Recovery of Fluorinated Refrigerants from Decommissioned RAC Equipment in Germany—Implications for National Emission Reporting under the UNFCCC
Abstract
:1. Introduction
2. Materials and Methods
2.1. UNFCCC Reporting Based on the German F-Gas Model
2.2. VDKF-LEC Dataset
2.2.1. Description and Objectives
- Obtaining information on the recovered quantity of fluorinated greenhouse gases (F-gases or mixtures containing F-gases) from decommissioned refrigeration and air-conditioning equipment in Germany and the destination of the refrigerant, e.g., recycling, reclamation, and disposal.
- Deriving averages for sector- and refrigerant-specific information on decommissioned refrigeration and air-conditioning equipment, i.e., average recovery rates for refrigerants and average operating years of decommissioned equipment.
2.2.2. Data Filtering
3. Results
3.1. Refrigerants
3.2. VDKF-LEC Dataset
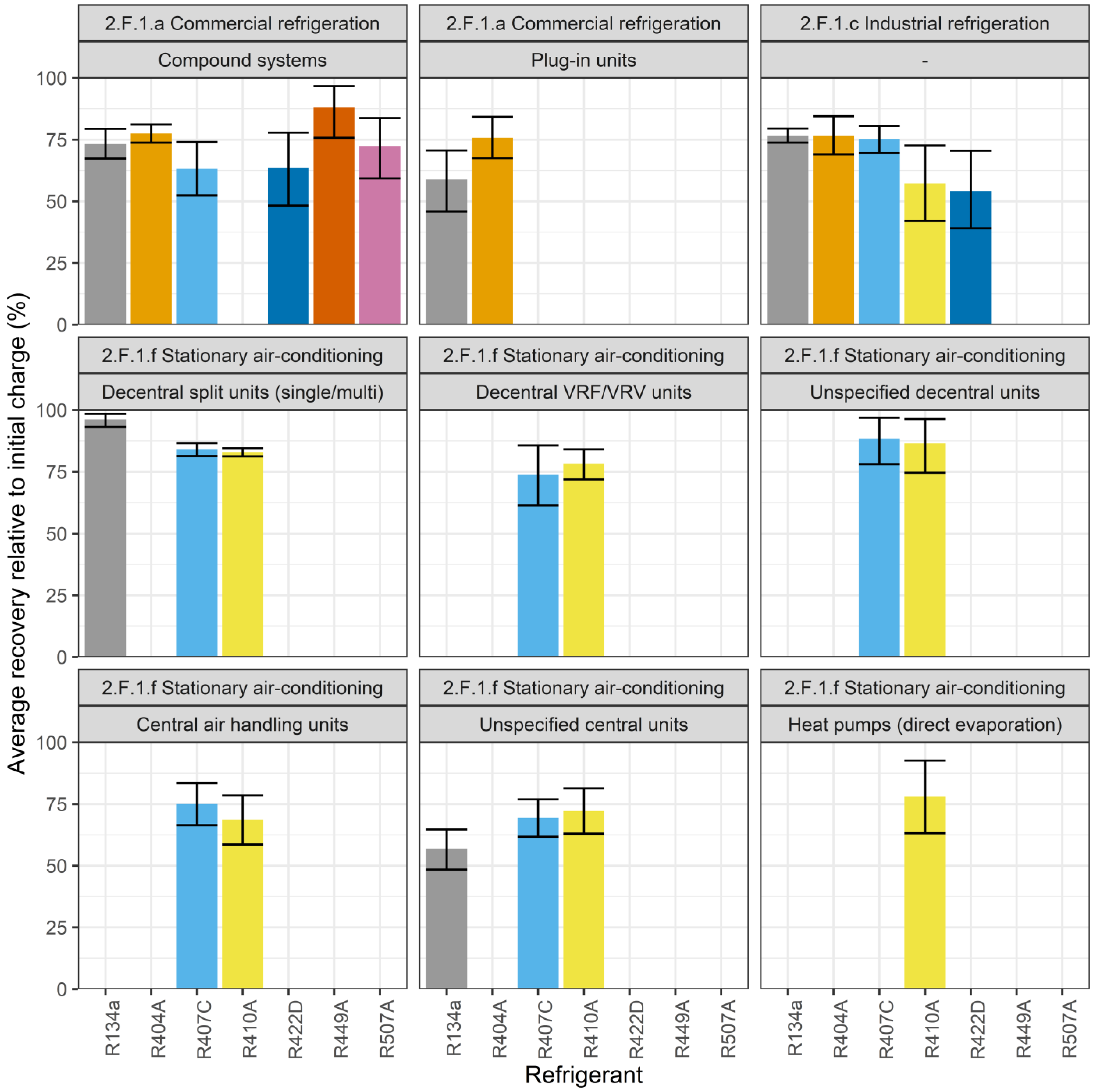
3.2.1. Recovery Rates of Refrigerants from Decommissioned Equipment
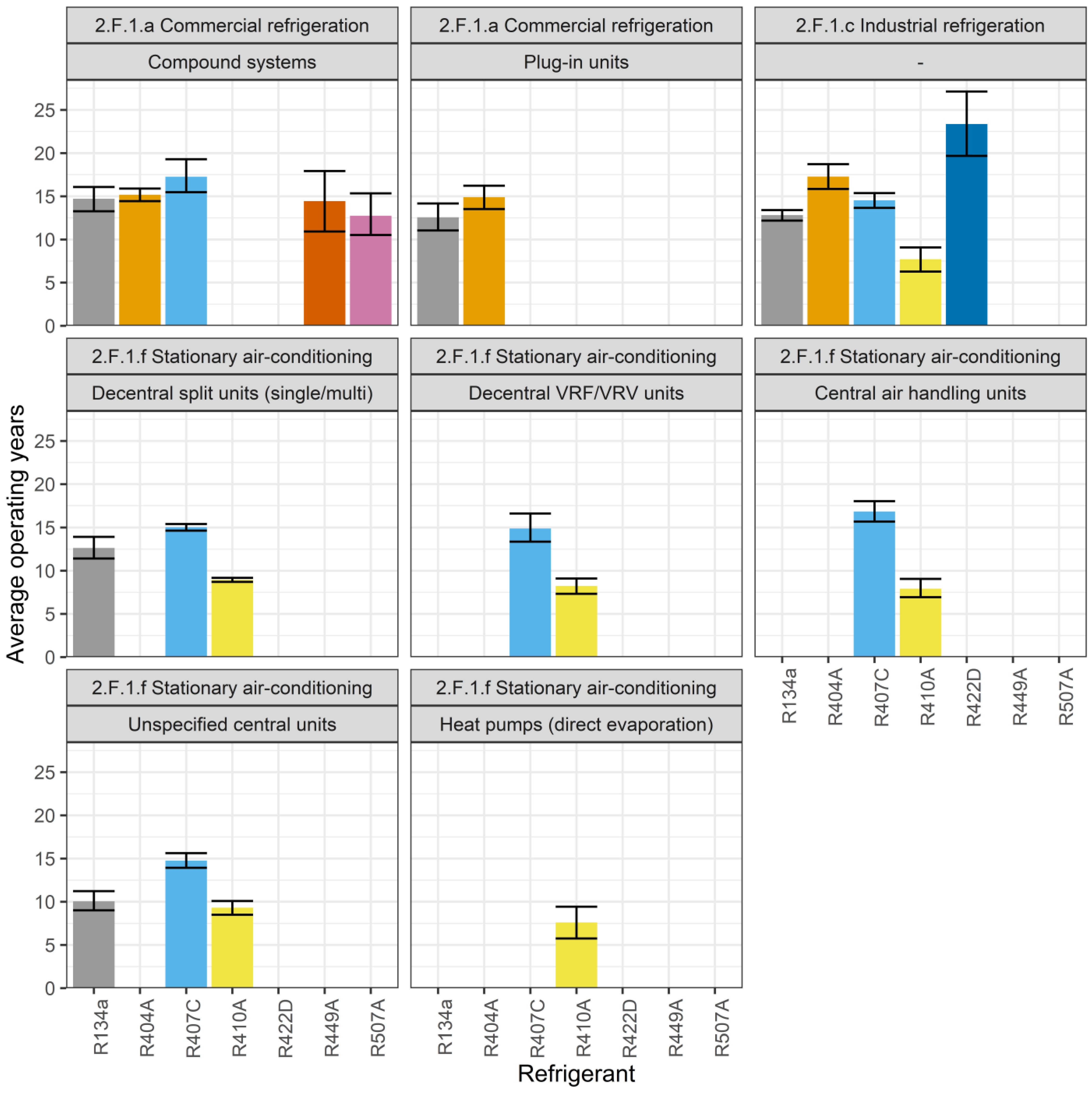
3.2.2. Operating Years of Decommissioned Equipment
3.3. Comparison of the VDKF-LEC Dataset with Other Data Sources
4. Discussion
4.1. Relevant Findings
4.2. Representativeness and Comparison with Existing Data
4.3. Limitations and Outlook
Supplementary Materials
Author Contributions
Funding
Institutional Review Board Statement
Informed Consent Statement
Data Availability Statement
Acknowledgments
Conflicts of Interest
References
- IPCC. Climate Change 2013: The Physical Science Basis. Contribution of Working Group I to the Fifth Assessment Report of the Intergovernmental Panel on Climate Change; Cambridge University Press: Cambridge, UK; New York, NY, USA, 2013. [Google Scholar]
- Velders, G.J.M.; Daniel, J.S.; Montzka, S.A.; Vimont, I.; Rigby, M.; Krummel, P.B.; Muhle, J.; O’Doherty, S.; Prinn, R.G.; Weiss, R.F.; et al. Projections of Hydrofluorocarbon (HFC) Emissions and the Resulting Global Warming Based on Recent Trends in Observed Abundances and Current Policies. Atmos. Chem. Phys. 2022, 22, 6087–6101. [Google Scholar] [CrossRef]
- The European Parliament and the Council of the European Union. Regulation (EU) No 517/2014 of the European Parliament and of the Council of 16 April 2014 on Fluorinated Greenhouse Gases and Repealing Regulation (EC) No 842/2006, Text with EEA Relevance; Official Journal of the European Union: Strasbourg, France, 2014; Volume 150. [Google Scholar]
- European Parliament. Review of EU Rules on Fluorinated Greenhouse Gases|Legislative Train Schedule. Available online: https://www.europarl.europa.eu/legislative-train/theme-a-european-green-deal/file-review-of-eu-rules-on-fluorinated-greenhouse-gases (accessed on 18 December 2023).
- Chemikalien-Klimaschutzverordnung vom 2. Juli 2008 (BGBl. I S. 1139), die zuletzt durch Artikel 299 der Verordnung vom 19. Juni 2020 (BGBl. I S. 1328) geändert worden ist. Available online: https://www.gesetze-im-internet.de/chemklimaschutzv/index.html (accessed on 21 November 2023).
- Ozone Secretariat. Handbook for the Montreal Protocol on Substances That Deplete the Ozone Layer. In The Secretariat for the Vienna Convention for the Protection of the Ozone Layer and for the Montreal Protocol on Substances that Deplete the Ozone Layer, 14th ed.; United Nations Environment Programme: Nairobi, Kenya, 2020; p. 960. [Google Scholar]
- IPCC. 2006 IPCC Guidelines for National Greenhouse Gas Inventories, Prepared by the National Greenhouse Gas Inventories Programme; IGES: Hayama, Japan, 2006. [Google Scholar]
- UNFCCC Germany. 2023 Common Reporting Format (CRF) Table|UNFCCC. Available online: https://unfccc.int/documents/627938 (accessed on 20 May 2023).
- UNFCCC. United Nations Reference Manual for the Enhanced Transparency Framework under the Paris Agreement—Understanding the Enhanced Transparency Framework and Its Linkages; Version 2; United Nations Climate Change Secretariat: Bonn, Germany, 2022; Available online: https://unfccc.int/sites/default/files/resource/v2_ETFreferencemanual.pdf (accessed on 21 November 2023).
- The Conference of the Parties. Decision 7/CP.27—Common Metrics Used to Calculate the Carbon Dioxide Equivalence of Anthropogenic Greenhouse Gas Emissions by Sources and Removals by Sinks. In Proceedings of the 9th Plenary Meeting, Sharm el Sheikh, Egypt, 17 November 2022; Available online: https://unfccc.int/sites/default/files/resource/cp2022_10a01_E.pdf?download (accessed on 19 December 2023).
- Statistisches Bundesamt Substances Affecting the Climate. Available online: https://www.destatis.de/EN/Themes/Society-Environment/Environment/Substances-Affecting-Climate/_node.html (accessed on 21 November 2023).
- Flerlage, H.; Velders, G.J.M.; de Boer, J. A Review of Bottom-up and Top-down Emission Estimates of Hydrofluorocarbons (HFCs) in Different Parts of the World. Chemosphere 2021, 283, 131208. [Google Scholar] [CrossRef] [PubMed]
- Graziosi, F.; Arduini, J.; Furlani, F.; Giostra, U.; Cristofanelli, P.; Fang, X.; Hermanssen, O.; Lunder, C.; Maenhout, G.; O’Doherty, S.; et al. European Emissions of the Powerful Greenhouse Gases Hydrofluorocarbons Inferred from Atmospheric Measurements and Their Comparison with Annual National Reports to UNFCCC. Atmos. Environ. 2017, 158, 85–97. [Google Scholar] [CrossRef]
- Brunner, D.; Arnold, T.; Henne, S.; Manning, A.; Thompson, R.L.; Maione, M.; O’Doherty, S.; Reimann, S. Comparison of Four Inverse Modelling Systems Applied to the Estimation of HFC-125, HFC-134a, and SF6 Emissions over Europe. Atmos. Chem. Phys. 2017, 17, 10651–10674. [Google Scholar] [CrossRef]
- VDKF e.V. VDKF-LEC. Available online: https://www.vdkf-lec.de/ (accessed on 21 November 2023).
- VDKF e.V. Kältemittel-Emissionen aus Deutschen Kälte- und Klimaanlagen—Aktuelle Informationen über Leckageraten von 146.000 Kälteanlagen in Deutschland aus der im Mai 2017 vom VDKF Mittels der VDKF LEC Branchensoftware durchegführten Analyse. VDKF Information 2017, 7–8 Juli–August 2017.
- IPCC. 2019 Refinement to the 2006 IPCC Guidelines for National Greenhouse Gas Inventories; IPCC: Geneva, Switzerland, 2019. [Google Scholar]
- R Core Team. R: A Language and Environment for Statistical Computing; R Foundation for Statistical Computing: Vienna, Austria, 2023. [Google Scholar]
- Wickham, H. Ggplot2: Elegant Graphics for Data Analysis; Springer: New York, NY, USA, 2016. [Google Scholar]
- Hothorn, T.; Bretz, F.; Westfall, P. Simultaneous Inference in General Parametric Models. Biom. J. 2008, 50, 346–363. [Google Scholar] [CrossRef] [PubMed]
- Behringer, D.; Heydel, F.; Gschrey, B.; Osterheld, S.; Schwarz, W.; Warncke, K.; Freeling, F.; Nödler, K.; Henne, S.; Reimann, S.; et al. Persistent Degradation Products of Halogenated Refrigerants and Blowing Agents in the Environment: Type, Environmental Concentrations, and Fate with Particular Regard to New Halogenated Substitutes with Low Global Warming Potential; Texte|36/2021; Umweltbundesamt: Dessau-Roßlau, Germany, 2021; p. 268. [Google Scholar]
- Retrofit Refrigerant|OpteonTM XP40 (R-449A). Available online: https://www.opteon.com/en/products/refrigerants/xp40 (accessed on 22 November 2023).
- Everitt, N. DuPont’s New Low GWP Refrigerant Trio. Available online: https://www.coolingpost.com/world-news/duponts-new-low-gwp-refrigerant-trio/ (accessed on 22 November 2023).
- BWP. Branchenstudie 2023: Marktentwicklung—Prognose—Handlungsempfehlungen; Bundesverband Wärmepumpe (BWP) e. V.: Berlin, Germany, 2023. [Google Scholar]
- VDKF, e.V. Analyse von Kältemittel-Emissionen der Kälte- und Klimaanlagen in Deutschland—Aktuelle Analyse von Nutzerdaten der VDKF LEC-Software von rund 39.000 Anlagenbetreibern mit mehr als 175.000 Kälte- und Klimaanlagen. VDKF Information 2018, 11–12 November–December 2018.
- VDMA, e.V. Energiebedarf Für Kältetechnik in Deutschland—Eine Abschätzung des Energiebedarfs von Kältetechnik in Deutschland nach Einsatzgebieten 2017; Forschungsrat Kältetechnik e. V.: Frankfurt am Main, Deutschland, 2020. [Google Scholar]
- The European Parliament and the Council of the European Union. Regulation (EC) No 1005/2009 of the European Parliament and of the Council of 16 September 2009 on Substances That Deplete the Ozone Layer (Recast) (Text with EEA Relevance); Official Journal of the European Union: Luxembourg, 2017. [Google Scholar]
- Ondrušová, B.; Krtková, E. The Phoenix Calculation Model for Emission Estimates of F-Gases Used in Refrigeration and Air Conditioning. Meteorol. Zprávy 2018, 71, 24–29. [Google Scholar]
- Rošková, Z.; Schneider, J.; Štengel, M. Predicted Hydrofluorocarbon (HFC) and Perfluorocarbon (PFC) Emissions for the Years 2010–2050 in the Czech Republic. Atmosphere 2023, 14, 111. [Google Scholar] [CrossRef]
- Müllerová, M.; Krtková, E.; Rošková, Z. F-Gases: Trends, Applications and Newly Applied Gases in the Czech Republic. Atmosphere 2020, 11, 455. [Google Scholar] [CrossRef]
- Everitt, N. ASHRAE Proposes New R404A Replacements. Available online: https://www.coolingpost.com/world-news/ashrae-proposes-new-r404a-replacements/ (accessed on 22 November 2023).
- Everitt, N. Emerson Lists R404A and R134a Alternatives. Available online: https://www.coolingpost.com/world-news/emerson-lists-r404a-and-r134a-alternatives/ (accessed on 22 November 2023).








| Refrigerant | Type | Constituents | GWP100 1 | Common Use |
|---|---|---|---|---|
| R32 | Pure gas | HFC-32 (CH2F2) | 677 | Stationary air-conditioning, part of mixtures |
| R125 | Pure gas | HFC-125 (CF3-CHF2) | 3170 | Part of mixtures |
| R134a | Pure gas | HFC-134a (CF3-CH2F) | 1300 | Domestic (excl. standard fridges), commercial and industrial refrigeration, mobile air-conditioning (excl. passenger cars), sanitary hot water heat pumps, part of mixtures |
| R143a | Pure gas | HFC-143a (CF3-CH3) | 4800 | Part of mixtures |
| R1234yf | Pure gas | HFO-1234yf (CF3CF=CH2) | 1 | Mobile air-conditioning in passenger cars, part of mixtures |
| R1234ze(E) | Pure gas | HFO-1234ze(E) (CF3CH=CF2) | 1 | Industrial refrigeration, stationary air-conditioning, part of mixtures |
| R404A | Mixture | 44% HFC-125, 4% HFC-134a, 52% HFC143a | 3943 | Commercial and industrial refrigeration |
| R407C | Mixture | 23% HFC-23, 25% HFC-125, 52% HFC-134a | 1624 | Stationary air-conditioning |
| R410A | Mixture | 50% HFC-32, 50% HFC-125 | 1924 | Stationary air-conditioning |
| R422D | Mixture | 65% HFC-125, 32% HFC-134a, 3% R600a (C4H10) | 2473 2 | Commercial and industrial refrigeration |
| R448A | Mixture | 26% HFC-32, 26% HFC-125, 21% HFC-134a, 20% HFO-1234yf and 7% HFO-1234ze(E) | 1273 | Commercial and industrial refrigeration; retrofit for R507A and R404A |
| R449A | Mixture | 24% HFC-32, 25% HFC-125, 26% HFC-134a, 25% HFO-1234yf | 1282 | Commercial and industrial refrigeration; retrofit for R507A and R404A |
| R454C | Mixture | 21.5% HFC-32, 78.5% HFO-1234yf | 146 | Commercial refrigeration, stationary air-conditioning |
| R455A | Mixture | 21.5% HFC-32, 75.5% HFO-1234yf, 3% CO2 | 146 | Commercial refrigeration, stationary air-conditioning |
| R507A 3 | Mixture | 50% HFC-125, 50% HFC-143a | 3985 | Commercial refrigeration |
| R513A | Mixture | 44% HFC-134a, 56% HFO-1234yf | 573 | Commercial and industrial refrigeration, stationary air-conditioning; retrofit for R134a |
| Equipment Type Group | Year | |||||||
|---|---|---|---|---|---|---|---|---|
| Sector | Subsector | Refrigerant | 2017 | 2018 | 2019 | 2020 | 2021 | Sum |
| 2.F.1.a Commercial refrigeration | Compound systems | R134a | 27 | 39 | 43 | 26 | 43 | 178 |
| R404A | 91 | 92 | 70 | 101 | 65 | 419 | ||
| R407C | 20 | 15 | 11 | 3 | 18 | 67 | ||
| R422D | 8 | 7 | 7 | 6 | 5 | 33 | ||
| R449A | 0 | 3 | 4 | 12 | 7 | 26 | ||
| R507A | 8 | 20 | 8 | 7 | 2 | 45 | ||
| Other | 12 | 25 | 12 | 20 | 8 | 77 | ||
| Plug-in units | R134a | 17 | 12 | 5 | 4 | 14 | 52 | |
| R404A | 9 | 21 | 22 | 12 | 19 | 83 | ||
| Other | 13 | 4 | 8 | 5 | 5 | 35 | ||
| 2.F.1.c Industrial refrigeration | - | R134a | 120 | 149 | 79 | 146 | 145 | 639 |
| R404A | 22 | 19 | 16 | 30 | 19 | 106 | ||
| R407C | 40 | 58 | 35 | 34 | 50 | 217 | ||
| R410A | 4 | 9 | 7 | 8 | 6 | 34 | ||
| R422D | 12 | 3 | 4 | 4 | 11 | 34 | ||
| Other | 6 | 8 | 16 | 19 | 12 | 61 | ||
| 2.F.1.f Stationary air-conditioning | Decentral split units (single/multi) | R134a | 35 | 44 | 30 | 45 | 25 | 179 |
| R407C | 147 | 186 | 167 | 117 | 86 | 703 | ||
| R410A | 290 | 396 | 388 | 361 | 357 | 1792 | ||
| Other | 14 | 15 | 24 | 11 | 22 | 86 | ||
| Decentral VRF/VRV 1 units | R407C | 9 | 9 | 8 | 8 | 6 | 40 | |
| R410A | 17 | 28 | 25 | 33 | 37 | 140 | ||
| Other | - | 3 | 3 | 1 | 2 | 9 | ||
| Unspecified decentral units | R407C | 14 | 8 | 6 | 4 | 4 | 36 | |
| R410A | 7 | 10 | 5 | 4 | 4 | 30 | ||
| Central air-handling units | R407C | 17 | 18 | 19 | 20 | 14 | 88 | |
| R410A | 12 | 11 | 9 | 15 | 9 | 56 | ||
| Other | 6 | 4 | 7 | 6 | 4 | 27 | ||
| Unspecified central units | R134a | 7 | 17 | 14 | 55 | 35 | 128 | |
| R407C | 26 | 34 | 18 | 33 | 15 | 126 | ||
| R410A | 27 | 13 | 16 | 18 | 13 | 87 | ||
| Other | 3 | 6 | 4 | 5 | 3 | 21 | ||
| Unspecified units | Other | 1 | 4 | 1 | - | - | 6 | |
| Moveable units | Other | 6 | 3 | 5 | 5 | 3 | 22 | |
| Heat pumps (direct evaporation) | R410A | 4 | 4 | 12 | 2 | 5 | 27 | |
| Other | 2 | 3 | 1 | 3 | 3 | 12 | ||
| Heat pumps (multi-circuit) | Other | 3 | 8 | 1 | 7 | 6 | 25 | |
| Total | 1056 | 1308 | 1110 | 1190 | 1082 | 5746 | ||
| Total excluding “Other” refrigerants | 990 | 1225 | 1028 | 1108 | 1014 | 5365 | ||
| Sector | Destination | Year | |||||
|---|---|---|---|---|---|---|---|
| 2017 | 2018 | 2019 | 2020 | 2021 | Sum | ||
| 2.F.1.a Commercial refrigeration | Recycling | 0.698 | 2.041 | 1.543 | 0.586 | 0.645 | 5.513 |
| Reclamation | 0.287 | 0.320 | 0.142 | 0.795 | 0.090 | 1.633 | |
| Disposal | 2.324 | 2.624 | 1.663 | 3.176 | 1.392 | 11.178 | |
| Other | - | 0.018 | - | 0.001 | - | 0.019 | |
| Retail | - | 0.018 | - | - | - | 0.018 | |
| Not specified | - | - | - | 0.001 | - | 0.001 | |
| 2.F.1.c Industrial refrigeration | Recycling | 0.134 | 0.002 | 0.419 | 0.505 | 0.110 | 1.170 |
| Reclamation | 0.262 | 0.136 | - | 0.299 | 0.170 | 0.867 | |
| Disposal | 1.775 | 1.934 | 1.344 | 4.021 | 1.944 | 11.017 | |
| Other | - | 0.001 | 0.180 | 0.700 | 0.881 | ||
| Producer | - | - | 0.130 | - | 0.700 | 0.830 | |
| Not specified | - | 0.001 | 0.050 | - | - | 0.051 | |
| 2.F.1.f Stationary air-conditioning | Recycling | 0.047 | 0.104 | 0.141 | 0.123 | 0.076 | 0.491 |
| Reclamation | 0.084 | 0.033 | 0.023 | 0.001 | 0.011 | 0.152 | |
| Disposal | 2.121 | 2.143 | 3.544 | 2.030 | 2.473 | 12.310 | |
| Other | 0.057 | - | 0.032 | 0.007 | 0.001 | 0.098 | |
| Producer | 0.050 | - | 0.032 | - | - | 0.083 | |
| Not specified | 0.007 | - | - | 0.007 | 0.001 | 0.015 | |
| Total | - | 7.789 | 9.356 | 9.031 | 11.544 | 7.612 | 45.329 |
| Equipment Type Group | Year | |||||||
|---|---|---|---|---|---|---|---|---|
| Sector | Subsector | Refrigerant | 2017 | 2018 | 2019 | 2020 | 2021 | Total |
| 2.F.1.a Commercial refrigeration | Compound systems | R134a | 86.5 | 70.7 | 73.7 | 77.0 | 64.3 | 73.2 |
| R404A | 83.9 | 72.3 | 72.9 | 77.7 | 80.6 | 77.5 | ||
| R407C | 84.0 | 66.8 | 72.5 | 83.3 | 27.8 | 63.1 | ||
| R422D | 53.6 | 42.9 | 83.0 | 55.6 | 91.2 | 63.6 | ||
| R449A | - | 90.8 | 92.2 | 91.0 | 79.5 | 88.1 | ||
| R507A | 75.7 | 59.6 | 82.7 | 85.7 | 100 | 72.4 | ||
| Plug-in units | R134a | 64.7 | 70.6 | 100 | 50.0 | 29.3 | 58.8 | |
| R404A | 77.8 | 56.2 | 80.0 | 87.1 | 84.3 | 75.7 | ||
| 2.F.1.c Industrial refrigeration | - | R134a | 79.2 | 65.1 | 71.1 | 85.4 | 80.6 | 76.7 |
| R404A | 81.3 | 75.0 | 84.4 | 80.5 | 60.5 | 76.7 | ||
| R407C | 77.9 | 66.2 | 76.6 | 69.6 | 86.7 | 75.3 | ||
| R410A | 57.2 | 58.1 | 78.1 | 49.3 | 41.7 | 57.2 | ||
| R422D | 58.4 | 91.7 | 44.3 | 66.9 | 38.2 | 54.1 | ||
| 2.F.1.f Stationary air-conditioning | Decentral split units (single/multi) | R134a | 100 | 97.7 | 100 | 89.4 | 96.0 | 96.2 |
| R407C | 86.9 | 84.9 | 79.3 | 82.7 | 88.5 | 84.1 | ||
| R410A | 82.8 | 82.4 | 85.3 | 81.9 | 82.3 | 83.0 | ||
| Decentral VRF/VRV 1 units | R407C | 67.8 | 91.1 | 64.9 | 71.8 | 71.1 | 73.8 | |
| R410A | 74.1 | 72.6 | 80.5 | 75.7 | 85.1 | 78.2 | ||
| Unspecified decentral units | R407C | 87.1 | 96.6 | 83.3 | 76.4 | 95.7 | 88.3 | |
| R410A | 98.7 | 82.4 | 75.7 | 75.0 | 100 | 86.4 | ||
| Central air-handling units | R407C | 66.7 | 70.6 | 69.2 | 83.4 | 86.8 | 75.0 | |
| R410A | 67.6 | 59.7 | 72.1 | 72.1 | 72.1 | 68.7 | ||
| Unspecified central units | R134a | 57.1 | 94.1 | 50.3 | 49.6 | 53.1 | 56.9 | |
| R407C | 76.1 | 76.5 | 54.4 | 63.6 | 72.1 | 69.4 | ||
| R410A | 81.5 | 53.8 | 75.0 | 66.7 | 75.1 | 72.1 | ||
| Heat pumps (direct evaporation) | R410A | 75.0 | 75.0 | 91.7 | 52.7 | 60.0 | 78.0 | |
| Equipment Type Group | Year | |||||||
|---|---|---|---|---|---|---|---|---|
| Sector | Subsector | Refrigerant | 2017 | 2018 | 2019 | 2020 | 2021 | Total |
| 2.F.1.a Commercial refrigeration | Compound systems | R134a | 15.3 | 17.1 | 14.4 | 16.4 | 11.8 | 14.7 |
| R404A | 12.2 | 15.8 | 13.5 | 17.1 | 16.8 | 15.2 | ||
| R407C | 18.7 | 14.1 | 14.2 | 18.3 | 19.3 | 17.3 | ||
| R449A | - | 12.0 | 18.2 | 12.1 | 17.0 | 14.4 | ||
| R507A | 9.6 | 14.5 | 6.3 | 14.4 | 17.0 | 12.7 | ||
| Plug-in units | R134a | 10.9 | 14.3 | 11.7 | 7.5 | 15.0 | 12.6 | |
| R404A | 11.7 | 18.4 | 12.0 | 16.1 | 15.3 | 14.9 | ||
| 2.F.1.c Industrial refrigeration | - | R134a | 11.8 | 13.7 | 11.9 | 10.1 | 16.1 | 12.8 |
| R404A | 15.7 | 15.3 | 14.1 | 18.6 | 21.9 | 17.3 | ||
| R407C | 13.4 | 12.1 | 15.8 | 18.4 | 14.7 | 14.5 | ||
| R410A | 7.5 | 8.2 | 8.0 | 6.2 | 8.6 | 7.7 | ||
| R422D | 23.9 | 34.0 | 13.0 | 26.5 | 22.6 | 23.4 | ||
| 2.F.1.f Stationary air-conditioning | Decentral split units (single/multi) | R134a | 9.0 | 10.1 | 15.2 | 13.4 | 12.7 | 12.6 |
| R407C | 13.6 | 14.1 | 14.6 | 16.9 | 17.5 | 15.0 | ||
| R410A | 8.1 | 7.9 | 9.1 | 9.3 | 10.1 | 8.9 | ||
| Decentral VRF/VRV 1 units | R407C | 12.2 | 12.0 | 16.1 | 15.1 | 20.5 | 14.9 | |
| R410A | 8.4 | 6.8 | 6.5 | 9.5 | 9.5 | 8.2 | ||
| Central air-handling units | R407C | 17.9 | 14.7 | 17.5 | 16.1 | 18.8 | 16.8 | |
| R410A | 8.6 | 6.1 | 11.3 | 5.9 | 9.0 | 7.9 | ||
| Unspecified central units | R134a | 14.7 | 10.0 | 9.0 | 9.9 | 9.7 | 10.1 | |
| R407C | 15.5 | 13.0 | 16.6 | 15.4 | 14.3 | 14.8 | ||
| R410A | 8.7 | 9.8 | 9.4 | 7.5 | 12.5 | 9.3 | ||
| Heat pumps (direct evaporation) | R410A | 3.5 | 4.8 | 7.3 | 15.0 | 9.2 | 7.6 | |
| Sector | Source | Year | Average | ||||
|---|---|---|---|---|---|---|---|
| 2017 | 2018 | 2019 | 2020 | 2021 | |||
| 2.F.1.a Commercial refrigeration | UNFCCC total (t) | 693.9 | 734.4 | 742.3 | 764.4 | 762.5 | 739.5 |
| VDKF-LEC (t) | 3.2 | 4.9 | 3.2 | 4.4 | 2.1 | 3.56 | |
| VDKF share of total (%) | 0.5 | 0.7 | 0.4 | 0.6 | 0.3 | 0.5 | |
| 2.F.1.c Industrial refrigeration | UNFCCC total (t) | 86.3 | 175.9 | 176.0 | 175.2 | 181.7 | 159.0 |
| VDKF-LEC (t) | 2.2 | 2.1 | 1.9 | 4.8 | 2.9 | 2.8 | |
| VDKF share of total (%) | 2.5 | 1.2 | 1.1 | 2.7 | 1.6 | 1.8 | |
| 2.F.1.f Stationary air-conditioning | UNFCCC total (t) | 386.0 | 386.5 | 404.2 | 511.7 | 565.3 | 450.7 |
| VDKF-LEC (t) | 2.3 | 2.3 | 3.7 | 2.2 | 2.6 | 2.6 | |
| VDKF share of total (%) | 0.6 | 0.6 | 0.9 | 0.4 | 0.5 | 0.6 | |
| Total | UNFCCC total (t) | 1166.2 | 1296.8 | 1322.4 | 1451.3 | 1509.5 | 1349.2 |
| VDKF-LEC total (t) | 7.7 | 9.3 | 8.9 | 11.4 | 7.5 | 9.0 | |
| VDKF share of total (%) | 0.7 | 0.7 | 0.7 | 0.8 | 0.5 | 0.7 | |
| Sector | VDKF-LEC Dataset | German F-Gas Model | Czech Phoenix Model | 2006 IPCC Guidelines | ||||
|---|---|---|---|---|---|---|---|---|
| ηrec,d × p (%) | d (Years) | ηrec,d × p (%) | d (Years) | ηrec,d × p (%) | d (Years) | ηrec,d × p (%) | d (Years) | |
| 2.F.1.a Commercial refrigeration | 73.9 | 14.9 (7–23) 1 | 76.0 | 12.0 (10–14) 2 | 38.5 | 10.5 | <63 3 | 7–15 |
| 2.F.1.c Industrial refrigeration | 75.0 | 13.8 (6–22) 1 | 80.0 | 15.0 (10–30) 2 | 38.5 | 17.0 | <92 4 | 15–30 |
| 2.F.1.f Stationary air-conditioning | 81.5 | 10.9 (5–17) 1 | 67.5 | 15.6 (10–25) 2 | 38.5 | 13.5 | <64 5 | 10–20 |
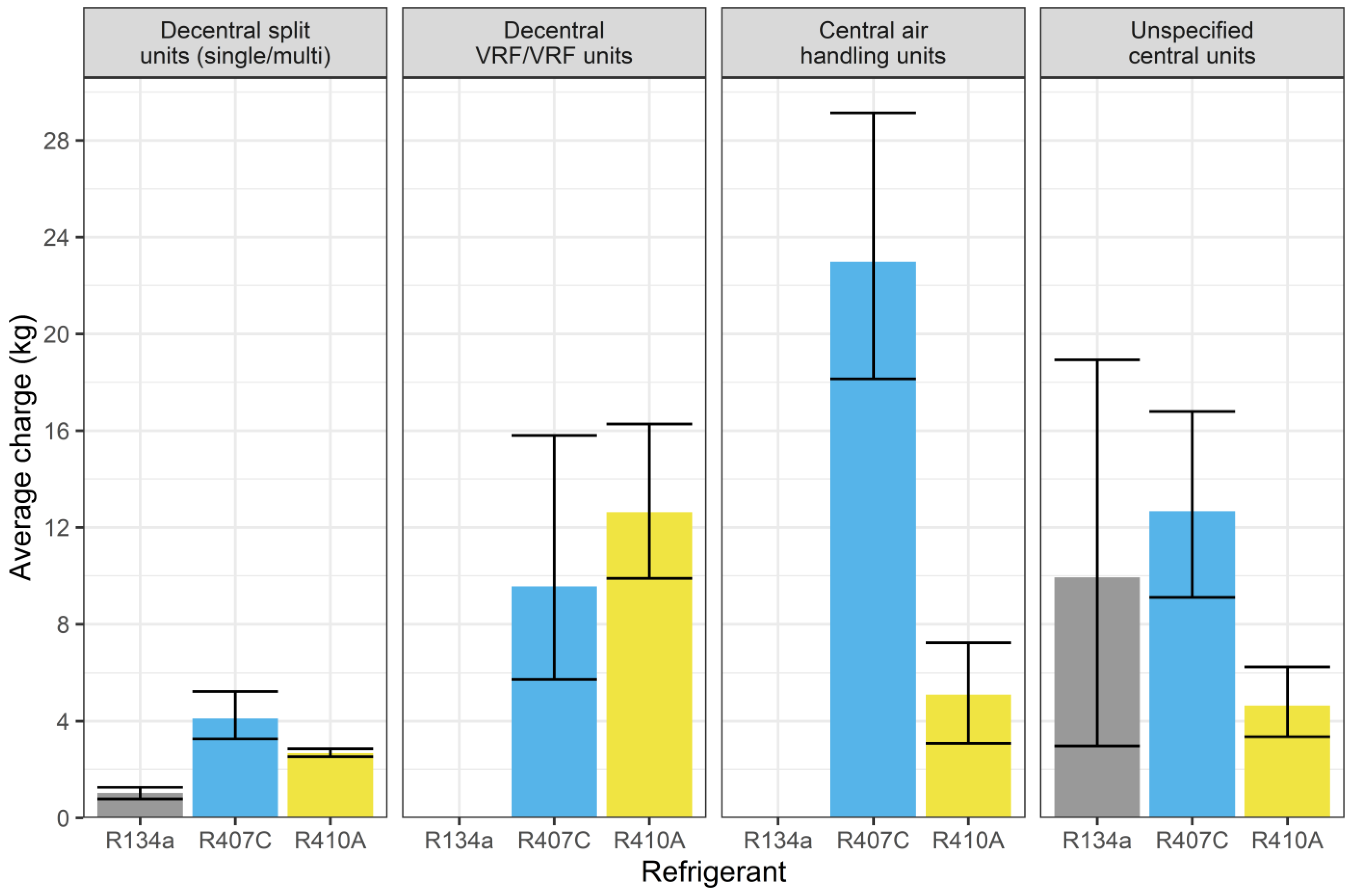
| Refrigerant | Number of Units | Share of Total (%) | Average Lifetime (Years) | Range Lifetime (Years) 1 | Average Charge (kg) |
|---|---|---|---|---|---|
| R134a | 629 | 63.5 | 12.8 | 5–21 | 9.7 |
| R404A | 103 | 10.4 | 17.3 | 10–25 | 48.4 (31.2) 2 |
| R407C | 205 | 20.7 | 14.5 | 8–21 | 22.4 |
| R410A | 28 | 2.8 | 7.7 | 4–11 | 5.7 |
| R422D | 25 | 2.5 | 23.4 | 14–33 | 53.8 |
| Total | 990 | 100 | 13.8 | 6–22 | 17.4 |
Disclaimer/Publisher’s Note: The statements, opinions and data contained in all publications are solely those of the individual author(s) and contributor(s) and not of MDPI and/or the editor(s). MDPI and/or the editor(s) disclaim responsibility for any injury to people or property resulting from any ideas, methods, instructions or products referred to in the content. |
© 2023 by the authors. Licensee MDPI, Basel, Switzerland. This article is an open access article distributed under the terms and conditions of the Creative Commons Attribution (CC BY) license (https://creativecommons.org/licenses/by/4.0/).
Share and Cite
Behringer, D.; Martens, K.; Gschrey, B. Recovery of Fluorinated Refrigerants from Decommissioned RAC Equipment in Germany—Implications for National Emission Reporting under the UNFCCC. Atmosphere 2024, 15, 35. https://doi.org/10.3390/atmos15010035
Behringer D, Martens K, Gschrey B. Recovery of Fluorinated Refrigerants from Decommissioned RAC Equipment in Germany—Implications for National Emission Reporting under the UNFCCC. Atmosphere. 2024; 15(1):35. https://doi.org/10.3390/atmos15010035
Chicago/Turabian StyleBehringer, David, Kerstin Martens, and Barbara Gschrey. 2024. "Recovery of Fluorinated Refrigerants from Decommissioned RAC Equipment in Germany—Implications for National Emission Reporting under the UNFCCC" Atmosphere 15, no. 1: 35. https://doi.org/10.3390/atmos15010035
APA StyleBehringer, D., Martens, K., & Gschrey, B. (2024). Recovery of Fluorinated Refrigerants from Decommissioned RAC Equipment in Germany—Implications for National Emission Reporting under the UNFCCC. Atmosphere, 15(1), 35. https://doi.org/10.3390/atmos15010035

