Preliminary Study of Air Pollution and Adverse Pregnancy Outcomes: A Mendelian Randomization Study
Abstract
1. Introduction
2. Materials and Methods
2.1. Study Design and Data Sources
2.2. Selection of Instrumental Variables
2.3. Statistical Analysis Methods
2.3.1. MR Design
2.3.2. Sensitivity Analysis
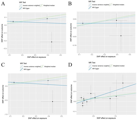
3. Results
3.1. Instrumental Variables
3.2. Mendelian Randomization Analysis
3.3. Results of Sensitivity Analysis
4. Discussion
5. Conclusions
Supplementary Materials
Author Contributions
Funding
Institutional Review Board Statement
Informed Consent Statement
Data Availability Statement
Conflicts of Interest
References
- Xie, X.; Kong, B.H.; Duan, T. Obstetrics and Gynecology, 9th ed.; People’s Health Publishing House: Beijing, China, 2018. [Google Scholar]
- Zheng, Y.; Zhu, Y.; Xin, L.M.; Li, Y. Analysis on the status and influencing factors of adverse pregnancy outcomes among rural women childbearing age in Guizhou. Mod. Prev. Med. 2018, 45, 247–250. [Google Scholar]
- Kramer, M.S. The epidemiology of adverse pregnancy outcomes: An overview. J. Nutr. 2003, 133, 1592S–1596S. [Google Scholar] [CrossRef] [PubMed]
- Strong, K.L.; Pedersen, J.; White, J.E.; Cao, B.; Diaz, T.; Guthold, R.; You, D.; Requejo, J.; Liu, L. Patterns and trends in causes of child and adolescent mortality 2000-2016: Setting the scene for child health redesign. BMJ Glob. Health. 2021, 6, e004760. [Google Scholar] [CrossRef] [PubMed]
- Perin, J.; Mulick, A.; Yeung, D.; Villavicencio, F.; Lopez, G.; Strong, K.L.; Prieto-Merino, D.; Cousens, S.; Black, R.E.; Liu, L. Global, regional, and national causes of under-5 mortality in 2000-19: An updated systematic analysis with implications for the Sustainable Development Goals. Lancet Child Adolesc. Health 2022, 6, 106–115. [Google Scholar] [CrossRef]
- Mwaniki, M.K.; Atieno, M.; Lawn, J.E.; Newton, C.R. Long-term neurodevelopmental outcomes after intrauterine and neonatal insults: A systematic review. Lancet 2012, 379, 445–452. [Google Scholar] [CrossRef]
- Cheng, Y.; Yin, J.; Yang, L.; Xu, M.; Lu, X.; Huang, W.; Dai, G.; Sun, G. Ambient air pollutants in the first trimester of pregnancy and birth defects: An observational study. BMJ Open 2023, 13, e63712. [Google Scholar] [CrossRef]
- Guo, T.; Wang, Y.; Zhang, H.; Zhang, Y.; Zhao, J.; Wang, Q.; Shen, H.; Wang, Y.; Xie, X.; Wang, L.; et al. The association between ambient pm2.5 exposure and the risk of preterm birth in China: A retrospective cohort study. Sci. Total Environ. 2018, 633, 1453–1459. [Google Scholar] [CrossRef]
- Huang, Y.; Gong, X.; Liu, L.; Luo, L.; Leng, S.; Lin, Y. Maternal exposure to metal components of pm (2.5) and low birth weight in new Mexico, USA. Environ. Sci. Pollut. Res. Int. 2023, 30, 98526–98535. [Google Scholar] [CrossRef]
- Kingsley, S.L.; Eliot, M.N.; Glazer, K.; Awad, Y.A.; Schwartz, J.D.; Savitz, D.A.; Kelsey, K.T.; Marsit, C.J.; Wellenius, G.A. Maternal ambient air pollution, preterm birth and markers of fetal growth in Rhode Island: Results of a hospital-based linkage study. J. Epidemiol. Community Health 2017, 71, 1131–1136. [Google Scholar] [CrossRef]
- Johnson, S.; Bobb, J.F.; Ito, K.; Savitz, D.A.; Elston, B.; Shmool, J.L.; Dominici, F.; Ross, Z.; Clougherty, J.E.; Matte, T. Ambient Fine Particulate Matter, Nitrogen Dioxide, and Preterm Birth in New York City. Environ. Health Perspect. 2016, 124, 1283–1290. [Google Scholar] [CrossRef]
- Smith, G.D.; Ebrahim, S. ‘Mendelian randomization’: Can genetic epidemiology contribute to understanding environmental determinants of disease? Int. J. Epidemiol. 2003, 32, 1–22. [Google Scholar] [CrossRef] [PubMed]
- Jiang, F.; Zhao, J.; Sun, J.; Chen, W.; Zhao, Y.; Zhou, S.; Yuan, S.; Timofeeva, M.; Law, P.J.; Larsson, S.C.; et al. Impact of ambient air pollution on colorectal cancer risk and survival: Insights from a prospective cohort and epigenetic Mendelian randomization study. EBioMedicine 2024, 103, 105126. [Google Scholar] [CrossRef] [PubMed]
- Liu, C.X.; Liu, Y.B.; Peng, Y.; Peng, J.; Ma, Q.L. Causal effect of air pollution on the risk of cardiovascular and metabolic diseases and potential mediation by gut microbiota. Sci. Total Environ. 2024, 912, 169418. [Google Scholar] [CrossRef] [PubMed]
- Li, W.; Wang, W. Causal effects of exposure to ambient air pollution on cancer risk: Insights from genetic evidence. Sci. Total Environ. 2024, 912, 168843. [Google Scholar] [CrossRef]
- Sekula, P.; Fabiola Del Greco, M.; Pattaro, C.; Köttgen, A. Mendelian Randomization as an Approach to Assess Causality Using Observational Data. J. Am. Soc. Nephrol. 2016, 27, 3253–3265. [Google Scholar] [CrossRef]
- Sanderson, E.; Glymour, M.M.; Holmes, M.V.; Kang, H.; Morrison, J.; Munafò, M.R.; Palmer, T.; Schooling, M.C.; Wallace, C.; Zhao, Q.; et al. Mendelian randomization. Nat. Rev. Methods Primers 2022, 2, 6. [Google Scholar] [CrossRef]
- Cai, J.; He, L.; Wang, H.; Rong, X.; Chen, M.; Shen, Q.; Li, X.; Li, M.; Peng, Y. Genetic liability for prescription opioid use and risk of cardiovascular diseases: A multivariable mendelian randomization study. Addiction 2022, 117, 1382–1391. [Google Scholar] [CrossRef]
- Boef, A.G.; Dekkers, O.M.; le Cessie, S. Mendelian randomization studies: A review of the approaches used and the quality of reporting. Int. J. Epidemiol. 2015, 44, 496–511. [Google Scholar] [CrossRef]
- Bowden, J.; Del, G.M.F.; Minelli, C.; Davey, S.G.; Sheehan, N.A.; Thompson, J.R. Assessing thesuitability of summary data for two-sample mendelian randomization analyses using MR-egger regression: The role of the i2 statistic. Int. J. Epidemiol. 2016, 45, 1961–1974. [Google Scholar] [CrossRef]
- Burgess, S.; Butterworth, A.; Thompson, S.G. Mendelian randomization analysis with multiple genetic variants using summarized data. Genet. Epidemiol. 2013, 37, 658–665. [Google Scholar] [CrossRef]
- Bowden, J.; Del, G.M.F.; Minelli, C.; Davey, S.G.; Sheehan, N.; Thompson, J. A framework for the investigation of pleiotropy in two-sample summary data mendelian randomization. Stat. Med. 2017, 36, 1783–1802. [Google Scholar] [CrossRef] [PubMed]
- Verbanck, M.; Chen, C.Y.; Neale, B.; Do, R. Detection of widespread horizontal pleiotropy in causal relationships inferred from mendelian randomization between complex traits and diseases. Nat. Genet. 2018, 50, 693–698. [Google Scholar] [CrossRef] [PubMed]
- Bowden, J.; Davey, S.G.; Burgess, S. Mendelian randomization with invalid instruments: Effect estimation and bias detection through egger regression. Int. J. Epidemiol. 2015, 44, 512–525. [Google Scholar] [CrossRef] [PubMed]
- Hayreh, S.S. Ocular vascular occlusive disorders: Natural history of visual outcome. Prog. Retin. Eye Res. 2014, 41, 1–25. [Google Scholar] [CrossRef] [PubMed]
- Pierce, B.L.; Burgess, S. Efficient design for mendelian randomization studies: Subsample and 2-sample instrumental variable estimators. Am. J. Epidemiol. 2013, 178, 1177–1184. [Google Scholar] [CrossRef]
- Li, K.; Feng, T.; Wang, L.; Chen, Y.; Zheng, P.; Pan, P.; Wang, M.; Binnay, I.T.S.; Wang, Y.; Chai, R.; et al. Causal associations of waist circumference and waist-to-hip ratio with type ii diabetes mellitus: New evidence from mendelian randomization. Mol. Genet. Genomics. 2021, 296, 605–613. [Google Scholar] [CrossRef]
- Turpeinen, H.; Ortutay, Z.; Pesu, M. Genetics of the first seven proprotein convertase enzymes in health and disease. Curr. Genom. 2013, 14, 453–467. [Google Scholar] [CrossRef]
- Sun, M.; Gao, M.; Luo, M.; Wang, T.; Zhong, T.; Qin, J. Association between air pollution and primary liver cancer in European and east Asian populations: A mendelian randomization study. Front. Public Health 2023, 11, 1212301. [Google Scholar] [CrossRef]
- Yang, Y.; Ma, X.; Pang, W.; Jiang, C. Causal associations of pm2.5 and GDM: A two-sample mendelian randomization study. Toxics 2023, 11, 171. [Google Scholar] [CrossRef]
- Zhang, Y.; Liu, S.; Wang, Y.; Wang, Y. Causal relationship between particulate matter 2.5 and hypothyroidism: A two-sample mendelian randomization study. Front. Public Health 2022, 10, 1000103. [Google Scholar] [CrossRef]
- Park, S.; Kim, S.G.; Lee, S.; Kim, Y.; Cho, S.; Kim, K.; Kim, Y.C.; Han, S.S.; Lee, H.; Lee, J.P.; et al. Genetically predicted body selenium concentration and estimated gfr: A mendelian randomization study. Kidney Int. Rep. 2023, 8, 851–859. [Google Scholar] [CrossRef] [PubMed]
- Scannell, B.M.; Sofer, T.; Afshar, M.; Mossavar-Rahmani, Y.; Hosgood, H.D.; Punjabi, N.M.; Zeng, D.; Daviglus, M.L.; Argos, M. Mendelian randomization analysis of arsenic metabolism and pulmonary function within the hispanic community health study/study of latinos. Sci. Rep. 2021, 11, 13470. [Google Scholar] [CrossRef] [PubMed]
- Pedersen, M.; Stayner, L.; Slama, R.; Sorensen, M.; Figueras, F.; Nieuwenhuijsen, M.J.; Raaschou-Nielsen, O.; Dadvand, P. Ambient air pollution and pregnancy-induced hypertensive disorders: A systematic review and meta-analysis. Hypertension 2014, 64, 494–500. [Google Scholar] [CrossRef] [PubMed]
- Bai, W.; Li, Y.; Niu, Y.; Ding, Y.; Yu, X.; Zhu, B.; Duan, R.; Duan, H.; Kou, C.; Li, Y.; et al. Association between ambient air pollution and pregnancy complications: A systematic review and meta-analysis of cohort studies. Environ. Res. 2020, 185, 109471. [Google Scholar] [CrossRef]
- Hu, H.; Ha, S.; Roth, J.; Kearney, G.; Talbott, E.O.; Xu, X. Ambient air pollution and hypertensive disorders of pregnancy: A systematic review and meta-analysis. Atmos. Environ. 2014, 97, 336–345. [Google Scholar] [CrossRef]
- Melody, S.M.; Wills, K.; Knibbs, L.D.; Ford, J.; Venn, A.; Johnston, F. Maternal exposure to ambient air pollution and pregnancy complications in Victoria, Australia. Int. J. Environ. Res. Public Health 2020, 17, 2572. [Google Scholar] [CrossRef]
- Bazyar, J.; Pourvakhshoori, N.; Khankeh, H.; Farrokhi, M.; Delshad, V.; Rajabi, E. A comprehensive evaluation of the association between ambient air pollution and adverse health outcomes of major organ systems: A systematic review with a worldwide approach. Environ. Sci. Pollut. Res. Int. 2019, 26, 12648–12661. [Google Scholar] [CrossRef]
- Capobussi, M.; Tettamanti, R.; Marcolin, L.; Piovesan, L.; Bronzin, S.; Gattoni, M.E.; Polloni, I.; Sabatino, G.; Tersalvi, C.A.; Auxilia, F.; et al. Air pollution impact on pregnancy outcomes in como, Italy. J. Occup. Environ. Med. 2016, 58, 47–52. [Google Scholar] [CrossRef]
- Huang, Y.; Kioumourtzoglou, M.A.; Mittleman, M.A.; Ross, Z.; Williams, M.A.; Friedman, A.M.; Schwartz, J.; Wapner, R.J.; Ananth, C.V. Air pollution and risk of placental abruption: A study of births in New York city, 2008-2014. Am. J. Epidemiol. 2021, 190, 1021–1033. [Google Scholar] [CrossRef]
- Wang, W.; Mu, S.; Yan, W.; Ke, N.; Cheng, H.; Ding, R. Prenatal pm2.5 exposure increases the risk of adverse pregnancy outcomes: Evidence from meta-analysis of cohort studies. Environ. Sci. Pollut. Res. Int. 2023, 30, 106145–106197. [Google Scholar] [CrossRef]
- Ju, L.; Hua, L.; Xu, H.; Li, C.; Sun, S.; Zhang, Q.; Cao, J.; Ding, R. Maternal atmospheric particulate matter exposure and risk of adverse pregnancy outcomes: A meta-analysis of cohort studies. Environ. Pollut. 2023, 317, 120704. [Google Scholar] [CrossRef] [PubMed]
- Grippo, A.; Zhang, J.; Chu, L.; Guo, Y.; Qiao, L.; Myneni, A.A.; Mu, L. Air pollution exposure during pregnancy and spontaneous abortion and stillbirth. Rev. Environ. Health 2018, 33, 247–264. [Google Scholar] [CrossRef] [PubMed]
- Grevendonk, L.; Janssen, B.G.; Vanpoucke, C.; Lefebvre, W.; Hoxha, M.; Bollati, V.; Nawrot, T.S. Mitochondrial oxidative DNA damage and exposure to particulate air pollution in mother-newborn pairs. Environ. Health 2016, 15, 10. [Google Scholar] [CrossRef] [PubMed]
- Plusquin, M.; Guida, F.; Polidoro, S.; Vermeulen, R.; Raaschou-Nielsen, O.; Campanella, G.; Hoek, G.; Kyrtopoulos, S.A.; Georgiadis, P.; Naccarati, A.; et al. DNA methylation and exposure to ambient air pollution in two prospective cohorts. Environ. Int. 2017, 108, 127–136. [Google Scholar] [CrossRef]
- Cai, J.; Zhao, Y.; Liu, P.; Xia, B.; Zhu, Q.; Wang, X.; Song, Q.; Kan, H.; Zhang, Y. Exposure to particulate air pollution during early pregnancy is associated with placental DNA methylation. Sci. Total Environ. 2017, 607–608, 1103–1108. [Google Scholar] [CrossRef]
- Abraham, E.; Rousseaux, S.; Agier, L.; Giorgis-Allemand, L.; Tost, J.; Galineau, J.; Hulin, A.; Siroux, V.; Vaiman, D.; Charles, M.-A.; et al. Pregnancy exposure to atmospheric pollution and meteorological conditions and placental DNA methylation. Environ. Int. 2018, 118, 334–347. [Google Scholar] [CrossRef]




| Exposures | SNP | EA | OA | EAF | SE | p | β | F |
|---|---|---|---|---|---|---|---|---|
| NO2 | rs74088029 | T | C | 0.07 | 0.045 | 1.07 × 10−6 | −0.221 | 23.79 |
| NO2 | rs55913318 | T | C | 0.30 | 0.026 | 3.84 × 10−6 | −0.119 | 21.34 |
| NO2 | rs71371731 | A | C | 0.02 | 0.092 | 3.15 × 10−6 | 0.430 | 21.72 |
| NO2 | rs11673358 | A | C | 0.27 | 0.026 | 1.38 × 10−6 | −0.128 | 23.31 |
| NO2 | rs146543016 | A | C | 0.29 | 0.026 | 4.58 × 10−6 | −0.119 | 21.01 |
| NO2 | rs115500429 | G | C | 0.02 | 0.084 | 2.62 × 10−6 | 0.394 | 22.08 |
| NOX | rs11210240 | A | C | 0.19 | 0.060 | 2.72 × 10−6 | −0.283 | 22.00 |
| NOX | rs7906764 | A | G | 0.19 | 0.060 | 3.94 × 10−6 | −0.275 | 21.29 |
| NOX | rs34241685 | G | T | 0.01 | 0.239 | 1.01 × 10−6 | 1.170 | 23.92 |
| NOX | rs9317134 | A | G | 0.27 | 0.054 | 3.07 × 10−6 | 0.252 | 21.78 |
| NOX | rs72756000 | C | T | 0.05 | 0.107 | 6.1 × 10−7 | 0.534 | 24.88 |
| NOX | rs115636853 | G | C | 0.11 | 0.076 | 4.28 × 10−6 | 0.347 | 21.14 |
| NOX | rs182171947 | A | C | 0.02 | 0.189 | 3.44 × 10−6 | −0.878 | 21.55 |
| NOX | rs16839283 | C | T | 0.08 | 0.088 | 6.59 × 10−7 | 0.438 | 24.73 |
| NOX | rs2042974 | C | G | 0.32 | 0.051 | 8.79 × 10−7 | 0.251 | 24.18 |
| NOX | rs680527 | T | C | 0.47 | 0.047 | 3.93 × 10−6 | −0.219 | 21.30 |
| NOX | rs115209266 | A | G | 0.01 | 0.209 | 1.1 × 10−6 | 1.017 | 23.75 |
| NOX | rs549688480 | A | G | 0.02 | 0.172 | 2.05 × 10−6 | −0.815 | 22.55 |
| PM2.5 | rs148822173 | C | G | 0.02 | 0.015 | 8.61 × 10−7 | 0.073 | 24.22 |
| PM2.5 | rs72758710 | G | A | 0.13 | 0.005 | 1.27 × 10−6 | 0.025 | 23.47 |
| PM2.5 | rs34314965 | T | G | 0.09 | 0.006 | 1.28 × 10−6 | −0.030 | 23.45 |
| PM2.5 | rs55680205 | G | A | 0.28 | 0.004 | 4.29 × 10−6 | −0.018 | 21.13 |
| PM2.5 | rs2587416 | G | A | 0.49 | 0.003 | 4.48 × 10−6 | 0.016 | 21.05 |
| PM2.5 | rs62140388 | G | A | 0.01 | 0.015 | 3.95 × 10−6 | −0.070 | 21.29 |
| PM2.5 | rs74887875 | T | C | 0.03 | 0.009 | 4.2 × 10−6 | −0.043 | 21.17 |
| PM2.5 | rs4821645 | G | A | 0.39 | 0.004 | 1.8 × 10−6 | −0.017 | 22.80 |
| PM2.5 | rs12630887 | A | G | 0.42 | 0.004 | 2.6 × 10−6 | 0.016 | 22.09 |
| PM2.5 | rs16839283 | C | T | 0.08 | 0.006 | 1.14 × 10−6 | 0.031 | 23.68 |
| PM2.5 | rs116079777 | T | A | 0.03 | 0.011 | 2.56 × 10−6 | 0.050 | 22.12 |
| PM2.5 | rs80053682 | T | C | 0.02 | 0.012 | 1.64 × 10−6 | −0.057 | 22.97 |
| PM2.5 | rs76359716 | A | C | 0.01 | 0.016 | 4.03 × 10−6 | −0.073 | 21.25 |
| PM2.5 | rs188923935 | A | G | 0.03 | 0.010 | 3.98 × 10−6 | 0.046 | 21.28 |
| PM10 | rs12766030 | T | A | 0.18 | 0.008 | 2.86 × 10−6 | −0.038 | 21.91 |
| PM10 | rs36134860 | A | G | 0.23 | 0.008 | 1.26 × 10−7 | −0.044 | 27.93 |
| PM10 | rs7306646 | A | G | 0.41 | 0.007 | 3.12 × 10−6 | −0.030 | 21.74 |
| PM10 | rs2573624 | C | T | 0.46 | 0.006 | 4.63 × 10−6 | 0.029 | 20.99 |
| PM10 | rs117170328 | T | A | 0.04 | 0.018 | 4.62 × 10−7 | 0.090 | 25.42 |
| PM10 | rs62139021 | G | A | 0.01 | 0.029 | 4.41 × 10−6 | −0.132 | 21.08 |
| PM10 | rs7286252 | C | G | 0.12 | 0.010 | 1.91 × 10−6 | 0.047 | 22.68 |
| PM10 | rs2345237 | G | T | 0.44 | 0.006 | 3.32 × 10−6 | 0.030 | 21.62 |
| PM10 | rs12192953 | T | C | 0.02 | 0.022 | 4.37 × 10−6 | −0.099 | 21.10 |
| PM10 | rs9495452 | C | T | 0.25 | 0.007 | 1.88 × 10−7 | −0.039 | 27.15 |
| PM10 | rs4282461 | G | A | 0.09 | 0.012 | 3.22 × 10−6 | 0.054 | 21.68 |
| Exposure | Outcome | Method | OR | 95% CI | P |
|---|---|---|---|---|---|
| NO2 | Gestational hypertension | IVW | 1.14 | (0.99, 1.30) | 0.060 |
| Weighted median | 1.15 | (0.99, 1.34) | 0.067 | ||
| MR–Egger | 1.00 | (0.76, 1.32) | 0.992 | ||
| Placental abruption | IVW | 1.70 | (0.65, 4.40) | 0.278 | |
| Weighted median | 1.97 | (0.90, 4.28) | 0.089 | ||
| MR–Egger | 0.76 | (0.09, 6.48) | 0.844 | ||
| Pre-eclampsia | IVW | 1.22 | (0.86, 1.73) | 0.266 | |
| Weighted median | 1.30 | (1.03, 1.64) | 0.029 | ||
| MR–Egger | 0.94 | (0.40, 2.17) | 0.903 | ||
| NOX | Fetal growth restriction | IVW | 1.06 | (0.99, 1.12) | 0.089 |
| Weighted median | 1.06 | (0.97, 1.16) | 0.178 | ||
| MR–Egger | 1.15 | (1.00, 1.33) | 0.074 | ||
| PM2.5 | Fetal growth retardation and fetal malnutrition | IVW | 7.99 | (0.08, 841.22) | 0.382 |
| Weighted median | 20.99 | (0.02, 20,405.76) | 0.386 | ||
| MR–Egger | 54,240.95 | (2.08, 1,411,757,729.46) | 0.059 | ||
| Placental abruption | IVW | 10.94 | (1.28, 93.45) | 0.029 | |
| Weighted median | 2.54 | (0.11, 58.86) | 0.560 | ||
| MR–Egger | 12.17 | (0.11, 1337.05) | 0.320 | ||
| PM10 | Hyperemesis gravidarum | IVW | 0.86 | (0.34, 2.17) | 0.752 |
| Weighted median | 0.53 | (0.19, 1.54) | 0.245 | ||
| MR–Egger | 0.12 | (0.02, 0.97) | 0.086 | ||
| Preterm birth | IVW | 1.22 | (0.83, 1.80) | 0.301 | |
| Weighted median | 1.60 | (0.95, 2.70) | 0.075 | ||
| MR–Egger | 1.02 | (0.36, 2.87) | 0.970 | ||
| Spontaneous abortion | IVW | 1.22 | (0.83, 1.80) | 0.301 | |
| Weighted median | 1.60 | (0.95, 2.70) | 0.075 | ||
| MR–Egger | 1.02 | (0.36, 2.87) | 0.970 |
Disclaimer/Publisher’s Note: The statements, opinions and data contained in all publications are solely those of the individual author(s) and contributor(s) and not of MDPI and/or the editor(s). MDPI and/or the editor(s) disclaim responsibility for any injury to people or property resulting from any ideas, methods, instructions or products referred to in the content. |
© 2024 by the authors. Licensee MDPI, Basel, Switzerland. This article is an open access article distributed under the terms and conditions of the Creative Commons Attribution (CC BY) license (https://creativecommons.org/licenses/by/4.0/).
Share and Cite
Shan, C.; Chen, L.; Mo, H.; Chen, X.; Han, C.; Tao, F.; Gao, H. Preliminary Study of Air Pollution and Adverse Pregnancy Outcomes: A Mendelian Randomization Study. Atmosphere 2024, 15, 1285. https://doi.org/10.3390/atmos15111285
Shan C, Chen L, Mo H, Chen X, Han C, Tao F, Gao H. Preliminary Study of Air Pollution and Adverse Pregnancy Outcomes: A Mendelian Randomization Study. Atmosphere. 2024; 15(11):1285. https://doi.org/10.3390/atmos15111285
Chicago/Turabian StyleShan, Chunhan, Liwen Chen, Huayan Mo, Xin Chen, Chen Han, Fangbiao Tao, and Hui Gao. 2024. "Preliminary Study of Air Pollution and Adverse Pregnancy Outcomes: A Mendelian Randomization Study" Atmosphere 15, no. 11: 1285. https://doi.org/10.3390/atmos15111285
APA StyleShan, C., Chen, L., Mo, H., Chen, X., Han, C., Tao, F., & Gao, H. (2024). Preliminary Study of Air Pollution and Adverse Pregnancy Outcomes: A Mendelian Randomization Study. Atmosphere, 15(11), 1285. https://doi.org/10.3390/atmos15111285
