Study on the Spatial and Temporal Distribution of Thermal Comfort and Its Influencing Factors in Urban Parks
Abstract
1. Introduction
2. Materials and Methods
2.1. Study Area
2.2. Experimental Design
2.3. Data Correction
2.4. Index Selection
3. Results
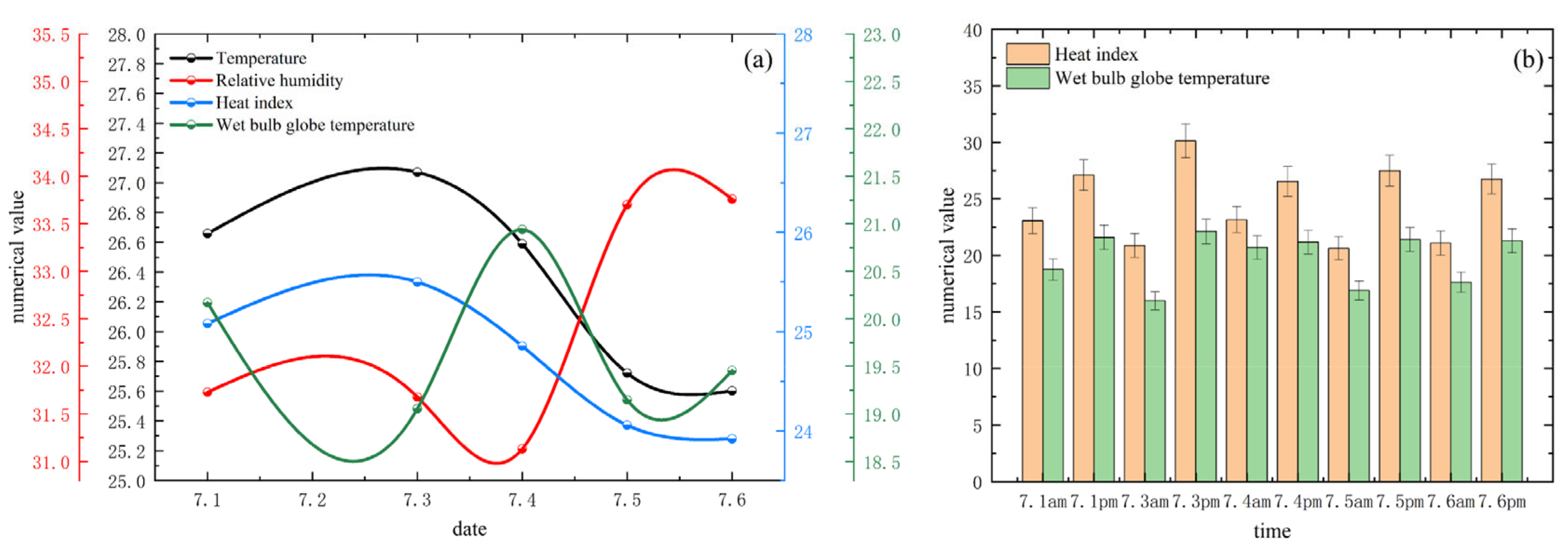
3.1. Thermal Comfort Time Variation Characteristics
3.1.1. Diurnal Variation Characteristics
3.1.2. Minute Change Analysis
3.2. Characteristics of Thermal Comfort Space Change
3.3. Analysis of Influencing Factors of Thermal Comfort
3.3.1. Correlation Analysis
Correlation between Heat Index and Wet-Bulb Globe Temperature
Correlation of Thermal Comfort Test Data
Correlation Analysis between Thermal Comfort and Meteorological Factors
3.3.2. Multiple Linear Regression Analysis
4. Discussion
4.1. Temporal and Spatial Characteristics of Thermal Comfort and Its Influencing Factors
4.2. Limitations of the Study
5. Conclusions
Author Contributions
Funding
Institutional Review Board Statement
Informed Consent Statement
Data Availability Statement
Conflicts of Interest
References
- Seto, K.C.; Fragkias, M. Quantifying spatiotemporal patterns of urban land-use change in four cities of China with time series landscape metrics. Landsc. Ecol. 2005, 20, 871–888. [Google Scholar] [CrossRef]
- Algretawee, H. The effect of graduated urban park size on park cooling island and distance relative to land surface temperature (LST). Urban Clim. 2022, 45, 101255. [Google Scholar] [CrossRef]
- Elnabawi, M.H.; Hamza, N. Behavioural Perspectives of Outdoor Thermal Comfort in Urban Areas: A Critical Review. Atmosphere 2020, 11, 51. [Google Scholar] [CrossRef]
- Wei, D.; Yang, L.C.; Bao, Z.K.; Lu, Y.; Yang, H.T. Variations in outdoor thermal comfort in an urban park in the hot-summer and cold-winter region of China. Sustain. Cities Soc. 2022, 77, 103535. [Google Scholar] [CrossRef]
- Zhang, L.L.L.; Wei, D.; Hou, Y.Y.; Du, J.F.; Liu, Z.; Zhang, G.M.; Shi, L. Outdoor Thermal Comfort of Urban Park-A Case Study. Sustainability 2020, 12, 1961. [Google Scholar] [CrossRef]
- Knez, I.; Thorsson, S. Themal, emotional and perceptual evaluations of a park: Cross-cultural and environmental attitude comparisons. Build. Environ. 2008, 43, 1483–1490. [Google Scholar] [CrossRef]
- Mahmoud, A.H.A. Analysis of the microclimate and human comfort conditions in an urban park in hot and arid regions. Build. Environ. 2011, 46, 2641–2656. [Google Scholar] [CrossRef]
- Amani-Beni, M.; Zhang, B.; Xie, G.D.; Xu, J. Impact of urban park’s tree, grass and waterbody on microclimate in hot summer days: A case study of Olympic Park in Beijing, China. Urban For. Urban Green. 2018, 32, 1–6. [Google Scholar] [CrossRef]
- Zhang, H.C.; Guo, F.; Liu, K.T.; Wang, J.; Dong, J.; Zhu, P.S. Spatial differences in thermal comfort in summer in coastal areas: A study on Dalian, China. Front. Public Health 2022, 10, 1024757. [Google Scholar] [CrossRef]
- Rui, L.Y.; Buccolieri, R.; Gao, Z.; Gatto, E.; Ding, W.W. Study of the effect of green quantity and structure on thermal comfort and air quality in an urban-like residential district by ENVI-met modelling. Build. Simul. 2019, 12, 183–194. [Google Scholar] [CrossRef]
- Wang, Y.F.; Ni, Z.B.; Chen, S.Q.; Xia, B.C. Microclimate regulation and energy saving potential from different urban green infrastructures in a subtropical city. J. Clean. Prod. 2019, 226, 913–927. [Google Scholar] [CrossRef]
- Kumar, P.; Sharma, A. Study on importance, procedure, and scope of outdoor thermal comfort–A review. Sustain. Cities Soc. 2020, 61, 102297. [Google Scholar] [CrossRef]
- Hsieh, C.M.; Jan, F.C.; Zhang, L. A simplified assessment of how tree allocation, wind environment, and shading affect human comfort. Urban For. Urban Green. 2016, 18, 126–137. [Google Scholar] [CrossRef]
- Ren, J.L.; Shi, K.Z.; Li, Z.; Kong, X.F.; Zhou, H.Z. A Review on the Impacts of Urban Heat Islands on Outdoor Thermal Comfort. Build. 2023, 13, 1368. [Google Scholar] [CrossRef]
- Vecellio, D.J.; Wolf, S.T.; Cottle, R.M.; Kenney, W.L. Utility of the Heat Index in defining the upper limits of thermal balance during light physical activity (PSU HEAT Project). Int. J. Biometeorol. 2022, 66, 1759–1769. [Google Scholar] [CrossRef]
- Charai, M.; Mezrhab, A.; Moga, L. A structural wall incorporating biosourced earth for summer thermal comfort improvement: Hygrothermal characterization and building simulation using calibrated PMV-PPD model. Build. Environ. 2022, 212, 108842. [Google Scholar] [CrossRef]
- Rui, J.; Gui, L.; Liu, W.; Wan, Y.; Ran, J.; Zeng, Y. Characteristics and Trends of Thermal Comfort Research on Urban Green Infrastructure: Based on CiteSpace Knowledge Graph Analysis. Econ. Geogr. 2023, 43, 84–92. [Google Scholar]
- Kasmu, A.; Aimaiti, Y. Research on Green Landscape Pattern of Urumqi City Based on ALOS Data. Reg. Res. Dev. 2012, 31, 86–89. [Google Scholar]
- Zhou, J.; Yan, C.; Guo, R.; Yan, Z. A study on the configuration model of plant communities in protective green spaces in arid gravel desert areas. Res. Arid. Areas 2021, 38, 812–820. [Google Scholar]
- Liu, T.; Yang, D.; Zhang, Y.; Cai, T. The spatiotemporal changes and influencing factors of accessibility of urban parks and green spaces: A case study of Urumqi. J. Univ. Chin. Acad. Sci. 2021, 38, 350–359. [Google Scholar]
- Pan, Y.; Liqun, P.; Ce, W. Research on the Strategy of Aging Adaptation and Renovation of Old Parks in Severe Cold Regions: Taking Urumqi People’s Park as an Example. Green Technol. 2022, 24, 59–62. [Google Scholar]
- Minet, L.; Liu, R.; Valois, M.-F.; Xu, J.; Weichentha, S.; Atzopoulou, M. Development and comparison of air pollution exposure surfaces derived from n-road mobile monitoring and short-term stationary sidewalk measurements. Environ. Sci. Technol. 2018, 52, 3512–3519. [Google Scholar] [CrossRef] [PubMed]
- Ghalhari, G.F.; Dehghan, S.F.; Shakeri, F.; Ghanadzadeh, M.J.; Asghari, M. Assessing the monthly changes of heat stress indices in outdoor environment during a 15-year period: Case of study in a dry and warm climate. Urban Clim. 2020, 31, 100538. [Google Scholar] [CrossRef]
- Ghani, S.; Mahgoub, A.O.; Bakochristou, F.; ElBialy, E.A. Assessment of thermal comfort indices in an open air-conditioned stadium in hot and arid environment. J. Build. Eng. 2021, 40, 102378. [Google Scholar] [CrossRef]
- Saikia, D.; Sarma, U.; Boruah, P.K. Development of an Online Heat Index Measurement System for Thermal Comfort Determination. Mapan J. Metrol. Soc. India 2014, 29, 67–72. [Google Scholar] [CrossRef]
- Kuang, W.H. Seasonal Variation in Air Temperature and Relative Humidity on Building Areas and in Green Spaces in Beijing, China. Chin. Geogr. Sci. 2020, 30, 75–88. [Google Scholar] [CrossRef]
- Feitosa, R.C.; Wilkinson, S.J. Small-scale experiments of seasonal heat stress attenuation through a combination of green roof and green walls. J. Clean. Prod. 2020, 250, 119443. [Google Scholar] [CrossRef]
- He, X.D.; Miao, S.G.; Shen, S.H.; Chen, X.J.; Zhang, B.Z.; Zhang, Z.Y.; Chen, X.J. Influence of sky view factor on outdoor thermal environment and physiological equivalent temperature. Int. J. Biometeorol. 2015, 59, 285–297. [Google Scholar] [CrossRef]
- Chafer, M.; Tan, C.L.; Cureau, R.J.; Hien, W.N.; Pisello, A.L.; Cabeza, L.F. Mobile measurements of microclimatic variables through the central area of Singapore: An analysis from the pedestrian perspective. Sustain. Cities Soc. 2022, 83, 103986. [Google Scholar] [CrossRef]
- Zhang, J.; Gou, Z.H.; Lu, Y.; Lin, P.Y. The impact of sky view factor on thermal environments in urban parks in a subtropical coastal city of Australia. Urban For. Urban Green. 2019, 44, 126422. [Google Scholar] [CrossRef]
- Meili, N.; Acero, J.A.; Peleg, N.; Manoli, G.; Burlando, P.; Fatichi, S. Vegetation cover and plant-trait effects on outdoor thermal comfort in a tropical city. Build. Environ. 2021, 195, 107733. [Google Scholar] [CrossRef]
- Li, L.; Zou, Z.Q.; Zhou, T.T.; Zhou, X.Q.; Li, Q.L. Simulation and Analysis of Influencing Factors of Pavement Thermal Environments in Guangzhou. Sustainability 2022, 14, 7251. [Google Scholar] [CrossRef]
- Mughal, M.O.; Kubilay, A.; Fatichi, S.; Meili, N.; Carmeliet, J.; Edwards, P.; Burlando, P. Detailed investigation of vegetation effects on microclimate by means of computational fluid dynamics (CFD) in a tropical urban environment. Urban Clim. 2021, 39, 100939. [Google Scholar] [CrossRef]
- Müller, N.; Kuttler, W.; Barlag, A.B. Counteracting urban climate change: Adaptation measures and their effect on thermal comfort. Theor. Appl. Climatol. 2016, 115, 243–257. [Google Scholar] [CrossRef]
- Tsai, K.T.; Lin, Y.H. Identification of urban park activity intensity at different thermal environments and visible sky by using sound levels. Int. J. Biometeorol. 2018, 62, 1987–1994. [Google Scholar] [CrossRef] [PubMed]
- Ye, J.Y.; Lai, W.L.; Wu, Z.W. Study on Xiamen’s Spring and Winter Thermal Comfort of Outdoor Sports Space in the Residential Community. Buildings 2023, 13, 2369. [Google Scholar] [CrossRef]
- Huang, H.J.; Jie, P.Y. Research on the Characteristics of High-Temperature Heat Waves and Outdoor Thermal Comfort: A Typical Space in Chongqing Yuzhong District as an Example. Buildings 2022, 12, 625. [Google Scholar] [CrossRef]








| Instrument Name and Model | Measurement Parameters | Measuring Range | Accuracy | Resolution Ratio | Sampling Type and Frequency |
|---|---|---|---|---|---|
| Kestrel 5400 | Heat index | −29 to 70 °C | ±0.5 °C | 0.1 °C | Continuation, 5 s average |
| Wet-bulb globe temperature | −29 to 70 °C | ±0.5 °C | 0.1 °C | Continuation, 5 s average | |
| Temp | −29 to 70 °C | ±0.5 °C | 0.1 °C | Continuation, 5 s average | |
| Relative humidity | 10% RH | 2.0% RH | 0.1% | Continuation, 5 s average | |
| Kestrel 5500 | Temp | −29 °C to 70 °C | ±0.5 °C | 0.1 °C | Continuation, 5 s average |
| Relative humidity | 0–100% | 3% | 0.1% | Continuation, 5 s average | |
| Wind Speed | 0.6–40 m/s | ±3% | 0.1 m/s | Continuation, 5 s average | |
| Garmin eTrex 201 | Track | 0–10,000 dot | 3 m | - | Continuation, 1 s average |
| Date | Maximum Temperature | Minimum Temperature | Weather | Wind Speed | Morning Monitoring Period | Afternoon Monitoring Period |
|---|---|---|---|---|---|---|
| 1 July 2023 | 25 °C | 16 °C | sunny | 3 level | 8:30:00–10:53:20 | 15:00:00–17:18:05 |
| 2 July 2023 | 25 °C | 17 °C | cloudy | 4 level | - | - |
| 3 July 2023 | 31 °C | 17 °C | sunny | 3 level | 8:30:00–10:49:05 | 15:00:00–17:19:25 |
| 4 July 2023 | 29 °C | 20 °C | sunny | 3 level | 8:30:00–10:48:25 | 15:00:00–17:22:10 |
| 5 July 2023 | 31 °C | 20 °C | sunny | 3 level | 8:30:00–10:48:00 | 15:00:00–17:15:30 |
| 6 July 2023 | 30 °C | 19 °C | sunny | 1 level | 8:30:00–10:50:50 | 15:00:00–17:21:20 |
| Project | Fixed-Point Monitoring HI | Fixed-Point Monitoring WBGT |
|---|---|---|
| Mobile monitoring HI | 0.994 ** | 0.991 ** |
| Mobile monitoring WBGT | 0.978 ** | 0.996 ** |
| Time | Thermal Comfort | Mobile Monitoring | Fixed-Point Monitoring | |||
|---|---|---|---|---|---|---|
| Temperature | Relative Humidity | Temperature | Relative Humidity | Wind Speed | ||
| 8:30–9:30 | HI | 0.989 ** | −0.671 ** | 0.798 ** | −0.377 ** | −0.214 ** |
| WBGT | 0.748 ** | −0.281 ** | 0.780 ** | −0.316 ** | −0.264 ** | |
| 9:30–10:30 | HI | 0.993 ** | −0.905 ** | 0.905 ** | −0.875 ** | 0.025 |
| WBGT | 0.746 ** | −0.698 ** | 0.837 ** | −0.868 ** | 0.231 ** | |
| 10:30-end | HI | 0.968 ** | −0.538 ** | 0.538 ** | −0.129 | −0.583 ** |
| WBGT | 0.002 | −0.294 ** | 0.399 ** | −0.265 ** | −0.178 ** | |
| 15:00–16:00 | HI | 0.979 ** | −0.724 ** | 0.349 ** | −0.365 ** | −0.099 ** |
| WBGT | 0.491 ** | −0.469 ** | 0.411 ** | −0.495 ** | 0.121 ** | |
| 16:00–17:00 | HI | 0.951 ** | −0.312 ** | −0.019 | −0.075 * | −0.249 ** |
| WBGT | 0.436 ** | 0.124 ** | 0.291 ** | 0.284 ** | 0.136 ** | |
| 17:00-end | HI | 0.957 ** | −0.288 ** | 0.301 ** | −0.451 ** | 0.008 |
| WBGT | −0.006 | −0.137 | −0.361 ** | 0.103 | −0.006 | |
Disclaimer/Publisher’s Note: The statements, opinions and data contained in all publications are solely those of the individual author(s) and contributor(s) and not of MDPI and/or the editor(s). MDPI and/or the editor(s) disclaim responsibility for any injury to people or property resulting from any ideas, methods, instructions or products referred to in the content. |
© 2024 by the authors. Licensee MDPI, Basel, Switzerland. This article is an open access article distributed under the terms and conditions of the Creative Commons Attribution (CC BY) license (https://creativecommons.org/licenses/by/4.0/).
Share and Cite
Liu, Y.; Fan, J.; Xie, S.; Chen, X. Study on the Spatial and Temporal Distribution of Thermal Comfort and Its Influencing Factors in Urban Parks. Atmosphere 2024, 15, 183. https://doi.org/10.3390/atmos15020183
Liu Y, Fan J, Xie S, Chen X. Study on the Spatial and Temporal Distribution of Thermal Comfort and Its Influencing Factors in Urban Parks. Atmosphere. 2024; 15(2):183. https://doi.org/10.3390/atmos15020183
Chicago/Turabian StyleLiu, Yujie, Jiayu Fan, Siqi Xie, and Xuegang Chen. 2024. "Study on the Spatial and Temporal Distribution of Thermal Comfort and Its Influencing Factors in Urban Parks" Atmosphere 15, no. 2: 183. https://doi.org/10.3390/atmos15020183
APA StyleLiu, Y., Fan, J., Xie, S., & Chen, X. (2024). Study on the Spatial and Temporal Distribution of Thermal Comfort and Its Influencing Factors in Urban Parks. Atmosphere, 15(2), 183. https://doi.org/10.3390/atmos15020183

