Simulation of the Neutral Atmospheric Flow Using Multiscale Modeling: Comparative Studies for SimpleFoam and Fluent Solver
Abstract
1. Introduction
2. Numerical Formulas
2.1. Numerical Cases
2.1.1. Flat Terrain Case
2.1.2. Benchmark Case of Askervein
2.2. Adjusted CFD Code for Atmospheric Wind
2.2.1. Modified Wall Functions with Roughness
2.2.2. Turbulence Closures
2.2.3. Modified Model Constants with Coriolis Force
2.3. Solution Schemes
2.3.1. Lateral Boundaries for Flat Terrain Cases
2.3.2. Reproduced Atmospheric Background for Askervein Cases
2.3.3. Numerical Schemes
3. Results and Discussion
3.1. Self-Sustainable Wind Profiles in the Flat Terrain
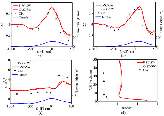
3.2. Flow Patterns on Askervein Hill
3.3. Comparison of Calculation Efficiency
4. Conclusions
Author Contributions
Funding
Institutional Review Board Statement
Informed Consent Statement
Data Availability Statement
Acknowledgments
Conflicts of Interest
Abbreviations
| Nomenclature | Turbulent kinetic energy production term in the wall-adjacent cell | ||
| Latin symbol | Roughness height | ||
| Turbulence constants in CFD | Rossby number | ||
| Explicit source terms | Model constants related to PBL schemes | ||
| Coriolis parameter | Above ground level height | ||
| Horizontal wind components | Normalized speed-up ratio | ||
| Turbulent kinetic energy | Undisturbed wind velocities | ||
| Turbulent dissipation terms | Equivalent model constants | ||
| Turbulent kinetic energy production term | Greek symbol | ||
| Turbulent model constants | Air density | ||
| Fraction velocity | Turbulent viscosity | ||
| Model constants for PBL schemes | Dissipation rate | ||
| Wall-adjacent grid center distance to ground | Turbulent Prandtl numbers | ||
| Roughness constant | Von Kármán constant | ||
| Empirical constant in the smooth wall | Wall-adjacent cell turbulent kinetic energy dissipation term | ||
| Equivalent sand-grain roughness height | |||
| Wind velocity near the first cell of the wall |
References
- Castro, F.; Silva Santos, C.; Lopes da Costa, J. One-way mesoscale–microscale coupling for the simulation of atmospheric flows over complex terrain. Wind Energy 2015, 18, 1251–1272. [Google Scholar] [CrossRef]
- Rodrigo, J.S.; Arroyo, R.C.; Moriarty, P.; Churchfield, M.J.; Kosovic, B.; Rethore, P.; Hansen, K.S.; Hahmann, A.N.; Mirocha, J.D.; Rife, D.; et al. Mesoscale to microscale wind farm flow modeling and evaluation. Wiley Interdiscip. Rev. Energy Environ. 2017, 6, e214. [Google Scholar] [CrossRef]
- Castorrini, A.; Gentile, S.; Geraldi, E.; Bonfiglioli, A. Investigations on offshore wind turbine inflow modelling using numerical weather prediction coupled with local-scale computational fluid dynamics. Renew. Sustain. Energy Rev. 2023, 171, 113008. [Google Scholar] [CrossRef]
- Milla-Val, J.; Montañés, C.; Fueyo, N. Economical microscale predictions of wind over complex terrain from mesoscale simulations using machine learning. Model. Earth Syst. Environ. 2024, 10, 1407–1421. [Google Scholar] [CrossRef]
- Schneiderbauer, S.; Pirker, S. Resolving unsteady micro-scale atmospheric flows by nesting a CFD simulation into wide range numerical weather prediction models. Int. J. Fluid Dyn. 2010, 24, 51–68. [Google Scholar] [CrossRef]
- Li, S.; Sun, X.; Zhang, S.; Zhao, S.; Zhang, R. A study on microscale wind simulations with a coupled WRF–CFD model in the Chongli mountain region of Hebei Province, China. Atmosphere 2019, 10, 731. [Google Scholar] [CrossRef]
- Chockalingam, G.; Afshari, A.; Vogel, J. Characterization of Non-Neutral Urban Canopy Wind Profile Using CFD Simulations—A Data-Driven Approach. Atmosphere 2023, 14, 429. [Google Scholar] [CrossRef]
- Ivanell, S.; Arnqvist, J.; Avila, M.; Cavar, D.; Chavez-Arroyo, R.A.; Olivares-Espinosa, H.; Peralta, C.; Adib, J.; Witha, B. Micro-scale model comparison (benchmark) at the moderately complex forested site Ryningsnäs. Wind Energy Sci. 2018, 3, 929–946. [Google Scholar] [CrossRef]
- Kantha, L. The length scale equation in turbulence models. Nonlinear Process. Geophys. 2004, 11, 83–97. [Google Scholar] [CrossRef]
- Temel, O.; Porchetta, S.; Bricteux, L.; van Beeck, J. RANS closures for non-neutral microscale CFD simulations sustained with inflow conditions acquired from mesoscale simulations. Appl. Math. Model. 2018, 53, 635–652. [Google Scholar] [CrossRef]
- Temel, O.; van Beeck, J. Adaptation of mesoscale turbulence parameterisation schemes as RANS closures for ABL simulations. J. Turbul. 2016, 17, 966–997. [Google Scholar] [CrossRef]
- Richards, P.; Hoxey, R. Appropriate boundary conditions for computational wind engineering models using the k-ϵ turbulence model. J. Wind Eng. Ind. Aerodyn. 1993, 46, 145–153. [Google Scholar] [CrossRef]
- Yan, B.; Li, Q.; He, Y.; Chan, P. RANS simulation of neutral atmospheric boundary layer flows over complex terrain by proper imposition of boundary conditions and modification on the k-ε model. Environ. Fluid Mech. 2016, 16, 1–23. [Google Scholar] [CrossRef]
- Yang, Y.; Gu, M.; Chen, S.; Jin, X. New inflow boundary conditions for modelling the neutral equilibrium atmospheric boundary layer in computational wind engineering. J. Wind Eng. Ind. Aerodyn. 2009, 97, 88–95. [Google Scholar] [CrossRef]
- Blocken, B.; Stathopoulos, T.; Carmeliet, J. CFD simulation of the atmospheric boundary layer: Wall function problems. Atmos. Environ. 2007, 41, 238–252. [Google Scholar] [CrossRef]
- Parente, A.; Gorlé, C.; Van Beeck, J.; Benocci, C. Improved k–ε model and wall function formulation for the RANS simulation of ABL flows. J. Wind Eng. Ind. Aerodyn. 2011, 99, 267–278. [Google Scholar] [CrossRef]
- Richards, P.; Norris, S. Appropriate boundary conditions for a pressure driven boundary layer. J. Wind Eng. Ind. Aerodyn. 2015, 142, 43–52. [Google Scholar] [CrossRef]
- Richards, P.J.; Norris, S.E. Appropriate boundary conditions for computational wind engineering models revisited. J. Wind Eng. Ind. Aerodyn. 2011, 99, 257–266. [Google Scholar] [CrossRef]
- Pieterse, J.E.; Harms, T. CFD investigation of the atmospheric boundary layer under different thermal stability conditions. J. Wind Eng. Ind. Aerodyn. 2013, 121, 82–97. [Google Scholar] [CrossRef]
- Hargreaves, D.; Wright, N.G. On the use of the k–ε model in commercial CFD software to model the neutral atmospheric boundary layer. J. Wind Eng. Ind. Aerodyn. 2007, 95, 355–369. [Google Scholar] [CrossRef]
- Taylor, P.A.; Teunissen, H.W. The Askervein Hill project: Overview and background data. Bound.-Layer Meteorol. 1987, 39, 15–39. [Google Scholar] [CrossRef]
- Franke, J.; Hellsten, A.; Schlunzen, K.H.; Carissimo, B. The COST 732 Best Practice Guideline for CFD simulation of flows in the urban environment: A summary. Int. J. Environ. Pollut. 2011, 44, 419–427. [Google Scholar] [CrossRef]
- Castro, F.A.; Palma, J.; Lopes, A.S. Simulation of the Askervein Flow. Part 1: Reynolds Averaged Navier–Stokes Equations (k-ε Turbulence Model). Bound.-Layer Meteorol. 2003, 107, 501–530. [Google Scholar] [CrossRef]
- Undheim, O.; Andersson, H.I.; Berge, E. Non-linear, microscale modelling of the flow over Askervein Hill. Bound.-Layer Meteorol. 2006, 120, 477–495. [Google Scholar] [CrossRef]
- Balogh, M.; Parente, A.; Benocci, C. RANS simulation of ABL flow over complex terrains applying an Enhanced k-ε model and wall function formulation: Implementation and comparison for fluent and OpenFOAM. J. Wind Eng. Ind. Aerodyn. 2012, 104, 360–368. [Google Scholar] [CrossRef]
- Alinot, C.; Masson, C. k-ϵ Model for the Atmospheric Boundary Layer Under Various Thermal Stratifications. J. Sol. Energy Eng. 2005, 127, 438–443. [Google Scholar] [CrossRef]
- Nakanishi, M.; Niino, H. Development of an improved turbulence closure model for the atmospheric boundary layer. J. Meteorol. Soc. Japan. Ser. II 2009, 87, 895–912. [Google Scholar] [CrossRef]
- Detering, H.; Etling, D. Application of the E-ε turbulence model to the atmospheric boundary layer. Bound.-Layer Meteorol. 1985, 33, 113–133. [Google Scholar] [CrossRef]
- Arroyo, R.C.; Rodrigo, J.S.; Gankarski, P. Modelling of atmospheric boundary-layer flow in complex terrain with different forest parameterizations. J. Phys. Conf. Ser. 2014, 524, 012119. [Google Scholar] [CrossRef]
- Taylor, P.A.; Teunissen, H.W. The Askervein Hill Project: Report on the Main Field Experiment; Meteorological Services Research Branch, Atmospheric Environment Service: Downsview, ON, Canada, 1985. [Google Scholar]
- Zhao, Z.; Li, C.; Xiao, Y.; Wang, J.; Hu, G.; Xiao, K. Multiscale modelling of planetary boundary layer flow over complex terrain: Implementation under near-neutral conditions. Environ. Fluid Mech. 2021, 21, 759–790. [Google Scholar] [CrossRef]
- Temel, O.; Bricteux, L.; van Beeck, J. Coupled WRF-OpenFOAM study of wind flow over complex terrain. J. Wind Eng. Ind. Aerodyn. 2018, 174, 152–169. [Google Scholar] [CrossRef]
- Cavar, D.; Réthoré, P.-E.; Bechmann, A.; Sørensen, N.N.; Martinez, B.; Zahle, F.; Berg, J.; Kelly, M.C. Comparison of OpenFOAM and EllipSys3D for neutral atmospheric flow over complex terrain. Wind Energy Sci. 2016, 1, 55–70. [Google Scholar] [CrossRef]
- Kim, H.G.; Patel, V.C.; Lee, C.M. Numerical simulation of wind flow over hilly terrain. J. Wind Eng. Ind. Aerodyn. 2000, 87, 45–60. [Google Scholar] [CrossRef]
- Kaytancı, T.; Menteş, Ş.S.; Ünal, Y. Simulating the Impacts of Wind Farm Wake under the Changes in MYNN Planetary Boundary Layer Scheme in High Resolution Weather Research and Forecasting Model. Atmosphere 2022, 13, 1838. [Google Scholar] [CrossRef]
- Zhao, Y.; Xue, Y.; Mei, S.; Chao, Y.; Carmeliet, J. Enhancement of heat removal from street canyons due to buoyant approaching flow: Water tunnel PIV-LIF measurements. Build. Environ. 2022, 226, 109757. [Google Scholar] [CrossRef]
- Hajra, B. A review of some recent studies on buoyancy driven flows in an urban environment. Int. J. Atmos. Sci. 2014, 2014, 362182. [Google Scholar] [CrossRef]


















| Variables | First-Order Schemes | Second Order Schemes | ||
|---|---|---|---|---|
| OpenFOAM | Fluent | OpenFOAM | Fluent | |
| Bounded Gauss upwind | First-order upwind | Bounded Gauss linearUpwind | Second-order upwind | |
| Bounded Gauss limitedLinear | ||||
| Bounded Gauss limitedLinear | ||||
| Variables | Solver | Smoother | Relaxation Factor | Pressure-Velocity Coupling | Non-Orthogonal Loop |
|---|---|---|---|---|---|
| GAMG | Gauss-Seidel | 0.3 | SIMPLE | 2 | |
| smoothSolver | 0.7 | ||||
| PbiCG | — | 0.7 | |||
| — | 0.7 |
| Numerical Cases | F-SC-SW | F-MC-SW | F-SC-MW | O-SC-SW | O-MC-SW | O-SC-MW | |
|---|---|---|---|---|---|---|---|
| Modified Parameters | |||||||
| Wall functions | Standard (Equations (6)–(9)) | ● | ● | — | ● | ● | — |
| Modified (Equations (10)–(12)) | — | — | ● | — | — | ● | |
| Model constants | Standard | ● | — | ● | ● | — | ● |
| Modified (Equations (13) and (14)) | — | ● | — | — | ● | — | |
| Numerical codes | Fluent | ● | ● | ● | — | ||
| OpenFOAM | — | ● | ● | ● | |||
| Numerical Case | NMSE-Fluent | NMSE-OpenFOAM |
|---|---|---|
| Standard configurations | ||
| Modified wall functions | ||
| Modified model constants |
| Case Name | Physical Time () | Final Residuals of the Variable | ||||
|---|---|---|---|---|---|---|
| F-SC-SW | 751 | 1.97 × 10−6 | 1.60 × 10−6 | 2.81 × 10−7 | 1.23 × 10−5 | 2.23 × 10−5 |
| F-MC-SW | 553 | 2.90 × 10−6 | 1.91 × 10−6 | 4.45 × 10−7 | 2.01 × 10−5 | 3.51 × 10−5 |
| F-SC-MW | 862 | 2.17 × 10−6 | 1.69 × 10−6 | 3.16 × 10−7 | 1.37 × 10−5 | 2.27 × 10−5 |
| O-SC-SW | 677 | 8.23 × 10−6 | 2.07 × 10−5 | 1.96 × 10−5 | 6.23 × 10−6 | 1.15 × 10−6 |
| O-MC-SW | 681 | 9.63 × 10−6 | 3.90 × 10−5 | 6.03 × 10−5 | 7.51 × 10−6 | 2.57 × 10−6 |
| O-SC-MW | 661 | 7.28 × 10−6 | 2.09 × 10−5 | 1.64 × 10−5 | 6.38 × 10−6 | 3.41 × 10−6 |
Disclaimer/Publisher’s Note: The statements, opinions and data contained in all publications are solely those of the individual author(s) and contributor(s) and not of MDPI and/or the editor(s). MDPI and/or the editor(s) disclaim responsibility for any injury to people or property resulting from any ideas, methods, instructions or products referred to in the content. |
© 2024 by the authors. Licensee MDPI, Basel, Switzerland. This article is an open access article distributed under the terms and conditions of the Creative Commons Attribution (CC BY) license (https://creativecommons.org/licenses/by/4.0/).
Share and Cite
Zhao, Z.; Tang, L.; Xiao, Y. Simulation of the Neutral Atmospheric Flow Using Multiscale Modeling: Comparative Studies for SimpleFoam and Fluent Solver. Atmosphere 2024, 15, 1259. https://doi.org/10.3390/atmos15101259
Zhao Z, Tang L, Xiao Y. Simulation of the Neutral Atmospheric Flow Using Multiscale Modeling: Comparative Studies for SimpleFoam and Fluent Solver. Atmosphere. 2024; 15(10):1259. https://doi.org/10.3390/atmos15101259
Chicago/Turabian StyleZhao, Zihan, Lingxiao Tang, and Yiqing Xiao. 2024. "Simulation of the Neutral Atmospheric Flow Using Multiscale Modeling: Comparative Studies for SimpleFoam and Fluent Solver" Atmosphere 15, no. 10: 1259. https://doi.org/10.3390/atmos15101259
APA StyleZhao, Z., Tang, L., & Xiao, Y. (2024). Simulation of the Neutral Atmospheric Flow Using Multiscale Modeling: Comparative Studies for SimpleFoam and Fluent Solver. Atmosphere, 15(10), 1259. https://doi.org/10.3390/atmos15101259
