. [Google Scholar] [CrossRef]
- Lauerwald, R.; Guilpart, N.; Ciais, P.; Makowski, D. Impact of a large-scale replacement of maize by soybean on water deficit in Europe. Agric. For. Meteorol. 2023, 343, 109781. [Google Scholar] [CrossRef]
- Shirinpour, M.; Atazadeh, E.; Bybordi, A.; Monirifar, H.; Amini, A.; Hossain, M.A.; Aharizad, S.; Asghari, A. Gene action and inheritance of grain yield and root morphological traits in hybrid maize grown under water deficit conditions. S. Afr. J. Bot. 2023, 161, 180–191. [Google Scholar] [CrossRef]
- Jin, N.; Shi, Y.; Niu, W.; He, L. Spatial and temporal patterns of agricultural drought in China during 1960–2020 characterized by use of the crop water deficit Abnormal Index. J. Hydrol. 2023, 627, 130454. [Google Scholar] [CrossRef]
- Pei, W.; Fu, Q.; Ren, Y.; Li, T. Study on the agricultural crop drought index based on weights of growth stages. Hydrol. Process. 2022, 36, e14590. [Google Scholar] [CrossRef]
- Wu, M.; Liu, P.; Lei, X.; Liao, W.; Cai, S.; Xia, Q.; Zou, K.; Wang, H. Impact of surface and underground water uses on streamflow in the upper-middle of the Weihe River basin using a modified WetSpa model. J. Hydrol. 2023, 616, 128840. [Google Scholar] [CrossRef]
- Wei, S.; Zhao, J.; Tong, X. Impacts of socio-economic status and environmental attitudes of locals on E-flow allocation in Weihe River Basin, China. HydroResearch 2020, 3, 158–165. [Google Scholar] [CrossRef]
- Zhang, T.; Su, X.; Zhang, G.; Wu, H.; Wang, G.; Chu, J. Evaluation of the impacts of human activities on propagation from meteorological drought to hydrological drought in the Weihe River Basin, China. Sci. Total Environ. 2022, 819, 153030. [Google Scholar] [CrossRef]
- Ding, B.; Zhang, J.; Zheng, P.; Yu, X.; Li, Z.; Wang, Y.; Jia, G. Water security assessment for effective water resource management based on multi-temporal blue and green water footprints. J. Hydrol. 2024, 632, 130761. [Google Scholar] [CrossRef]
- Li, Y.; Huang, Y.; Fan, J.; Zhang, H.; Li, Y.; Wang, X.; Deng, Q. Meteorological and Hydrological Drought Risks under Future Climate and Land-Use-Change Scenarios in the Yellow River Basin. Atmosphere 2023, 14, 1599. [Google Scholar] [CrossRef]
- Fan, J.; Wei, S.; Liu, G.; Zhou, X.; Li, Y.; Wu, C.; Xu, F. Response Time of Vegetation to Drought in Weihe River Basin, China. Atmosphere 2023, 14, 938. [Google Scholar] [CrossRef]
- Teuling, A.J.; Van Loon, A.F.; Seneviratne, S.I.; Lehner, I.; Aubinet, M.; Heinesch, B.; Bernhofer, C.; Grünwald, T.; Prasse, H.; Spank, U. Evapotranspiration amplifies European summer drought. Geophys. Res. Lett. 2013, 40, 2071–2075. [Google Scholar] [CrossRef]
- Huang, F.; Liu, L.; Gao, J.; Yin, Z.; Zhang, Y.; Jiang, Y.; Zuo, L.; Fang, W. Effects of extreme drought events on vegetation activity from the perspectives of meteorological and soil droughts in southwestern China. Sci. Total Environ. 2023, 903, 166562. [Google Scholar] [CrossRef]
- De Boeck, H.J.; Verbeeck, H. Drought-associated changes in climate and their relevance for ecosystem experiments and models. Biogeosciences 2011, 8, 1121–1130. [Google Scholar] [CrossRef]
- Zhao, M.; Geruo, A.; Liu, Y.; Konings, A.G. Evapotranspiration frequently increases during droughts. Nat. Clim. Chang. 2022, 12, 1024–1030. [Google Scholar] [CrossRef]
- Zia, R.; Nawaz, M.S.; Siddique, M.J.; Hakim, S.; Imran, A. Plant survival under drought stress: Implications, adaptive responses, and integrated rhizosphere management strategy for stress mitigation. Microbiol. Res. 2021, 242, 126626. [Google Scholar] [CrossRef] [PubMed]
- Wang, F.; Lai, H.; Li, Y.; Feng, K.; Tian, Q.; Guo, W.; Zhang, W.; Di, D.; Yang, H. Dynamic variations of terrestrial ecological drought and propagation analysis with meteorological drought across the mainland China. Sci. Total Environ. 2023, 896, 165314. [Google Scholar] [CrossRef]
- Mondol, M.A.H.; Zhu, X.; Dunkerley, D.; Henley, B.J. Changing occurrence of crop water surplus or deficit and the impact of irrigation: An analysis highlighting consequences for rice production in Bangladesh. Agric. Water Manag. 2022, 269, 107695. [Google Scholar] [CrossRef]
- Piticar, A.; Mihăilă, D.; Lazurca, L.G.; Bistricean, P.-I.; Puţuntică, A.; Briciu, A.-E. Spatiotemporal distribution of reference evapotranspiration in the Republic of Moldova. Theor. Appl. Climatol. 2015, 124, 1133–1144. [Google Scholar] [CrossRef]
- Katerji, N.; Rana, G.; Ferrara, R.M. Actual evapotranspiration for a reference crop within measured and future changing climate periods in the Mediterranean region. Theor. Appl. Climatol. 2016, 129, 923–938. [Google Scholar] [CrossRef]
- Zhou, H.; Jin, P.; Xia, W.; Lei, G. Spatial-temporal characteristics of water surplus and deficit for the main crops in Naoli River Basin of Sanjiang Plain, China. Trans. Chin. Soc. Agric. Eng. 2020, 36, 159–166. [Google Scholar]
- Ji, L.; Duan, K. What is the main driving force of hydrological cycle variations in the semiarid and semi-humid Weihe River Basin, China? Sci. Total Environ. 2019, 684, 254–264. [Google Scholar] [CrossRef]
- Zhang, Y.; Zhang, B.; Ma, B.; Yao, R.; Wang, L. Evaluation of the water conservation capacity of the Weihe River Basin based on the Integrated Valuation of Ecosystem Services and Tradeoffs model. Ecohydrology 2022, 15. [Google Scholar] [CrossRef]
- Zhao, A.; Zhu, X.; Liu, X.; Pan, Y.; Zuo, D. Impacts of land use change and climate variability on green and blue water resources in the Weihe River Basin of northwest China. Catena 2016, 137, 318–327. [Google Scholar] [CrossRef]
- Chang, J.; Wang, Y.; Istanbulluoglu, E.; Bai, T.; Huang, Q.; Yang, D.; Huang, S. Impact of climate change and human activities on runoff in the Weihe River Basin, China. Quat. Int. 2015, 380–381, 169–179. [Google Scholar] [CrossRef]
- Mohajane, M.; Costache, R.; Karimi, F.; Bao Pham, Q.; Essahlaoui, A.; Nguyen, H.; Laneve, G.; Oudija, F. Application of remote sensing and machine learning algorithms for forest fire mapping in a Mediterranean area. Ecol. Indic. 2021, 129, 107869. [Google Scholar] [CrossRef]
- Kutlug Sahin, E. Ismail Colkesen Performance analysis of advanced decision treebased ensemble learning algorithms for landslide susceptibility mapping. Geocarto Int. 2021, 36, 1253–1275. [Google Scholar] [CrossRef]
- Allen, R.G.; Pereira, L.S.; Raes, D.; Smith, M. Crop Evapotranspiration–Guidelines for Computing Crop Water Requirements; FAO Irrigation and Drainage Paper 56 1998; FAO: Rome, Italy, 1998. [Google Scholar]
- Budyko, M.I. Climate and Life; Academic Press: New York, NY, USA, 1974. [Google Scholar]
- Yang, D.; Sun, F.; Liu, Z.; Cong, Z.; Ni, G.; Lei, Z. Analyzing spatial and temporal variability of annual water-energy balance in nonhumid regions of China using the Budyko hypothesis. Water Resour. Res. 2007, 43, W04426. [Google Scholar] [CrossRef]
- Gao, X.; Sun, M.; Zhao, Q.; Wu, P.; Zhao, X.; Pan, W.; Wang, Y. Actual ET modelling based on the Budyko framework and the sustainability of vegetation water use in the loess plateau. Sci. Total Environ. 2016, 579, 1550–1559. [Google Scholar] [CrossRef] [PubMed]
- Liu, W.; Zhang, Y. Spatiotemporal Changes of sc-PDSI and Its Dynamic Drivers in Yellow River Basin. Atmosphere 2022, 13, 399. [Google Scholar] [CrossRef]
- Compo, C.T.G.P. A practical guide to wavelet analysis. Bull. Am. Meteorol. Soc. 1998, 79, 61–78. [Google Scholar]
- Pielke, R.A.; Pitman, A.; Niyogi, D.; Mahmood, R.; McAlpine, C.; Hossain, F.; Goldewijk, K.K.; Nair, U.; Betts, R.; Fall, S.; et al. Land use/land cover changes and climate: Modeling analysis and observational evidence. WIREs Clim. Chang. 2011, 2, 828–850. [Google Scholar] [CrossRef]
- Guiyu Yang, H.W. Analysis of the Interaction between Grain Production and Irrigation Agriculture Development in the Wei River Basin. China Water Resour. 2015, 4, 56–59. [Google Scholar]
- Jin, J.; Miller, N.L. Regional simulations to quantify land use change and irrigation impacts on hydroclimate in the California Central Valley. Theor. Appl. Climatol. 2010, 104, 429–442. [Google Scholar] [CrossRef]
- Kueppers, L.M.; Snyder, M.A.; Sloan, L.C. Irrigation cooling effect: Regional climate forcing by land-use change. Geophys. Res. Lett. 2007, 34, L03703. [Google Scholar] [CrossRef]
- Lobell, D.; Bala, G.; Mirin, A.; Phillips, T.; Maxwell, R.; Rotman, D. Regional Differences in the Influence of Irrigation on Climate. J. Clim. 2009, 22, 2248–2255. [Google Scholar] [CrossRef]
- Sen, O.L.; Bozkurt, D.; Vogler, J.B.; Fox, J.; Giambelluca, T.W.; Ziegler, A.D. Hydro-climatic effects of future land-cover/land-use change in montane mainland southeast Asia. Clim. Chang. 2012, 118, 213–226. [Google Scholar] [CrossRef]
- Adegoke, J.O.; Pielke, R.A.; Eastman, J.; Mahmood, R.; Hubbard, K.G. Impact of irrigation on midsummer surface fluxes and temperature under dry synoptic conditions A regional atmospheric model study of the U.S. high plains. Mon. Weather Rev. 2003, 131, 556–564. [Google Scholar] [CrossRef]
- Haddeland, I.; Lettenmaier, D.P.; Skaugen, T. Effects of irrigation on the water and energy balances of the Colorado and Mekong river basins. J. Hydrol. 2006, 324, 210–223. [Google Scholar] [CrossRef]
- Lobell, D.B.; Bonfils, C. The Effect of Irrigation on Regional Temperatures: A Spatial and Temporal Analysis of Trends in California, 1934–2002. J. Clim. 2008, 21, 2063–2071. [Google Scholar] [CrossRef]
- Ozdogan, M.; Rodell, M.; Beaudoing, H.K.; Toll, D.L. Simulating the Effects of Irrigation over the United States in a Land Surface Model Based on Satellite-Derived Agricultural Data. J. Hydrometeorol. 2010, 11, 171–184. [Google Scholar] [CrossRef]
- Sorooshian, S.; Li, J.; Hsu, K.-l.; Gao, X. How significant is the impact of irrigation on the local hydroclimate in California’s Central Valley? Comparison of model results with ground and remote-sensing data. J. Geophys. Res. 2011, 116, D06102. [Google Scholar] [CrossRef]
- Shah, H.L.; Zhou, T.; Huang, M.; Mishra, V. Strong Influence of Irrigation on Water Budget and Land Surface Temperature in Indian Subcontinental River Basins. J. Geophys. Res. Atmos. 2019, 124, 1449–1462. [Google Scholar] [CrossRef]
- Leng, G.; Huang, M.; Tang, Q.; Sacks, W.J.; Lei, H.; Leung, L.R. Modeling the effects of irrigation on land surface fluxes and states over the conterminous United States: Sensitivity to input data and model parameters. J. Geophys. Res. Atmos. 2013, 118, 9789–9803. [Google Scholar] [CrossRef]
- Bohn, T.J.; Vivoni, E.R. Process-based characterization of evapotranspiration sources over the North American monsoon region. Water Resour. Res. 2016, 52, 358–384. [Google Scholar] [CrossRef]
- Kumar, R.; Mishra, V.; Buzan, J.; Kumar, R.; Shindell, D.; Huber, M. Dominant control of agriculture and irrigation on urban heat island in India. Sci. Rep. 2017, 7, 14054. [Google Scholar] [CrossRef]
- Pei, L.; Moore, N.; Zhong, S.; Kendall, A.D.; Gao, Z.; Hyndman, D.W. Effects of Irrigation on Summer Precipitation over the United States. J. Clim. 2016, 29, 3541–3558. [Google Scholar] [CrossRef]





















| Basin | Station | P Skewness Coefficient | P Kurtosis Coefficient | ET0 Skewness Coefficient | ET0 Kurtosis Coefficient |
|---|---|---|---|---|---|
| Beiluo River basin | Dingbian | 0.83 | −0.67 | 0.05 | −1.53 |
| Wuqi | 0.91 | −0.49 | 0.05 | −1.62 | |
| Yan’an | 0.89 | −0.44 | 0.19 | −1.56 | |
| Luochuan | 0.82 | −0.44 | 0.21 | −1.58 | |
| Mainstream | Yuzhong | 0.74 | −0.43 | −0.04 | −1.25 |
| Ankang | 0.15 | −1.51 | −0.06 | −0.82 | |
| Minxian | 0.20 | −1.66 | −0.16 | −0.58 | |
| Linzhao | 0.50 | −1.10 | −0.16 | −1.14 | |
| Huajialing | 0.51 | −1.10 | 0.19 | −0.84 | |
| Tianshui | 0.20 | −1.61 | −0.04 | −1.08 | |
| Xi’an | 0.21 | −1.21 | 0.19 | −0.89 | |
| Huaxian | 0.46 | −0.72 | 0.27 | −0.33 | |
| Huining | 0.62 | −0.81 | 0.06 | −1.11 | |
| Haiyuan | 0.39 | −1.17 | 0.06 | −0.92 | |
| Xiji | 0.68 | −0.76 | 0.04 | −1.08 | |
| Tongchuan | 0.65 | −0.65 | 0.13 | −0.64 | |
| Baoji | 0.33 | −1.30 | 0.17 | −0.95 | |
| Wugong | 0.35 | −1.22 | 0.37 | −1.11 | |
| Jinghe River basin | Huanxian | 0.81 | −0.44 | 0.09 | −1.05 |
| Guyuan | 0.81 | −0.41 | 0.07 | −0.90 | |
| Pingliang | 0.71 | −0.63 | 0.07 | −0.74 | |
| Xifengdao | 0.68 | −0.69 | 0.14 | −0.85 | |
| Changwu | 0.56 | −0.98 | 0.12 | −0.98 |
Disclaimer/Publisher’s Note: The statements, opinions and data contained in all publications are solely those of the individual author(s) and contributor(s) and not of MDPI and/or the editor(s). MDPI and/or the editor(s) disclaim responsibility for any injury to people or property resulting from any ideas, methods, instructions or products referred to in the content. |
© 2024 by the author. Licensee MDPI, Basel, Switzerland. This article is an open access article distributed under the terms and conditions of the Creative Commons Attribution (CC BY) license (https://creativecommons.org/licenses/by/4.0/).
Share and Cite
Liu, W. Variation in Water Deficit and Its Association with Climate Indices in Weihe River Basin, China. Atmosphere 2024, 15, 339. https://doi.org/10.3390/atmos15030339
Liu W. Variation in Water Deficit and Its Association with Climate Indices in Weihe River Basin, China. Atmosphere. 2024; 15(3):339. https://doi.org/10.3390/atmos15030339
Chicago/Turabian StyleLiu, Wen. 2024. "Variation in Water Deficit and Its Association with Climate Indices in Weihe River Basin, China" Atmosphere 15, no. 3: 339. https://doi.org/10.3390/atmos15030339
APA StyleLiu, W. (2024). Variation in Water Deficit and Its Association with Climate Indices in Weihe River Basin, China. Atmosphere, 15(3), 339. https://doi.org/10.3390/atmos15030339
