A Novel AI Framework for PM Pollution Prediction Applied to a Greek Port City
Abstract
:1. Introduction
2. Data and Methodology
2.1. Area of Study
2.2. Feature Selection and Engineering
2.3. Dataset Development
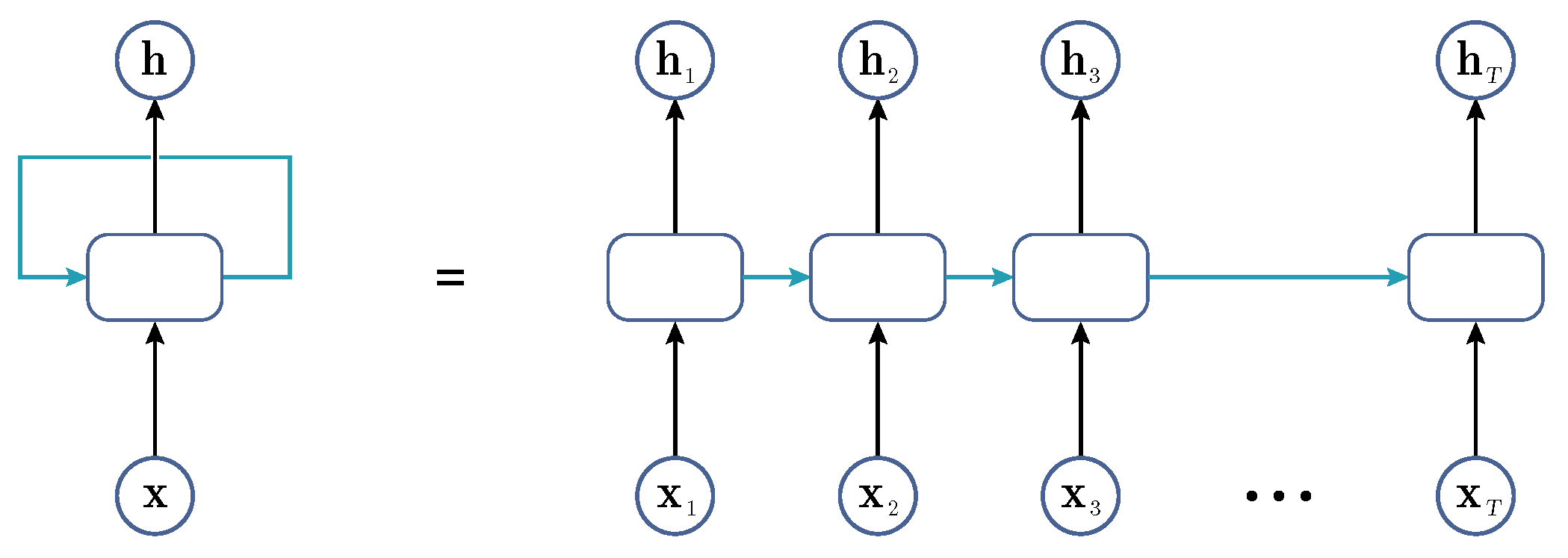
2.4. Forecasting Model Details
3. Results and Discussion
4. Conclusions
Author Contributions
Funding
Informed Consent Statement
Data Availability Statement
Acknowledgments
Conflicts of Interest
Appendix A
| Label | Unit | Description |
|---|---|---|
| Solar Radiation High | W/m | High intensity of solar radiation. |
| uv-High | - | High level of ultraviolet (UV) radiation. |
| Humidity Low | - | Low humidity level. |
| Humidity High | - | High humidity level. |
| Humidity Average | - | Average humidity level. |
| Temperature High | C | High temperature. |
| Temperature Low | C | Low temperature. |
| Temperature Average | C | Average temperature. |
| Wind Speed High | m/s | High wind speed. |
| Wind Speed Low | m/s | Low wind speed. |
| Wind Speed Average | m/s | Average wind speed. |
| Wind Gust High | m/s | High gusts of wind. |
| Wind Gust Low | m/s | Low gusts of wind. |
| Wind Gust Average | m/s | Average gusts of wind. |
| Wind Direction | deg | Wind Direction. |
| Dew Point High | C | High dew point temperature. |
| Dew Point Low | C | Low dew point temperature. |
| Dew Point Average | C | Average dew point temperature. |
| Wind Chill High | C | High wind chill temperature. |
| Wind Chill Low | C | Low wind chill temperature. |
| Wind Chill Average | C | Average wind chill temperature. |
| Heat Index High | C | High heat index temperature. |
| Heat Index Low | C | Low heat index temperature. |
| Heat Index Average | C | Average heat index temperature. |
| Pressure Maximum | hPa | Maximum atmospheric pressure. |
| Pressure Minimum | hPa | Minimum atmospheric pressure. |
| Pressure Trend | hPa | Difference of atmospheric pressure between subsequent measurements. |
| Precipitation Rate | mm/h | Rate of precipitation. |
| Precipitation Total | mm | Total amount of precipitation. |
References
- WHO. WHO Global Air Quality Guidelines: Particulate Matter (PM2.5 and PM10), Ozone, Nitrogen Dioxide, Sulfur Dioxide and Carbon Monoxide; World Health Organization: Geneva, Switzerland, 2021. [Google Scholar]
- Goldberg, M. A systematic review of the relation between long-term exposure to ambient air pollution and chronic diseases. Rev. Environ. Health 2008, 23, 243–298. [Google Scholar] [CrossRef] [PubMed]
- Khaniabadi, Y.O.; Goudarzi, G.; Daryanoosh, S.M.; Borgini, A.; Tittarelli, A.; De Marco, A. Exposure to PM10, NO2, and O3 and impacts on human health. Environ. Sci. Pollut. Res. 2017, 24, 2781–2789. [Google Scholar] [CrossRef] [PubMed]
- Coccia, M. The effects of atmospheric stability with low wind speed and of air pollution on the accelerated transmission dynamics of COVID-19. Int. J. Environ. Stud. 2021, 78, 1–27. [Google Scholar] [CrossRef]
- Coccia, M. How do low wind speeds and high levels of air pollution support the spread of COVID-19? Atmos. Pollut. Res. 2021, 12, 437–445. [Google Scholar] [CrossRef]
- Akan, A.P.; Coccia, M. Changes of air pollution between countries because of lockdowns to face COVID-19 pandemic. Appl. Sci. 2022, 12, 12806. [Google Scholar] [CrossRef]
- Kampa, M.; Castanas, E. Human health effects of air pollution. Environ. Pollut. 2008, 151, 362–367. [Google Scholar] [CrossRef]
- Brunekreef, B.; Holgate, S.T. Air pollution and health. Lancet 2002, 360, 1233–1242. [Google Scholar] [CrossRef]
- Seinfeld, H.J.; Pandis, N.S. Atmospheric Chemistry and Physics: From Air Pollution to Climate Change; Wiley: Hoboken, NJ, USA, 2016. [Google Scholar]
- Kaskaoutis, D.; Grivas, G.; Oikonomou, K.; Tavernaraki, P.; Papoutsidaki, K.; Tsagkaraki, M.; Stavroulas, I.; Zarmpas, P.; Paraskevopoulou, D.; Bougiatioti, A.; et al. Impacts of severe residential wood burning on atmospheric processing, water-soluble organic aerosol and light absorption, in an inland city of Southeastern Europe. Atmos. Environ. 2022, 280, 119139. [Google Scholar] [CrossRef]
- Papadakis, G.; Megaritis, A.; Pandis, S. Effects of olive tree branches burning emissions on PM2.5 concentrations. Atmos. Environ. 2015, 112, 148–158. [Google Scholar] [CrossRef]
- Levin, Z.; Cotton, R.W. Atmospheric Chemistry and Physics: From Air Pollution to Climate Change; Springer: Berlin/Heidelberg, Germany, 2009. [Google Scholar]
- Su, T.; Li, Z.; Li, C.; Li, J.; Han, W.; Shen, C.; Tan, W.; Wei, J.; Guo, J. The significant impact of aerosol vertical structure on lower atmosphere stability and its critical role in aerosol–planetary boundary layer (PBL) interactions. Atmos. Chem. Phys. 2020, 20, 3713–3724. [Google Scholar] [CrossRef]
- Pearlmutter, D.; Bitan, A.; Berliner, P. Microclimatic analysis of “compact” urban canyons in an arid zone. Atmos. Environ. 1999, 33, 4143–4150. [Google Scholar] [CrossRef]
- Toscano, D.; Marro, M.; Mele, B.; Murena, F.; Salizzoni, P. Assessment of the impact of gaseous ship emissions in ports using physical and numerical models: The case of Naples. Build. Environ. 2021, 196, 107812. [Google Scholar] [CrossRef]
- Merico, E.; Dinoi, A.; Contini, D. Development of an integrated modelling-measurement system for near-real-time estimates of harbour activity impact to atmospheric pollution in coastal cities. Transp. Res. Part D Transp. Environ. 2019, 73, 108–119. [Google Scholar] [CrossRef]
- Progiou, A.; Bakeas, E.; Evangelidou, E.; Kontogiorgi, C.; Lagkadinou, E.; Sebos, I. Air pollutant emissions from Piraeus port: External costs and air quality levels. Transp. Res. Part D Transp. Environ. 2021, 91, 102586. [Google Scholar] [CrossRef]
- Wang, J.; Xing, J.; Mathur, R.; Pleim, J.E.; Wang, S.; Hogrefe, C.; Gan, C.M.; Wong, D.C.; Hao, J. Historical trends in PM2.5-related premature mortality during 1990–2010 across the northern hemisphere. Environ. Health Perspect. 2017, 125, 400–408. [Google Scholar] [CrossRef] [PubMed]
- Jeanjean, A.P.; Monks, P.S.; Leigh, R.J. Modelling the effectiveness of urban trees and grass on PM2.5 reduction via dispersion and deposition at a city scale. Atmos. Environ. 2016, 147, 1–10. [Google Scholar] [CrossRef]
- Lauriks, T.; Longo, R.; Baetens, D.; Derudi, M.; Parente, A.; Bellemans, A.; Van Beeck, J.; Denys, S. Application of improved CFD modeling for prediction and mitigation of traffic-related air pollution hotspots in a realistic urban street. Atmos. Environ. 2021, 246, 118127. [Google Scholar] [CrossRef]
- Hao, C.; Xie, X.; Huang, Y.; Huang, Z. Study on influence of viaduct and noise barriers on the particulate matter dispersion in street canyons by CFD modeling. Atmos. Pollut. Res. 2019, 10, 1723–1735. [Google Scholar] [CrossRef]
- Tsiaousidis, D.T.; Liora, N.; Kontos, S.; Poupkou, A.; Akritidis, D.; Melas, D. Evaluation of PM Chemical Composition in Thessaloniki, Greece Based on Air Quality Simulations. Sustainability 2023, 15, 10034. [Google Scholar] [CrossRef]
- Fameli, K.M.; Assimakopoulos, V.D. The new open Flexible Emission Inventory for Greece and the Greater Athens Area (FEI-GREGAA): Account of pollutant sources and their importance from 2006 to 2012. Atmos. Environ. 2016, 137, 17–37. [Google Scholar] [CrossRef]
- Pérez, P.; Trier, A.; Reyes, J. Prediction of PM2.5 concentrations several hours in advance using neural networks in Santiago, Chile. Atmos. Environ. 2000, 34, 1189–1196. [Google Scholar] [CrossRef]
- Zhao, J.; Deng, F.; Cai, Y.; Chen, J. Long short-term memory-Fully connected (LSTM-FC) neural network for PM2.5 concentration prediction. Chemosphere 2019, 220, 486–492. [Google Scholar] [CrossRef] [PubMed]
- Qin, D.; Yu, J.; Zou, G.; Yong, R.; Zhao, Q.; Zhang, B. A novel combined prediction scheme based on CNN and LSTM for urban PM2.5 concentration. IEEE Access 2019, 7, 20050–20059. [Google Scholar] [CrossRef]
- Zhou, Y.; Chang, F.J.; Chang, L.C.; Kao, I.F.; Wang, Y.S. Explore a deep learning multi-output neural network for regional multi-step-ahead air quality forecasts. J. Clean. Prod. 2019, 209, 134–145. [Google Scholar] [CrossRef]
- Wu, X.; Wang, Y.; He, S.; Wu, Z. PM2.5/PM10 ratio prediction based on a long short-term memory neural network in Wuhan, China. Geosci. Model Dev. 2020, 13, 1499–1511. [Google Scholar] [CrossRef]
- Zhang, B.; Zhang, H.; Zhao, G.; Lian, J. Constructing a PM2.5 concentration prediction model by combining auto-encoder with Bi-LSTM neural networks. Environ. Model. Softw. 2020, 124, 104600. [Google Scholar] [CrossRef]
- Li, T.; Hua, M.; Wu, X. A hybrid CNN-LSTM model for forecasting particulate matter (PM2.5). IEEE Access 2020, 8, 26933–26940. [Google Scholar] [CrossRef]
- Pak, U.; Ma, J.; Ryu, U.; Ryom, K.; Juhyok, U.; Pak, K.; Pak, C. Deep learning-based PM2.5 prediction considering the spatiotemporal correlations: A case study of Beijing, China. Sci. Total Environ. 2020, 699, 133561. [Google Scholar] [CrossRef]
- Qiao, W.; Wang, Y.; Zhang, J.; Tian, W.; Tian, Y.; Yang, Q. An innovative coupled model in view of wavelet transform for predicting short-term PM10 concentration. J. Environ. Manag. 2021, 289, 112438. [Google Scholar] [CrossRef]
- Zhang, L.; Na, J.; Zhu, J.; Shi, Z.; Zou, C.; Yang, L. Spatiotemporal causal convolutional network for forecasting hourly PM2.5 concentrations in Beijing, China. Comput. Geosci. 2021, 155, 104869. [Google Scholar] [CrossRef]
- Zhang, B.; Zou, G.; Qin, D.; Lu, Y.; Jin, Y.; Wang, H. A novel Encoder-Decoder model based on read-first LSTM for air pollutant prediction. Sci. Total Environ. 2021, 765, 144507. [Google Scholar] [CrossRef] [PubMed]
- Yan, R.; Liao, J.; Yang, J.; Sun, W.; Nong, M.; Li, F. Multi-hour and multi-site air quality index forecasting in Beijing using CNN, LSTM, CNN-LSTM, and spatiotemporal clustering. Expert Syst. Appl. 2021, 169, 114513. [Google Scholar] [CrossRef]
- Mao, W.; Wang, W.; Jiao, L.; Zhao, S.; Liu, A. Modeling air quality prediction using a deep learning approach: Method optimization and evaluation. Sustain. Cities Soc. 2021, 65, 102567. [Google Scholar] [CrossRef]
- Du, M.; Chen, Y.; Liu, Y.; Yin, H. A Novel Hybrid Method to Predict PM2.5 Concentration Based on the SWT-QPSO-LSTM Hybrid Model. Comput. Intell. Neurosci. 2022, 2022, 7207477. [Google Scholar] [CrossRef] [PubMed]
- Hu, K.; Guo, X.; Gong, X.; Wang, X.; Liang, J.; Li, D. Air quality prediction using spatio-temporal deep learning. Atmos. Pollut. Res. 2022, 13, 101543. [Google Scholar] [CrossRef]
- Liang, L.; Daniels, J.; Bailey, C.; Hu, L.; Phillips, R.; South, J. Integrating low-cost sensor monitoring, satellite mapping, and geospatial artificial intelligence for intra-urban air pollution predictions. Environ. Pollut. 2023, 331, 121832. [Google Scholar] [CrossRef]
- Zhao, L.; Zhang, M.; Cheng, S.; Fang, Y.; Wang, S.; Zhou, C. Investigate the effects of urban land use on PM2.5 concentration: An application of deep learning simulation. Build. Environ. 2023, 242, 110521. [Google Scholar] [CrossRef]
- Mirzavand Borujeni, S.; Arras, L.; Srinivasan, V.; Samek, W. Explainable sequence-to-sequence GRU neural network for pollution forecasting. Sci. Rep. 2023, 13, 9940. [Google Scholar] [CrossRef]
- Elbaz, K.; Shaban, W.M.; Zhou, A.; Shen, S.L. Real time image-based air quality forecasts using a 3D-CNN approach with an attention mechanism. Chemosphere 2023, 333, 138867. [Google Scholar] [CrossRef]
- Castelvecchi, D. Can we open the black box of AI? Nat. News 2016, 538, 20. [Google Scholar] [CrossRef]
- Guo, T.; Lin, T.; Antulov-Fantulin, N. Exploring interpretable lstm neural networks over multi-variable data. In Proceedings of the International Conference on Machine Learning, PMLR, Long Beach, CA, USA, 9–15 June 2019; pp. 2494–2504. [Google Scholar]
- Kumar, P.; Morawska, L.; Martani, C.; Biskos, G.; Neophytou, M.; Di Sabatino, S.; Bell, M.; Norford, L.; Britter, R. The rise of low-cost sensing for managing air pollution in cities. Environ. Int. 2015, 75, 199–205. [Google Scholar] [CrossRef] [PubMed]
- CanAirIO. Available online: https://scistarter.org/canairio (accessed on 1 September 2023).
- Map—PurpleAir. Available online: https://map.purpleair.com/ (accessed on 1 September 2023).
- Kosmopoulos, G.; Salamalikis, V.; Wilbert, S.; Zarzalejo, L.F.; Hanrieder, N.; Karatzas, S.; Kazantzidis, A. Investigating the Sensitivity of Low-Cost Sensors in Measuring Particle Number Concentrations across Diverse Atmospheric Conditions in Greece and Spain. Sensors 2023, 23, 6541. [Google Scholar] [CrossRef] [PubMed]
- Kosmopoulos, G.; Salamalikis, V.; Matrali, A.; Pandis, S.N.; Kazantzidis, A. Insights about the Sources of PM2.5 in an Urban Area from Measurements of a Low-Cost Sensor Network. Atmosphere 2022, 13, 440. [Google Scholar] [CrossRef]
- Hedworth, H.A.; Sayahi, T.; Kelly, K.E.; Saad, T. The effectiveness of drones in measuring particulate matter. J. Aerosol Sci. 2021, 152, 105702. [Google Scholar] [CrossRef]
- Kaivonen, S.; Ngai, E.C.H. Real-time air pollution monitoring with sensors on city bus. Digit. Commun. Netw. 2020, 6, 23–30. [Google Scholar] [CrossRef]
- Global Modeling and Assimilation Office (GMAO). MERRA-2 instU_2d_lfo_Nx: 2d, 2d,diurnal, Instantaneous, Single-Level, Assimilation, Land Surface Forcings V5.12.4; Goddard Earth Sciences Data and Information Services Center (GES DISC): Greenbelt, MD, USA, 2023. [Google Scholar] [CrossRef]
- Fameli, K.; Kotrikla, A.; Psanis, C.; Biskos, G.; Polydoropoulou, A. Estimation of the emissions by transport in two port cities of the northeastern Mediterranean, Greece. Environ. Pollut. 2020, 257, 113598. [Google Scholar] [CrossRef]
- Manousakas, M.; Papaefthymiou, H.; Diapouli, E.; Migliori, A.; Karydas, A.; Bogdanovic-Radovic, I.; Eleftheriadis, K. Assessment of PM2.5 sources and their corresponding level of uncertainty in a coastal urban area using EPA PMF 5.0 enhanced diagnostics. Sci. Total Environ. 2017, 574, 155–164. [Google Scholar] [CrossRef]
- Kostenidou, E.; Florou, K.; Kaltsonoudis, C.; Tsiflikiotou, M.; Vratolis, S.; Eleftheriadis, K.; Pandis, S.N. Sources and chemical characterization of organic aerosol during the summer in the eastern Mediterranean. Atmos. Chem. Phys. 2015, 15, 11355–11371. [Google Scholar] [CrossRef]
- Manousakas, M.; Diapouli, E.; Papaefthymiou, H.; Kantarelou, V.; Zarkadas, C.; Kalogridis, A.C.; Karydas, A.G.; Eleftheriadis, K. XRF characterization and source apportionment of PM10 samples collected in a coastal city. X-Ray Spectrom. 2018, 47, 190–200. [Google Scholar] [CrossRef]
- Matthaios, V.N.; Triantafyllou, A.G.; Koutrakis, P. PM10 episodes in Greece: Local sources versus long-range transport—Observations and model simulations. J. Air Waste Manag. Assoc. 2017, 67, 105–126. [Google Scholar] [CrossRef]
- Manousakas, M.I.; Florou, K.; Pandis, S.N. Source Apportionment of Fine Organic and Inorganic Atmospheric Aerosol in an Urban Background Area in Greece. Atmosphere 2020, 11, 330. [Google Scholar] [CrossRef]
- Florou, K.; Papanastasiou, D.K.; Pikridas, M.; Kaltsonoudis, C.; Louvaris, E.; Gkatzelis, G.I.; Patoulias, D.; Mihalopoulos, N.; Pandis, S.N. The contribution of wood burning and other pollution sources to wintertime organic aerosol levels in two Greek cities. Atmos. Chem. Phys. 2017, 17, 3145–3163. [Google Scholar] [CrossRef]
- Li, X.; Peng, L.; Yao, X.; Cui, S.; Hu, Y.; You, C.; Chi, T. Long short-term memory neural network for air pollutant concentration predictions: Method development and evaluation. Environ. Pollut. 2017, 231, 997–1004. [Google Scholar] [CrossRef] [PubMed]
- Li, L.; Zhang, R.; Sun, J.; He, Q.; Kong, L.; Liu, X. Monitoring and prediction of dust concentration in an open-pit mine using a deep-learning algorithm. J. Environ. Health Sci. Eng. 2021, 19, 401–414. [Google Scholar] [CrossRef] [PubMed]
- Faludi, A. A Reader in Planning Theory; Elsevier: Amsterdam, The Netherlands, 2013; Volume 5. [Google Scholar]
- Liang, L.; Gong, P. Urban and air pollution: A multi-city study of long-term effects of urban landscape patterns on air quality trends. Sci. Rep. 2020, 10, 18618. [Google Scholar] [CrossRef] [PubMed]
- Salamanca, F.; Martilli, A.; Tewari, M.; Chen, F. A Study of the Urban Boundary Layer Using Different Urban Parameterizations and High-Resolution Urban Canopy Parameters with WRF. J. Appl. Meteorol. Climatol. 2011, 50, 1107–1128. [Google Scholar] [CrossRef]
- Municipality of Patras. General Urban Plan of the Municipality of Patras; Municipality of Patras: Patras, Greece, 2011. [Google Scholar]
- Official Greek Government Gazette. Issue A.A.Π 358; Official Greek Government Gazette: Athens, Greece, 2011. [Google Scholar]
- Yang, Q.; Yuan, Q.; Li, T.; Shen, H.; Zhang, L. The Relationships between PM2.5 and Meteorological Factors in China: Seasonal and Regional Variations. Int. J. Environ. Res. Public Health 2017, 14, 1510. [Google Scholar] [CrossRef]
- Kirešová, S.; Guzan, M. Determining the Correlation between Particulate Matter PM10 and Meteorological Factors. Eng 2022, 3, 343–363. [Google Scholar] [CrossRef]
- Sagar, V.; Verma, G.; Das, R. Influence of Temperature and Relative Humidity on PM2.5 Concentration over Delhi. Mapan J. Metrol. Soc. India 2023. [Google Scholar] [CrossRef]
- Ding, J.; Dai, Q.; Zhang, Y.; Xu, J.; Huangfu, Y.; Feng, Y. Air humidity affects secondary aerosol formation in different pathways. Sci. Total Environ. 2021, 759, 143540. [Google Scholar] [CrossRef]
- Croft, B.; Lohmann, U.; Martin, R.V.; Stier, P.; Wurzler, S.; Feichter, J.; Hoose, C.; Heikkilä, U.; van Donkelaar, A.; Ferrachat, S. Influences of in-cloud aerosol scavenging parameterizations on aerosol concentrations and wet deposition in ECHAM5-HAM. Atmos. Chem. Phys. 2010, 10, 1511–1543. [Google Scholar] [CrossRef]
- Li, J.; Wang, W.; Li, K.; Zhang, W.; Peng, C.; Zhou, L.; Shi, B.; Chen, Y.; Liu, M.; Li, H.; et al. Temperature effects on optical properties and chemical composition of secondary organic aerosol derived from n-dodecane. Atmos. Chem. Phys. 2020, 20, 8123–8137. [Google Scholar] [CrossRef]
- Moriske, H.J.; Drews, M.; Ebert, G.; Menk, G.; Scheller, C.; Schöndube, M.; Konieczny, L. Indoor air pollution by different heating systems: Coal burning, open fireplace and central heating. Toxicol. Lett. 1996, 88, 349–354. [Google Scholar] [CrossRef]
- Stavroulas, I.; Grivas, G.; Michalopoulos, P.; Liakakou, E.; Bougiatioti, A.; Kalkavouras, P.; Fameli, K.M.; Hatzianastassiou, N.; Mihalopoulos, N.; Gerasopoulos, E. Field evaluation of low-cost PM sensors (Purple Air PA-II) under variable urban air quality conditions, in Greece. Atmosphere 2020, 11, 926. [Google Scholar] [CrossRef]
- Androniceanu, A.M.; Căplescu, R.D.; Tvaronavičienė, M.; Dobrin, C. The Interdependencies between Economic Growth, Energy Consumption and Pollution in Europe. Energies 2021, 14, 2577. [Google Scholar] [CrossRef]
- Hu, W.; Zhao, T.; Bai, Y.; Kong, S.; Xiong, J.; Sun, X.; Yang, Q.; Gu, Y.; Lu, H. Importance of regional PM2.5 transport and precipitation washout in heavy air pollution in the Twain-Hu Basin over Central China: Observational analysis and WRF-Chem simulation. Sci. Total Environ. 2021, 758, 143710. [Google Scholar] [CrossRef] [PubMed]
- Chen, Z.; Cheng, S.; Li, J.; Guo, X.; Wang, W.; Chen, D. Relationship between atmospheric pollution processes and synoptic pressure patterns in northern China. Atmos. Environ. 2008, 42, 6078–6087. [Google Scholar] [CrossRef]
- Clappier, A.; Martilli, A.; Grossi, P.; Thunis, P.; Pasi, F.; Krueger, B.C.; Calpini, B.; Graziani, G.; van den Bergh, H. Effect of Sea Breeze on Air Pollution in the Greater Athens Area. Part I: Numerical Simulations and Field Observations. J. Appl. Meteorol. 2000, 39, 546–562. [Google Scholar] [CrossRef]
- Yang, J.; Shi, B.; Shi, Y.; Marvin, S.; Zheng, Y.; Xia, G. Air pollution dispersal in high density urban areas: Research on the triadic relation of wind, air pollution, and urban form. Sustain. Cities Soc. 2020, 54, 101941. [Google Scholar] [CrossRef]
- PurpleAir. Available online: https://www2.purpleair.com (accessed on 1 September 2023).
- PurpleAir API. Available online: https://api.purpleair.com (accessed on 1 September 2023).
- Anastasiou, I. Giannisan/Purpleair. Available online: https://github.com/giannisan/purpleair (accessed on 1 September 2023).
- Kosmopoulos, G.; Salamalikis, V.; Pandis, S.; Yannopoulos, P.; Bloutsos, A.; Kazantzidis, A. Low-cost sensors for measuring airborne particulate matter: Field evaluation and calibration at a South-Eastern European site. Sci. Total Environ. 2020, 748, 141396. [Google Scholar] [CrossRef]
- Barkjohn, K.K.; Gantt, B.; Clements, A.L. Development and application of a United States-wide correction for PM2.5 data collected with the PurpleAir sensor. Atmos. Meas. Tech. 2021, 14, 4617–4637. [Google Scholar] [CrossRef] [PubMed]
- Virtanen, P.; Gommers, R.; Oliphant, T.E.; Haberland, M.; Reddy, T.; Cournapeau, D.; Burovski, E.; Peterson, P.; Weckesser, W.; Bright, J.; et al. SciPy 1.0: Fundamental Algorithms for Scientific Computing in Python. Nat. Methods 2020, 17, 261–272. [Google Scholar] [CrossRef] [PubMed]
- Kowalski, C.J. On the effects of non-normality on the distribution of the sample product-moment correlation coefficient. J. R. Stat. Soc. Ser. 1972, 21, 1–12. [Google Scholar] [CrossRef]
- Alolayan, M.A.; Brown, K.W.; Evans, J.S.; Bouhamra, W.S.; Koutrakis, P. Source apportionment of fine particles in Kuwait City. Sci. Total Environ. 2013, 448, 14–25. [Google Scholar] [CrossRef] [PubMed]
- Ardon-Dryer, K.; Dryer, Y.; Williams, J.N.; Moghimi, N. Measurements of PM2.5 with PurpleAir under atmospheric conditions. Atmos. Meas. Tech. 2020, 13, 5441–5458. [Google Scholar] [CrossRef]
- Holder, A.L.; Mebust, A.K.; Maghran, L.A.; McGown, M.R.; Stewart, K.E.; Vallano, D.M.; Elleman, R.A.; Baker, K.R. Field evaluation of low-cost particulate matter sensors for measuring wildfire smoke. Sensors 2020, 20, 4796. [Google Scholar] [CrossRef]
- Buck, A.L. New Equations for Computing Vapor Pressure and Enhancement Factor. J. Appl. Meteorol. Climatol. 1981, 20, 1527–1532. [Google Scholar] [CrossRef]
- Wundermap Sensors for Patras, Greece. Available online: https://www.wunderground.com/wundermap?lat=38.246&lon=21.735 (accessed on 1 September 2023).
- Anastasiou, I. Giannisan/Wunderground: Make Historical and Forecast Weather csv Datasets from Wunderground Personal Weather Stations (PWS). Available online: https://github.com/giannisan/wunderground (accessed on 1 September 2023).
- Cressman, G.P. An Operational Objective Analysis System. Mon. Weather Rev. 1959, 87, 367–374. [Google Scholar] [CrossRef]
- Barnes, S.L. A Technique for Maximizing Details in Numerical Weather Map Analysis. J. Appl. Meteorol. Climatol. 1964, 3, 396–409. [Google Scholar] [CrossRef]
- May, R.; Bruick, Z. MetPy: An community-driven, open-source python toolkit for meteorology. In Proceedings of the AGU Fall Meeting Abstracts, San Francisco, CA, USA, 9–13 December 2019; Volume 2019, p. NS21A-16. [Google Scholar]
- May, R.M.; Goebbert, K.H.; Thielen, J.E.; Leeman, J.R.; Camron, M.D.; Bruick, Z.; Bruning, E.C.; Manser, R.P.; Arms, S.C.; Marsh, P.T. MetPy: A meteorological Python library for data analysis and visualization. Bull. Am. Meteorol. Soc. 2022, 103, E2273–E2284. [Google Scholar] [CrossRef]
- Pappa, A.; Kioutsioukis, I. Forecasting particulate pollution in an urban area: From copernicus to sub-km scale. Atmosphere 2021, 12, 881. [Google Scholar] [CrossRef]
- Gokul, P.; Mathew, A.; Bhosale, A.; Nair, A.T. Spatio-temporal air quality analysis and PM2.5 prediction over Hyderabad City, India using artificial intelligence techniques. Ecol. Inform. 2023, 76, 102067. [Google Scholar] [CrossRef]
- Hochreiter, S.; Schmidhuber, J. Long Short-Term Memory. Neural Comput. 1997, 9, 1735–1780. Available online: https://direct.mit.edu/neco/article-pdf/9/8/1735/813796/neco.1997.9.8.1735.pdf (accessed on 1 September 2023). [CrossRef]
- Rumelhart, D.E.; Hinton, G.E.; Williams, R.J. Learning Internal Representations by Error Propagation; University of California San Diego: San Diego, CA, USA, 1985. [Google Scholar]
- Jordan, M.I. Serial order: A parallel distributed processing approach. In Advances in Psychology; Elsevier: Amsterdam, The Netherlands, 1997; Volume 121, pp. 471–495. [Google Scholar]
- Yu, Y.; Si, X.; Hu, C.; Zhang, J. A Review of Recurrent Neural Networks: LSTM Cells and Network Architectures. Neural Comput. 2019, 31, 1235–1270. [Google Scholar] [CrossRef] [PubMed]
- Paszke, A.; Gross, S.; Massa, F.; Lerer, A.; Bradbury, J.; Chanan, G.; Killeen, T.; Lin, Z.; Gimelshein, N.; Antiga, L.; et al. Pytorch: An imperative style, high-performance deep learning library. Adv. Neural Inf. Process. Syst. 2019, 32, 8024–8035. [Google Scholar]
- Kurochkin, A. KurochkinAlexey/IMV_LSTM. Available online: https://github.com/KurochkinAlexey/IMV_LSTM (accessed on 1 September 2023).
- Dimitriou, K.; Stavroulas, I.; Grivas, G.; Chatzidiakos, C.; Kosmopoulos, G.; Kazantzidis, A.; Kourtidis, K.; Karagioras, A.; Hatzianastassiou, N.; Pandis, S.N.; et al. Intra-and inter-city variability of PM2.5 concentrations in Greece as determined with a low-cost sensor network. Atmos. Environ. 2023, 301, 119713. [Google Scholar] [CrossRef]
- Laskari, M.; de Masi, R.F.; Karatasou, S.; Santamouris, M.; Assimakopoulos, M.N. On the impact of user behaviour on heating energy consumption and indoor temperature in residential buildings. Energy Build. 2022, 255, 111657. [Google Scholar] [CrossRef]
- Theodoridou, I.; Papadopoulos, A.M.; Hegger, M. Statistical analysis of the Greek residential building stock. Energy Build. 2011, 43, 2422–2428. [Google Scholar] [CrossRef]
- Schaffar, A.; Pavleas, S. The Evolution Of The Greek Urban Centers: 1951–2011. Reg. Dev. 2014, 39, 87–104. [Google Scholar]
- Climate Change Impacts on Air Quality. Available online: https://www.epa.gov/climateimpacts/climate-change-impacts-air-quality#:~:text=These%20changes%20worsen%20existing%20air,lead%20to%20higher%20indoor%20exposures (accessed on 1 September 2023).








| Spatial | Temporal | Meteorological | Auto-Regressive |
|---|---|---|---|
| MFR, MPD | H_cos, H_sin, D_cos, D_sin, M_cos, M_sin | RH, tempAvg, Pressure/pressureTrend, windGustAvg, windSpeedAvg, windDir_cos, windDir_sin, windSpeedVariance | Auto-regressive |
| id | N | a | b | ||||||||
|---|---|---|---|---|---|---|---|---|---|---|---|
| 741 | 17,467 | 0.93 | −0.77 | 0.9980 | 0.0 | 0.9949 | 0.0051 | 2.25 | 6.19 | 0.70 | 0.45 |
| 749 | 25,857 | 0.94 | −0.79 | 0.9970 | 0.0 | 0.9947 | 0.0053 | 1.23 | 3.36 | 0.59 | 0.32 |
| 1030 | 5389 | 0.81 | −1.20 | 0.9752 | 0.0 | 0.9714 | 0.0286 | 7.71 | 17.93 | 3.31 | 9.75 |
| 1566 | 29,080 | 0.96 | −0.28 | 0.9970 | 0.0 | 0.9970 | 0.0030 | 0.69 | 4.38 | 0.36 | 0.12 |
| 1672 | 30,835 | 1.08 | 0.06 | 0.9980 | 0.0 | 0.9955 | 0.0045 | 1.33 | 4.25 | 0.49 | 0.23 |
| 1712 | 29,580 | 1.04 | 0.52 | 0.9968 | 0.0 | 0.9959 | 0.0041 | 2.08 | 11.48 | 0.65 | 0.41 |
| 5078 | 26,040 | 1.00 | 0.15 | 0.9984 | 0.0 | 0.9965 | 0.0035 | 1.45 | 7.88 | 0.57 | 0.31 |
| 5092 | 22,542 | 0.94 | 0.37 | 0.9985 | 0.0 | 0.9970 | 0.0030 | 2.33 | 10.03 | 0.53 | 0.27 |
| 14857 | 25,990 | 1.05 | −0.61 | 0.9986 | 0.0 | 0.9976 | 0.0024 | 1.68 | 7.57 | 0.59 | 0.32 |
| 14877 | 23,250 | 0.97 | −0.42 | 0.9991 | 0.0 | 0.9979 | 0.0021 | 1.12 | 2.84 | 0.43 | 0.18 |
| 23759 | 22,756 | 1.03 | 0.21 | 0.9975 | 0.0 | 0.9943 | 0.0057 | 2.00 | 9.38 | 0.49 | 0.23 |
| 30765 | 18,232 | 0.99 | −0.44 | 0.9971 | 0.0 | 0.9970 | 0.0030 | 0.89 | 8.33 | 0.33 | 0.10 |
| 56113 | 10,647 | 0.98 | 0.69 | 0.9958 | 0.0 | 0.9942 | 0.0058 | 1.66 | 4.91 | 0.56 | 0.29 |
| 56229 | 8001 | 1.05 | 0.45 | 0.9982 | 0.0 | 0.9945 | 0.0055 | 1.87 | 13.43 | 0.72 | 0.49 |
| 56453 | 10,632 | 0.86 | −0.54 | 0.9992 | 0.0 | 0.9951 | 0.0049 | 2.18 | 11.71 | 0.44 | 0.19 |
| 57523 | 5367 | 0.99 | −0.49 | 0.9997 | 0.0 | 0.9991 | 0.0009 | 0.82 | 4.84 | 0.35 | 0.12 |
| 101589 | 5248 | 1.01 | −1.02 | 0.9997 | 0.0 | 0.9988 | 0.0012 | 1.25 | 3.05 | 0.58 | 0.31 |
| 101597 | 5791 | 1.11 | 0.02 | 0.9980 | 0.0 | 0.9980 | 0.0020 | 1.32 | 7.72 | 0.48 | 0.22 |
| 101609 | 4927 | 1.08 | 0.11 | 0.9994 | 0.0 | 0.9989 | 0.0011 | 1.62 | 6.11 | 0.48 | 0.22 |
| 101611 | 7516 | 0.91 | 0.74 | 0.9956 | 0.0 | 0.9978 | 0.0022 | 2.98 | 37.17 | 0.56 | 0.29 |
| 146920 | 1154 | 0.91 | −0.33 | 0.9956 | 0.0 | 0.9957 | 0.0043 | 0.60 | 0.93 | 0.29 | 0.08 |
| N/A | Features | Look-Back Time Window | Predict Window | Learning Rate () | Steps | RMSE | MAE | |
|---|---|---|---|---|---|---|---|---|
| 1 | General—hourly | 24 h | 24 h | 7 | 0.5 | 45 | ||
| 2 | General—hourly | 24 h | 24 h | 5 | 0.5 | 45 | ||
| 3 | General—hourly | 24 h | 24 h | 4.5 | 0.5 | 65 | ||
| 4 | Basic—hourly | 48 h | 24 h | 20 | 0.5 | 35 | ||
| 5 | Standard—daily | 7 d | 7 d | 5 | 0.5 | 55 | ||
| 6 | Standard—daily | 24 d | 10 d | 5 | 0.5 | 55 |
Disclaimer/Publisher’s Note: The statements, opinions and data contained in all publications are solely those of the individual author(s) and contributor(s) and not of MDPI and/or the editor(s). MDPI and/or the editor(s) disclaim responsibility for any injury to people or property resulting from any ideas, methods, instructions or products referred to in the content. |
© 2023 by the authors. Licensee MDPI, Basel, Switzerland. This article is an open access article distributed under the terms and conditions of the Creative Commons Attribution (CC BY) license (https://creativecommons.org/licenses/by/4.0/).
Share and Cite
Anagnostopoulos, F.K.; Rigas, S.; Papachristou, M.; Chaniotis, I.; Anastasiou, I.; Tryfonopoulos, C.; Raftopoulou, P. A Novel AI Framework for PM Pollution Prediction Applied to a Greek Port City. Atmosphere 2023, 14, 1413. https://doi.org/10.3390/atmos14091413
Anagnostopoulos FK, Rigas S, Papachristou M, Chaniotis I, Anastasiou I, Tryfonopoulos C, Raftopoulou P. A Novel AI Framework for PM Pollution Prediction Applied to a Greek Port City. Atmosphere. 2023; 14(9):1413. https://doi.org/10.3390/atmos14091413
Chicago/Turabian StyleAnagnostopoulos, Fotios K., Spyros Rigas, Michalis Papachristou, Ioannis Chaniotis, Ioannis Anastasiou, Christos Tryfonopoulos, and Paraskevi Raftopoulou. 2023. "A Novel AI Framework for PM Pollution Prediction Applied to a Greek Port City" Atmosphere 14, no. 9: 1413. https://doi.org/10.3390/atmos14091413
APA StyleAnagnostopoulos, F. K., Rigas, S., Papachristou, M., Chaniotis, I., Anastasiou, I., Tryfonopoulos, C., & Raftopoulou, P. (2023). A Novel AI Framework for PM Pollution Prediction Applied to a Greek Port City. Atmosphere, 14(9), 1413. https://doi.org/10.3390/atmos14091413

