2D and 3D Properties of Stably Stratified Turbulence
Abstract
1. Introduction
2. Vortical Structures in Stratified Turbulence
3. Development of 2dim and 3dim Energy and Spectrum
3.1. Craya–Herring Decomposition
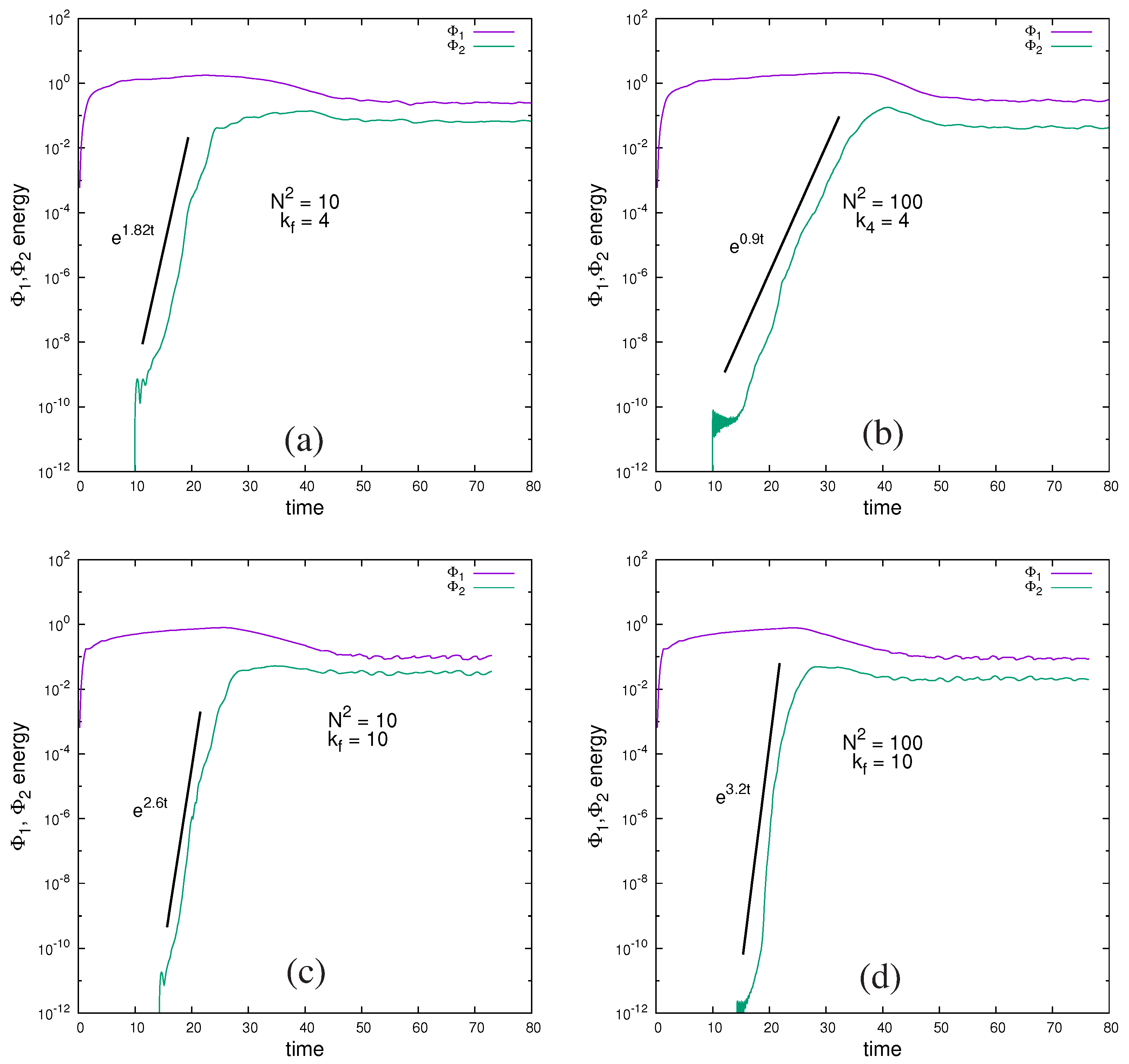
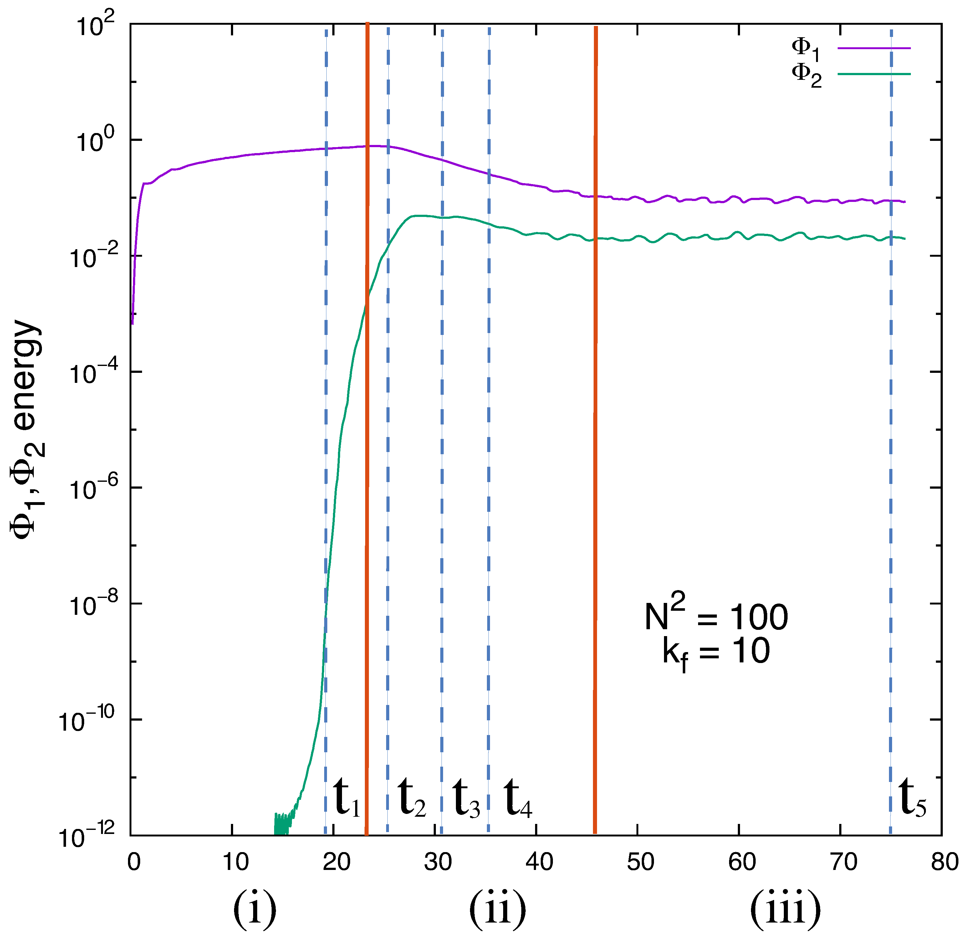
3.2. Numerical Results
- The energy grows rapidly in a fraction of time after , and continues to increase gradually. Then the equation for the temperature fluctuations is turned on. After a short period of time, the energy begins to grow dramatically at an exponential growth, . The growth rate is larger for than . As the energy in grows comparable to , they begin to interact and the speed and the growth of decreases (and slightly that of as well).
- As the interaction of and grows, and around the time when energy becomes almost 10% of that of , the energy reaches its maximum value, and then begins to decrease. Slightly after that time, reaches its maximum value, followed by a gradual decrease in and .
- At long times, the interaction between and becomes almost stationary and produces small oscillations. The fluctuations in the forcing seems to be the cause of these oscillations. and oscillate almost in phase, which is presumably due to the incompressibility that the Boussinesq approximation assumes.
- (1)
- At , the energy in all directions is uniform in z. The vertical gradient of temperature fluctuations shows small oscillation due to the initial small growth of . The total flow is mainly two-dimensional at this time.
- (2)
- At , fluctuations in the horizontal energy develop, but the vertical energy is still very close to zero. The oscillation of the energy is not uniform, and small deviations in frequency and amplitude are seen. However, the structures in the x and y directions are similar. More striking is the vertical gradient of the temperature fluctuations that shows a few periodic humps with the tops showing stronger oscillations.
- (3)
- At , the energy in the x and y directions, , are in a similar range of magnitude with sharp peaks often at different locations in z. This implies that the velocity field is directionally intermittent, with the kinetic energy sometimes highly concentrated in one direction. Without looking at the coherence of the energy, we cannot readily identify the flow structure, but one possibility is there may at times be uni-directional wind flows.
- (4)
- At , the intermittency in both the energy and the temperature derivative distributions grows. In particular, the peaks of the latter become sharply outstanding from the signals of low but rapid oscillations.


4. Discussion
Author Contributions
Funding
Institutional Review Board Statement
Informed Consent Statement
Data Availability Statement
Acknowledgments
Conflicts of Interest
References
- Kimura, Y.; Herring, J.R. Diffusion in stable stratified turbulence. J. Fluid Mech. 1996, 328, 253–269. [Google Scholar] [CrossRef]
- Csanady, G.T. Turbulent diffusion in a stratified fluid. J. Atmos. Sci. 1964, 21, 439–447. [Google Scholar] [CrossRef]
- Cox, C.Y.; Nagata, Y.; Osborn, T. Oceanic fine structure and internal waves. Papers in dedication to Prof. Michitaka Uda. Bull. Jpn. Soc. Oceanogr. 1969, 1, 67–71. [Google Scholar]
- Lilly, D.K.; Walko, D.E.; Adelfang, S.I. Stratospheric Mixing estimated from high-altitude turbulence measurements. J. Appl Met. 1974, 13, 488–493. [Google Scholar] [CrossRef]
- Weinstock, J. Vertical turbulent diffusion in a stably stratified fluid. J. Atmos. Sci. 1978, 35, 1022–1027. [Google Scholar] [CrossRef]
- Pearson, H.J.; Puttock, J.S.; Hunt, J.C.R. A Statistical model of fluid<lement motions and vertical diffusion in a homogeneous stratified turbulent flow. J. Fluid Mech. 1983, 129, 219–249. [Google Scholar]
- Kimura, Y.; Herring, J.R. Energy spectra of stably stratified turbulence. J. Fluid Mech. 2012, 698, 19–50. [Google Scholar] [CrossRef]
- Nastrom, G.D.; Gage, K.S. A climatology of atmospheric wavenumber spectra of wind and temperature observed by commercial aircraft. J. Atmos. Sci. 1985, 42, 950–960. [Google Scholar] [CrossRef]
- Riley, J.J.; de Bruyn Kops, S.M. Dynamics of turbulence strongly influenced by buoyancy. Phys. Fluids 2003, 15, 2047–2059. [Google Scholar] [CrossRef]
- Waite, M.L.; Bartello, P. Stratified turbulence dominated by vortical motion. J. Fluid Mech. 2004, 517, 281–308. [Google Scholar] [CrossRef]
- Bartello, P.; Tobias, S.M. Sensitivity of stratified turbulence to the buoyancy Reynolds number. J. Fluid Mech. 2013, 725, 1–22. [Google Scholar] [CrossRef]
- Portwood, G.D.; de Bruyn Kops, S.M.; Taylor, J.R.; Salehipour, H.; Caulfield, C.P. Robust identification of dynamically distinct regions in stratified turbulence. J. Fluid Mech. 2016, 807, R2. [Google Scholar] [CrossRef]
- Lucas, D.; Caulfield, C.P.; Kerswell, R.R. Layer formation in horizontally forced stratified turbulence: Connecting exact coherent structures to linear instabilities. J. Fluid Mech. 2017, 832, 409–437. [Google Scholar] [CrossRef]
- Brethouwer, G.; Billant, P.; Lindborg, E.; Chomaz, J.-M. Scaling analysis and simulation of strongly stratified turbulent flows. J. Fluid Mech. 2007, 585, 343–368. [Google Scholar] [CrossRef]
- Spalart, P.R.; Moser, R.D.; Rogers, M.M. Spectral methods for the Navier–Stokes equations with one infinite and two periodic directions. J. Comput. Phys 1991, 96, 297–324. [Google Scholar] [CrossRef]
- Doughtery, J.P. The anisotropy of turbulence at the meteor level. J. Atmos. Sci. 1961, 21, 210–213. [Google Scholar]
- Ozmidov, R.V. On the turbulent exchange in a stably stratified ocean. Izv. Atmos. Ocean. Phys. Ser. 1965, 21, 210–213. [Google Scholar]
- Caulfield, C.P. Layering, Instabilities, and Mixing in Turbulent Stratified Flows. Annu. Rev. Fluid Mech. 2021, 53, 113–145. [Google Scholar] [CrossRef]
- Cho, J.Y.N.; Lindborg, E. Horizontal velocity structure functions in the upper troposphere and lower stratosphere 1. Observations. J. Geophys. Res. 2001, 106, 10223–10232. [Google Scholar] [CrossRef]
- Lindborg, E.; Cho, J.Y.N. Horizontal velocity structure functions in the upper troposphere and lower stratosphere 2. Theoretical considerations. J. Geophys. Res. 2001, 106, 10233–10241. [Google Scholar] [CrossRef]
- Maffioli, A.; Davidson, P.A. Dynamics of stratified turbulence decaying from a high buoyancy Reynolds number. J. Fluid Mech. 2016, 786, 210–233. [Google Scholar] [CrossRef]
- Sagaut, P.; Cambon, C. Homogeneous Turbulence Dynamics; Cambridge University Press: Cambridge, UK, 2008. [Google Scholar]
- Gerz, T.; Howell, J.; Mahrt, L. Vortex structures and microfronts. Phys. Fluids 1994, 6, 1242–1251. [Google Scholar] [CrossRef]
- Chung, D.; Matheou, G. Direct numerical simulation of stationary homogenous stratified sheared turbulence. J. Fluid Mech. 2012, 696, 434–467. [Google Scholar] [CrossRef]
- Sullivan, P.P.; Weil, J.C.; Patton, E.G.; Jonker, H.J.J.; Mironov, D.V. Turbulent winds and temperature fronts in large eddy simulations of the stable atmospheric boundary layer. J. Atmos. Sci. 2016, 73, 1815–1840. [Google Scholar] [CrossRef]
- Fernando, H.J.S. Turbulent mixing in stratified fluids. Annu. Rev. Fluid Mech. 1991, 23, 455–493. [Google Scholar] [CrossRef]
- Peltier, W.R.; Caulfield, C.P. Mixing efficiency in stratified shear flows. Annu. Rev. Fluid Mech. 2003, 35, 135–167. [Google Scholar] [CrossRef]
- Ivey, G.N.; Winters, K.B.; Koseff, J.R. Density stratification, turbulence, but how much mixing. Annu. Rev. Fluid Mech. 2008, 40, 169–184. [Google Scholar] [CrossRef]
- Gregg, M.C.; D’Asaro, E.A.; Riley, J.J.; Kunze, E. Mixing efficiency in the ocean. Annu. Rev. Mar. Sci. 2018, 10, 443–473. [Google Scholar] [CrossRef]
- Kimura, Y.; Sullivan, P.P.; Herring, J.R. Temperature front formation in stably stratified turbulence. In Proceedings of the VIIIth International Symposium on Stratified Flows, San Diego, CA, USA, 29 August–1 September 2016. [Google Scholar]








Disclaimer/Publisher’s Note: The statements, opinions and data contained in all publications are solely those of the individual author(s) and contributor(s) and not of MDPI and/or the editor(s). MDPI and/or the editor(s) disclaim responsibility for any injury to people or property resulting from any ideas, methods, instructions or products referred to in the content. |
© 2024 by the authors. Licensee MDPI, Basel, Switzerland. This article is an open access article distributed under the terms and conditions of the Creative Commons Attribution (CC BY) license (https://creativecommons.org/licenses/by/4.0/).
Share and Cite
Kimura, Y.; Sullivan, P.P. 2D and 3D Properties of Stably Stratified Turbulence. Atmosphere 2024, 15, 82. https://doi.org/10.3390/atmos15010082
Kimura Y, Sullivan PP. 2D and 3D Properties of Stably Stratified Turbulence. Atmosphere. 2024; 15(1):82. https://doi.org/10.3390/atmos15010082
Chicago/Turabian StyleKimura, Yoshifumi, and Peter P. Sullivan. 2024. "2D and 3D Properties of Stably Stratified Turbulence" Atmosphere 15, no. 1: 82. https://doi.org/10.3390/atmos15010082
APA StyleKimura, Y., & Sullivan, P. P. (2024). 2D and 3D Properties of Stably Stratified Turbulence. Atmosphere, 15(1), 82. https://doi.org/10.3390/atmos15010082

