The Influence of Climate Change and Socioeconomic Transformations on Land Use and NDVI in Ordos, China
Abstract
1. Introduction
2. Study Area and Data Sources
2.1. Overview of the Study Area
2.2. Meteorological Condition
2.3. Data Sources and Preprocessing
3. Research Methods
3.1. Technical Process
- Data Acquisition: Based on the GEE platform, remote sensing image collections of Ordos City for the years 2003, 2008, 2013, 2018, and 2023 were retrieved in the API editing interface. Operations such as synthesis and cloud removal were performed to obtain the dataset products for Ordos City;
- Sample Selection: Land cover data for the years 2003, 2008, 2013, 2018, and 2023 were obtained from Landsat images. Sample points were selected based on the principles of stability and uniformity, and the sample points were divided into training samples and validation samples in a 7:3 ratio to avoid model overfitting;
- Supervised Classification: The random forest classification method was used to classify the images of Ordos City for the years 2003, 2008, 2013, 2018, and 2023, and validation sample points were used to check the classification results;
- Comparative Analysis of Results: The land use data result for Ordos City in 2018 was selected and compared with other data from the same period to assess the accuracy of the land use data products based on the GEE platform. Socioeconomic data were used as auxiliary information to analyze the factors influencing land use changes in Ordos City.
3.2. Sample Point Selection
3.3. Classification Feature Extraction
3.3.1. Spectral Features
- Normalized Difference Vegetation Index (NDVI) is an indicator that reflects the vegetation condition of land cover. In remote sensing data, it is calculated as the difference between the reflectance values of the near-infrared band and the red band, divided by the sum of both. NDVI is widely used in remote sensing, typically for monitoring vegetation growth status, coverage area, and crop classification [25]. It is represented as:where NIR is the reflectance value of the near-infrared band, and R is the reflectance value of the red band.
- Normalized Difference Water Index (NDWI): In remote sensing imagery, specific bands are used to highlight water body information based on their sensitivity to water. The trend of water bodies in the B2–B4 phase shows a significant decline, with reflectance values decreasing markedly. When the threshold is set to 0, all positive NDWI values are classified as water bodies [26]. It is represented as:where Green represents the reflectance value of the green band, and NIR represents the reflectance value of the near-infrared band.
- Normalized Difference Built-up Index (NDBI): It can accurately reflect built-up land information, with larger values indicating a higher proportion of built-up land. The greater the value, the deeper the NDBI image, suggesting a higher proportion and density of built-up areas. By visual interpretation, suitable thresholds can be identified to extract built-up land, with index values ranging from [−1, +1] [27]. It is represented as:where MIR represents the reflectance value of the short-infrared band, and NIR represents the reflectance value of the near-infrared band.
3.3.2. Topographic Features
3.4. Supervised Classification
3.4.1. Principle of the RF Algorithm
3.4.2. Classification Accuracy Evaluation Method
3.5. LST, Rainfall and NDVI Acquisition Method
4. Results and Analysis
4.1. Accuracy Assessment
4.2. Structural Changes in Different Types of Land Use
4.3. Spatiotemporal Distribution of Changes in Different Types of Land Use
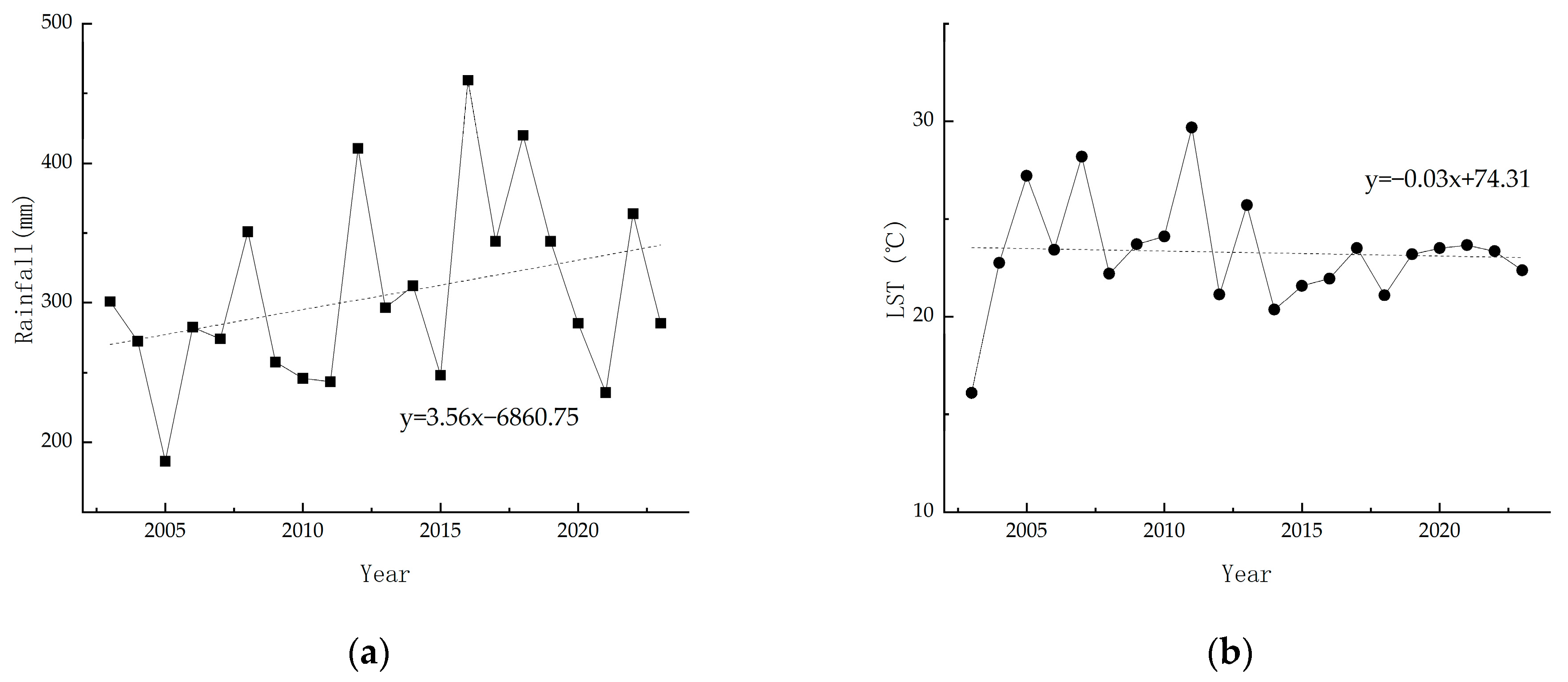
4.4. Climate Change and Socioeconomic Change
- LST and Rainfall inversion;
- Economic Development Driving Factors;
- Livelihood Development Driving Factors;
- Driving Factors of Urbanization Development.
4.5. The Impact of Climate on NDVI and LUCC
5. Discussion
6. Conclusions
Supplementary Materials
Author Contributions
Funding
Institutional Review Board Statement
Informed Consent Statement
Data Availability Statement
Conflicts of Interest
References
- Li, X. Core Areas of Global Environmental Change Research: International Research Trends on Land Use/Land Cover Change. Acta Geogr. Sin. 1996, 51, 553–558. [Google Scholar]
- Mahdianpari, M.; Granger, J.E.; Mohammadimanesh, F.; Salehi, B.; Brisco, B.; Homayouni, S.; Gill, E.; Huberty, B.; Lang, M. Meta-Analysis of Wetland Classification Using Remote Sensing: A Systematic Review of a 40-Year Trend in North America. Remote Sens. 2020, 12, 1882. [Google Scholar] [CrossRef]
- Zhao, H.; Jia, L.; Yin, Z.; Jiang, J.; Wang, L.; Zhu, X. Monitoring Land Use/Cover and Ecological Environment Changes in Tongzhou District, Beijing, Based on Multi-Source Remote Sensing Data. Geogr. Geogr. Inf. Sci. 2019, 35, 38–43+2. [Google Scholar]
- Dong, X.; Liu, P. Research on the Impact of Land Use Change on Ecosystem Service Value Based on GEE: A Case Study of the Beijing-Tianjin-Hebei Region. J. Cent. China Norm. Univ. (Nat. Sci. Ed.) 2020, 54, 670–678. [Google Scholar]
- Feng, K.; Mao, D.; Wang, Z.; Pu, H.; Du, B.; Qu, Z. Spatiotemporal Characteristics of Global Urban Land Expansion Occupying Water Bodies from 1986 to 2015 Based on GEE and Remote Sensing Big Data. Geogr. Sci. 2022, 42, 143–151. [Google Scholar]
- Tamiminia, H.; Salehi, B.; Mahdianpari, M.; Quackenbush, L.; Adeli, S.; Brisco, B. Google Earth Engine for geo-big data applications: A meta-analysis and systematic review. ISPRS J. Photogramm. Remote Sens. 2020, 164, 152–170. [Google Scholar] [CrossRef]
- Wen, S.; Wang, Y.; Song, H.; Liu, H.; Sun, Z.; Bilal, M.A. Integrated Predictive Modeling and Policy Factor Analysis for the Land Use Dynamics of the Western Jilin. Atmosphere 2024, 15, 288. [Google Scholar] [CrossRef]
- Fu, D.; Xiao, H.; Su, F.; Zhou, C.; Dong, J.; Zeng, Y.; Yan, K.; Li, S.; Wu, J.; Wu, W.; et al. Development of Remote Sensing Cloud Computing Platforms and Their Applications in Earth Sciences. J. Remote Sens. 2021, 25, 220–230. [Google Scholar] [CrossRef]
- Roy, S.; Chintalacheruvu, M.R. Google Earth Engine-based morphometric parameter evaluation and comparative analysis of soil erosion susceptibility using statistical and machine learning algorithms in large river basins. Earth Sci. Inform. 2024, 17, 75–97. [Google Scholar] [CrossRef]
- Yang, L.; Zhang, J.; Gong, E.; Liu, M.; Ren, J.; Wang, Y. Analysis of Land Use Spatiotemporal Patterns and Driving Forces in Xi’an Based on GEE and Multi-Source Data. Trans. Chin. Soc. Agric. Eng. 2022, 38, 279–288. [Google Scholar]
- Li, H. Analysis of Spatiotemporal Patterns and Driving Mechanisms of Land Use in Ethiopia. Master’s Thesis, Liaoning University of Science and Technology, Anshan, China, 2021; pp. 2–4. [Google Scholar]
- Wang, X.; Tian, J.; Li, X.; Wang, L.; Gong, H.; Chen, B.; Li, X.; Guo, J. Changes in Remote Sensing Development Due to Google Earth Engine Cloud Platform. J. Remote Sens. 2022, 26, 299. [Google Scholar] [CrossRef]
- Wang, X.; Shi, S. Study on Spatiotemporal Changes of Vegetation in the Yellow River Basin and Its Topographical Effects Based on GEE. J. Earth Inf. Sci. 2022, 24, 1087–1098. [Google Scholar]
- Li, X.; Huang, L.; Li, K. Analysis of Spatiotemporal Changes in Land Use around Erhai Lake from 1991 to 2020 Based on GEE Platform. Glob. Position. Syst. 2021, 46, 17–25. [Google Scholar]
- Su, Z.; Sun, Y.; Song, Y.; Miao, D.; Song, B.; Du, X. Multi-Scale Time Series Analysis of the Yellow River Delta Area Based on GEE and GIS. Adv. Mar. Sci. 2022, 40, 90–101. [Google Scholar]
- Dai, S.; Yi, X.; Luo, H.; Li, H.; Li, M.; Zheng, Q.; Hu, Y. Research on Land Use Classification in Hainan Island Based on GEE and Landsat Time Series Data. J. Trop. Crop Sci. 2021, 42, 3351–3357. [Google Scholar]
- Xiong, Y.; Zhang, H.; Liang, Y.; Luo, W.; Hong, L. Monitoring Land Cover Change Based on Google Earth Engine and Multi-Source Remote Sensing Data. Geospat. Inf. 2021, 19, 73–82. [Google Scholar]
- Wang, M.; Liu, P.; Chen, X.; Wang, F.; Song, Y.; Liu, H. Study on Urban Construction Land Expansion in Northeast China Based on GEE. J. Jilin Univ. (Earth Sci. Ed.) 2022, 52, 292–304. [Google Scholar]
- Dai, X.; Shen, R.; Wang, J.; Wang, J.; Zhou, J. Land Use Change Detection in Henan Province Supported by GEE Remote Sensing Cloud Platform. J. Surv. Sci. Technol. 2021, 38, 287–294. [Google Scholar]
- Qin, H.; Luo, H.; Wang, X. Extraction of Land Use/Cover Classification Information in Linyi Based on GEE and Sentinel-2 Imagery. Eng. Investig. 2021, 49, 69–73. [Google Scholar]
- Peng, Y.; Li, Z.; Yao, X.; Mu, J.; Han, w.; Wang, P. Analysis of Area Changes and Influencing Factors of Bosten Lake Based on Multi-Source Remote Sensing Data and GEE Platform. J. Earth Inf. Sci. 2021, 23, 1131–1153. [Google Scholar]
- Ma, G. Study on Land Use/Cover and Vegetation Coverage Changes in Ordos City. Master’s Thesis, Inner Mongolia University, Hohhot, China, 2020; pp. 12–14. [Google Scholar]
- Zhang, X. Research on Global 30-Meter Land Cover Quantitative Remote Sensing Classification and Mapping. Ph.D. Thesis, University of Chinese Academy of Sciences (Institute of Aerospace Information Innovation Chinese Academy of Sciences), Beijing, China, 2020; pp. 99–113. [Google Scholar]
- Fang, M.; Liu, X.; Kong, F.; Li, M.; Pei, X. A Method for Creating Yearly Land Cover Data Based on GEE Platform: A Case Study of the Yellow River Basin. Nat. Resour. Remote Sens. 2022, 34, 135–141. [Google Scholar]
- Zhang, Z.; Hua, L.; Zheng, X.; Li, J. Extraction of Planting Patterns in the Jianghan Plain Based on GEE Platform and Sentinel-NDVI Time Series Data. Trans. Chin. Soc. Agric. Eng. 2022, 38, 196–202. [Google Scholar]
- Lu, T.; Shao, C.; Ren, X.; Ma, H.; Wang, L. Spatiotemporal Changes of Water Area in Songtao Reservoir from 1990 to 2019 Based on GEE Platform. Sci. Technol. Eng. 2021, 21, 11472–11479. [Google Scholar]
- Yang, Y.; Zhang, X.; Xue, M. Research on Urban Expansion Evolution in Mountain Cities Based on GEE Platform: A Case Study of Chongqing Main Urban Area. Surv. Geogr. Inf. 2022, 47, 78–83. [Google Scholar] [CrossRef]
- Belgiu, M.; Draguţ, L. Random forest in remote sensing: A review of applications and future directions. ISPRS J. Photogramm. Remote Sens. 2016, 114, 24–31. [Google Scholar] [CrossRef]
- Xu, J.; Chen, C.; Zhou, S.; Hu, W.; Zhang, W. Land use classification in mine-agriculture compound area based on multi-feature random forest: A case study of Peixian. Front. Sustain. Food Syst. 2024, 7, 1335292. [Google Scholar] [CrossRef]
- Sparey, M.; Williamson, M.S.; Cox, P.M. Machine Learning for Global Bioclimatic Classification: Enhancing Land Cover Prediction through Random Forests. Atmosphere 2024, 15, 700. [Google Scholar] [CrossRef]
- Zhao, W.; Duan, S.B. Reconstruction of daytime land surface temperatures under cloud-covered conditions using integrated MODIS/Terra land products and MSG geostationary satellite data. Remote Sens. Environ. 2020, 247, 111931. [Google Scholar] [CrossRef]
- Ermida, S.L.; Soares, P.; Mantas, V.; Göttsche, F.-M.; Trigo, I.F. Google Earth Engine Open-Source Code for Land Surface Temperature Estimation from the Landsat Series. Remote Sens. 2020, 12, 1471. [Google Scholar] [CrossRef]
- Ye, Z.; Miao, P.; Li, N.; Wang, Y.; Meng, F.; Zhang, R.; Yin, S. Dynamic Relationship between Agricultural Water Use and the Agricultural Economy in the Inner Mongolia Section of the Yellow River Basin. Sustainability 2023, 15, 12979. [Google Scholar] [CrossRef]
- Hamnett, C. Is Chinese Urbanisation Unique? Urban Stud. 2020, 57, 690–700. [Google Scholar] [CrossRef]
- Long, Y. Redefining Chinese City System with Emerging New Data. Appl. Geogr. 2016, 75, 36–48. [Google Scholar] [CrossRef]
- Zhang, T.; Lin, Z.; Wang, L.; Zhang, W.; Zhang, Y.; Hu, Y. The Heterogeneous Effects of Microscale-Built Environments on Land Surface Temperature Based on Machine Learning and Street View Images. Atmosphere 2024, 15, 549. [Google Scholar] [CrossRef]
- Zheng, Y.; Liu, J.H.; Liu, Y. Analysis of vegetation coverage change and driving factors in ordos city from 2000 to 2018. Res. Environ. Sci. 2022, 10, 1–14. [Google Scholar]
- An, M.; Meng, F.; He, W.; Xue, F.; Song, M.; Xie, P.; Wang, B. Assessment on eco-environmental quality of the Yellow River Basin by considering desertification index. J. Mt. Sci. 2024, 21, 3275–3292. [Google Scholar] [CrossRef]
- Cui, J.; Zhu, M.; Liang, Y.; Qin, G.; Li, J.; Liu, Y. Land use/land cover change and their driving factors in the Yellow River Basin of Shandong Province based on google earth Engine from 2000 to 2020. ISPRS Int. J. Geo-Inf. 2022, 11, 163. [Google Scholar] [CrossRef]











| Data | Data Usage Time | Resolution | Purpose |
|---|---|---|---|
| Landsat 5/TM | 1 March 1984–31 January 2013 | 30 m | Thematic Mapping |
| Landsat 8/OIL | 11 April 2013–now | 30 m | Thematic Mapping |
| GlobeLand 30 | 2000, 2010, 2020 | 30 m | Contrast |
| ERSI | 2020 | 10 m | Contrast |
| 30 m data from Chinese Academy of Sciences | 1985–2020 | 30 m | Contrast |
| Name | Meaning |
|---|---|
| Cultivated Land | Land used for planting crops, primarily dry land in the study area |
| Forest Land | Land covered by trees and shrubs, including natural and artificial forests |
| Grassland | Various types of grassland dominated by herbaceous plants with a coverage of over 5%, including shrub grasslands mainly used for grazing and sparse woodlands with a canopy cover below 10% |
| Built-up Land | Land used for urban and rural settlements, as well as industrial, mining, and transportation areas |
| Water | Natural and artificial water areas, including wetlands, lakes, rivers, and water conservancy facilities |
| Unused Land | Land that is currently not utilized, including difficult-to-use areas such as deserts and bare soil vegetation |
| Year | 2003 | 2008 | 2013 | 2018 | 2023 | Average |
|---|---|---|---|---|---|---|
| Overall Accuracy (%) | 82.60 | 79.23 | 87.13 | 86.23 | 79.31 | 82.9 |
| Kappa Coefficient | 0.791 | 0.75 | 0.84 | 0.835 | 0.751 | 0.793 |
| Google Earth | Chinese Academy of Sciences 30 m Global Data | ESRI 10 m Data | GlobeLand 30 m Data | This Study 30 m | |
|---|---|---|---|---|---|
| Cultivated Land | ![]() | ![]() | ![]() | ![]() | ![]() |
| Forest Land | ![]() | ![]() | ![]() | ![]() | ![]() |
| Grassland | ![]() | ![]() | ![]() | ![]() | ![]() |
| Built-up Land | ![]() | ![]() | ![]() | ![]() | ![]() |
| Water | ![]() | ![]() | ![]() | ![]() | ![]() |
| Unused Land | ![]() | ![]() | ![]() | ![]() | ![]() |
![]() | |||||
| Year | 2003 | 2008 | 2013 | 2018 | 2023 | |
|---|---|---|---|---|---|---|
| Category | ||||||
| Cultivated Land | 1801.08 | 2266.39 | 1694.06 | 1161.6 | 1321 | |
| Area Percentage (%) | 13.78 | 17.34 | 12.96 | 8.89 | 10.11 | |
| Forest Land | 248.27 | 87.90 | 942.12 | 279.09 | 600.89 | |
| Area Percentage (%) | 1.90 | 0.67 | 7.21 | 2.14 | 4.6 | |
| Grassland | 6415.99 | 6589.70 | 5348.39 | 6608.67 | 5982.58 | |
| Area Percentage (%) | 49.10 | 50.43 | 40.93 | 50.57 | 45.78 | |
| Water | 100.59 | 102.62 | 165.02 | 188.01 | 179.60 | |
| Area Percentage (%) | 0.77 | 0.79 | 1.26 | 1.44 | 1.37 | |
| Built-up Land | 858.27 | 920.91 | 1063.81 | 1140.30 | 1291.16 | |
| Area Percentage (%) | 6.57 | 7.05 | 8.14 | 8.73 | 9.88 | |
| Unused Land | 3643.80 | 3100.48 | 3854.59 | 3690.32 | 3692.76 | |
| Area Percentage (%) | 27.88 | 23.73 | 29.50 | 28.24 | 28.26 | |
| 2003/2023 | Cultivated Land | Forest Land | Grassland | Water | Built-Up Land | Unused Land |
|---|---|---|---|---|---|---|
| Cultivated Land | 769.97 | 42.53 | 822.23 | 10.67 | 131.76 | 17.67 |
| Forest Land | 11.49 | 8.87 | 165.62 | 2.17 | 48.87 | 11.11 |
| Grassland | 495.96 | 34.11 | 5597.72 | 3.80 | 235.62 | 84.45 |
| Water | 10.95 | 0.95 | 4.57 | 19.55 | 17.40 | 37.50 |
| Built-up Land | 121.58 | 17.60 | 324.42 | 12.97 | 321.17 | 54.23 |
| Unused Land | 202.08 | 1.17 | 2011.74 | 1.95 | 150.91 | 1210.24 |
Disclaimer/Publisher’s Note: The statements, opinions and data contained in all publications are solely those of the individual author(s) and contributor(s) and not of MDPI and/or the editor(s). MDPI and/or the editor(s) disclaim responsibility for any injury to people or property resulting from any ideas, methods, instructions or products referred to in the content. |
© 2024 by the authors. Licensee MDPI, Basel, Switzerland. This article is an open access article distributed under the terms and conditions of the Creative Commons Attribution (CC BY) license (https://creativecommons.org/licenses/by/4.0/).
Share and Cite
Cao, Y.; Ye, Z.; Bao, Y. The Influence of Climate Change and Socioeconomic Transformations on Land Use and NDVI in Ordos, China. Atmosphere 2024, 15, 1489. https://doi.org/10.3390/atmos15121489
Cao Y, Ye Z, Bao Y. The Influence of Climate Change and Socioeconomic Transformations on Land Use and NDVI in Ordos, China. Atmosphere. 2024; 15(12):1489. https://doi.org/10.3390/atmos15121489
Chicago/Turabian StyleCao, Yin, Zhigang Ye, and Yuhai Bao. 2024. "The Influence of Climate Change and Socioeconomic Transformations on Land Use and NDVI in Ordos, China" Atmosphere 15, no. 12: 1489. https://doi.org/10.3390/atmos15121489
APA StyleCao, Y., Ye, Z., & Bao, Y. (2024). The Influence of Climate Change and Socioeconomic Transformations on Land Use and NDVI in Ordos, China. Atmosphere, 15(12), 1489. https://doi.org/10.3390/atmos15121489
































