Exploring Climate Change Impacts on Temperature Extremes in the South Saskatchewan River Watershed, Alberta, Canada
Abstract
1. Introduction
2. Materials and Methods
2.1. Study Area
2.2. Dataset
2.3. Extreme Climate Indices
2.4. Data Analysis
3. Results
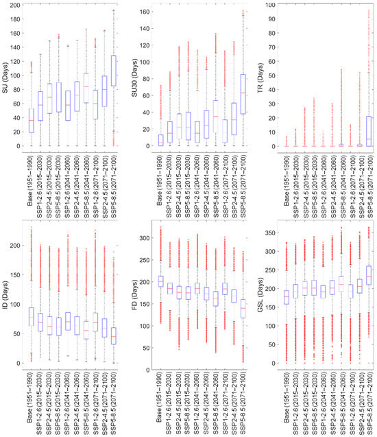
3.1. Changes in the Annual Extreme Temperature Indices Under Climate Change
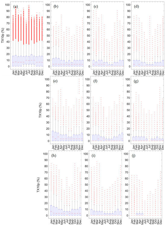
3.2. Changes in the Monthly Extreme Temperature Indices Under Climate Change









4. Discussion and Conclusions
Author Contributions
Funding
Institutional Review Board Statement
Informed Consent Statement
Data Availability Statement
Acknowledgments
Conflicts of Interest
Appendix A
| Institution | Model Name | Realization |
|---|---|---|
| CSIRO-ARCCSS (Australia) | ACCESS-CM2 | r1i1p1f1 |
| CSIRO (Australia) | ACCESS-ESM1-5 | r1i1p1f1 |
| Beijing Climate Center (China) | BCC-CSM2-MR | r1i1p1f1 |
| Canadian Centre for Climate Modelling and Analysis (Canada) | CanESM5 | r1i1p2f1 |
| Euro-Mediterranean Centre for Climate Change (Italy) | CMCC-ESM2 | r1i1p1f1 |
| CNRM-CERFACS (France) | CNRM-CM6-1 | r1i1p1f2 |
| CNRM-CERFACS (France) | CNRM-ESM2-1 | r1i1p1f2 |
| EC-Earth-Consortium (Europe) | EC-Earth3 | r4i1p1f1 |
| EC-Earth-Consortium (Europe) | EC-Earth3-Veg | r1i1p1f1 |
| Institute of Atmospheric Physics (China) | FGOALS-g3 | r1i1p1f1 |
| NOAA-Geophys. Fluid Dyn. Lab (USA) | GFDL-ESM4 | r1i1p1f1 |
| Met Office Hadley Centre and NERC (UK) | HadGEM3-GC31-LL | r1i1p1f3 |
| Institute for Numerical Mathematics (Rus.) | INM-CM4-8 | r1i1p1f1 |
| Institute for Numerical Mathematics (Rus.) | INM-CM5-0 | r1i1p1f1 |
| Institut Pierre-Simon Laplace (France) | IPSL-CM6A-LR | r1i1p1f1 |
| National Institute of Meteo. Sciences and Korea Meteo. Administration (Korea) | KACE-1-0-G | r2i1p1f1 |
| Korea Institute of Ocean Science and Technology (Korea) | KIOST-ESM | r1i1p1f1 |
| University of Tokyo JAMSTEC, NIES, and AORI (Japan) | MIROC6 | r1i1p1f1 |
| University of Tokyo JAMSTEC, NIES, and AORI (Japan) | MIROC-ES2L | r1i1p1f2 |
| Max Planck Institute for Meteo. (Germany) | MPI-ESM1-2-HR | r1i1p1f1 |
| Max Planck Institute for Meteo. (Germany) | MPI-ESM1-2-LR | r1i1p1f1 |
| Meteorological Research Institute (Japan) | MRI-ESM2-0 | r1i1p1f1 |
| Norwegian Climate Center (Norway) | NorESM2-LM | r1i1p1f1 |
| Norwegian Climate Center (Norway) | NorESM2-MM | r1i1p1f1 |
| Research Center for Env. Changes (Taiwan) | TaiESM1 | r1i1p1f1 |
| Met Office Hadley Centre and NERC (UK) | UKESM1-0-LL | r1i1p1f2 |
References
- Batibeniz, F.; Ashfaq, M.; Diffenbaugh, N.S.; Key, K.; Evans, K.J.; Turuncoglu, U.U.; Önol, B. Doubling of US population exposure to climate extremes by 2050. Earth’s Future 2020, 8, e2019EF001421. [Google Scholar] [CrossRef]
- NASA Clocks July 2023 as Hottest Month on Record Ever Since 1880, NASA. 14 August 2023. Available online: https://www.nasa.gov/news-release/nasa-clocks-july-2023-as-hottest-month-on-record-ever-since-1880/ (accessed on 8 October 2024).
- NASA Analysis Confirms 2023 as Warmest Year on Record, NASA. 12 January 2024. Available online: https://www.nasa.gov/news-release/nasa-analysis-confirms-2023-as-warmest-year-on-record/ (accessed on 8 October 2024).
- Bell, J.E.; Brown, C.L.; Conlon, K.; Herring, S.; Kunkel, K.E.; Lawrimore, J.; Luber, G.; Schreck, C.; Smith, A.; Uejio, C. Changes in extreme events and the potential impacts on human health. J. Air Waste Manag. Assoc. 2018, 68, 265–287. [Google Scholar] [CrossRef] [PubMed]
- French, J.; Kokoszka, P.; Stoev, S.; Hall, L. Quantifying the risk of heat waves using extreme value theory and spatio-temporal functional data. Comput. Stat. Data Anal. 2019, 131, 176–193. [Google Scholar] [CrossRef]
- Raymond, C.; Horton, R.M.; Jakob, Z.; Olivia, M.; Amir, A.; Balch, J.; Bowen, S.G.; Camargo, S.J.; Hess, J.; Kai, K.; et al. Understanding and managing connected extreme events. Nat. Clim. Change 2020, 10, 611–621. [Google Scholar] [CrossRef]
- Zscheischler, J.; Westra, S.; Van Den Hurk, B.J.; Seneviratne, S.I.; Ward, P.J.; Pitman, A.; AghaKouchak, A.; Bresch, D.N.; Leonard, M.; Wahl, T.; et al. Future climate risk from compound events. Nat. Clim. Change 2018, 8, 469–477. [Google Scholar] [CrossRef]
- Liu, S.; Huang, S.; Xie, Y.; Huang, Q.; Leng, G.; Hou, B.; Zhang, Y.; Wei, X. Spatial-temporal changes of maximum and minimum temperatures in the Wei River Basin, China: Changing patterns, causes and implications. Atmos. Res. 2018, 204, 1–11. [Google Scholar] [CrossRef]
- Booth, E.L.J.; Byrne, J.M.; Johnson, D.L. Climatic changes in western North America, 1950–2005. Int. J. Climatol. 2011, 32, 2283–2300. [Google Scholar] [CrossRef]
- Easterling, D.R. Recent changes in frost days and the frost-free season in the United States. Bull. Am. Meteorol. Soc. 2002, 83, 1327–1332. [Google Scholar] [CrossRef]
- Frich, P.; Alexander, L.V.; Della-Marta, P.; Gleason, B.; Haylock, M.; Klein Tank, A.; Peterson, T. Observed coherent changes in climatic extremes during second half of the twentieth century. Clim. Res. 2002, 19, 193–212. [Google Scholar] [CrossRef]
- Meehl, G.A.; Tebaldi, C.; Walton, G.; Easterling, D.; McDaniel, L. Relative increase of record high maximum temperatures compared to record low minimum temperatures in the U.S. Geophys. Res. Lett. 2009, 36, L23701. [Google Scholar] [CrossRef]
- Vincent, L.A.; Mekis, E. Changes in daily and extreme temperature and precipitation indices for Canada over the twentieth century. Atmos. Ocean. 2006, 44, 177–193. [Google Scholar] [CrossRef]
- Almazroui, M.; Islam, M.N.; Saeed, F.; Saeed, S.; Ismail, M.; Ehsan, M.A.; Diallo, I.; O’Brien, E.; Ashfaq, M.; Martínez-Castro, D.; et al. Projected changes in temperature and precipitation over the United States, central America, and the Caribbean in CMIP6 GCMs. Earth Syst. Environ. 2021, 5, 1–24. [Google Scholar] [CrossRef]
- Peterson, T.; Folland, C.; Gruza, G.; Hogg, W.; Mokssit, A.; Plummer, N. Report on the Activities of the Working Group on Climate Change Detection and Related Rapporteurs; World Meteorological Organization: Geneva, Switzerland, 2001; p. 143. [Google Scholar]
- Alexander, L.V.; Zhang, X.; Peterson, T.C.; Caesar, J.; Gleason, B.; Tank, A.M.G.K.; Haylock, M.; Collins, D.; Trewin, B.; Rahimzadeh, F.; et al. Global observed changes in daily climate extremes of temperature and precipitation. J. Geophys. Res. 2006, 111, D05109. [Google Scholar] [CrossRef]
- Brown, P.J.; Bradley, R.S.; Keimig, F.T. Changes in Extreme Climate Indices for the Northeastern United States 1870–2005. J. Clim. 2010, 23, 6555–6572. [Google Scholar] [CrossRef]
- Perkins, S.E. A review on the scientific understanding of heatwaves—Their measurement, driving mechanisms, and changes at the global scale. Atmos. Res. 2015, 164, 242–267. [Google Scholar] [CrossRef]
- Faramarzi, M.; Abbaspour, K.C.; Lu, W.; Fennell, J.; Zehnder, A.J.; Goss, G.G. Uncertainty based assessment of dynamic freshwater scarcity in semi-arid watersheds of Alberta, Canada. J. Hydrol. Reg. Stud. 2017, 9, 48–68. [Google Scholar] [CrossRef]
- Mousavi, R.; Johnson, D.; Kroebel, R.; Byrne, J. Analysis of historical drought conditions based on SPI and SPEI at various timescales in the South Saskatchewan River Watershed, Alberta, Canada. Theor. Appl. Climatol. 2023, 153, 873–887. [Google Scholar] [CrossRef]
- Riahi, K.; Van Vuuren, D.P.; Kriegler, E.; Edmonds, J.; O’neill, B.C.; Fujimori, S.; Bauer, N.; Calvin, K.; Dellink, R.; Fricko, O.; et al. The shared socioeconomic pathways and their energy, land use, and green house gas emissions implications: An overview. Glob. Environ. Change 2017, 42, 153–168. [Google Scholar] [CrossRef]
- Cannon, A.J.; Sobie, S.R.; Murdock, T.Q. Bias correction of GCM precipitation by quantile mapping: How well do methods preserve changes in quantiles and extremes? J. Clim. 2015, 28, 6938–6959. [Google Scholar] [CrossRef]
- Werner, A.T.; Cannon, A.J. Hydrologic extremes–An intercomparison of multiple gridded statistical downscaling methods. Hydrol. Earth Syst. Sci. 2016, 20, 1483–1508. [Google Scholar] [CrossRef]
- Gasparrini, A.; Guo, Y.; Sera, F.; Vicedo-Cabrera, A.M.; Huber, V.; Tong, S.; Coelho, M.D.S.Z.S.; Saldiva, P.H.N.; Lavigne, E.; Correa, P.M.; et al. Projections of temperature-related excess mortality under climate change scenarios. Lancet Planet Health 2017, 1, e360–e367. [Google Scholar] [CrossRef] [PubMed]
- Wang, H.; Lemke, R.; Goddard, T.; Sprout, C. Tillage and root heat stress in wheat in central Alberta. Can. J. Soil Sci. 2007, 87, 3–10. [Google Scholar] [CrossRef]
- Van Loon, C.D. The effect of water stress on potato growth, development, and yield. Am. Potato J. 1981, 58, 51–69. [Google Scholar] [CrossRef]
- Dierauer, J.R.; Allen, D.M.; Whitfield, P.H. Snow drought risk and susceptibility in the western United States and southwestern Canada. Water Resour. Res. 2019, 55, 3076–3091. [Google Scholar] [CrossRef]
- Westerling, A.L.; Hidalgo, H.G.; Cayan, D.R.; Swetnam, T.W. Warming and earlier spring increase western US forest wildfire activity. Science 2006, 313, 940–943. [Google Scholar] [CrossRef] [PubMed]
- Hu, J.I.A.; Moore, D.J.; Burns, S.P.; Monson, R.K. Longer growing seasons lead to less carbon sequestration by a subalpine forest. Glob. Change Biol. 2010, 16, 771–783. [Google Scholar] [CrossRef]
- Winchell, T.S.; Barnard, D.M.; Monson, R.K.; Burns, S.P.; Molotch, N.P. Earlier snowmelt reduces atmospheric carbon uptake in midlatitude subalpine forests. Geophys. Res. Lett. 2016, 43, 8160–8168. [Google Scholar] [CrossRef]
- Harpold, A.A. Diverging sensitivity of soil water stress to changing snowmelt timing in the western U.S. Adv. Water Resour. 2016, 92, 116–129. [Google Scholar] [CrossRef]
- Tabari, H. Climate change impact on flood and extreme precipitation increases with water availability. Sci. Rep. 2020, 10, 13768. [Google Scholar] [CrossRef]



| Index | Description | Unit |
|---|---|---|
| DTR | Daily temperature range | °C |
| GSL | Growing season length | days/year |
| FD | Number of frost days | days/year |
| ID | Number of icing days | days/year |
| SU | Number of summer days (>25 °C) | days/year |
| SU30 | Number of summer days (>30 °C) | days/year |
| TR | Number of tropical nights | days/year |
| CSDI | Cold spell duration index | days/year |
| WSDI | Warm spell duration index | days/year |
| TXx | Monthly maximum value of daily maximum temperature (TX) | °C |
| TNx | Monthly maximum value of daily minimum temperature (TN) | °C |
| TXn | Monthly minimum value of TX | °C |
| TNn | Monthly minimum value of TN | °C |
| TN10p | Percentage of days when TN < 10th percentile | % of days in month |
| TX10p | Percentage of days when TX < 10th percentile | % of days in month |
| TN90p | Percentage of days when TN > 90th percentile | % of days in month |
| TX90p | Percentage of days when TX > 90th percentile | % of days in month |
| Index | 1951–1990 | SSP1-2.6 | SSP2-4.5 | SSP5-8.5 | ||||||
|---|---|---|---|---|---|---|---|---|---|---|
| 2015–2030 | 2041–2060 | 2071–2100 | 2015–2030 | 2041–2060 | 2071–2100 | 2015–2030 | 2041–2060 | 2071–2100 | ||
| ID | 80 | 71 | 65 | 63 | 72 | 65 | 58 | 72 | 61 | 47 |
| FD | 204 | 186 | 177 | 175 | 187 | 174 | 162 | 186 | 168 | 138 |
| CSDI | 8 | 4 | 3 | 3 | 4 | 2 | 1 | 4 | 2 | 0 |
| SU | 36 | 56 | 66 | 68 | 58 | 69 | 81 | 58 | 76 | 104 |
| SU30 | 8 | 20 | 25 | 26 | 19 | 27 | 37 | 20 | 34 | 62 |
| TR | 0 | 0 | 0 | 0 | 0 | 0 | 0 | 0 | 0 | 7 |
| WSDI | 5 | 18 | 33 | 38 | 20 | 36 | 57 | 22 | 47 | 104 |
| GSL | 174 | 191 | 200 | 202 | 190 | 202 | 212 | 190 | 207 | 235 |
Disclaimer/Publisher’s Note: The statements, opinions and data contained in all publications are solely those of the individual author(s) and contributor(s) and not of MDPI and/or the editor(s). MDPI and/or the editor(s) disclaim responsibility for any injury to people or property resulting from any ideas, methods, instructions or products referred to in the content. |
© 2024 by the authors. Licensee MDPI, Basel, Switzerland. This article is an open access article distributed under the terms and conditions of the Creative Commons Attribution (CC BY) license (https://creativecommons.org/licenses/by/4.0/).
Share and Cite
Mousavi, R.; Johnson, D.L.; Byrne, J.M.; Kroebel, R. Exploring Climate Change Impacts on Temperature Extremes in the South Saskatchewan River Watershed, Alberta, Canada. Atmosphere 2024, 15, 1293. https://doi.org/10.3390/atmos15111293
Mousavi R, Johnson DL, Byrne JM, Kroebel R. Exploring Climate Change Impacts on Temperature Extremes in the South Saskatchewan River Watershed, Alberta, Canada. Atmosphere. 2024; 15(11):1293. https://doi.org/10.3390/atmos15111293
Chicago/Turabian StyleMousavi, Roya, Daniel L. Johnson, James M. Byrne, and Roland Kroebel. 2024. "Exploring Climate Change Impacts on Temperature Extremes in the South Saskatchewan River Watershed, Alberta, Canada" Atmosphere 15, no. 11: 1293. https://doi.org/10.3390/atmos15111293
APA StyleMousavi, R., Johnson, D. L., Byrne, J. M., & Kroebel, R. (2024). Exploring Climate Change Impacts on Temperature Extremes in the South Saskatchewan River Watershed, Alberta, Canada. Atmosphere, 15(11), 1293. https://doi.org/10.3390/atmos15111293
