Abstract
The devastating effects of rain-induced attenuation on communication links operating above 10 GHz during rainy events can significantly degrade signal quality, leading to interruptions in service and reduced data throughput. Understanding the spatial and seasonal distribution of rain heights is crucial for predicting these attenuation effects and for network performance optimization. This study utilized ten years of atmospheric temperature and geopotential height data at seven pressure levels (1000, 850, 700, 500, 300, 200, and 100 hPa) obtained from the Copernicus Climate Data Store (CDS) to deduce rain heights across nine stations in South Africa. The kernel density estimation (KDE) method was applied to estimate the temporal variation of rain height. A comparison of the measured and estimated rain heights shows a correlation coefficient of 0.997 with a maximum percentage difference of 5.3%. The results show that rain height ranges from a minimum of 3.5 km during winter in Cape Town to a maximum of about 5.27 km during the summer in Polokwane. The spatial variation shows a location-dependent seasonal trend, with peak rain heights prevailing at the low-latitude stations. The seasonal variability indicates that higher rain heights dominate in the regions (Polokwane, Pretoria, Nelspruit, Mahikeng) where there is frequent occurrence of rainfall during the winter season and vice versa. Contour maps of rain heights over the four seasons (autumn, spring, winter, and summer) were also developed for South Africa. The estimated seasonal rain heights show that rain-induced attenuations were grossly underestimated by the International Telecommunication Union (ITU) recommended rain heights at most of the stations during autumn, spring, and summer but fairly overestimated during winter. Durban had a peak attenuation of 15.9 dB during the summer, while Upington recorded the smallest attenuation of about 7.7 dB during winter at a 0.01% time exceedance. Future system planning and adjustments of existing infrastructure in the study stations could be improved by integrating these localized, seasonal radio propagation data in link budget design.
1. Introduction
One of the significant atmospheric disturbances impacting the transmission of radio signals in satellite and microwave communications is rain attenuation. Rain attenuation remains a major challenge in the tropical and subtropical regions and has become an essential research study in South Africa, a subtropical country characterized by diverse climatic conditions [1]. The attenuation effect increases with the height and intensity of rainfall and other transmission parameters such as signal frequency, polarization, station elevation, etc. Rain height refers to the altitude within the troposphere at which rainwater droplets are sufficient to establish the permissible rain-induced attenuation on communication systems operating at frequencies over 10 GHz [2]. Seasonal variation and spatial variation of rain height affects the specification and redesigning of communication systems in regions with high rain intensity [3]. South Africa has many climate zones which include an arid climate zone in the west, a subtropical climate zone in the northeast, and a mediterranean climate in the south, thus changing the period of the rainy season and other precipitation parameters. Such differences influence the distribution of rain height, which in turn affects rain attenuation severity during different seasons, as suggested by Malinga and Mphale [4].
Rain heights in general are estimated using atmospheric data such as bright-band height and the freezing height level from remote sensing devices like weather radar and satellite imagery, along with calibrated ground measured data and statistical models [5]. In addition, the determination of rain height on a geographical basis assists in proper planning and avoiding massive signal loss in radio wave propagation [6]. The consequences of rainfall affecting signal strength mean a great deal to the telecommunication industry in South Africa because the country falls under a subtropical region where rain poses a significant threat to radio propagation. According to radio engineers’ and users’ experience, attenuation lowers signal strength and data transfer rates and leads to service disruptions in both ground-based microwave transmission and satellite links [2]. Based on research findings of seasonal variability and spatial distribution of rain height, engineers and communication network designers can incorporate better systems that can be relayed even under unfavorable weather conditions [4]. The present work enriches the body of knowledge focusing on attempts to reduce rain attenuation effects and enhance communication systems in South Africa by proposing an optimal spatial and seasonal rain height estimation method using KDE.
Various approaches have been used to determine the heights of rain ranging from computation using radar data, statistical analysis, and model development. Rainfall intensity and distribution data obtained from precipitation radar are mostly used for computation. For instance, Quibus et al. [7] suggested satellite-based estimation of precipitation parameters, which are essential for defining the height of rain and have an influence on the attenuation of radio signals. Also, parametric models that have involved the power–law relationship between rainfall rates and rain height are used to predict rain heights using the rainfall intensities recorded [8]. There were significant positive correlations of about 0.73–0.85 between rain height and upper air temperature as reported by Lawal et al. [9] for some selected tropical stations in Nigeria. Olurotimi et al. [10] applied the three-parameter Dagum distribution model to fit rain height in Durban, South Africa. The shape and the scale parameters of the distribution were somewhat unstable, and the magnitude of variations was greater, as indicated by the corresponding RMSE of 0.26. Their research could not produce a robust database because it is limited to Durban alone. Moreover, the TRMM-PR data that were used for the research have been replaced by GPM data, an improved version of TRMM data.
The ITU-R stated that in regions where there are no localized parameters, the recommended rain heights obtainable from the global mean zero-degree isotherm height (ZDIH) map should be adopted [11]. However, several studies have revealed that the ITU-R ZDIH map provides poor estimation when compared with measurements from both ground-based and satellite-borne radars [12,13,14,15,16].
The spatio-temporal variation of rain-induced attenuation informed the decision to conduct this study to obtain accurate knowledge of the spatial and seasonal distribution of rain height. Precise estimates of rain height are therefore crucial to help maximize the efficiency of communication links, especially in systems that suffer from high rain attenuation such as high-frequency radio links. Telecommunications systems can also benefit from the inclusion of more elaborate geographic data, as the studies by Kim et al. [17] have pointed out. Moreover, the application of artificial intelligence with machine learning to rainfall estimation models offers a potential approach to improve the estimation of rain height.
Kernel density estimation (KDE) is one of the best non-parametric approaches in meteorological research that can contribute to the improvement in the estimation of the spatio-temporal distribution of meteorological information [18]. By employing KDE, researchers can estimate rain height distribution accurately and identify the influence of extreme variations on rain-induced attenuation, which is vital for mitigating their impacts on communication networks [19]. Incorporating KDE with the help of machine learning improves the accuracy of prediction, as well as identifying additional interactions during analysis which could not be spotted by using common statistical approaches [20].
2. Methodology
2.1. Climatology of Research Locations and Data Source
The selected locations used in this work are Port Elizabeth, Bloemfontein, Pretoria, Durban, Polokwane, Nelspruit, Kimberly, Mahikeng, and Cape Town. The study area map and the characteristics of the stations are presented in Figure 1 and Table 1, respectively. The stations were carefully selected to represent each of the nine provinces in South Africa.
Figure 1.
A map of South Africa showing the nine study stations.
Table 1.
The study locations and their characteristics [21,22].
South Africa is situated at the south of the African continent where it meets the southern hemisphere of the world. It is bounded by longitudes 18–32° E and latitudes 23–34° S, as shown in Figure 1. It is a subtropical country classified as ITU Region 1 according to ITU regional classification. The four traditional annual weather seasons together with their features are highlighted in Table 2 below. The diversity in the country’s climate is due to the relative complex topography, ocean proximity, and rainfall distribution of the constituent cities [23,24]. For instance, the southern region including Port Elizabeth and Cape Town has a Mediterranean climate (hot dry summer and cool wet winter), while the north including Polokwane, Nelspruit, etc., has a subtropical highland climate (hot wet summer with thunderstorms and wet cool winter) [22]. Further details about the individual study stations and their local weather can be found on the South Africa Weather Service website [25].
Table 2.
South Africa weather seasons and their characteristics [26].
The vertical profile of the atmospheric temperature and geopotential height at seven pressure levels (1000, 850, 700, 500, 300, 200, and 100 hPa) were retrieved from the ERA5 global reanalysis dataset of the CDS. The CDS is an open access database for retrieving a wide range of climate data. It is developed and being maintained by the European Centre for Medium-Range Weather Forecasts (ECMWF). It provides detailed global climate information to enhance research and decision making on climate adaptation and mitigation [27,28]. The geometric metric height at which the atmospheric temperature becomes zero degrees Celsius, commonly referred to as the zero-degree isotherm height (ZDIH), was computed from the geopotential height and temperature using the interpolation technique. The data were processed to obtain the daily rain height for each station using Equation (1) [11].
where is the zero-degree isotherm height.
The rain height data were classified into the four dominant seasons in South Africa, as described in Table 2. KDE was applied to estimate the seasonal values of rain height across the study stations.
2.2. An Overview of Kernel Density Estimation (KDE)
The KDE method is an efficient way to address non-parametric data for decision making and to understand data distribution [18]. The non-parametric estimation technique is a fully flexible estimation technique where the true nature of the distribution can be ascertained, and is therefore a flexible estimator. Since the PDF is derived from the data sample, the structure of the data is not predetermined. The details concerning the data structure can easily be disclosed since the non-parametric technique does not presume a distribution pattern. This is also true for each data point, represented by a smooth curve referred to as the kernel function. The kernel function f(v) of a variable v is given as follows:
where m is the sample size, h is the width commonly called the bandwidth, and Xn is the nth observation of the data. When all of these curves are integrated with the densities of all of the data points, then it is referred to as the kernel density estimate. The seasonal median rain height for all of the stations was modeled using the four kernels identified below. The bandwidth is optimized by giving a tradeoff between the fluctuation in the data and the smoothness to capture the best window width. This is provided by various types of kernel functions, as provided in Equations (4), (6), (8) and (10). A low value of optimized bandwidth indicates better density estimation.
- Gaussian Kernel
The Gaussian kernel gives specific dues which offer very smooth density estimate support for a given set of data. They are most useful if the applied data are normally distributed. The Gaussian non-parametric kernel density estimate is given as follows [29]:
The optimal bandwidth h is expressed as follows:
where is the standard deviation of the data.
The Gaussian kernel is mostly used for several applications due to its good smoothing capability, though it can over-smooth sharp edges and peaks due to its infinite support.
- 2.
- Epanechnikov Kernel
This kernel was developed by Epanechnikov [30] with good performance in terms of bias–variance tradeoff due to its fixed bandwidth and minimization of the mean integrated square error (MISE). The kernel function is given by the Epanechnikov equation as follows [30]:
The optimal bandwidth is expressed as follows:
- 3.
- Triangular Kernel
This is a finite kernel that has a simple structure, and it is used in linear approximation, which works between the extremes of continuity and local flexibility. The triangular kernel density function f(v) and h, which gives the optimal bandwidth, are presented in Equations (7) and (8) [31].
It is easier to apply and faster than the Gaussian kernel but not as continuous as Gaussian, and it has biases near boundary values.
- 4.
- Rectangular Kernel
This is the fastest and simplest kernel density estimation method commonly used for processing large datasets. Although it is has poor smoothing abilities and it is less accurate due to its simple structure, it is preferred for real-time fast data processing. The rectangular density function and the window width are presented in Equations (9) and (10), respectively [31].
The kernel functions above were applied to the rain height dataset to construct the estimated PDF. The kernel with the least error was identified for each station by computing the Integrated Squared Errors (ISEs) using the numerical integration method in Equation (11) and comparing the various results from the kernels.
where is the true density function, is the kernel density estimate, and is the spacing between data grid points. The ISE is a measure of how well a kernel density estimate approximates the true density function of the dataset. The four kernel models described above were used to estimate rain heights at the nine stations. The kernel that best describes the sharpest median value of a dataset is the one with the smallest value of the ISE. The kernel with the smoothest fit for training the estimation on the dataset is determined by window width. Hence, the kernel with the optimum widow width is considered to improve the estimation smoothness. The kriging and inverse distance weighting methods were applied to develop seasonal rain height contour maps for South Africa using the version 10.3.1 of ArcGIS software application.
2.3. Effects of Rain Heights on Rain-Induced Attenuation
Rain-induced attenuations were computed based on the ITU-R-recommended rain height, the measured seasonal rain height, and the estimated seasonal rain height at all nine stations. The 1 min mean annual rain rate exceeded at 0.01% of time for the nine stations were obtained from the work of Fashuyi [32]. The satellite used as case study is the IS20 which beam internet and DSTV cable television services to South Africa at an elevation angle of 68.5° and Ku-Band downlink frequency of 12 GHz. The latitudes of the earth stations used for this study are provided in Table 1. The procedure for the computation of rain attenuation can be found in the ITU-R P.618-13 recommendation [6]. The results obtained are presented and discussed compared with other stations’ results in the subsequent section.
3. Results and Discussion
3.1. Validation of ZDIH Data Extracted from ERA-5
For the purpose of validation, the ZDIH data (ERA-5 Satellite Data) used for this study were compared with the available Durban radiosonde data obtained from the South African Weather Service (SAWS). The radiosonde, which was sounded daily at the Durban International Airport, measures atmospheric parameters such as temperature, pressure, relative humidity, dew point, wind speed, etc., as it ascends from the ground’s surface to the upper atmosphere. The available data presented in Figure 2a and Figure 3a are the daily vertical profile of the atmospheric temperature for the month of March and July 2015, respectively.
Figure 2.
(a) Daily vertical profile of atmospheric temperature and (b) monthly mean temperature for March 2015 at Durban.
Figure 3.
(a) Daily vertical profile of atmospheric temperature and (b) monthly mean temperature for July 2015 at Durban.
The corresponding monthly average temperature profiles, from which the mean ZDIH values are derived, are presented in Figure 2b and Figure 3b. It was observed that the mean ZDIH for March and July is about 4623 m and 3820 m, respectively. This aligned with the corresponding Autumn (March–May) and Winter (June–August) ZDIH mean values of 4453 m and 3710 m obtained from ERA-5 data, with a percentage difference of 3.2% and 2.9%. Previous research studies have consistently shown that ERA-5 data have insignificant differences with locally measured data [33,34,35,36]. Moreover, the satellite provides global data for several years, which makes it sufficient for data learning and training. This informed the decision to adopt satellite data for this work. It should be noted that the ZDIHs in Figure 2b and Figure 3b do not represent the rain height but are only employed to validate the ERA-5 ZDIH data used for this study, as indicated in Equation (1).
3.2. Performance of Four KDE Methods
The results from the four kernels for the nine stations are presented in Table 3. The different KDE methods provide similar estimates, suggesting that the distribution is well defined and can be modeled using a variety of kernel functions. The estimated median rain heights for each station are approximately equal for each season, as shown in Table 3. The triangular kernel provides the sharpest estimate with the smallest ISE during the four seasons across all stations. However, the Gaussian kernel is most preferred due to its low optimum window width, which is an indication that the kernel has the smoothest estimate relative to the measured rain height. The measured PDF and the KDE methods fit well, indicating that the rain height estimates are reliable. Details of the seasonal variation of the kernels are discussed in the subsequent sub-sections.
Table 3.
Comparisons of seasonal performances of four kernels.
3.3. Seasonal Variation of Estimated Rain Heights Using KDE
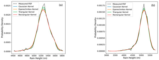
3.3.1. Rain Height Distribution in the Summer
The measured and estimated rain heights show that the summer season experiences the highest rain height across the nine stations. Figure 4a–i show that rain height varies between about 4500 m and 5800 m in Polokwane, 4600–5800 m in Pretoria, 3000–5500 m in Durban, 3000–5500 m in Nelspruit, 3000–5500 m in Mahikeng, 3000–5500 m in Upington, 3000–5500 m in Bloemfontein, 2500–5500 m in Port Elizabeth, and 3000–5500 m in Cape Town, as depicted in Figure 4a–i. Most of the stations do record a peak in rain height of 5000 to 5200 m, but coastal stations like Durban and Port Elizabeth settle slightly lower at 4500 m to 5000 m. Coastal stations are often characterized by smaller rain height because of the closeness of the ground to the mean sea level, accompanied by the prevailing weather conditions [37,38].

Figure 4.
Probability density functions of rain height during summer for (a) Polokwane, (b) Nelpruit, (c) Pretoria, (d) Mahikeng, (e) Upington, (f) Bloemfontein, (g) Durban, (h) Port Elizabeth, and (i) Cape Town.
The measured PDFs tend to have a steep slope, which suggests that the rain height is well identified and comparable in summer over these regions. The Gaussian kernel produces smooth generalized estimates of the densities, while the Epanechnikov, triangular, and rectangular kernels give sharp peaks. Yet, all kernels under consideration are close to the measured PDF.
3.3.2. Rain Height Distribution in Autumn
Rain height in Polokwane has a wider range compared to the summer values. The peak rain height is 5100 m, with a probability density close to 0.001. The peak is slightly lower compared to the summer season, where the peak was closer to 5200 m. The rain height distribution also appears to be more spread-out during autumn, indicating a wider range of rain events at varying altitudes, as shown in Figure 5a. Similar range distributions are observed in Nelspruit, as shown in Figure 5b, but the peak rain height is approximately uniform with a higher probability, which suggests more frequent rain events. Pretoria experiences a slightly lower peak rain height of about 5000 m, with a probability density of 0.001 in autumn, as depicted in Figure 5b. Figure 5c,d indicate that the peak rain heights in Mahikeng and Upington dropped slightly to 5000 m, with a probability of 0.0016. The rise in the probability density suggests frequent rain events, while the sharp peak indicates well-defined altitudes.

Figure 5.
Probability density functions of rain heights during autumn for (a) Polokwane, (b) Nelpruit, (c) Pretoria, (d) Mahikeng, (e) Upington, (f) Bloemfontein, (g) Durban, (h) Port Elizabeth, and (i) Cape Town.
Figure 5c–i show that the range and peak of the rain height decrease gradually and attain minimal values at the coastal regions. Hence, Durban, Port Elizabeth, and Cape Town possess rain height ranges of 2500–5500 m and a peak rain height of 4500 m, with a probability density of 0.0008. Generally, the peak rain height in autumn is lower than that in summer. The measured PDFs in autumn are more jagged and variable, suggesting that rain events are less consistent and more variable in terms of height during this season. This could be attributed to the changing weather conditions as South Africa transitions out of the wet summer season into the drier autumn. The lower probability observed in the three coastal stations implies a lower occurrence of rain events, as reported by Reason et al. [39]. These observations suggest seasonal changes in the dynamics of rain formation, likely influenced by the transition into cooler and drier weather.
3.3.3. Rain Height Distribution in Winter
The peak rain height in Polokwane, Nelspruit, Pretoria, Mahikeng, Upington, and Bloemfontein decreased significantly to about 4500 m, with a probability density of 0.001 m, compared to summer and autumn. The average rain height range at the stations mentioned above is around 3000–5000 m, as shown in Figure 6a–f. The overall rain height distribution is narrower, suggesting less variability and more consistent rain events at lower altitudes. The peaks of the rain heights in Durban, Port Elizabeth, and Cape Town, as depicted in Figure 6g–i, are 4000 m, 4000 m, and 3500 m, with probability densities of 0.008, 0.007, and 0.008 m, respectively. Cape Town has the least of about 1500 m due to the seasonal patterns in weather and the location of the station. This suggests that winter rain events occur significantly in the southwestern coastal regions compared to other seasons. This assumption was corroborated by Conradie [40] who inferred that the Western Cape region receives the bulk of its rainfall during the winter months.

Figure 6.
Probability density functions of rain heights during winter for (a) Polokwane, (b) Nelpruit, (c) Pretoria, (d) Mahikeng, (e) Upington, (f) Bloemfontein, (g) Durban, (h) Port Elizabeth, and (i) Cape Town.
Conclusively, the winter season in South Africa shows a marked decrease in both the rain height and the frequency of rain events compared to summer and autumn. Most locations experience rain events at lower altitudes, with more concentrated distributions, suggesting less variability in storm heights. Coastal regions show particularly significant changes, with rain events occurring at much lower altitudes during winter, possibly due to the influence of colder weather systems. Generally, the winter season at most stations indicates small values of rain height and rain events compared to summer and autumn. The distributions are typical for most places where rain events occur and show more aggregated distributions, indicating that storm heights are less variable.
3.3.4. Rain Height Distribution in Spring
The peak rain height in Polokwane increased from 4500 m in winter to 5000 m in spring, with a probability density of 0.0016. The range remained constant, but the extremes rose to 3500 m and 6000 m, as shown in Figure 7a. Nelspruit, Pretoria, and Mahikeng also maintained similar peak rain heights but with probability densities of 0.001, 0.006, and 0.0012, respectively. Nelspruit has the widest rain height range, which indicates high variability during the season. According to Figure 7e–g, Upington, Bloemfontein, and Durban have a peak rain height of 4500 m, with a probability density of 0.008 and a range of 2500–5500 m. These imply that the peak rain height is higher than winter heights. The further decrease in Port Elizabeth and Cape Town rain heights, as presented in Figure 7h,i, is famously attributed to the coastal characteristics of these regions, as discussed previously.

Figure 7.
Probability density functions of rain heights during spring for (a) Polokwane, (b) Nelpruit, (c) Pretoria, (d) Mahikeng, (e) Upington, (f) Bloemfontein, (g) Durban, (h) Port Elizabeth, and (i) Cape Town.
The spring season in South Africa shows a clear transition from the lower rain heights of winter back to the higher rain heights associated with the summer. Rain events become more frequent or intense, as indicated by the increased probability density in several locations. The rain height distributions also broaden, suggesting more variability in the intensity and altitude of rain events as the region moves into the wetter part of the year.
3.4. Mapping of Seasonal Rain Height over South Africa
The seasonal mean rain height maps for South Africa were developed using the estimated rain height results above. Figure 8, Figure 9, Figure 10 and Figure 11 show distinct geographic variations in rain height for each season, corresponding to the diverse climate zones across the country. The four seasonal maps reveal a gradual decline in rain height from the northernmost to the southernmost station. This agrees with the work of Lawal et al. [37], which reported latitudinal variation of rain height in Nigeria. During the summer season, higher rain heights are observed in the northeast, particularly around Polokwane, Pretoria, and Nelspruit, which are driven by the summer convective rainfall [37]. On the contrary, lower rain heights are seen along the coastal areas (Port Elizabeth and Cape Town), reflecting their drier summer conditions.
Figure 8.
The developed South African rain height contour map for the summer season.
Figure 9.
The developed South African rain height contour map for the autumn season.
Figure 10.
The developed South African rain height contour map for the winter season.
Figure 11.
The developed South African rain height contour map for the spring season.
Upington, the capital city of Northern Cape, has a moderate average rain height equivalent to between 4951 m and 5111 m; this is expected given that the climate of the area is semi-arid and desert-like and receives low amounts of summer rainfall. For the central region, Bloemfontein’s rain heights range between 4951 m and 5031 m, indicating a semi-arid climate with summer lighting impacts.
The distribution of rain height during the autumn season conforms to the summer profile but shows slightly lower values in the northeastern part (as shown in Figure 8 and Figure 9). The northeastern area is affected by occasional heavy showers because of the remaining atmospheric moisture and occasional storms in the autumn season. Nelspruit has the highest rain height of about 5097 m. The southern coastal region values are consistently lower. Cape Town recorded the minimum rain height of 4290 m, whereas a minimum rain height of 4630 m was observed in the previous season. The rain height in Port Elizabeth dropped from 4550 m in summer to about 4470 m in autumn.
Figure 10 and Figure 11 also show that winter and spring exhibit similar trends, where northern and southern parts consistently have the highest and lowest values, respectively. Cape Town shows the all-time lowest rain height of about 3502 m compared to the other seasons and stations, primarily due to the frontal systems from the Atlantic during the winter season. All of the northeast stations experienced the largest changes in rain height in winter. This is because most of the regions receive their rainfall during the summer period, as indicated above. The semi-arid central region has a relatively moderately high rainfall in both summer and winter seasons but slightly lower rainfall compared to the northeastern parts. These areas are characterized by much less fluctuation in rain height during different seasons. Spring is a transitional season between winter and summer; therefore, a change is recorded in the southern and northern stations. For example, the rain height in Polokwane rose from 4416 m during winter to nearly 4857 m during spring. Lastly, the analysis of the rain height distribution during the four seasons has invariably supported the proposition that rain height increases toward the equator, and it is affected to a large extent by rainfall in the regions concerned.
3.5. Comparison of Measured, Estimated, and ITU-Recommended Rain Heights
A comparison of the rain heights obtained from the recommended ITU model, the estimated seasonal rain heights, and the measured seasonal rain heights across the study stations is provided in Table 4. The estimated rain heights at all of the stations, as per the analysis, depict slightly higher values than the actual heights across all of the stations during the seasons. Percentage differences range from 0.02 to 5.30% depending on the chosen scenario, and the calculations shows a correlation coefficient of 0.997. The values within this range are higher, particularly during the winter and spring months. These seasons are usually characterized by low temperatures which expand the layers of ice and slow down the rate at which ice turns to water, thus adding to the width of the bright band known as the Melting Layer and decreasing the height of the rain in the troposphere. The estimated and the ITU-recommended rain heights are summarized in Table 4.
Table 4.
Comparison of measured, estimated, and ITU-recommended rain heights.
It was observed that the ITU value underestimates rain heights in all of the stations during the autumn, spring and, summer seasons. The recommended rain heights during the winter season are overestimated for all of the stations, except the coastal stations where Port Elizabeth and Cape Town rain heights are underestimated by 7.81 and 6.13%, respectively. The measured and ITU-recommended rain heights in Durban are approximately equal, with a negligible percentage difference of −0.35%. Comparative analysis of the measured seasonal and ITU-rec rain heights implies that the ITU performed poorly during autumn and summer, with percentage differences as high as 15.13%, 15.75%, 25.48%, 24.37%, 25.93%, and 33.17% during autumn and summer for the coastal stations. The measured seasonal and ITU-recommended rain heights presented in Table 4 possess a correlation coefficient of 0.598, which makes the estimate preferable.
3.6. Effects of Rain Height on Rain-Induced Attenuation
The estimated seasonal rain heights were applied to compute rain-induced attenuations at a typical Ku-Band downlink frequency of 12 GHz across the stations. The ITU-recommended rain heights were also used to compute attenuations at the same frequency to study the effects of rain height variability on satellite communication links. The attenuation plots of only six stations are presented in Figure 12a–f due to the similarity in the variability trends of some stations.
Figure 12.
(a–f). Comparison of rain height effects on rain-induced attenuation at a Ku-Band frequency for (a) Polokwane, (b) Pretoria, (c) Nelspruit, (d) Upington, (e) Durban, and (f) Cape Town.
There is a clear significant impact on the attenuations due to rain height variation in each season across the stations. Summer is generally characterized by very high rain heights, which results in the highest rain attenuation across all of the stations. At a 0.01% time exceedance, which translates to 99.9% signal availability per year, the maximum attenuation of about 11.59 dB was recorded in Durban, followed by Cape Town and Pretoria, while the minimum value of 9.06 dB was recorded in Upington, a semi-arid region with a drier climate. These attenuations were underestimated by the ITU recommendations, especially at Durban where the severity of rainy events was not fully captured. This could result in insufficient compensation in link budget calculations and consequently lead to signal outage. Both spring and autumn possess gradual switching trends as transitional seasons between two extreme weather seasons. Polokwane, Pretoria, and Nelspruit also experienced high attenuation during spring but slightly lower than in summer at percentages of exceedance less than 0.01%, which indicates a gradual switch to winter. The attenuations during the transition seasons are usually very close to each other but lie between the summer and winter values, as evident in Figure 12a–f. For instance, the autumn and spring attenuations at 0.001% for Pretoria are 22.23 dB and 22.78 dB, respectively, whereas the ITU rain height recommended a constant value which is much lower. However, the autumn attenuation at Durban and Cape Town appears slightly higher than in spring due to the differential values in their corresponding rain heights. The smallest attenuation is experienced in winter across all of the stations, especially at Upington, which has as low as 17 dB at 0.0001%, whereas Cape Town shows around 24 dB, as shown in Figure 12d,f, respectively. The ITU curves overestimate rain attenuation at the north and northeastern stations (Polokwane and Pretoria) and moderately overestimate it at the central and central-western stations (Upington and Bloemfontein), but underestimate it at the southern coastal stations (Durban and Cape Town) due to the frequent occurrence of convective rain events.
4. Conclusions
The localized meteorological data used for this study have revealed the seasonal and geospatial variability of rain heights over South Africa. This is contrary to the ITU recommendations, which suggest a fixed rain height across the seasons in a year. The ITU curve grossly underestimates rain height, with a percentage difference of up to 33% in the coastal region during the summer season. The four kernels of KDE produce very good estimations of rain heights at all stations, though the triangular kernel provides the smallest ISE. However, the Gaussian kernel remains the most preferred due to its optimum bandwidth, which gives the best smoothing. The estimation results yield percentage errors less than 2% across all stations, except for the coastal stations, where a maximum percentage error of 5.3% was obtained at Durban during the winter season. This implies that KDE is suitable for the prediction of rain heights across South Africa. The station results were used to generate a rain height contour map for the entire of South Africa. The comparison of rain-induced attenuations computed using kernel-estimated seasonal rain heights and ITU-recommended rain heights shows that rain height variability has a significant impact on attenuation. The ITU rain heights underestimate attenuation across all nine stations, with a difference of up 7 dB at 0.001% exceedance at the coastal stations. Negligible differences were only noticed at Bloemfontein and Upington, which are arid regions dominated by a dry climate. The analysis of the research results emphasized the need for spatial and seasonal approaches to satellite communication link design to adequately compensate for propagation impairment due to rain. The results are expected to serve as a robust reference database for local radio engineers when performing link budget calculations.
Author Contributions
Conceptualization, Y.B.L. and P.A.O.; methodology, Y.B.L.; software, Y.B.L., C.T. and P.A.O.; validation, Y.B.L. and P.A.O.; formal analysis, Y.B.L., C.T. and J.S.O.; investigation, Y.B.L.; resources, C.T. and E.V.W.; data curation, Y.B.L.; writing—original draft preparation, Y.B.L.; writing—review and editing, Y.B.L., P.A.O. and J.S.O.; visualization, Y.B.L. and J.S.O.; supervision, P.A.O., C.T. and J.S.O.; project administration, C.T. and E.V.W.; funding acquisition, Y.B.L. and E.V.W. All authors have read and agreed to the published version of the manuscript.
Funding
The research received no external funding.
Institutional Review Board Statement
Not applicable.
Informed Consent Statement
Not applicable.
Data Availability Statement
The data used for this study is openly available in Copernicus CDS at https://cds.climate.copernicus.eu/datasets/reanalysis-era5-pressure-levels?tab=download (accessed on 5 September 2024).
Conflicts of Interest
The authors declare no conflict of interest.
References
- Ayo, O.; Owolawi, P.A.; Ojo, J.S.; Mpoporo, L.J. Rain Impairment Model for Satellite Communication Link Design in South Africa using Neural Network. In Proceedings of the 2020 2nd International Multidisciplinary Information Technology and Engineering Conference (IMITEC), Kimberley, South Africa, 25–27 November 2020; pp. 1–8. [Google Scholar] [CrossRef]
- Emiliani, L.D. Rain-induced attenuation in satellite communications systems: Implications for network design. IEEE Commun. Mag. 2014, 52, 32–38. [Google Scholar]
- Salonen, E.J.; Uppala, S. Modelling of rain attenuation based on the vertical structure of precipitation. Radio Sci. 1991, 26, 471–477. [Google Scholar]
- Malinga, C.; Mphale, K. Rainfall analysis and mapping in Southern Africa: Implications for rain attenuation. J. Atmos. Sol.-Terr. Phys. 2017, 158, 20–31. [Google Scholar]
- Ippolito, L.J. Radiowave Propagation in Satellite Communications; Springer Science & Business Media: Berlin/Heidelberg, Germany, 2012; ISBN 9401170290/9789401170291. [Google Scholar]
- ITU-R. Propagation Data and Prediction Methods Required for the Design of Earth-Space Telecommunication Systems; Recommendation ITU-R P.618-13; International Telecommunication Union: Geneva, Switzerland, 2017. [Google Scholar]
- Quibus, L.; Le Mire, V.; Queyrel, J.; Castanet, L.; Feral, L. Rain Attenuation Estimation with the Numerical Weather Prediction Model WRF: Impact of Rain Drop Size Distribution for a Temperate Climate. In Proceedings of the European Conference on Antennas and Propagation, Dusseldorf, Germany, 22–26 March 2021. [Google Scholar] [CrossRef]
- Mason, S.J.; Duthie, A. Statistical Modeling of Rainfall for Telecommunication Applications in South Africa. S. Afr. J. Sci. 2019, 115, 7–8. [Google Scholar]
- Lawal, Y.B.; Falodun, S.E.; Ojo, J.S. Temporal Evolution of Atmospheric Parameter-Profiling on Rain Height Over Two Geoclimatic Regions in Nigeria. J. Atmos. Sol.-Terr. Phys. 2020, 211, 105482. [Google Scholar] [CrossRef]
- Olurotimi, E.O.; Sokoya, O.; Ojo, J.S.; Owolawi, P.A. Distribution of Rain Height Over Subtropical Region: Durban, South Africa for Satellite Communication Systems. IEEE Radio and Antenna Days of the Indian Ocean (IEEE RADIO 2017). IOP Conf. Ser. Mater. Sci. Eng. 2018, 321, 012006. [Google Scholar] [CrossRef]
- ITU-R. Rain Height Model for Prediction Methods. Recommendation ITU-R P.839-4. 2013. Available online: https://www.itu.int/rec/R-REC-P.839-4-201303-I/en (accessed on 27 September 2024).
- Mandeep, J.S. Rain Height Statistics for Satellite Communication in Malaysia. J. Atmos. Sol.-Terr. Phys. 2008, 70, 1617–1620. [Google Scholar] [CrossRef]
- Nor Azlan, M.A.; Din, J.; Lam, H.Y. Rain Height Information from TRMM Precipitation Radar for Satellite Communication in Malaysia. In Proceedings of the 2011 IEEE International Conference on Space Science and Communication (IconSpace), Penang, Malaysia, 12–13 July 2011. [Google Scholar] [CrossRef]
- Ojo, J.S.; Falodun, S.E.; Odiba, O. 0 °C Isotherm Height Distribution for Earth-space Communication Satellite Links in Nigeria. Indian J. Radio Space Phys. 2014, 43, 225–234. [Google Scholar]
- Omakoji, O. Rain Height Distribution Over Some Stations in Tropical Nigeria Based on TRMM Precipitation Data. J. Basic Appl. Res. 2016, 2, 503–507. [Google Scholar]
- Lawal, Y.B.; Ojo, J.S.; Falodun, S.E. Rain Height Statistics from GPM Data for Satellite Communications Systems in Nigeria. IOP Conf. Ser. Earth Environ. Sci. 2021, 655, 012038. [Google Scholar] [CrossRef]
- Kim, J.W.; Lee, D.-C.; Yom, J.-H.; Pack, J. Telecommunication Modeling by Integration of Geophysical and Geospatial Information. In Proceedings of the 2004 IEEE International Geoscience and Remote Sensing Symposium (IGARSS), Anchorage, AK, USA, 20–24 September 2004. [Google Scholar] [CrossRef]
- Hernández, E.A.; Gonzalez Cruz, M.; Uddameri, V. Climatic Influences on Agricultural Drought Risks Using Semiparametric Kernel Density Estimation. Water 2020, 12, 2813. [Google Scholar] [CrossRef]
- Lin, L.; Zhang, S.; Zhang, X.; Hao, X.; Zhao, Z.; Zhu, Q.; Zhang, R. Weighted Mean Annual Rain Height Applied to Rain Attenuation Prediction on Earth-Space Links. Int. J. Antennas Propag. 2022, 2022, 4162415. [Google Scholar] [CrossRef]
- Smith, J.; Brown, A.; Lee, C. Enhancing Predictive Models with Nonparametric Kernel Density Estimation in Machine Learning Frameworks. J. Adv. Comput. 2021, 18, 45–60. [Google Scholar]
- Schulze, R.E. South African Atlas of Climatology and Agrohydrology; WRC Report 1489/1/06; Water Research Commission: Pretoria, South Africa, 2007. [Google Scholar]
- Climate Data. Climate data for cities worldwide. Environmental Change Unit, University of Oxford, 2020; Available online: https://en.climate-data.org/africa/south-africa-61/ (accessed on 27 September 2024).
- Rouault, M.; Pohl, B.; Penven, P. Role of Ocean Currents in Influencing South Africa’s Climate. J. Clim. 2010, 23, 4508–4526. [Google Scholar]
- Jury, M.R. Coastal Subtropical Climate of Durban and the Eastern Coastline. S. Afr. J. Sci. 2014, 110, 1–10. [Google Scholar]
- South African Weather Service. 2020. Available online: https://www.weathersa.co.za/ (accessed on 2 October 2024).
- Kruger, A.C.; Nxumalo, M.P. Historical Rainfall Trends in South Africa: 1921–2015. Water SA 2017, 43, 285–297. [Google Scholar] [CrossRef]
- Copernicus Climate Change Service (C3S). Climate Data Store (CDS). 2017. Available online: https://cds.climate.copernicus.eu/ (accessed on 29 September 2024).
- Hersbach, H.; Bell, B.; Berrisford, P.; Hirahara, S.; Horányi, A.; Muñoz-Sabater, J.; Nicolas, J.; Peubey, C.; Radu, R.; Schepers, D.; et al. The ERA5 Global Reanalysis. Q. J. R. Meteorol. Soc. 2020, 146, 1999–2049. [Google Scholar] [CrossRef]
- Silverman, B.W. Density Estimation for Statistics and Data Analysis; Chapman and Hall/CRC: Boca Raton, FL, USA, 1986. [Google Scholar]
- Epanechnikov, V.A. Non-parametric Estimation of a Multivariate Probability Density. Theory Probab. Its Appl. 1969, 14, 153–158. [Google Scholar] [CrossRef]
- Scott, D.W. Multivariate Density Estimation: Theory, Practice, and Visualization; John Wiley & Sons: Hoboken, NJ, USA, 1992. [Google Scholar]
- Fashuyi, O.M.; Owolawi, P.A.; Afullo, T.J. Rainfall Rate Modeling for LOS Radio Systems in South Africa. S. Afr. Inst. Electr. Eng. 2006, 97, 74–81. [Google Scholar] [CrossRef]
- Moorgawaa, A.; Bencherif, H.; Michaelis, M.M.; Porteneuve, J.; Malinga, S. The Durban atmospheric LIDAR. Opt. Laser Technol. 2007, 39, 306–312. [Google Scholar] [CrossRef]
- Dee, D.; Poli, R.; Simmons, A.; Tompkins, A.M.; Berrisford, S.; Berrisford, P.; Peubey, J.C.; Hersbach, H.; Morcrette, B.; Munoz-Sabater, R. Radiosonde Bias Adjustments for ERA5. ECMWF. 2015. Available online: https://www.ecmwf.int/sites/default/files/elibrary/2015/14730-radiosonde-bias-adjustments-era5.pdf (accessed on 6 September 2024).
- Jia, Y.; Zhu, C.; Tang, B.; Fang, J. Evaluating the Reliability of Air Temperature from ERA5 Reanalysis Data Using Ground-Based Measurements. arXiv 2022. [Google Scholar] [CrossRef]
- Zhang, Y.; Zhang, S. Validation of ERA5 Boundary Layer Meteorological Variables by Remote-Sensing Measurements in the Southeast China Mountains. Remote Sens. 2023, 15, 548. [Google Scholar] [CrossRef]
- Lawal, Y.B.; Falodun, S.E.; Ojo, J.S.; Olurotimi, E.O. Geoclimatic Characterization and Latitudinal Dependence of Rain Heights over Nigeria. J. Phys. Conf. Ser. 2021, 2034, 012010. [Google Scholar] [CrossRef]
- Panigrahi, C.; Sarangam, V.B.R.; Nadimpally, K.; Thota, N.R. Validation of Empirical Rain rate Models Over a Tropical Coastal Station and an Inland Station in Southern India. IEEE Antennas Wirel. Propag. Lett. 2016, 15, 698–701. [Google Scholar] [CrossRef]
- Reason, C.J.C.; Landman, W.; Tennant, W. Seasonal to Interannual Prediction of Southern African Climate. Meteorol. Atmos. Phys. 2006, 87, 941–955. [Google Scholar]
- Conradie, W.J. Climate Change and Variability: The Impacts on Vineyards and Wine Production in the Western Cape, South Africa. Clim. Res. 2012, 51, 15–25. [Google Scholar] [CrossRef]
Disclaimer/Publisher’s Note: The statements, opinions and data contained in all publications are solely those of the individual author(s) and contributor(s) and not of MDPI and/or the editor(s). MDPI and/or the editor(s) disclaim responsibility for any injury to people or property resulting from any ideas, methods, instructions or products referred to in the content. |
© 2024 by the authors. Licensee MDPI, Basel, Switzerland. This article is an open access article distributed under the terms and conditions of the Creative Commons Attribution (CC BY) license (https://creativecommons.org/licenses/by/4.0/).















