Factors Influencing the Spatio–Temporal Variability of Aerosol Optical Depth over the Arid Region of Northwest China
Abstract
:1. Introduction
2. Study Area
3. Data Sources and Methods
3.1. Remote Sensing Data
3.2. Auxiliary Data
3.3. Methods
3.3.1. Mean Value Method
3.3.2. Trend Analysis and Significance Test
3.3.3. Correlation Analysis
4. Results and Analysis
4.1. Spatial Distribution Characteristics of AOD in the ARNC
4.2. Temporal Variation in AOD in the ARNC
4.3. Analysis of the Influencing Factors of AOD
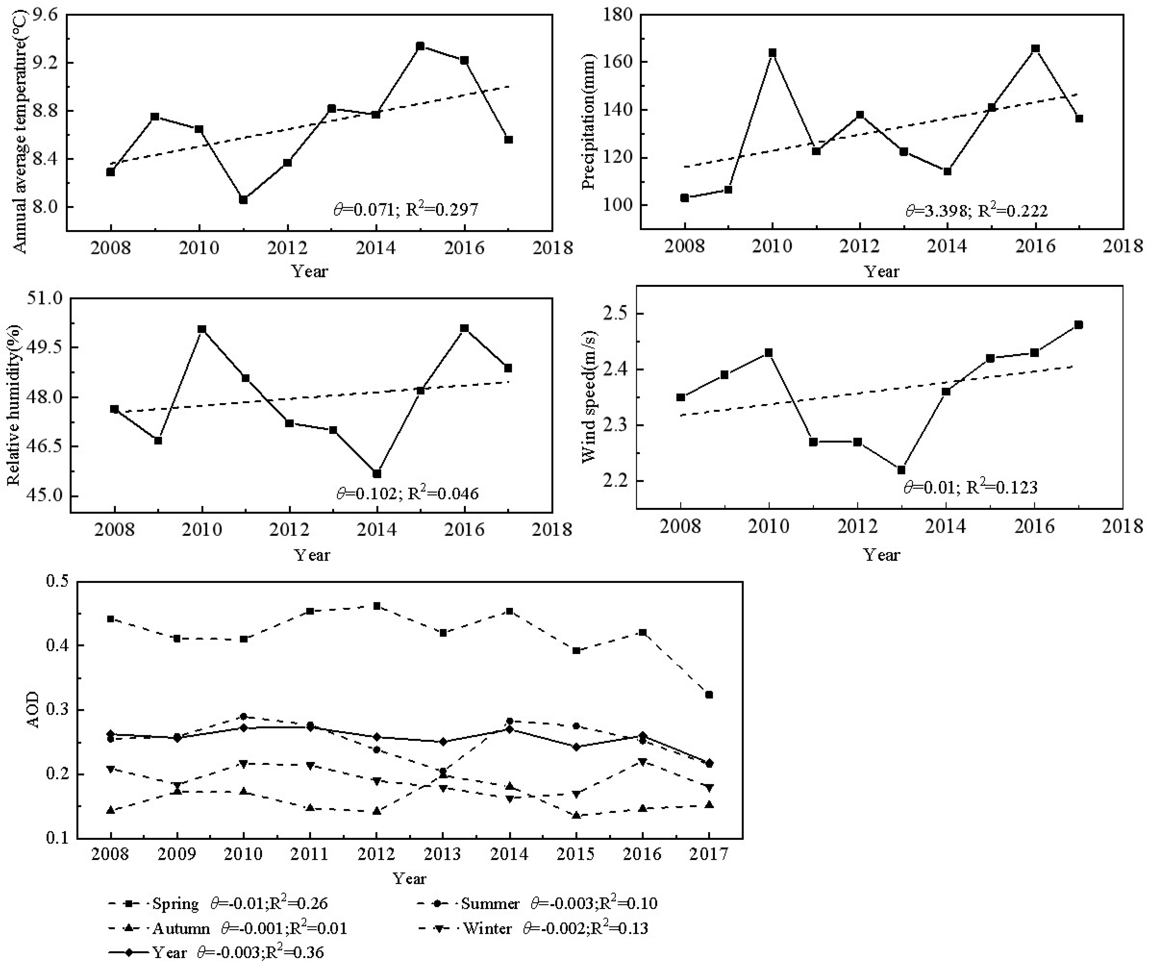
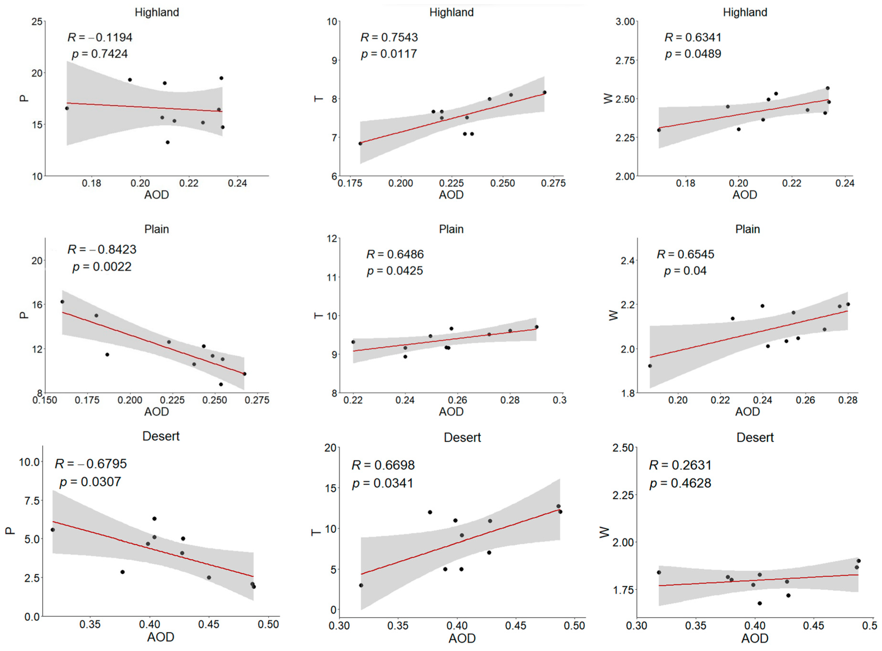
4.3.1. Impact of Meteorological Factors on AOD
4.3.2. Influence of Surface Factors on AOD
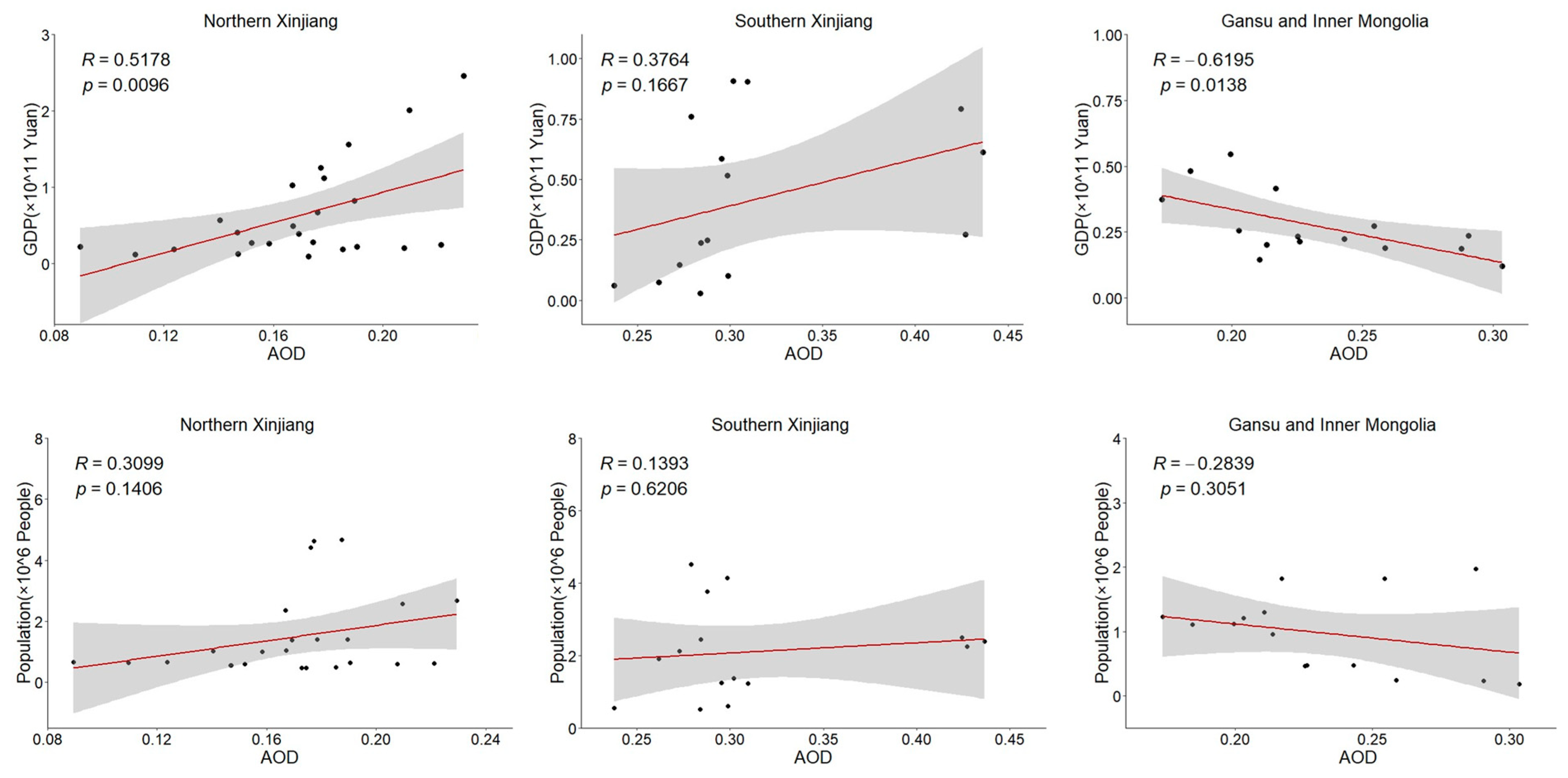
4.3.3. Impact of Socioeconomic Data on AOD
5. Discussion and Conclusions
5.1. Discussion
5.1.1. Spatial–Temporal Pattern Analysis
5.1.2. Influencing Factor Analysis
5.1.3. Deficiency and Prospect
5.2. Conclusions
- (1)
- The AOD value in the Taklimakan Desert area remained high, but in the majority of ARNC regions, it basically remained unchanged, with a slight decreasing trend in the surrounding areas of the desert. AOD has obvious seasonal characteristics and is highest in spring, followed by summer, autumn, and winter.
- (2)
- In terms of the natural environment, AT, WP, LST, and DEM were significantly positively correlated with AOD, while precipitation, RH, and the NDVI were significantly negatively correlated with AOD. These results imply that, for different seasons, meteorological factors have different effects on AOD.
- (3)
- In terms of social economy, GDP, the output value of secondary industry, and PD are closely related to changes in AOD. This is especially true in areas with high population density, indicating that human factors have a more significant impact on AOD than other factors.
Funding
Institutional Review Board Statement
Informed Consent Statement
Data Availability Statement
Acknowledgments
Conflicts of Interest
Abbreviation
| AOD | Aerosol optical depth |
| DEM | Digital elevation model |
| ARNC | Arid region of Northwest China |
| AT | Air temperature |
| WP | Wind speed |
| LST | Land surface temperature |
| NDVI | Normalized difference vegetation index (NDVI) |
| GDP | Gross domestic product |
| PD | Population density |
| DT | Dark target |
| DB | Deep Blue |
| MODIS | Moderate Resolution Imaging Spectrometer |
| RH | Relative humidity |
| SRTM | Shuttle Radar Topography Mission |
| CALIPSO | Cloud-Aerosol Lidar Infrared Pathfinder Satellite Observations |
| CGIAR | Consultative Group on International Agricultural Research |
References
- Kaufman, Y.J.; Tanré, D.; Remer, L.A. Operational remote sensing of tropospheric aerosol over land from EOS moderate resolution imaging spectroradiometer. J. Geophys. Res.-Atmos. 1997, 102, 17051–17067. [Google Scholar] [CrossRef]
- Streets, D.G.; Yan, F.; Chin, M. Anthropogenic and natural contributions to regional trends in aerosol optical depth, 1980–2006. J. Geophys. Res. Atmos. 2009, 114, 1159–1171. [Google Scholar] [CrossRef]
- Shen, Y.; Zhang, L.P.; Fang, X. Long-Term Analysis of Aerosol Optical Depth over the Huaihai Economic Region (HER): Possible Causes and Implications. Atmosphere 2018, 9, 93. [Google Scholar] [CrossRef]
- Omari, K.; Abuelgasim, A.; Alhebsi, K. Aerosol optical depth retrieval over the city of Abu Dhabi, United Arab Emirates (UAE) using Landsat-8 OLI images. Atmos. Pollut. Res. 2019, 10, 1075–1083. [Google Scholar] [CrossRef]
- Grassl, H. Calculated circumsolar radiation as a function of aerosol type, field of view, wavelength, and optical depth. Appl. Opt. 1971, 10, 2542–2543. [Google Scholar] [CrossRef] [PubMed]
- Pacyna, J.M.; Ottar, B. Origin of natural constituents in the Arctic aerosol. Atmos. Environ. 1989, 23, 809–815. [Google Scholar] [CrossRef]
- Bond, T.C.; Streets, D.G.; Yarber, K.F.; Nelson, S.M.; Woo, J.-H.; Klimont, Z. A technology-based global inventory of black and organic carbon emissions from combustion. J. Geophys. Res. Atmos. 2004, 109, D14203. [Google Scholar] [CrossRef]
- Schauer, J.J.; Rogge, W.F.; Hildemann, L.M.; Mazurek, M.A.; Cass, G.R.; Simoneit, B.R. Source apportionment of airborne particulate matter using organic compounds as tracers. Atmos. Environ. 2007, 41, 241–259. [Google Scholar] [CrossRef]
- Lu, Z.; Streets, D.G.; Zhang, Q. Sulfur dioxide emissions in China and sulfur trends in East Asia since 2000. Atmos. Chem. Phys. Discuss. 2010, 10, 6311–6331. [Google Scholar] [CrossRef]
- Lei, Y.; Zhang, Q.; He, K.B. Primary aerosol emission trends for China, 1990–2005. Atmos. Chem. Phys. 2011, 11, 931–954. [Google Scholar] [CrossRef]
- Martin, W.; Barbara, T.; Atsumu, O. Global dimming and brightening: An update beyond 2000. J. Geophys. Res. Atmos. 2009, 114, 895–896. [Google Scholar] [CrossRef]
- Kaiser, D.P.; Qian, Y. Decreasing trends in sunshine duration over China for 1954–1998: Indication of increased haze pollution? Geophys. Res. Lett. 2002, 29, 2042. [Google Scholar] [CrossRef]
- Zheng, X.B.; Kang, W.M.; Zhao, T.L. Long-term trends in sunshine duration over Yunnan-Guizhou Plateau in Southwest China for 1961–2005. Geophys. Res. Lett. 2008, 35, L15707. [Google Scholar] [CrossRef]
- Carmichael, G.R.; Adhikary, B.; Kulkarni, S. Asian aerosols: Current and year 2030 distributions and implications to human health and regional climate change. Environ. Sci. Technol. 2009, 43, 5811–5817. [Google Scholar] [CrossRef] [PubMed]
- Stanhill, G.A. perspective on global warming, dimming, and brightening. Eos Trans. Am. Geophys. Union 2007, 88, 58–59. [Google Scholar] [CrossRef]
- Romanou, A.; Liepert, B.; Schmidt, G.A. 20th century changes in surface solar irradiance in simulations and observations. Geophys. Res. Lett. 2007, 34, 89–103. [Google Scholar] [CrossRef]
- Wang, K.; Dickinson, R.E.; Liang, S. Clear sky visibility has decreased over land globally from 1973 to 2007. Science 2009, 323, 1468. [Google Scholar] [CrossRef]
- Rosenfeld, D.; Dai, J.; Yu, X. Inverse relations between amounts of air pollution and orographic precipitation. Science 2007, 315, 1396–1398. [Google Scholar] [CrossRef]
- Schütz, L.; Sebert, M. Mineral aerosols and source identification. J. Aerosol Sci. 1987, 18, 1–10. [Google Scholar] [CrossRef]
- Huo, W.; Li, X.; Ai, L.; Wang, J.; Zhao, X.C. Analysis on the Features of Sandstorms in the Tarim Basin in Spring 2004. Arid Zone Res. 2004, 2, 210–215. (In Chinese) [Google Scholar] [CrossRef]
- Tang, Y.; Han, Y.; Liu, Z. Temporal and spatial characteristics of dust devils and their contribution to the aerosol budget in East Asia—An analysis using a new parameterization scheme for dust devils. Atmos. Environ. 2018, 182, 225–233. [Google Scholar] [CrossRef]
- Sattar, S.A.; Ijaz, M.K. Spread of viral infections by aerosols. Crit. Rev. Environ. Control 1987, 17, 89–131. [Google Scholar] [CrossRef]
- Wake, B. Asian aerosol influence. Nat. Clim. Change 2012, 2, 487. [Google Scholar] [CrossRef]
- Tian, X.M.; Tang, C.L.; Wu, X.; Yang, J.; Zhao, F.M.; Liu, D. The global spatial-temporal distribution and EOF analysis of AOD based on MODIS data during 2003–2021. Atmos. Environ. 2023, 302, 119722. [Google Scholar] [CrossRef]
- Xu, X.; Qiu, J.; Xia, X.; Sun, L. Characteristics of atmospheric aerosol optical depth variation in China during 1993–2012. Atmos. Environ. 2015, 119, 82–94. [Google Scholar] [CrossRef]
- He, Q.; Gu, Y.; Zhang, M. Spatiotemporal patterns of aerosol optical depth throughout China from 2003 to 2016. Sci. Total Environ. 2019, 653, 23–35. [Google Scholar] [CrossRef] [PubMed]
- Liu, Y.; Lin, A.W.; Qin, W.M.; He, L.J.; Li, X. Spatial-temporal distribution of aerosol optical depth and its main influence types in China during 1990–2017. Environ. Sci. 2019, 40, 2572–2581. (In Chinese) [Google Scholar]
- Kaufman, Y.J.; Joseph, J.H. Determination of surface albedos and aerosol extinction characteristics from satellite imagery. J. Geophys. Res. Ocean. 1982, 87, 1287–1299. [Google Scholar] [CrossRef]
- Tanré, D.; Devaux, C.; Herman, M. Radiative properties of desert aerosols by optical ground-based measurements at solar wavelengths. J. Geophys. Res. Atmos. 1988, 93, 14223–14231. [Google Scholar] [CrossRef]
- Holben, B.; Vermote, E.; Kaufman, Y.J. Aerosol retrieval over land from AVHRR data-application for atmospheric correction. IEEE Trans. Geosci. Remote Sens. 1992, 30, 212–222. [Google Scholar] [CrossRef]
- Fraser, R.S.; Kaufman, Y.J.; Mahoney, R.L. Satellite measurements of aerosol mass and transport. Atmos. Environ. 1984, 18, 2577–2584. [Google Scholar] [CrossRef]
- Durkee, P.A.; Jensen, D.R.; Hindman, E.E. The relationship between marine aerosol particles and satellite-detected radiance. J. Geophys. Res. Atmos. 1986, 91, 4063–4072. [Google Scholar] [CrossRef]
- Tanré, D.; Legrand, M. On the satellite retrieval of Saharan dust optical thickness over land: Two different approaches. J. Geophys. Res. Atmos. 1991, 96, 5221–5227. [Google Scholar] [CrossRef]
- Kaufman, Y.J.; Sendra, C. Algorithm for automatic atmospheric corrections to visible and near-IR satellite imagery. Int. J. Remote Sens. 1988, 9, 1357–1381. [Google Scholar] [CrossRef]
- Kaufman, Y.J.; Tanré, D.; Gordon, H.R. Passive remote sensing of tropospheric aerosol and atmospheric correction for the aerosol effect. J. Geophys. Res. Atmos. 1997, 102, 16815–16830. [Google Scholar] [CrossRef]
- Pozzer, A.; Meij, A.; Yoon, J.; Tost, H. AOD trends during 2001–2010 from observations and model simulations. Atmos. Chem. Phys. 2015, 15, 5521–5535. [Google Scholar] [CrossRef]
- Chubarova, N.Y.; Poliukhov, A.A.; Gorlova, I.D. Long-term variability of aerosol optical thickness in Eastern Europe over 2001–2014 according to the measurements at the Moscow MSU MO AERONET site with additional cloud and NO2 correction. Atmos. Meas. Tech. 2016, 9, 313–334. [Google Scholar] [CrossRef]
- Li, C.C.; Mao, J.T.; Liu, Q.H. Using MODIS to study the distribution and seasonal variation of aerosol optical thickness in eastern China. Chin. Sci. Bull. 2003, 48, 2094–2100. (In Chinese) [Google Scholar] [CrossRef]
- Zhang, Z.; Ding, J.L.; Wang, J.J. Regional Analysis of indirect effect of Aerosol in Arid area of Xinjiang. China Environ. Sci. 2016, 36, 3521–3530. (In Chinese) [Google Scholar]
- Bai, B.; Zhang, Q.; Chen, X.H. Classification and characteristics of aerosols in arid and semi-arid regions of Northwest China. J. Desert Res. 2019, 39, 109–114. (In Chinese) [Google Scholar]
- Zhang, L.; Jiang, H.; Chen, C. Temporal and spatial distribution of aerosol optical thickness of MODIS in Guangdong Province and its influencing factors. Geospat. Inf. 2017, 15, 46–49, 58. (In Chinese) [Google Scholar]
- Xiang, Y.; Ye, Y.; Peng, C.C.; Teng, M.J.; Zhou, Z.X. Seasonal variations for combined effects of landscape metrics on land surface temperature (LST) and aerosol optical depth (AOD). Ecol. Indic. 2022, 138, 108810. [Google Scholar] [CrossRef]
- Zhang, J.Y.; Lu, X.N.; Hong, J. Quantitative Study on Temporal and Spatial Patterns of Aerosol Optical Depth and Its Driving Forces in Sichuan Province during 2000–2014. J. Nat. Resour. 2016, 31, 1514–1525. (In Chinese) [Google Scholar]
- Li, X.; Xia, X.G.; Wang, S.L. Validation of MODIS and Deep Blue aerosol optical depth retrievals in an arid/semi-arid region of northwest China. Particuology 2012, 10, 132–139. [Google Scholar] [CrossRef]
- Wang, K.; Sun, X.; Zhou, Y.; Zhang, C. Validation of MODIS-Aqua Aerosol Products C051 and C006 over the Beijing-Tianjin-Hebei Region. Atmosphere 2017, 8, 172. [Google Scholar] [CrossRef]
- Chen, Y.N.; Li, B.F.; Fan, Y.T. Hydrological and water cycle processes of inland river basins in the arid region of Northwest China. J. Arid Land 2019, 11, 161–179. [Google Scholar] [CrossRef]
- Chen, D.T.; Liu, W.J.; Huang, F.R. Spatial-temporal characteristics and influencing factors of relative humidity in arid region of Northwest China during 1966–2017. J. Arid Land 2020, 12, 397–412. [Google Scholar] [CrossRef]
- Wang, Y.J.; Qin, D.H. Influence of climate change and human activity on water resources in arid region of Northwest China: An overview. Adv. Clim. Change Res. 2017, 8, 268–278. [Google Scholar] [CrossRef]
- Gupta, P.; Remer, L.A.; Patadia, F. High-Resolution Gridded Level 3 Aerosol Optical Depth Data from MODIS. Remote Sens. 2020, 12, 2847. [Google Scholar] [CrossRef]
- Tao, M.H.; Chen, L.F.; Wang, Z.F. Evaluation of MODIS Deep Blue Aerosol Algorithm in Desert Region of East Asia: Ground Validation and Intercomparison. J. Geophys. Res. Atmos. 2017, 122, 10–357, 368. [Google Scholar] [CrossRef]
- Yang, L.P.; Meng, X.M.; Zhang, X.Q. SRTM DEM and its application advances. Int. J. Remote Sens. 2011, 32, 3875–3896. [Google Scholar] [CrossRef]
- Filonchyk, M.; Yan, H.W.; Zhang, Z.R. Combined use of satellite and surface observations to study aerosol optical depth in different regions of China. Sci. Rep. 2019, 9, 6174. [Google Scholar] [CrossRef] [PubMed]
- He, Q.Y.; Mu, F.Y.; Li, Q.Y.; Yang, M. Geography study on spatiotemporal evolution of fractional vegetation coverage and the driving forces in Chongqing. Sci. Technol. Eng. 2021, 21, 11955–11962. (In Chinese) [Google Scholar]
- Yue, H.; Liu, Y.; Zhang, Y.M. Study on temporal and spatial variability of aerosol optical depth in China region based on MODIS data. Environ. Pollut. Control 2020, 42, 89–93. (In Chinese) [Google Scholar] [CrossRef]
- Wang, Y.P.; Yu, X.; Xie, G.Q. Spatial distribution and temporal variation of aerosol optical depth over China in the past 15 years. China Environ. Sci. 2018, 38, 426–434. (In Chinese) [Google Scholar] [CrossRef]
- Raj, P.E.; Devara, P.C.S.; Saha, S.K.; Dani, K.K.; Maheskumar, R.S. Spatio-temporal variations in aerosol roperties over the Deccan Plateau region, India. Pollut. Res. 2009, 28, 547–553. [Google Scholar]
- He, X.; Zhang, F.; Cai, Y.; Tan, M.L.; Chan, N.W. Spatio-temporal changes in fractional vegetation cover and the driving forces during 2001–2020 in the northern slopes of the Tianshan Mountains, China. Environ. Sci. Pollut. Res. 2023, 30, 75511–75531. [Google Scholar] [CrossRef]
- Pearson, K. Notes on the history of correlation. Biometrika 1920, 13, 25–45. Available online: https://www.jstor.org/stable/2331722 (accessed on 1 October 2023). [CrossRef]
- Zhuang, H.M.; Zhang, C.; Cheng, F.; Zhang, L.L.; He, B.K. Spatiotemporal pattern of soil moisture and its meteorological driving factors in dry croplands across China from 1992 to 2018. Acta Geogr. Sin. 2022, 77, 2308–2321. (In Chinese) [Google Scholar]
- Hu, T.; Xiao, C. Data-driven main color map feature learning, design and simulation for smart ethnic cloth. Future Gener. Comput. Syst. 2019, 97, 153–164. [Google Scholar] [CrossRef]
- Abadi AR, S.; Hamzeh, N.H.; Shukurov, K.; Opp, C.; Dumka, U.C. Long-term investigation of aerosols in the Urmia Lake region in the Middle East by ground-based and satellite data in 2000–2021. Remote Sens. 2020, 14, 3827. [Google Scholar] [CrossRef]
- Feng, H.; Zou, B.; Wang, J. Dominant variables of global air pollution-climate interaction: Geographic insight. Ecol. Indic. 2019, 99, 251–260. [Google Scholar] [CrossRef]
- Andreae, M.O.; Rosenfeld, D. Aerosol–cloud–precipitation interactions. Part 1. The nature and sources of cloud-active aerosols. Earth-Sci. Rev. 2008, 89, 13–41. [Google Scholar] [CrossRef]
- Qian, J.L.; Liu, C.S. Distributions and changes of aerosol optical depth on both sides of HU Huanyong Line and the response to land use and land cover. Acta Sci. Circumstantiae 2018, 38, 752–760. (In Chinese) [Google Scholar]
- Namdari, S.; Karimi, N.; Sorooshian, A. Impacts of climate and synoptic fluctuations on dust storm activity over the Middle East. Atmos. Environ. 2018, 173, 265–276. [Google Scholar] [CrossRef] [PubMed]
- Islam, M.M.; Mamun, M.M.I.; Islam, M.Z. Interactions of Aerosol Optical Depth and Cloud Parameters with Rainfall and the Validation of Satellite Based Rainfall Observations. Am. J. Environ. Sci. 2017, 13, 315–324. [Google Scholar] [CrossRef]
- Feng, H.; Zou, B. Satellite-based separation of climatic and surface influences on global aerosol change. Int. J. Remote Sens. 2020, 41, 5443–5456. [Google Scholar] [CrossRef]
- Abuelgasim, A.; Farahat, A. Effect of dust loadings, meteorological conditions, and local emissions on aerosol mixing and loading variability over highly urbanized semiarid countries: United Arab Emirates case study. J. Atmos. Sol. -Terr. Phys. 2020, 199, 105215. [Google Scholar] [CrossRef]
- Han, D.W.; Liu, W.Q.; Zhang, Y.J. Influence of temperature and relative humidity upon aerosol mass concentrations vertical distributions. J. Grad. Sch. Chin. Acad. Sci. 2007, 24, 619–624. (In Chinese) [Google Scholar]
- Latha, R.; Vinayak, B.; Murthy, B.S. Response of heterogeneous vegetation to aerosol radiative forcing over a northeast Indian station. J. Environ. Manag. 2018, 206, 1224–1232. [Google Scholar] [CrossRef]
- Kergoat, L.; Guichard, F.; Pierre, C. Influence of dry-season vegetation variability on Sahelian dust during 2002–2015. Geophys. Res. Lett. 2017, 44, 5231–5239. [Google Scholar] [CrossRef]
- Li, H.D.; Meier, F.; Lee, X.H. Interaction between urban heat island and urban pollution island during summer in Berlin. Sci. Total Environ. 2018, 636, 818–828. [Google Scholar] [CrossRef] [PubMed]
- Zhang, L.L.; Pan, J.H.; Zhang, D.H. Spatio-temporal distribution characteristics of aerosol optical depths in China based on MODIS data. Acta Sci. Circumstantiae 2018, 38, 4431–4439. (In Chinese) [Google Scholar] [CrossRef]
- Liu, J.; Ding, J.; Rexiding, M.; Li, X.; Zhang, J.; Ran, S.; Bao, Q.; Ge, X. Characteristics of dust aerosols and identification of dust sources in Xinjiang, China. Atmos. Environ. 2021, 262, 118651. [Google Scholar] [CrossRef]
- Ren, G.; Pan, B.; Wang, J.; An, D.; Yang, M.; Liu, H. Spatiotemporal distribution of dust aerosol optical properties from CALIPSO and CATS observations in Xinjiang, China. J. Atmos. Sol. -Terr. Phys. 2023, 243, 106006. [Google Scholar] [CrossRef]
- Zhang, Z.; Ding, J.L.; Wang, J.J. Temporal distribution of cloud and precipitation and their possible relationships with surface aerosols in Central Asia. Acta Sci. Circumstantiae 2017, 37, 61–72. (In Chinese) [Google Scholar] [CrossRef]
- Guo, J.; Yin, Y.; Wang, Y.W. Numerical study of the dust distribution, source and sink, and transport features over East Asia. China Environ. Sci. 2017, 37, 801–812. (In Chinese) [Google Scholar]
- Jing, Y.; Sun, Y.L.; Fu, H.C. Temporal and Spatial Variation of Aerosol Optical Depth and Analysis of influencing Factors in Beijing-Tianjin-Hebei Region from 2010 to 2016. Environ. Sci. Technol. 2018, 41, 110–119. (In Chinese) [Google Scholar]
- Li, X.P.; Che, H.Z.; Wang, H. Spatial and temporal distribution of the cloud optical depth over China based on MODIS satellite data during 2003–2016. J. Environ. Sci. 2018, 80, 66–81. [Google Scholar] [CrossRef]
- Zhu, Q.; Castellano, M.J.; Yang, G.S. Coupling soil water processes and nitrogen cycle across spatial scales: Potentials, bottlenecks and solutions. Earth Sci. Rev. 2018, 187, 248–258. [Google Scholar] [CrossRef]
- Findell, K.L.; Berg, A.; Gentine, P. The impact of anthropogenic land use and land cover change on regional climate extremes. Nat. Commun. 2017, 8, 989. [Google Scholar] [CrossRef] [PubMed]












| Data Product Types | Scientific Data Set (SDS) | Attribute | Data Acquisition | Use |
|---|---|---|---|---|
| MYD08_M3 | AOD_550_Dark_Target_Deep_Blue_Combined_Mean_Mean https://ladsweb.modaps.eosdis.nasa.gov/search/order/1/MYD08_M3--61 | Monthly time resolution 1° spatial resolution | 2008.1–2017.12 | Calibration of spatio-temporal characteristics and influencing factor analysis. |
| SRTM data | https://ladsweb.modaps.eosdis.nasa.gov/search/order/ | Annual time resolution 250 m spatial resolution | 2020 | Analysis of the influence of the DEM on AOD. |
| MYD13C2 | CMG 0.05 Deg Monthly NDVI std dev https://ladsweb.modaps.eosdis.nasa.gov/search/order/1/MYD13C2--6 | 8-day time resolution 0.05° spatial resolution | 2008.1–2017.12 | Analysis of the influence of NDVI on AOD. |
| MYD11C3 | Cloud-Top_Temperature_Nadir_Day_Mean_Mean https://ladsweb.modaps.eosdis.nasa.gov/search/order/1/MYD11C3--0 | Monthly time resolution 0.05° spatial resolution | 2008.1–2017.12 | Analysis of the influence of land surface temperature on AOD. |
| Daily dataset for China surface climatic data released by the China Meteorological Data Network | Precipitation, Relative humidity, Temperature, Wind speed http://data.cma.cn/ | Daily time resolution | 2008.1.1–2017.12.31 | Analysis of the influence of meteorological factors on AOD. |
| China Statistical Yearbook | The proportion of secondary industry, GDP, Population Density https://www.cnki.net/ | Annual time resolution | 2009–2018 | Analysis of the influence of socioeconomic factors on AOD. |
| Topographic and geomorphological data | Resource and Environment Science and Data Center https://www.resdc.cn/ | Annual time resolution | 2009–2018 | Analysis of the correlation between meteorological factors and AOD in different territories. |
| Level | Description |
|---|---|
| θslope < 0, p < 0.01 | Significant decrease |
| θslope < 0, 0.01 ≤ p < 0.05 | Slight decrease |
| 0.05 ≤ p | Basically unchanged |
| θslope > 0, 0.01 ≤ p < 0.05 | Slight increase |
| θslope > 0, p < 0.01 | Significant increase |
| Years | Spring | Summer | Autumn | Winter | Annual |
|---|---|---|---|---|---|
| 2008 | 0.44 ± 0.25 | 0.24 ± 0.16 | 0.13 ± 0.06 | 0.16 ± 0.10 | 0.24 ± 0.12 |
| 2009 | 0.41 ± 0.21 | 0.25 ± 0.15 | 0.15 ± 0.06 | 0.14 ± 0.08 | 0.24 ± 0.11 |
| 2010 | 0.45 ± 0.29 | 0.27 ± 0.20 | 0.17 ± 0.11 | 0.17 ± 0.12 | 0.26 ± 0.16 |
| 2011 | 0.46 ± 0.29 | 0.27 ± 0.19 | 0.14 ± 0.06 | 0.17 ± 0.11 | 0.26 ± 0.14 |
| 2012 | 0.45 ± 0.30 | 0.22 ± 0.14 | 0.16 ± 0.07 | 0.14 ± 0.09 | 0.24 ± 0.13 |
| 2013 | 0.42 ± 0.26 | 0.21 ± 0.12 | 0.19 ± 0.10 | 0.14 ± 0.08 | 0.24 ± 0.12 |
| 2014 | 0.46 ± 0.23 | 0.28 ± 0.18 | 0.17 ± 0.08 | 0.13 ± 0.08 | 0.26 ± 0.13 |
| 2015 | 0.38 ± 0.23 | 0.25 ± 0.18 | 0.13 ± 0.06 | 0.13 ± 0.09 | 0.22 ± 0.13 |
| 2016 | 0.42 ± 0.30 | 0.23 ± 0.14 | 0.13 ± 0.06 | 0.17 ± 0.11 | 0.24 ± 0.13 |
| 2017 | 0.29 ± 0.19 | 0.19 ± 0.12 | 0.13 ± 0.06 | 0.13 ± 0.08 | 0.19 ± 0.09 |
| Mean (2008–2017) | 0.42 ± 0.24 | 0.24 ± 0.15 | 0.15 ± 0.06 | 0.15 ± 0.08 | 0.24 ± 0.12 |
| Year | Gross Domestic Product | Secondary Industry Output Value | The Proportion of Secondary Industry to GDP | Per Capita GDP/CNY |
|---|---|---|---|---|
| 2008 | 5319.88 | 2747.26 | 51.64% | 9251.36 |
| 2009 | 5563.37 | 2705. 26 | 48.63% | 9109.94 |
| 2010 | 6944.07 | 3531.96 | 50.86% | 11,893.84 |
| 2011 | 8449.14 | 4401.61 | 52.10% | 14,822.38 |
| 2012 | 9631.03 | 4842.14 | 50.28% | 16,305.88 |
| 2013 | 10,662.84 | 4932.91 | 46.26% | 16,611.53 |
| 2014 | 11,520.33 | 5261.14 | 45.67% | 17,716.84 |
| 2015 | 11,307.19 | 4539.85 | 40.15% | 15,287.90 |
| 2016 | 11,655.08 | 4521.71 | 38.80% | 15,226.83 |
| 2017 | 13,096.93 | 5171.40 | 39.49% | 17,414.64 |
Disclaimer/Publisher’s Note: The statements, opinions and data contained in all publications are solely those of the individual author(s) and contributor(s) and not of MDPI and/or the editor(s). MDPI and/or the editor(s) disclaim responsibility for any injury to people or property resulting from any ideas, methods, instructions or products referred to in the content. |
© 2023 by the author. Licensee MDPI, Basel, Switzerland. This article is an open access article distributed under the terms and conditions of the Creative Commons Attribution (CC BY) license (https://creativecommons.org/licenses/by/4.0/).
Share and Cite
Zhang, F. Factors Influencing the Spatio–Temporal Variability of Aerosol Optical Depth over the Arid Region of Northwest China. Atmosphere 2024, 15, 54. https://doi.org/10.3390/atmos15010054
Zhang F. Factors Influencing the Spatio–Temporal Variability of Aerosol Optical Depth over the Arid Region of Northwest China. Atmosphere. 2024; 15(1):54. https://doi.org/10.3390/atmos15010054
Chicago/Turabian StyleZhang, Fei. 2024. "Factors Influencing the Spatio–Temporal Variability of Aerosol Optical Depth over the Arid Region of Northwest China" Atmosphere 15, no. 1: 54. https://doi.org/10.3390/atmos15010054
APA StyleZhang, F. (2024). Factors Influencing the Spatio–Temporal Variability of Aerosol Optical Depth over the Arid Region of Northwest China. Atmosphere, 15(1), 54. https://doi.org/10.3390/atmos15010054
