Spatiotemporal Variations and Driving Factor Analysis of Aerosol Optical Depth in Terrestrial Ecosystems in Northern Xinjiang from 2001 to 2023
Abstract
1. Introduction
2. Study Area
3. Dataset
3.1. AOD Data
3.2. Terrestrial Ecosystem Data
3.3. Driving Factor Data
4. Research Methodology
4.1. Data Matching and Validation
4.2. Mann–Kendall Trend Test
4.3. Geographic Detector
5. Results and Analysis
5.1. Spatial Distribution Pattern of AOD
5.2. Temporal Variation Characteristics of AOD
5.3. Analysis of Driving Factors
6. Discussion
7. Conclusions
- (1)
- In the Northern Xinjiang region, the interannual average high-value areas of AOD are mainly concentrated in the economic belt on the north slope of the Tianshan mountains, the Gurbantunggut Desert, and other oasis areas. Low-value regions are mainly distributed in the Altai Mountains and Tianshan Mountains, showing a distribution pattern related to topographic features. The interannual average levels of the AOD of various ecosystems are in the order of wetlands > settlements > farmlands > deserts > grasslands > others > forests. Due to the ecological degradation of Manas Lake and Ebinur Lake and the frequent occurrence of dust activities, the average AOD level in wetland ecosystems is higher than in settlement ecosystems, where anthropogenic aerosol emissions are the primary source. Additionally, AOD shows a decreasing trend with the increasing elevation of the ecosystems.
- (2)
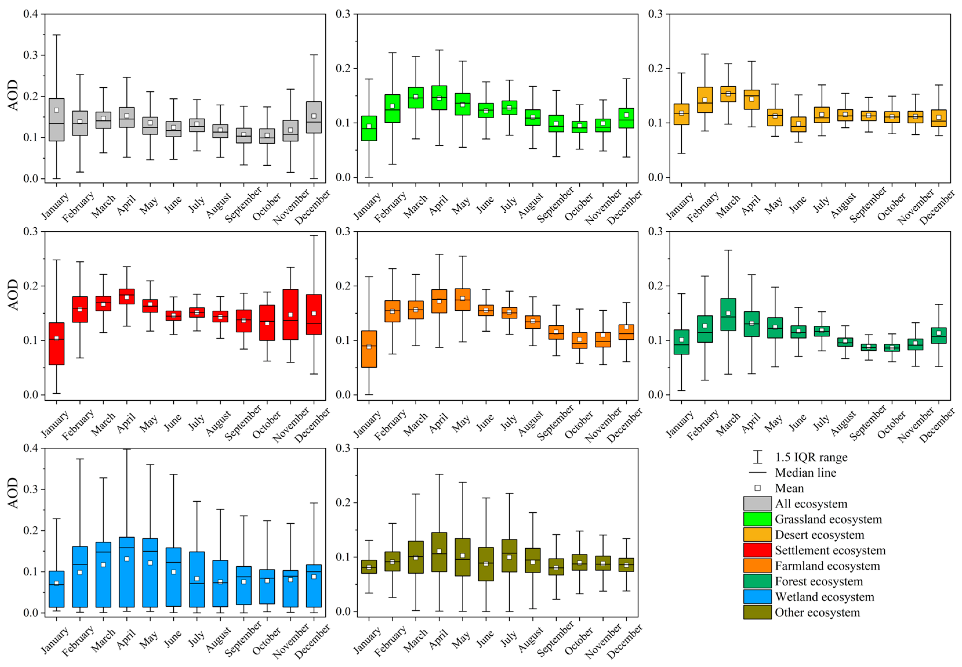
- Over the past 23 years, the AOD of different ecosystems has shown a fluctuating upward trend. The linear growth rates are in the following order: wetlands > settlements > farmlands > deserts > others > grasslands > forests. The Mann–Kendall trend test shows that the proportion of pixels with an increasing trend in the AOD of the settlement ecosystem is the highest, at 92.17%; the proportion of pixels with a decreasing trend in the AOD of the forest ecosystem is the highest, at 21.78%. On the interannual seasonal scale, the AOD of grassland, settlement, farmland, forest, and wetland ecosystems shows a bimodal curve, with peaks appearing in spring and winter, respectively; desert and other ecosystems show a unimodal curve, with the peak appearing in spring.
- (3)
- The sensitivity of driving factors to the interannual spatial variability of AOD across ecosystems varies. Grasslands and forests are mainly affected by temperature and altitude; deserts and settlements are most affected by wind speed and humidity; farmlands are mainly affected by wind speed and altitude; wetlands are greatly affected by population density and humidity; other ecosystems are mainly affected by humidity and altitude.
Author Contributions
Funding
Institutional Review Board Statement
Informed Consent Statement
Data Availability Statement
Conflicts of Interest
References
- Charlson, R.J.; Schwartz, S.; Hales, J.; Cess, R.D.; Coakley, J., Jr.; Hansen, J.; Hofmann, D. Climate forcing by anthropogenic aerosols. Science 1992, 255, 423–430. [Google Scholar] [CrossRef] [PubMed]
- Namasivayam, S.K.R.; Priyanka, S.; Lavanya, M.; Shree, S.K.; Francis, A.; Avinash, G.; Bharani, R.A.; Kavisri, M.; Moovendhan, M. A review on vulnerable atmospheric aerosol nanoparticles: Sources, impact on the health, ecosystem and management strategies. J. Environ. Manag. 2024, 365, 121644. [Google Scholar] [CrossRef] [PubMed]
- Li, J.; Carlson, B.E.; Yung, Y.L.; Lv, D.; Hansen, J.; Penner, J.E.; Liao, H.; Ramaswamy, V.; Kahn, R.A.; Zhang, P. Scattering and absorbing aerosols in the climate system. Nat. Rev. Earth Environ. 2022, 3, 363–379. [Google Scholar] [CrossRef]
- Kaufman, Y.J.; Tanré, D.; Boucher, O. A satellite view of aerosols in the climate system. Nature 2002, 419, 215–223. [Google Scholar] [CrossRef]
- Kellogg, C.A.; Griffin, D.W. Aerobiology and the global transport of desert dust. Trends Ecol. Evol. 2006, 21, 638–644. [Google Scholar] [CrossRef]
- Ramanathan, V.; Crutzen, P.J.; Kiehl, J.; Rosenfeld, D. Aerosols, climate, and the hydrological cycle. Science 2001, 294, 2119–2124. [Google Scholar] [CrossRef]
- Unger, N.; Yue, X.; Harper, K. Aerosol climate change effects on land ecosystem services. Faraday Discuss. 2017, 200, 121–142. [Google Scholar] [CrossRef]
- Zhao, H.; Gui, K.; Ma, Y.; Wang, Y.; Wang, Y.; Wang, H.; Zheng, Y.; Li, L.; Zhang, L.; Che, H. Climatology and trends of aerosol optical depth with different particle size and shape in northeast China from 2001 to 2018. Sci. Total Environ. 2021, 763, 142979. [Google Scholar] [CrossRef]
- Ackerman, A.S.; Toon, O.; Stevens, D.; Heymsfield, A.; Ramanathan, V.; Welton, E. Reduction of tropical cloudiness by soot. Science 2000, 288, 1042–1047. [Google Scholar] [CrossRef]
- Cess, R.; Barkstrom, B.; Harrison, E.; Minnis, P.; Ramanathan, V. Seasonal variation of cloud radiative forcing derived from the Earth Radiation Budget Experiment. J. Geophys. Res. Atmos. 1990, 95, 18687–18703. [Google Scholar]
- Farkas, Á.; Füri, P.; Thén, W.; Salma, I. Effects of hygroscopic growth of ambient urban aerosol particles on their modelled regional and local deposition in healthy and COPD-compromised human respiratory system. Sci. Total Environ. 2022, 806, 151202. [Google Scholar] [CrossRef] [PubMed]
- Ilenič, A.; Pranjić, A.M.; Zupančič, N.; Milačič, R.; Ščančar, J. Fine particulate matter (PM2. 5) exposure assessment among active daily commuters to induce behaviour change to reduce air pollution. Sci. Total Environ. 2024, 912, 169117. [Google Scholar] [CrossRef] [PubMed]
- Handschuh, J.; Erbertseder, T.; Baier, F. On the added value of satellite AOD for the investigation of ground-level PM2. 5 variability. Atmos. Environ. 2024, 331, 120601. [Google Scholar] [CrossRef]
- Wang, J.; Liu, Y.; Chen, L.; Liu, Y.; Mi, K.; Gao, S.; Mao, J.; Zhang, H.; Sun, Y.; Ma, Z. Validation and calibration of aerosol optical depth and classification of aerosol types based on multi-source data over China. Sci. Total Environ. 2023, 903, 166603. [Google Scholar] [CrossRef]
- Guo, B.; Wang, Z.; Pei, L.; Zhu, X.; Chen, Q.; Wu, H.; Zhang, W.; Zhang, D. Reconstructing MODIS aerosol optical depth and exploring dynamic and influential factors of AOD via random forest at the global scale. Atmos. Environ. 2023, 315, 120159. [Google Scholar] [CrossRef]
- Rogozovsky, I.; Ansmann, A.; Althausen, D.; Heese, B.; Engelmann, R.; Hofer, J.; Baars, H.; Schechner, Y.; Lyapustin, A.; Chudnovsky, A. Impact of aerosol layering, complex aerosol mixing, and cloud coverage on high-resolution MAIAC aerosol optical depth measurements: Fusion of lidar, AERONET, satellite, and ground-based measurements. Atmos. Environ. 2021, 247, 118163. [Google Scholar] [CrossRef]
- Chudnovsky, A.A.; Kostinski, A.; Lyapustin, A.; Koutrakis, P. Spatial scales of pollution from variable resolution satellite imaging. Environ. Pollut. 2013, 172, 131–138. [Google Scholar] [CrossRef]
- Chen, X.; Ding, J.; Liu, J.; Wang, J.; Ge, X.; Wang, R.; Zuo, H. Validation and comparison of high-resolution MAIAC aerosol products over Central Asia. Atmos. Environ. 2021, 251, 118273. [Google Scholar] [CrossRef]
- She, L.; Zhang, H.K.; Li, Z.; de Leeuw, G.; Huang, B. Himawari-8 aerosol optical depth (AOD) retrieval using a deep neural network trained using AERONET observations. Remote Sens. 2020, 12, 4125. [Google Scholar] [CrossRef]
- Wang, W.; Mao, F.; Pan, Z.; Gong, W.; Yoshida, M.; Zou, B.; Ma, H. Evaluating aerosol optical depth from Himawari-8 with sun photometer network. J. Geophys. Res. Atmos. 2019, 124, 5516–5538. [Google Scholar] [CrossRef]
- Sreekanth, V.; Kulkarni, P. Comparison of V4 and V3 CALIOP (L3) aerosol products: A global perspective. Remote Sens. Appl. Soc. Environ. 2020, 20, 100412. [Google Scholar] [CrossRef]
- de Leeuw, G.; Sogacheva, L.; Rodriguez, E.; Kourtidis, K.; Georgoulias, A.K.; Alexandri, G.; Amiridis, V.; Proestakis, E.; Marinou, E.; Xue, Y. Two decades of satellite observations of AOD over mainland China using ATSR-2, AATSR and MODIS/Terra: Data set evaluation and large-scale patterns. Atmos. Chem. Phys. 2018, 18, 1573–1592. [Google Scholar] [CrossRef]
- Gui, K.; Che, H.; Zheng, Y.; Wang, Y.; Zhang, L.; Zhao, H.; Li, L.; Zhong, J.; Yao, W.; Zhang, X. Seasonal variability and trends in global type-segregated aerosol optical depth as revealed by MISR satellite observations. Sci. Total Environ. 2021, 787, 147543. [Google Scholar] [CrossRef] [PubMed]
- Proestakis, E.; Amiridis, V.; Marinou, E.; Georgoulias, A.K.; Solomos, S.; Kazadzis, S.; Chimot, J.; Che, H.; Alexandri, G.; Binietoglou, I. Nine-year spatial and temporal evolution of desert dust aerosols over South and East Asia as revealed by CALIOP. Atmos. Chem. Phys. 2018, 18, 1337–1362. [Google Scholar] [CrossRef]
- Sun, Z.; Cheng, X.; Xia, X. Spatial-temporal distribution and impact factors of aerosol optical depth over China. China Environ. Sci. 2021, 41, 4466–4475. [Google Scholar]
- de Leeuw, G.; Kang, H.; Fan, C.; Li, Z.; Fang, C.; Zhang, Y. Meteorological and anthropogenic contributions to changes in the Aerosol Optical Depth (AOD) over China during the last decade. Atmos. Environ. 2023, 301, 119676. [Google Scholar] [CrossRef]
- Yuan, J.; Wang, X.; Feng, Z.; Zhang, Y.; Yu, M. Spatiotemporal Variations of Aerosol Optical Depth and the Spatial Heterogeneity Relationship of Potential Factors Based on the Multi-Scale Geographically Weighted Regression Model in Chinese National-Level Urban Agglomerations. Remote Sens. 2023, 15, 4613. [Google Scholar] [CrossRef]
- Zheng, Y.; Wang, X.; Zhang, X.; Hu, G. Multi-spatiotemporal patterns of aerosol optical depth and influencing factors during 2000–2020 from two spatial perspectives: The entire Yellow River Basin region and its urban agglomerations. Int. J. Appl. Earth Obs. Geoinf. 2022, 106, 102643. [Google Scholar] [CrossRef]
- Liu, X.; Chen, S.; Guo, Z.; Zhou, H.; Chen, Y.; Kang, Y.; Liu, Q.; Huang, G.; Liu, T.; Chen, C. The influence of dusts on radiation and temperature over the eastern Asia with a regional climate model. Sci. Total Environ. 2021, 792, 148351. [Google Scholar] [CrossRef]
- Sun, X.; Fan, X.; Zhang, T.; Wang, Y.; Wang, Y.; Lyu, D.; Zheng, M. Tempo-Spatial Distributions and Transport Characteristics of Two Dust Events over Northern China in March 2021. Remote Sens. 2022, 14, 5967. [Google Scholar] [CrossRef]
- Liu, J.; Ding, J.; Li, X.; Zhang, J.; Liu, B. Identification of dust aerosols, their sources, and the effect of soil moisture in Central Asia. Sci. Total Environ. 2023, 868, 161575. [Google Scholar] [CrossRef] [PubMed]
- Zhou, Y.; Gao, X.; Meng, X.; Lei, J.; Halik, Ü. Characteristics of the spatio-temporal dynamics of aerosols in central asia and their influencing factors. Remote Sens. 2022, 14, 2684. [Google Scholar] [CrossRef]
- Wang, Y.; Tang, J.; Wang, W.; Wang, Z.; Wang, J.; Liang, S.; Chu, B. Long-term spatiotemporal characteristics and influencing factors of dust aerosols in East Asia (2000–2022). Remote Sens. 2024, 16, 318. [Google Scholar] [CrossRef]
- Ma, W.; Ding, J.; Jin, X. Spatial heterogeneity and driving factors of aerosol in Western China: Analysis on multiangle implementation of atmospheric correction–aerosol optical depth in Xinjiang over 2001–2019. Int. J. Climatol. 2023, 43, 1993–2011. [Google Scholar] [CrossRef]
- Ban, Y.; Liu, X.; Yin, Z.; Li, X.; Yin, L.; Zheng, W. Effect of urbanization on aerosol optical depth over Beijing: Land use and surface temperature analysis. Urban Clim. 2023, 51, 101655. [Google Scholar] [CrossRef]
- Xu, J.; Jiang, H.; Zhang, X.; Lu, X.; Peng, W. Study on spatial-temporal variation of aerosol optical depth over the Yangtze Delta and the impact of land-use/cover. Int. J. Remote Sens. 2014, 35, 1741–1755. [Google Scholar] [CrossRef]
- Wei, J.; Sun, L.; Liu, S.; Duan, D.; Guo, Y.; Mi, X.; Tian, X.; Yu, H. Response analysis of particulate air pollution to land-use and land-cover change. Acta Ecol. Sin. 2015, 35, 5495–5506. [Google Scholar]
- Qian, Z.; Li, L.; Lin, X.; Sun, R.; Chen, Y. Spatial and temporal variation of PM2. 5 and the influence of vegetation in the Yangtze River Delta region. Atmos. Pollut. Res. 2024, 15, 102266. [Google Scholar] [CrossRef]
- Liu, X.; Yu, X.; Zhang, Z. PM2. 5 concentration differences between various forest types and its correlation with forest structure. Atmosphere 2015, 6, 1801–1815. [Google Scholar] [CrossRef]
- Wang, G.; Wanquan, T.; Mingyuan, D. Flux and composition of wind-eroded dust from different landscapes of an arid inland river basin in north-western China. J. Arid. Environ. 2004, 58, 373–385. [Google Scholar] [CrossRef]
- Liu, J.; Ding, J.; Rexiding, M.; Li, X.; Zhang, J.; Ran, S.; Bao, Q.; Ge, X. Characteristics of dust aerosols and identification of dust sources in Xinjiang, China. Atmos. Environ. 2021, 262, 118651. [Google Scholar] [CrossRef]
- Liu, J.; Ding, J.; Li, L.; Li, X.; Zhang, Z.; Ran, S.; Ge, X.; Zhang, J.; Wang, J. Characteristics of aerosol optical depth over land types in central Asia. Sci. Total Environ. 2020, 727, 138676. [Google Scholar] [CrossRef] [PubMed]
- Casañas, J.M.; Cometto, P.M.; Vera, M.G.; Córdoba, M. Geostatistical analysis of the relationship among geomorphology, land cover, and AOD at the local scale in a South American desert region. Atmos. Pollut. Res. 2023, 14, 101909. [Google Scholar] [CrossRef]
- Zhou, C.; Yang, X.; Liu, Y.; Zhu, Q.; Xie, Y.; Yang, F.; Ali, M.; Huo, W.; He, Q.; Meng, L. Terrain effects of the Tibetan Plateau on dust aerosol distribution over the Tarim Basin, China. Atmos. Res. 2024, 298, 107143. [Google Scholar] [CrossRef]
- Dai, W.; Li, J.; Cheng, C. Concentrations and size distributions of summer time atmospheric aerosols at urban and alpine sites in east andcentral China. J. Earth Environ. 2011, 2, 263–271. [Google Scholar]
- del Águila, A.; Alcaraz-Segura, D.; Martínez-López, J.; Postma, T.; Alados-Arboledas, L.; Zamora, R.; Navas-Guzmán, F. Two decades of high-resolution aerosol product over the Sierra Nevada Mountain region (SE Spain): Spatio-temporal distribution and impact on ecosystems. Atmos. Res. 2024, 308, 107515. [Google Scholar] [CrossRef]
- Naeger, A. Impact of dust aerosols on precipitation associated with atmospheric rivers using WRF-Chem simulations. Results Phys. 2018, 10, 217–221. [Google Scholar] [CrossRef]
- Wang, T.; Chen, Y.; Gan, Z.; Han, Y.; Li, J.; Huang, J. Assessment of dominating aerosol properties and their long-term trend in the Pan-Third Pole region: A study with 10-year multi-sensor measurements. Atmos. Environ. 2020, 239, 117738. [Google Scholar] [CrossRef]
- Ghale, Y.A.G.; Tayanc, M.; Unal, A. Dried bottom of Urmia Lake as a new source of dust in the northwestern Iran: Understanding the impacts on local and regional air quality. Atmos. Environ. 2021, 262, 118635. [Google Scholar] [CrossRef]
- Zeng, H.; Wu, B.; Zhu, W.; Zhang, N. A trade-off method between environment restoration and human water consumption: A case study in Ebinur Lake. J. Clean. Prod. 2019, 217, 732–741. [Google Scholar] [CrossRef]
- Li, X.; Qin, D.; He, X.; Wang, C.; Yang, G.; Li, P.; Liu, B.; Gong, P.; Yang, Y. Spatial and Temporal Changes in Land Use and Landscape Pattern Evolution in the Economic Belt of the Northern Slope of the Tianshan Mountains in China. Sustainability 2024, 16, 7003. [Google Scholar] [CrossRef]
- Shen, Y.-J.; Shen, Y.; Guo, Y.; Zhang, Y.; Pei, H.; Brenning, A. Review of historical and projected future climatic and hydrological changes in mountainous semiarid Xinjiang (northwestern China), central Asia. Catena 2020, 187, 104343. [Google Scholar] [CrossRef]
- Zhang, H.; Song, J.; Wang, G.; Wu, X.; Li, J. Spatiotemporal characteristic and forecast of drought in northern Xinjiang, China. Ecol. Indic. 2021, 127, 107712. [Google Scholar] [CrossRef]
- Wang, G.; Li, Y.; Fan, L.; Ma, X.; Mao, J. The response of soil organic carbon content of grasslands in Northern Xinjiang to future climate change. Phys. Chem. Earth Parts A/B/C 2024, 134, 103576. [Google Scholar] [CrossRef]
- Zhang, J.; Zhang, P.; Deng, X.; Ren, C.; Deng, M.; Wang, S.; Lai, X.; Long, A. Study on the Spatial and Temporal Trends of Ecological Environment Quality and Influencing Factors in Xinjiang Oasis. Remote Sens. 2024, 16, 1980. [Google Scholar] [CrossRef]
- Xia, N.; Hai, W.; Tang, M.; Song, J.; Quan, W.; Zhang, B.; Ma, Y. Spatiotemporal evolution law and driving mechanism of production–living–ecological space from 2000 to 2020 in Xinjiang, China. Ecol. Indic. 2023, 154, 110807. [Google Scholar] [CrossRef]
- Zhang, Z.; Xia, F.; Yang, D.; Huo, J.; Wang, G.; Chen, H. Spatiotemporal characteristics in ecosystem service value and its interaction with human activities in Xinjiang, China. Ecol. Indic. 2020, 110, 105826. [Google Scholar] [CrossRef]
- Turap, Y.; Talifu, D.; Wang, X.; Abulizi, A.; Maihemuti, M.; Tursun, Y.; Ding, X.; Aierken, T.; Rekefu, S. Temporal distribution and source apportionment of PM2. 5 chemical composition in Xinjiang, NW-China. Atmos. Res. 2019, 218, 257–268. [Google Scholar] [CrossRef]
- Li, Y.; Song, Y.; Guo, Y.a.; Liang, P.; Chen, X.; Xiao, J.; Shukurov, S.; Li, Y. Re-evaluating the origins of sands in the Gurbantunggut Desert and its role as an aeolian dust contributor. Glob. Planet. Chang. 2024, 239, 104482. [Google Scholar] [CrossRef]
- Lyapustin, A.; Martonchik, J.; Wang, Y.; Laszlo, I.; Korkin, S. Multiangle implementation of atmospheric correction (MAIAC): 1. Radiative transfer basis and look-up tables. J. Geophys. Res. Atmos. 2011, 116, D03210. [Google Scholar] [CrossRef]
- Lyapustin, A.; Wang, Y.; Laszlo, I.; Kahn, R.; Korkin, S.; Remer, L.; Levy, R.; Reid, J. Multiangle implementation of atmospheric correction (MAIAC): 2. Aerosol algorithm. J. Geophys. Res. Atmos. 2011, 116, D03211. [Google Scholar] [CrossRef]
- Lyapustin, A.I.; Wang, Y.; Laszlo, I.; Hilker, T.; Hall, F.G.; Sellers, P.J.; Tucker, C.J.; Korkin, S.V. Multi-angle implementation of atmospheric correction for MODIS (MAIAC): 3. Atmospheric correction. Remote Sens. Environ. 2012, 127, 385–393. [Google Scholar] [CrossRef]
- Lyapustin, A.; Wang, Y.; Laszlo, I.; Korkin, S. Improved cloud and snow screening in MAIAC aerosol retrievals using spectral and spatial analysis. Atmos. Meas. Tech. 2012, 5, 843–850. [Google Scholar] [CrossRef]
- Gorelick, N.; Hancher, M.; Dixon, M.; Ilyushchenko, S.; Thau, D.; Moore, R. Google Earth Engine: Planetary-scale geospatial analysis for everyone. Remote Sens. Environ. 2017, 202, 18–27. [Google Scholar] [CrossRef]
- Holben, B.N.; Eck, T.F.; Slutsker, I.a.; Tanré, D.; Buis, J.; Setzer, A.; Vermote, E.; Reagan, J.A.; Kaufman, Y.; Nakajima, T. AERONET—A federated instrument network and data archive for aerosol characterization. Remote Sens. Environ. 1998, 66, 1–16. [Google Scholar] [CrossRef]
- Wang, S.; Wang, T.; Jiao, Y.; Dong, Y.; Li, J.; Bi, J.; Huo, Y.; Amonov, M.O.; Abdullaev, S.F. Global aerosol models considering their spatial heterogeneities based on AERONET measurements. Atmos. Res. 2024, 308, 107521. [Google Scholar] [CrossRef]
- Xu, X. Spatiotemporal Distribution Dataset of Ecosystem Types on Multi-Periods in China. Environment Earth Science. 2023. Available online: https://www.resdc.cn/DOI/doi.aspx?DOIid=131 (accessed on 15 June 2024).
- Wang, Z.; Chen, W.; Piao, J.; Chen, S.; Kim, J.-S.; Wang, L.; Yang, R.; Yu, T. Responses of gross primary productivity in different types of terrestrial ecosystems to interannual variation in the northern boundary of the East Asian summer monsoon. Glob. Planet. Chang. 2024, 236, 104414. [Google Scholar] [CrossRef]
- Chen, J.; Gao, M.; Cheng, S.; Hou, W.; Song, M.; Liu, X.; Liu, Y. Global 1 km × 1 km gridded revised real gross domestic product and electricity consumption during 1992–2019 based on calibrated nighttime light data. Sci. Data 2022, 9, 202. [Google Scholar] [CrossRef] [PubMed]
- Statistics Bureau of Xinjiang Uygur Autonomous Region, Xinjiang Survey Organization of National Bureau of Statistics. Xinjiang Statistical Yearbook; China Statistics Press: Beijing, China, 2024. [Google Scholar]
- Rose, A.N.; Bright, E. The LandScan Global Population Distribution Project: Current state of the art and prospective innovation. In Proceedings of the Population Association of America Annual Meeting, Boston, MA, USA, 1 May 2014. [Google Scholar]
- Liu, Z.; Shie, C.-L.; Li, A.; Meyer, D. NASA global satellite and model data products and services for tropical meteorology and climatology. Remote Sens. 2020, 12, 2821. [Google Scholar] [CrossRef]
- Hersbach, H.; Bell, B.; Berrisford, P.; Hirahara, S.; Horányi, A.; Muñoz-Sabater, J.; Nicolas, J.; Peubey, C.; Radu, R.; Schepers, D. The ERA5 global reanalysis. Q. J. R. Meteorol. Soc. 2020, 146, 1999–2049. [Google Scholar] [CrossRef]
- Peng, S. 1-km Monthly Mean Temperature Dataset for China (1901–2023); National Tibetan Plateau/Third Pole Environment Data Center: Beijing, China, 2019. [Google Scholar]
- Farr, T.G.; Rosen, P.A.; Caro, E.; Crippen, R.; Duren, R.; Hensley, S.; Kobrick, M.; Paller, M.; Rodriguez, E.; Roth, L. The shuttle radar topography mission. Rev. Geophys. 2007, 45, RG2004. [Google Scholar] [CrossRef]
- Ångström, A. The parameters of atmospheric turbidity. Tellus 1964, 16, 64–75. [Google Scholar] [CrossRef]
- Wang, X.-Q.; Wang, F.; Jia, L.-L.; Ding, Y. Retrieval and validation of aerosol optical depth using GF-1 WFV cameras data. Adv. Space Res. 2020, 65, 997–1007. [Google Scholar] [CrossRef]
- Wang, N.; Chen, J.; Zhang, Y.; Xu, Y.; Yu, W. The Spatiotemporal Characteristics and Driving Factors of Dust Emissions in East Asia (2000–2021). Remote Sens. 2023, 15, 410. [Google Scholar] [CrossRef]
- Fan, J.; Fan, Y.; Cheng, J.; Wu, H.; Yan, Y.; Zheng, K.; Shi, M.; Yang, Q. The spatio-temporal evolution characteristics of the vegetation NDVI in the Northern slope of the Tianshan mountains at different spatial scales. Sustainability 2023, 15, 6642. [Google Scholar] [CrossRef]
- Guo, M.; Li, J.; He, H.; Xu, J.; Jin, Y. Detecting global vegetation changes using Mann-Kendal (MK) trend test for 1982–2015 time period. Chin. Geogr. Sci. 2018, 28, 907–919. [Google Scholar] [CrossRef]
- Wang, J.; Xu, C.D. Geodetector: Principle and prospective. Acta Geogr. Sin. 2017, 72, 116–134. [Google Scholar]
- Hou, X.; Wang, W.; Wang, Z.; Ma, Z.; Guan, C.; Xi, D.; Li, P.; Li, J.; Huang, X. Hydrogeological processes and hydrochemical effects in the Manas river catchment, Northwest China, over the past 60 years. J. Hydrol. 2022, 614, 128338. [Google Scholar] [CrossRef]
- Wang, J.; Yang, S.; Lou, H.; Liu, H.; Wang, P.; Li, C.; Zhang, F. Impact of lake water level decline on river evolution in Ebinur Lake Basin (an ungauged terminal lake basin). Int. J. Appl. Earth Obs. Geoinf. 2021, 104, 102546. [Google Scholar] [CrossRef]
- Fang, L.; Tao, S.; Zhu, J.; Liu, Y. Impacts of climate change and irrigation on lakes in arid northwest China. J. Arid. Environ. 2018, 154, 34–39. [Google Scholar] [CrossRef]
- Schindler, D.; Bauhus, J.; Mayer, H. Wind effects on trees. Eur. J. For. Res. 2012, 131, 159–163. [Google Scholar] [CrossRef]
- Wrenger, B.; Cuxart, J. Vertical profiles of temperature, wind, and turbulent fluxes across a deciduous forest over a slope observed with a UAV. Front. Earth Sci. 2024, 12, 1159679. [Google Scholar] [CrossRef]
- Henderson, D.S.; Otkin, J.A.; Mecikalski, J.R. Examining the Role of the Land Surface on Convection Using High-Resolution Model Forecasts Over the Southeastern United States. J. Geophys. Res. Atmos. 2022, 127, e2022JD036563. [Google Scholar] [CrossRef]
- Gao, W.; Yuan, Y.; Liu, Z.; Wei, W. Status of dust sources and aerosol formatting condition analysis in Xinjiang. J. Desert Res. 2008, 28, 968–973. [Google Scholar]
- Wang, S.; Xing, J.; Zhao, B.; Jang, C.; Hao, J. Effectiveness of national air pollution control policies on the air quality in metropolitan areas of China. J. Environ. Sci. 2014, 26, 13–22. [Google Scholar] [CrossRef]
- Li, J. Pollution trends in China from 2000 to 2017: A multi-sensor view from space. Remote Sens. 2020, 12, 208. [Google Scholar] [CrossRef]
- Zheng, B.; Tong, D.; Li, M.; Liu, F.; Hong, C.; Geng, G.; Li, H.; Li, X.; Peng, L.; Qi, J. Trends in China’s anthropogenic emissions since 2010 as the consequence of clean air actions. Atmos. Chem. Phys. 2018, 18, 14095–14111. [Google Scholar] [CrossRef]
- Chen, C.; Fang, J.-L.; Shi, W.-Y.; Li, T.-T.; Shi, X.-M. Clean air actions and health plans in China. Chin. Med. J. 2020, 133, 1609–1611. [Google Scholar] [CrossRef]
- Hao, H.; Wang, K.; Zhao, C.; Wu, G.; Li, J. Visibility-derived aerosol optical depth over global land from 1959 to 2021. Earth Syst. Sci. Data 2024, 16, 3233–3260. [Google Scholar] [CrossRef]
- Yao, J.; Yang, Q.; Mao, W.; Zhao, Y.; Xu, X. Precipitation trend–Elevation relationship in arid regions of the China. Glob. Planet. Chang. 2016, 143, 1–9. [Google Scholar] [CrossRef]
- Shi, J.; Deng, L.; Du, W.; Han, X.; Zhong, Y.; Rao, W.; Xie, H.; Xiang, F.; Ning, P.; Tian, S. Chemical characteristics, sources, and formation mechanisms of PM2. 5 before, during, and after the Spring Festival in a plateau city of Southwest China. Atmos. Environ. 2024, 338, 120788. [Google Scholar] [CrossRef]
- Tunved, P.; Hansson, H.-C.; Kerminen, V.-M.; Strom, J.; Maso, M.D.; Lihavainen, H.; Viisanen, Y.; Aalto, P.P.; Komppula, M.; Kulmala, M. High natural aerosol loading over boreal forests. Science 2006, 312, 261–263. [Google Scholar] [CrossRef] [PubMed]
- Martin, S.T.; Andreae, M.O.; Artaxo, P.; Baumgardner, D.; Chen, Q.; Goldstein, A.H.; Guenther, A.; Heald, C.L.; Mayol-Bracero, O.L.; McMurry, P.H. Sources and properties of Amazonian aerosol particles. Rev. Geophys. 2010, 48, RG2002. [Google Scholar] [CrossRef]
- Li, W.; Liu, L.; Xu, L.; Zhang, J.; Yuan, Q.; Ding, X.; Hu, W.; Fu, P.; Zhang, D. Overview of primary biological aerosol particles from a Chinese boreal forest: Insight into morphology, size, and mixing state at microscopic scale. Sci. Total Environ. 2020, 719, 137520. [Google Scholar] [CrossRef]
- Schumacher, V.; Setzer, A. Assessment and characteristics of S-NPP VIIRS Deep Blue and Dark Target aerosol properties under clean, polluted and fire scenarios over the Amazon. Atmos. Environ. 2024, 323, 120398. [Google Scholar] [CrossRef]
- Labban, A.H.; Butt, M.J. Evaluation of MERRA-2 data for aerosols patterns over the Kingdom of Saudi Arabia. Heliyon 2023, 9, e17047. [Google Scholar] [CrossRef]
- Bilal, M.; Nichol, J.E.; Wang, L. New customized methods for improvement of the MODIS C6 Dark Target and Deep Blue merged aerosol product. Remote Sens. Environ. 2017, 197, 115–124. [Google Scholar] [CrossRef]
- Wang, J.; Li, X. Influence of industrial sustainability transition on air quality in a typical resource-exhausted city. Heliyon 2024, 10, e25138. [Google Scholar] [CrossRef] [PubMed]
- Cui, T.; Qing, S.; Wei, T.; Mu, B.; Xiao, Y.; Chen, Y.; Bao, Y.; Zhang, J. Decade-low aerosol levels over the Bohai and Yellow Seas amid the COVID-19 lockdown. Int. J. Appl. Earth Obs. Geoinf. 2022, 112, 102905. [Google Scholar]
- Liang, Y.; Gui, K.; Che, H.; Li, L.; Zheng, Y.; Zhang, X.; Zhang, X.; Zhang, P.; Zhang, X. Changes in aerosol loading before, during and after the COVID-19 pandemic outbreak in China: Effects of anthropogenic and natural aerosol. Sci. Total Environ. 2023, 857, 159435. [Google Scholar] [CrossRef]
- Feng, Z.; Wang, X.; Yuan, J.; Zhang, Y.; Yu, M. Changes in air pollution, land surface temperature, and urban heat islands during the COVID-19 lockdown in three Chinese urban agglomerations. Sci. Total Environ. 2023, 892, 164496. [Google Scholar] [CrossRef] [PubMed]
- Yu, Z.; Li, X.; Yu, X.; Zhen, Y.; Ayitken, M.; Li, S.; Wang, N. Spatiotemporal variation characteristics of aerosol optical depth in Xinjiang from 2003 to 2019. Arid. Land. Geo. 2022, 45, 346–358. [Google Scholar]
- Sun, L.; Wei, J.; Duan, D.; Guo, Y.; Yang, D.; Jia, C.; Mi, X. Impact of Land-Use and Land-Cover Change on urban air quality in representative cities of China. J. Atmos. Sol.-Terr. Phys. 2016, 142, 43–54. [Google Scholar] [CrossRef]
- Thomsen, D.; Iversen, E.M.; Skønager, J.T.; Luo, Y.; Li, L.; Roldin, P.; Priestley, M.; Pedersen, H.B.; Hallquist, M.; Ehn, M. The effect of temperature and relative humidity on secondary organic aerosol formation from ozonolysis of Δ 3-carene. Environ. Sci. Atmos. 2024, 4, 88–103. [Google Scholar] [CrossRef]
- Wang, Y.; Xia, W.; Liu, X.; Xie, S.; Lin, W.; Tang, Q.; Ma, H.; Jiang, Y.; Wang, B.; Zhang, G. Disproportionate control on aerosol burden by light rain. Nat. Geosci. 2021, 14, 72–76. [Google Scholar]
- Ma, Y.; Zhang, X.; Xin, J.; Zhang, W.; Wang, Z.; Liu, Q.; Wu, F.; Wang, L.; Lyu, Y.; Wang, Q. Mass and number concentration distribution of marine aerosol in the Western Pacific and the influence of continental transport. Environ. Pollut. 2022, 298, 118827. [Google Scholar] [CrossRef]














| Station | Latitude/Longitude | Altitude | Operational Time |
|---|---|---|---|
| Asia1 | 43.783° N/87.650° E | 935 m | 13 August 2007 to 15 August 2007 |
| Muztagh_Ata | 38.408° N/75.039° E | 3674 m | 6 June 2011 to 20 December 2011 |
| Kashi | 39.504° N/75.930° E | 1320 m | 21 March 2019 to 29 April 2019 |
| Ecosystem | Land Use Type | Description |
|---|---|---|
| Farmland ecosystem | Paddy land, dry land | An ecosystem mainly comprises cultivated land, such as mature, cultivated land, newly reclaimed land, rotational fallow land, and grassland-crop rotation land for growing crops. |
| Forest ecosystem | Wooded land, shrubland, open woodland, other woodland | An ecosystem mainly comprises cultivated land, such as mature, cultivated land, newly reclaimed land, rotational fallow land, and grassland-crop rotation land for growing crops. |
| Grassland ecosystem | High-cover grassland, medium-cover grassland, low-cover grassland | An ecosystem composed of various grasslands mainly growing herbaceous plants with a coverage of more than 5%, including shrub grasslands and sparse forest grasslands with a canopy density of less than 10%. |
| Wetland ecosystem | River channels, lakes, reservoirs, permanent glaciers and snowfields, mudflats, swamps | An ecosystem includes natural terrestrial waters and water conservancy facilities. |
| Settlement ecosystem | Urban, rural, and other construction land | An ecosystem comprises artificial facilities such as urban and rural settlements and industrial, mining, and transportation facilities outside them. |
| Desert ecosystem | Sandy land, Gobi desert, saline land, alpine desert, tundra | An ecosystem that is currently unused or difficult to use. |
| Other ecosystem | Bare land, bare rocky land | An ecosystem with soil cover on the surface and less than 5% vegetation coverage or an ecosystem with a gravel coverage area greater than 5%. |
| Driving Factor | Variable | Spatial Resolution | Unit | Data Source |
|---|---|---|---|---|
| Human activity | Gross Domestic Product | 1 km | Million dollar | Scientific Data [69] and Statistical Yearbook of Xinjiang Uygur Autonomous Region [70]. |
| Population Density | 1 km | Person | Oak Ridge National Laboratory Land Scan [71]. | |
| and Statistical Yearbook of Xinjiang Uygur Autonomous Region [70]. | ||||
| Meteorological condition | Specific Humidity | 0.25° | kg/kg | NASA Global Land Data Assimilation System [72]. |
| Precipitation | 0.1° | m | The fifth generation ECMWF atmospheric reanalysis of the global climate [73]. | |
| Temperature | 1 km | °C | National Qinghai Tibet Plateau Data Center [74]. | |
| Wind Speed | 0.25° | m/s | NASA Global Land Data Assimilation System [72]. | |
| Surface condition | Soil Moisture | 0.1° | m3/m3 | The fifth generation ECMWF atmospheric reanalysis of the global climate [73]. |
| Digital Elevation Model | 30 m | m | NASA Shuttle Radar Topography Mission [75]. |
| Criterion | Interaction Pattern |
|---|---|
| q (Xn∩Xi) < Min (q (Xn), q (Xi)) | Nonlinearity attenuation |
| Min (q (Xn), q (Xi)) < q (Xn∩Xi) < Max (q (Xn), q (Xi)) | Single-factor nonlinearity decreases |
| q (Xn∩Xi) > Max (q (Xn), q (Xi)) | Two-factor enhancement |
| q (Xn∩Xi) = q (Xn) + q (Xi) | Independent |
| q (Xn∩Xi) > q (Xn) + q (Xi) | Nonlinear enhancement |
| Driving Factors | Human Activity | Meteorological Condition | Surface Condition | ||||||
|---|---|---|---|---|---|---|---|---|---|
| X1 | X2 | X3 | X4 | X5 | X6 | X7 | X8 | ||
| GDP | POP | SH | Pre | T | Wind | SoilMoi | DEM | ||
| Grassland ecosystem | q value | 0.102 | 0.109 | 0.238 | 0.216 | 0.435 | 0.035 | 0.195 | 0.528 |
| p value | 0.00 | 0.00 | 0.00 | 0.00 | 0.00 | 0.00 | 0.00 | 0.00 | |
| Desert ecosystem | q value | 0.001 | 0.001 | 0.118 | 0.002 | 0.056 | 0.042 | 0.006 | 0.080 |
| p value | 1.00 | 1.00 | 0.00 | 1.00 | 0.00 | 0.00 | 0.85 | 0.00 | |
| Settlement ecosystem | q value | 0.010 | 0.019 | 0.042 | 0.032 | 0.032 | 0.021 | 0.025 | 0.047 |
| p value | 0.00 | 0.00 | 0.00 | 0.00 | 0.00 | 0.00 | 0.00 | 0.00 | |
| Farmland ecosystem | q value | 0.039 | 0.011 | 0.079 | 0.268 | 0.164 | 0.112 | 0.210 | 0.425 |
| p value | 0.00 | 0.79 | 0.00 | 0.00 | 0.00 | 0.00 | 0.00 | 0.00 | |
| Forest ecosystem | q value | 0.113 | 0.208 | 0.168 | 0.353 | 0.501 | 0.134 | 0.319 | 0.539 |
| p value | 0.00 | 0.00 | 0.00 | 0.00 | 0.00 | 0.00 | 0.00 | 0.00 | |
| Wetland ecosystem | q value | 0.001 | 0.001 | 0.202 | 0.148 | 0.280 | 0.106 | 0.115 | 0.129 |
| p value | 0.83 | 0.67 | 0.00 | 0.00 | 0.00 | 0.00 | 0.00 | 0.00 | |
| Other ecosystem | q value | 0.016 | 0.023 | 0.250 | 0.171 | 0.253 | 0.050 | 0.179 | 0.334 |
| p value | 1.00 | 0.98 | 0.00 | 0.00 | 0.00 | 0.00 | 0.00 | 0.00 | |
Disclaimer/Publisher’s Note: The statements, opinions and data contained in all publications are solely those of the individual author(s) and contributor(s) and not of MDPI and/or the editor(s). MDPI and/or the editor(s) disclaim responsibility for any injury to people or property resulting from any ideas, methods, instructions or products referred to in the content. |
© 2024 by the authors. Licensee MDPI, Basel, Switzerland. This article is an open access article distributed under the terms and conditions of the Creative Commons Attribution (CC BY) license (https://creativecommons.org/licenses/by/4.0/).
Share and Cite
Xiang, Z.; Wu, H.; Fan, Y.; Dang, Y.; Bi, Y.; Zhao, J.; Song, W.; Feng, T.; Zhang, X. Spatiotemporal Variations and Driving Factor Analysis of Aerosol Optical Depth in Terrestrial Ecosystems in Northern Xinjiang from 2001 to 2023. Atmosphere 2024, 15, 1302. https://doi.org/10.3390/atmos15111302
Xiang Z, Wu H, Fan Y, Dang Y, Bi Y, Zhao J, Song W, Feng T, Zhang X. Spatiotemporal Variations and Driving Factor Analysis of Aerosol Optical Depth in Terrestrial Ecosystems in Northern Xinjiang from 2001 to 2023. Atmosphere. 2024; 15(11):1302. https://doi.org/10.3390/atmos15111302
Chicago/Turabian StyleXiang, Zequn, Hongqi Wu, Yanmin Fan, Yu Dang, Yanan Bi, Jiahao Zhao, Wenyue Song, Tianyuan Feng, and Xu Zhang. 2024. "Spatiotemporal Variations and Driving Factor Analysis of Aerosol Optical Depth in Terrestrial Ecosystems in Northern Xinjiang from 2001 to 2023" Atmosphere 15, no. 11: 1302. https://doi.org/10.3390/atmos15111302
APA StyleXiang, Z., Wu, H., Fan, Y., Dang, Y., Bi, Y., Zhao, J., Song, W., Feng, T., & Zhang, X. (2024). Spatiotemporal Variations and Driving Factor Analysis of Aerosol Optical Depth in Terrestrial Ecosystems in Northern Xinjiang from 2001 to 2023. Atmosphere, 15(11), 1302. https://doi.org/10.3390/atmos15111302

