Precipitation Extremes and Their Links with Regional and Local Temperatures: A Case Study over the Ottawa River Basin, Canada
Abstract
1. Introduction
2. Data and Methods
2.1. Study Region
- Domain #1 covers a large area located between 40 and 50 °N in latitude and between 82 and 72 °W in longitude. It encompasses the southern part of the provinces of Québec and Ontario, and the northeastern part of the United States. It was chosen to compare the spatial distribution of the scaling factor (α) in the sub-domain #2 with the surrounding areas.
- Domain #2 corresponds to the Ottawa River Basin (ORB) itself. Located in southeastern Canada, the ORB occupies an area of 146,334 km2, of which 65% is in Québec and 35% in Ontario [56]. The forest represents 77% of the total surface coverage, 19% corresponds to the hydrographic network (rivers, lakes, and wetlands), while agricultural and urban areas occupy 3% and 1% of the territory [57]. Domain #2 corresponds to the main area of our study used for the analysis of precipitation–temperature scaling.
- Domain #3 corresponds to a small area within the ORB area, extending between 46 and 47 °N and 77 and 76 °W. It was chosen for the analysis of the links between extreme precipitation and the atmospheric circulation in summer.
2.2. Data
2.3. Precipitation–Temperature Scaling Approach
2.4. Analysis of the Links between Precipitation Extremes and Atmospheric Circulation in Summer
3. Results
3.1. Annual Behavior of the Scaling Factor (α) between Extreme Precipitation and Daily Temperature
3.2. Spatial Distribution of the Scaling Factor α at the Annual Scale
3.3. Seasonal Variability of the Scaling Factor α
3.4. Hook-Shaped Behavior in Summer: Dynamical Explanation
3.4.1. Situation A: Tmean < 15 °C
3.4.2. Situation B: 15 °C ≤ Tmean ≤ 25 °C
3.4.3. Situation C: Tmean > 25 °C
3.5. Behavior of the CC Scaling Factor from the Highest Resolution (CRCM6/GEM5 Simulation)
4. Conclusions
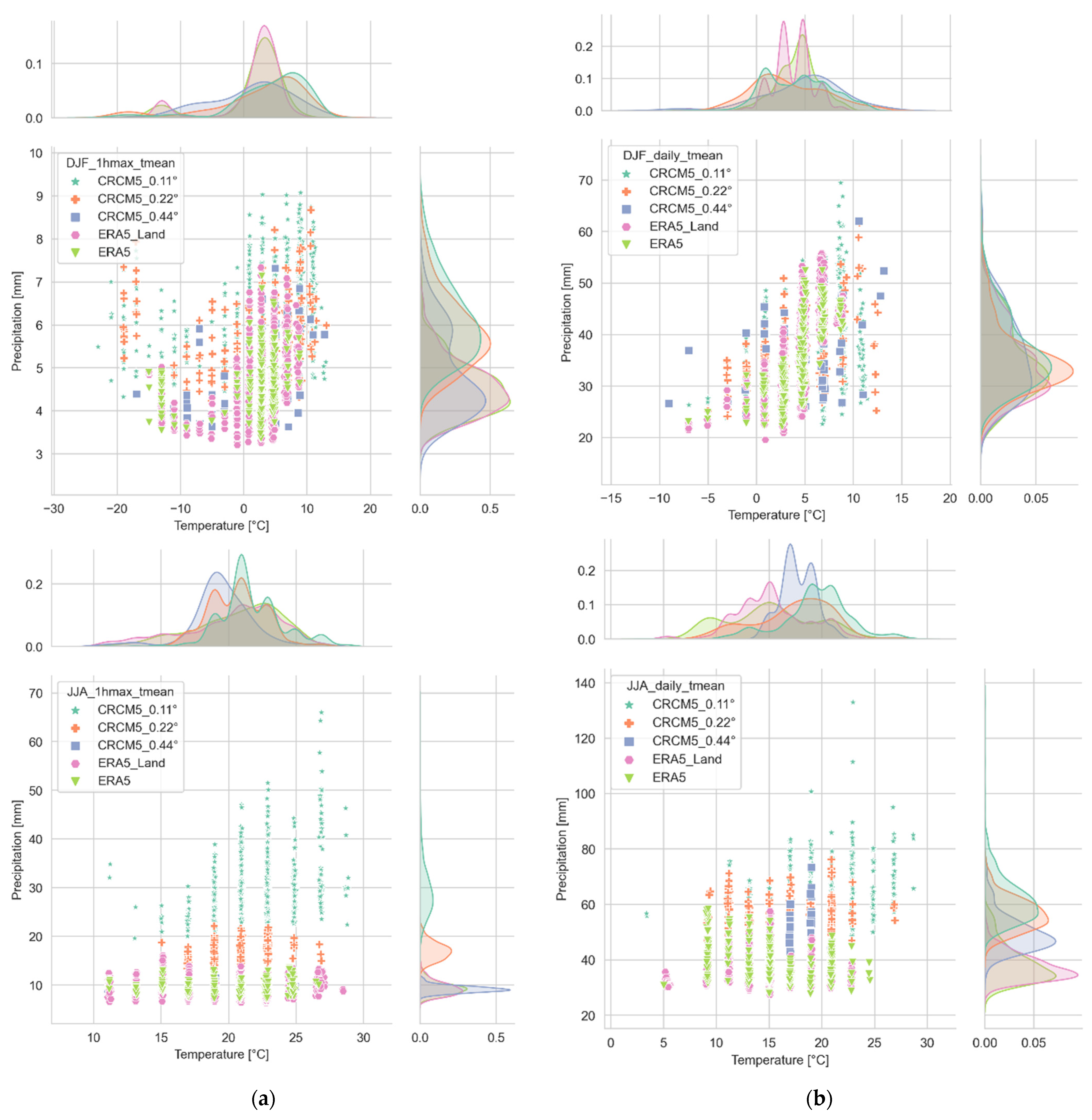
- The daily precipitation follows a rate of change lower than the CC scaling factor, while hourly precipitation increases more rapidly with temperature, demonstrating the importance of timescale in the studies that address the CC relation.
- For the CRCM5 simulations at higher spatial resolution (0.11°), the rates of change obtained were higher than the CC rate of 6.8%/°C, even 10.2%/°C for hourly extreme precipitation, also known as super-CC.
- The added value of the high resolution of the model seems quite substantial, although it needs to be validated with reliable observed hourly (or sub-hourly) data. The use of higher resolution models allows a better spatial representation of the precipitation events on a seasonal scale, especially for events of a convective nature.
- For the CRCM5 simulations, hourly and daily precipitation increases with temperature up to a threshold of around 20–22 °C, and then it decreases. This hook-shaped behavior was not identified with the reanalysis data, which seem to systematically underestimate the most intense precipitation events, and the relation was always sub-CC in such a case, even for hourly precipitation.
- For the winter season, the extreme precipitation shows a slight increase in temperature, while the summer period is associated with the hook behavior.
- The moisture-holding capacity of the atmosphere, described from the CC equation, is the dominant factor for temperatures up to 20 °C, but not necessarily above this threshold, when it is essential to take into account other factors, such as the availability of humidity at the time of the precipitation event in relation to the water-holding capacity of the atmosphere. The presence of dynamic mechanisms that promote upward vertical motions and provide the cooling needed to produce saturation is also a key factor to consider, as noted in previous studies.
- Using the average daily temperature instead of the temperature at the time of the precipitation event can have a non-negligible effect on the peak of the frequency distribution of the maximum percentile of precipitation (P99_max).
- For the CRCM6 simulation at higher resolution (2.5 km), the rate of change, on average, was close to the relationship of CC for hourly precipitation and sub-CC for daily precipitation. Regarding the intra-seasonal analysis, the results were also similar to those of the CRCM5 (0.11°), but with slightly higher magnitude or extreme precipitations for the finer scale model.
Author Contributions
Funding
Institutional Review Board Statement
Informed Consent Statement
Data Availability Statement
Acknowledgments
Conflicts of Interest
References
- Schroeer, K.; Kirchengast, G. Sensitivity of extreme precipitation to temperature: The variability of scaling factors from a regional to local perspective. Clim. Dyn. 2017, 50, 3981–3994. [Google Scholar] [CrossRef]
- Elahi, E.; Khalid, Z.; Tauni, M.Z.; Zhang, H.; Lirong, X. Extreme weather events risk to crop-production and the adaptation of innovative management strategies to mitigate the risk: A retrospective survey of rural Punjab, Pakistan. Technovation 2022, 117, 102255. [Google Scholar] [CrossRef]
- Wijeratne, V.P.I.S.; Li, G.; Mehmood, M.S.; Abbas, A. Assessing the Impact of Long-Term ENSO, SST, and IOD Dynamics on Extreme Hydrological Events (EHEs) in the Kelani River Basin (KRB), Sri Lanka. Atmosphere 2022, 14, 79. [Google Scholar] [CrossRef]
- Wallemacq, P. Economic Losses, Poverty & Disasters: 1998–2017; Centre for Research on the Epidemiology of Disasters, CRED: Brussels, Belgium, 2018; 30p. [Google Scholar]
- WMO. Atlas of Mortality and Economic Losses from Weather, Climate and Water Extremes (1970–2019); WMO-No. 1267; WMO: Geneva, Switzerland, 2021; 90p. [Google Scholar]
- Poitras, V. Étude des Débits des Cours d’eau Canadiens Dans un Climat Changeant Université du Québec à Montréal. WorldCat.org. Montréal. 2010. Available online: https://central.bac-lac.gc.ca/.item?id=TC-QMUQ-3592&op=pdf&app=Library (accessed on 23 April 2021).
- Benoit, C.; Demers, I.; Roberge, F.; Gachon, P.; et Laprise, R. Inondations des Printemps 2017 et 2019 Dans le Bassin Versant de la Rivière des Outaouais (Québec, Canada): Analyse des Facteurs Physiographiques et Météorologiques en Cause; Buffin-Bélanger, T., Maltais, D., Mario, M., Eds.; Les inondations au Québec: Risques, aménagement du territoire, impacts socioéconomiques et transformation des vulnérabilités; Presse de l’Université du Québec: Québec City, QC, Canada, 2022; pp. 29–58. [Google Scholar]
- Trenberth, K.E. Changes in precipitation with climate change. Clim. Res. 2011, 47, 123–138. [Google Scholar] [CrossRef]
- Bonsal, B.R.; Peters, D.L.; Seglenieks, F.R.A.; Berg, A. Changes in Freshwater Availability across Canada; Chapter 6 in Canada’s Changing Climate Report; Bush, E., Lemmen, D.S., Eds.; Government of Canada: Ottawa, ON, Canada, 2019; pp. 261–342. [Google Scholar]
- Bonsal, B.R.; Dibike, Y.B.; Peters, D.L.; Shrestha, R.R. Special Issue: Past and Future Trends and Variability in Hydro-Climatic Processes. Water 2021, 13, 2199. [Google Scholar] [CrossRef]
- INSPQ. Événements Météorologiques Extrêmes. 2020. Available online: http://www.monclimatmasante.qc.ca/%C3%A9v%C3%A9nements-extr%C3%AAmes.aspx#:~:text=Les%20inondations%20%3A%20Au%20Qu%C3%A9bec%2C%20les,indirects%20sur%20les%20populations%20et (accessed on 15 June 2022).
- Drobinski, P.; Da Silva, N.; Panthou, G.; Bastin, S.; Muller, C.; Ahrens, B.; Borga, M.; Conte, D.; Fosser, G.; Giorgi, F.; et al. Scaling precipitation extremes with temperature in the Mediterranean: Past climate assessment and projection in anthropogenic scenarios. Clim. Dyn. 2016, 51, 1237–1257. [Google Scholar] [CrossRef]
- Lenderink, G.; van Meijgaard, E. Increase in hourly precipitation extremes beyond expectations from temperature changes. Nat. Geosci. 2008, 1, 511–514. [Google Scholar] [CrossRef]
- Jones, R.H.; Westra, S.; Sharma, A. Observed relationships between extreme sub-daily precipitation, surface temperature, and relative humidity. Geophys. Res. Lett. 2010, 37, L22805. [Google Scholar] [CrossRef]
- Utsumi, N.; Seto, S.; Kanae, S.; Maeda, E.E.; Oki, T. Does higher surface temperature intensify extreme precipitation? Geophys. Res. Lett. 2011, 38. [Google Scholar] [CrossRef]
- Trenberth, K.E. Conceptual Framework for Changes of Extremes of the Hydrological Cycle with Climate Change. Clim. Chang. 1999, 42, 327–339. [Google Scholar] [CrossRef]
- Allen, M.R.; Ingram, W.J. Constraints on future changes in climate and the hydrologic cycle. Nature 2002, 419, 224–232. [Google Scholar] [CrossRef] [PubMed]
- Emori, S.; Brown, S.J. Dynamic and thermodynamic changes in mean and extreme precipitation under changed climate. Geophys. Res. Lett. 2005, 32. [Google Scholar] [CrossRef]
- Pall, P.; Allen, M.R.; Stone, D.A. Testing the Clausius–Clapeyron constraint on changes in extreme precipitation under CO2 warming. Clim. Dyn. 2006, 28, 351–363. [Google Scholar] [CrossRef]
- Magan, B.; Kim, S.; Wasko, C.; Barbero, R.; Moron, V.; Nathan, R.; Sharma, A. Impact of atmospheric circulation on the rainfall-temperature relationship in Australia. Environ. Res. Lett. 2020, 15, 094098. [Google Scholar] [CrossRef]
- WMO. State of the Global Climate 2021. 2022. Available online: https://library.wmo.int/doc_num.php?explnum_id=11178 (accessed on 13 August 2022).
- IPCC. Climate Change 2021: The Physical Science Basis. Contribution of Working Group I to the Sixth Assessment Report of the Intergovernmental Panel on Climate Change; Masson-Delmotte, V., Zhai, A.P., Pirani, S.L., Connors, C., Péan, S., Berger, N., Caud, Y., Chen, L., Goldfarb, M.I., Gomis, M., et al., Eds.; Cambridge University Press: Cambridge, UK; New York, NY, USA, 2021. [Google Scholar] [CrossRef]
- IPCC. Climate Change 2013: The Physical Science Basis. Contribution of Working Group I to the Fifth Assessment Report of the Intergovernmental Panel on Climate Change; Stocker, T.F., Qin, G.-K.D., Plattner, M., Tignor, S.K., Allen, J., Boschung, A., Nauels, Y., Xia, V.B., Midgley, P.M., Eds.; Cambridge University Press: Cambridge, UK; New York, NY, USA, 2013; 1535p. [Google Scholar] [CrossRef]
- IPCC. Global Warming of 1.5 °C. In An IPCC Special Report on the Impacts of Global Warming of 1.5 °C above Pre-Industrial Levels and Related Global Greenhouse Gas Emission Pathways, in the Context of Strengthening the Global Response to the Threat of Climate Change, Sustainable Development, and Efforts to Eradicate Poverty; Masson-Delmotte, P.V., Zhai, H.O., Pörtner, D., Roberts, J., Skea, P.R., Shukla, A., Pirani, W., Moufouma-Okia, C., Péan, R., Pidcock, S., et al., Eds.; IPCC: Geneva, Switzerland, 2018; In Press. [Google Scholar]
- Groisman, P.Y.; Knight, R.W.; Easterling, D.R.; Karl, T.R.; Hegerl, G.C.; Razuvaev, V.N. Trends in Intense Precipitation in the Climate Record. J. Clim. 2005, 18, 1326–1350. [Google Scholar] [CrossRef]
- Westra, S.J.; Fowler, H.J.; Evans, J.P.; Alexander, L.V.; Berg, P.R.; Johnson, F.; Kendon, E.J.; Lenderink, G.; Roberts, N.M. Future changes to the intensity and frequency of short-duration extreme rainfall. Rev. Geophys. 2014, 52, 522–555. [Google Scholar] [CrossRef]
- Haerter, J.O.; Berg, P.; Hagemann, S. Heavy rain intensity distributions on varying time scales and at different temperatures. J. Geophys. Res. Atmos. 2010, 115. [Google Scholar] [CrossRef]
- Lenderink, G.; Mok, H.Y.; Lee, T.C.; van Oldenborgh, G.J. Scaling and trends of hourly precipitation extremes in two different climate zones—Hong Kong and the Netherlands. Hydrol. Earth Syst. Sci. 2011, 15, 3033–3041. [Google Scholar] [CrossRef]
- Panthou, G.; Mailhot, A.; Laurence, E.; Talbot, G. Relationship between Surface Temperature and Extreme Rainfalls: A Multi-Time-Scale and Event-Based Analysis. J. Hydrometeorol. 2014, 15, 1999–2011. [Google Scholar] [CrossRef]
- Haerter, J.O.; Berg, P. Unexpected rise in extreme precipitation caused by a shift in rain type? Nat. Geosci. 2009, 2, 372–373. [Google Scholar]
- Shaw, S.B.; Royem, A.A.; Riha, S.J. The Relationship between Extreme Hourly Precipitation and Surface Temperature in Different Hydroclimatic Regions of the United States. J. Hydrometeorol. 2011, 12, 319–325. [Google Scholar] [CrossRef]
- Mishra, V.; Wallace, J.M.; Lettenmaier, D.P. Relationship between hourly extreme precipitation and local air temperature in the United States. Geophys. Res. Lett. 2012, 39. [Google Scholar] [CrossRef]
- Dai, A.; Trenberth, K.E.; Karl, T.R. Effects of clouds, soil moisture, precipitation, and water vapor on diurnal temperature range. J. Clim. 1999, 12, 2451–2473. [Google Scholar] [CrossRef]
- Zhao, W.; Khalil, M.A.K. The Relationship between Precipitation and Temperature over the Contiguous United States. J. Clim. 1993, 6, 1232–1236. [Google Scholar] [CrossRef]
- Vautard, R.; Yiou, P.; D’Andrea, F.; de Noblet, N.; Viovy, N.; Cassou, C.; Polcher, J.; Ciais, P.; Kageyama, M.; Fan, Y. Summertime European heat and drought waves induced by wintertime Mediterranean rainfall deficit. Geophys. Res. Lett. 2007, 34. [Google Scholar] [CrossRef]
- Wazneh, H.; Arain, M.A.; Coulibaly, P.; Gachon, P. Evaluating the Dependence between Temperature and Precipitation to Better Estimate the Risks of Concurrent Extreme Weather Events. Adv. Meteorol. 2020, 8763631. [Google Scholar] [CrossRef]
- Trenberth, K.E.; Shea, D.J. Relationships between precipitation and surface temperature. Geophys. Res. Lett. 2005, 32. [Google Scholar] [CrossRef]
- Trenberth, K.E.; Dai, A.; Rasmussen, R.M.; Parsons, D.B. The changing character of precipitation. Bull. Am. Meteorol. Soc. 2003, 84, 1205–1218. [Google Scholar] [CrossRef]
- D’Orgeville, M.; Peltier, W.R.; Erler, A.R.; Gula, J. Climate change impacts on Great Lakes Basin precipitation extremes. J. Geophys. Res. Atmos. 2014, 119, 10799–10812. [Google Scholar] [CrossRef]
- Drobinski, P.; Alonzo, B.; Bastin, S.; Silva, N.D.; Muller, C. Scaling of precipitation extremes with temperature in the French Mediterranean region: What explains the hook shape? J. Geophys. Res. Atmos. 2016, 121, 3100–3119. [Google Scholar]
- Cannon, A.J.; Innocenti, S. Projected intensification of sub-daily and daily rainfall extremes in convection-permitting climate model simulations over North America: Implications for future intensity duration–frequency curves. Nat. Hazards Earth Syst. Sci. 2019, 19, 421–440. [Google Scholar] [CrossRef]
- Oh, S.-G.; Sushama, L. Short-duration precipitation extremes over Canada in a warmer climate. Clim. Dyn. 2020, 54, 2493–2509. [Google Scholar] [CrossRef]
- Berthou, S.; Kendon, E.J.; Chan, S.C.; Ban, N.; Leutwyler, D.; Schär, C.; Fosser, G. Pan-European climate at convection-permitting scale: A model intercomparison study. Clim. Dyn. 2018, 55, 35–59. [Google Scholar] [CrossRef]
- Prein, A.F.; Rasmussen, R.M.; Ikeda, K.; Liu, C.; Clark, M.P.; Holland, G.J. The future intensification of hourly precipitation extremes. Nat. Clim. Chang. 2017, 7, 48–52. [Google Scholar] [CrossRef]
- Knist, S.; Goergen, K.; Simmer, C. Evaluation and projected changes of precipitation statistics in convection-permitting WRF climate simulations over Central Europe. Clim. Dyn. 2020, 55, 325–341. [Google Scholar] [CrossRef]
- Lenderink, G.; de Vries, H.; Fowler, H.J.; Barbero, R.; van Ulft, B.; van Meijgaard, E. Scaling and responses of extreme hourly precipitation in three climate experiments with a convection-permitting model. Philos. Trans. R. Soc. A 2021, 379, 20190544. [Google Scholar] [CrossRef]
- Fosser, G.; Adinolfi, M.; Ban, N.; Belušić, D.; Caillaud, C.; Cardoso, R.M.; Coppola, E.; Demory, M.-E.; De Vries, H.; Dobler, A. Convection-permitting climate models Offer More Certain Extreme Rainfall Projections. In Proceedings of the Copernicus Meetings, EGU General Assembly, Vienna, Austria, 23–27 May 2022; p. EGU22-7679. [Google Scholar] [CrossRef]
- Luu, L.N.; Vautard, R.; Yiou, P.; Soubeyroux, J.-M. Evaluation of convection-permitting extreme precipitation simulations for the south of France. Earth Syst. Dyn. 2022, 13, 687–702. [Google Scholar] [CrossRef]
- Cong, R.-G.; Brady, M. The Interdependence between Rainfall and Temperature: Copula Analyses. Sci. World J. 2012, 2012, 405675. [Google Scholar] [CrossRef]
- ECCC. Rapport de Données Quotidiennes Pour Juin 2021. 2022. Available online: https://climat.meteo.gc.ca/climate_data/daily_data_f.html?hlyRange=1994-02-01%7C2023-07-02&dlyRange=1994-07-26%7C2023-07-01&mlyRange=%7C&StationID=10868&Prov=QC&urlExtension=_f.html&searchType=stnName&optLimit=yearRange&Star-tYear=1840&EndYear=2023&selRowPerPage=25&Line=0&searchMethod=contains&txtStationName=st-jovite&timeframe=2&Day=2&Year=2021&Month=6# (accessed on 17 June 2022).
- Aleshina, M.; Semenov, V.A.; Chernokulsky, A.V. A link between surface air temperature and extreme precipitation over Russia from station and reanalysis data. Environ. Res. Lett. 2021, 16, 105004. [Google Scholar] [CrossRef]
- Ali, H.; Fowler, H.J.; Pritchard, D.; Lenderink, G.; Blenkinsop, S.; Lewis, E. Towards Quantifying the Uncertainty in Estimating Observed Scaling Rates. Geophys. Res. Lett. 2022, 49, e2022GL099138. [Google Scholar] [CrossRef] [PubMed]
- Aleshina, M.; Semenov, V. Observed extreme precipitation-temperature scaling in Russia during 1961–2017. In Proceedings of the 26th International Symposium on Atmospheric and Ocean Optics, Atmospheric Physics, Moscow, Russia, 29 June–3 July 2020; SPIE: Bellingham, WA, USA, 2020; pp. 1445–1449. [Google Scholar]
- Hersbach, H.; Bell, B.; Berrisford, P.; Hirahara, S.; Horányi, A.; Muñoz-Sabater, J.; Nicolas, J.; Peubey, C.; Radu, R.; Schepers, D. The ERA5 global reanalysis. Q. J. R. Meteorol. Soc. 2020, 146, 1999–2049. [Google Scholar] [CrossRef]
- Muñoz-Sabater, J.; Dutra, E.; Agustí-Panareda, A.; Albergel, C.; Arduini, G.; Balsamo, G.; Boussetta, S.; Choulga, M.; Harrigan, S.; Hersbach, H.; et al. ERA5-Land: A state-of-the-art global reanalysis dataset for land applications. Earth Syst. Sci. Data 2021, 13, 4349–4383. [Google Scholar] [CrossRef]
- Ministère du Développement Durable, de l’Environnement et de la Lutte Contre les Changements Climatiques. Portrait Sommaire du Bassin Versant de la Rivière des Outaouais. Quebec, Canada 2015, 51. Available online: http://www.mddelcc.gouv.qc.ca/eau/bassinversant/bassins/outaouais/portraitsommaire.pdf (accessed on 5 September 2022).
- ECCC. Examen de la Gouvernance, des Données Existantes, des Indicateurs Potentiels et des Valeurs dans le bassin Versant de la rivière des Outaouais; Environnement et Changement Climatique Canada: Gatineau, QC, Canada, 2019; Volume 296, ISBN 9780660310541. Available online: https://publications.gc.ca/collections/collection_2019/eccc/En4-373-2019-fra.pdf (accessed on 24 October 2022).
- Ressources naturelles Canada (RNCan) (2016). Réseau hydro national – RHN – Série GéoBase, [En ligne]. Ottawa: Licence du gouvernement ouvert – Canada, Version Updated on 07 November, 2022. Available online: https://ouvert.canada.ca/data/fr/dataset/a4b190fe-e090-4e6d-881e-b87956c07977 (accessed on 27 June 2023).
- National Aeronautics and Space Administration (NASA) Shuttle Radar Topography Mission. 2016. Available online: https://www2.jpl.nasa.gov/srtm/mission.htm (accessed on 17 January 2021).
- Laprise, R.; Hernández-Díaz, L.; Tete, K.; Sushama, L.; Šeparović, L.; Martynov, A.; Winger, K.; Valin, M. Climate projections over CORDEX Africa domain using the fifth-generation Canadian Regional Climate Model (CRCM5). Clim. Dyn. 2013, 41, 3219–3246. [Google Scholar] [CrossRef]
- Hernández-Díaz, L.; Nikiéma, O.; Laprise, R.; Winger, K.; Dandoy, S. Effect of empirical correction of sea-surface temperature biases on the CRCM5-simulated climate and projected climate changes over North America. Clim. Dyn. 2019, 53, 453–476. [Google Scholar] [CrossRef]
- Ogden, N.; Gachon, P. Climate change and infectious diseases: What can we expect? CCDR 2019, 45, 4. [Google Scholar] [CrossRef]
- Giorgi, F.; Jones, C.; Asrar, G.R. Addressing climate information needs at the regional level: The CORDEX framework. World Meteorol. Organ. (WMO) Bull. 2009, 58, 175. [Google Scholar]
- Jones, C.; Giorgi, F.; Asrar, G. The coordinated regional downscaling experiment (CORDEX). An international downscaling link to CMIP5. CLIVAR Exch. 2011, 56. [Google Scholar]
- Côté, G.S.; Méthot, A.; Patoine, A.; Roch, M.; Staniforth, A. The operational CMC–MRB global environmental multiscale (GEM) model. Part I: Design considerations and formulation. Mon. Weather Rev. 1998, 126, 1373–1395. [Google Scholar]
- Côté, D.J.G.; Gravel, S.; Méthot, A.; Patoine, A.; Roch, M.; Staniforth, A. The operational CMC–MRB global environmental multiscale (GEM) model. Part II: Results. Mon. Weather Rev. 1998, 126, 1397–1418. [Google Scholar] [CrossRef]
- Verseghy, D.L. CLASS—The Canadian land surface scheme (v.3.6.2), Climate Research Division, Science and Technology Branch, Environment Canada. 2017. Available online: https://cccma.gitlab.io/classic_pages/info/class/ (accessed on 10 February 2023).
- Martynov, A.; Sushama, L.; Laprise, R.; Winger, K.; Dugas, B. Interactive lakes in the Canadian Regional Climate Model, version 5: The role of lakes in the regional climate of North America. Tellus A: Dyn. Meteorol. Oceanogr. 2012, 64, 16226. [Google Scholar] [CrossRef]
- Martynov, A.; Laprise, R.; Sushama, L.; Winger, K.; Šeparović, L.; Dugas, B. Reanalysis-driven climate simulation over CORDEX North America domain using the Canadian Regional Climate Model, version 5: Model performance evaluation. Clim. Dyn. 2013, 41, 2973–3005. [Google Scholar] [CrossRef]
- Šeparović, L.; Alexandru, A.; Laprise, R.; Martynov, A.; Sushama, L.; Winger, K.; Tete, K.; Valin, M. Present climate and climate change over North America as simulated by the fifth-generation Canadian regional climate model. Clim. Dyn. 2013, 41, 3167–3201. [Google Scholar] [CrossRef]
- Mearns, L.; McGinnis, S.; Korytina, D.; Arritt, R.; Biner, S.; Bukovsky, M.; Chang, H.; Christensen, O.; Herzmann, D.; Jiao, Y. The NA-CORDEX Dataset, Version 1.0; NCAR Climate Data Gateway: Boulder, CO, USA, 2017. [Google Scholar] [CrossRef]
- Dee, D.P.; Uppala, S.M.; Simmons, A.J.; Berrisford, P.; Poli, P.; Kobayashi, S.; Andrae, U.; Balmaseda, M.A.; Balsamo, G.; Bauer, P.; et al. The ERA-Interim reanalysis: Configuration and performance of the data assimilation system. Q. J. R. Meteorol. Soc. 2011, 137, 553–597. [Google Scholar] [CrossRef]
- Girard, C.; Plante, A.; Desgagné, M.; McTaggart-Cowan, R.; Côté, J.; Charron, M.; Gravel, S.; Lee, V.; Patoine, A.; Qaddouri, A. Staggered vertical discretization of the Canadian Environmental Multiscale (GEM) model using a coordinate of the log-hydrostatic-pressure type. Mon. Weather Rev. 2014, 142, 1183–1196. [Google Scholar] [CrossRef]
- McTaggart-Cowan, R.; Vaillancourt, P.; Zadra, A.; Chamberland, S.; Charron, M.; Corvec, S.; Milbrandt, J.; Paquin-Ricard, D.; Patoine, A.; Roch, M. Modernization of atmospheric physics parameterization in Canadian NWP. J. Adv. Model. Earth Syst. 2019, 11, 3593–3635. [Google Scholar] [CrossRef]
- Verseghy, D.L. Class-A Canadian land surface scheme for GCMS. I. Soil model. Int. J. Clim. 2007, 11, 111–133. [Google Scholar] [CrossRef]
- Verseghy, D.L.; McFarlane, N.A.; Lazare, M. Class—A Canadian land surface scheme for GCMS, II. Vegetation model and coupled runs. Int. J. Clim. 1993, 13, 347–370. [Google Scholar] [CrossRef]
- Verseghy, D.L. The Canadian land surface scheme (CLASS): Its history and future. Atmos. Ocean 2000, 38, 1–13. [Google Scholar] [CrossRef]
- Morrison, H.; Milbrandt, J.A. Parameterization of Cloud Microphysics Based on the Prediction of Bulk Ice Particle Properties. Part I: Scheme Description and Idealized Tests. J. Atmos. Sci. 2015, 72, 287–311. [Google Scholar] [CrossRef]
- Milbrandt, J.A.; Morrison, H. Parameterization of Cloud Microphysics Based on the Prediction of Bulk Ice Particle Properties. Part III: Introduction of Multiple Free Categories. J. Atmos. Sci. 2016, 73, 975–995. [Google Scholar] [CrossRef]
- Jouan, C.; Milbrandt, J.A.; Vaillancourt, P.A.; Chosson, F.; Morrison, H. Adaptation of the Predicted Particles Properties (P3) Microphysics Scheme for Large-Scale Numerical Weather Prediction. Weather. Forecast. 2020, 35, 2541–2565. [Google Scholar] [CrossRef]
- C3S. ERA5: Fifth generation of ECMWF atmospheric reanalyses of the global climate. Copernicus Climate Change Service Climate Data Store (CDS). Available online: https://cds.climate.copernicus.eu/cdsapp#!/home (accessed on 28 May 2020).
- ECCC. MANCLIM Manuel D’observations Climatologiques; 2013. Available online: https://publications.gc.ca/site/archivee-archived.html?url=https://publications.gc.ca/collections/collection_2012/ec/En56-238-3-2012-fra.pdf (accessed on 26 October 2022).
- Nguyen, H.-L.; Nguyen, T.-H.; Nguyen, V.-T.-V. Evaluation of Variability of Precipitation and Temperature Extremes over Montreal Region for Present and Future Climates. 2019. CSCE Annual Conference. Available online: https://csce.ca/elf/apps/CONFERENCEVIEWER/conferences/2019/pdfs/PaperPDFversion_22_0513094553.pdf (accessed on 4 February 2023).
- ECCC. Données des Stations Pour le Calcul des Normales Climatiques au Canada de 1981 à 2010. 2022. Available online: https://climat.meteo.gc.ca/climate_normals/results_1981_2010_f.html?stnID=5415&autofwd=1 (accessed on 18 January 2022).
- Tarek, M.; Brissette, F.P.; Arsenault, R. Evaluation of the ERA5 reanalysis as a potential reference dataset for hydrological modelling over North America. Hydrol. Earth Syst. Sci. 2020, 24, 2527–2544. [Google Scholar] [CrossRef]
- Xu, X.; Frey, S.; Boluwade, A.; Erler, A.R.; Khader, O.; Lapen, D.R.S.E. Evaluation of variability among different precipitation products in the Northern Great Plains. J. Hydrol. Reg. Stud. 2019, 24, 100608. [Google Scholar] [CrossRef]
- Lucas-Picher, P.; Laprise, R.; Winger, K. Evidence of added value in North American regional climate model hindcast simulations using ever-increasing horizontal resolutions. Clim. Dyn. 2016, 48, 2611–2633. [Google Scholar] [CrossRef]
- Ban, N.; Caillaud, C.; Coppola, E.; Pichelli, E.; Sobolowski, S.; Adinolfi, M.; Ahrens, B.; Alias, A.; Anders, I.; Bastin, S. The first multi-model ensemble of regional climate simulations at kilometer-scale resolution, part I: Evaluation of precipitation. Clim. Dyn. 2021, 57, 275–302. [Google Scholar] [CrossRef]
- Sun, X.; Wang, G. Causes for the Negative Scaling of Extreme Precipitation at High Temperatures. J. Clim. 2022, 35, 6119–6134. [Google Scholar] [CrossRef]
- Sauter, C.; Fowler, H.J.; Westra, S.; Ali, H.; Peleg, N.; White, C.J. Compound extreme hourly rainfall preconditioned by heatwaves most likely in the mid-latitudes. Weather. Clim. Extrem. 2023, 40, 100563. [Google Scholar] [CrossRef]
- Ridder, N.N.; Pitman, A.J.; Westra, S.; Ukkola, A.; Do, H.X.; Bador, M.; Hirsch, A.L.; Evans, J.P.; Di Luca, A.; Zscheischler, J. Global hotspots for the occurrence of compound events. Nat. Commun. 2020, 11, 5956. [Google Scholar] [CrossRef]
- Frölicher, T.L. Extreme climatic events in the ocean. In Predicting Future Oceans; Elsevier: Amsterdam, The Netherlands, 2019; pp. 53–60. [Google Scholar] [CrossRef]
- Beck, H.E.; Wood, E.F.; Pan, M.; Fisher, C.K.; Miralles, D.G.; Van Dijk, A.I.; McVicar, T.R.; Adler, R.F. MSWEP V2 global 3-hourly 0.1 precipitation: Methodology and quantitative assessment. Bull. Am. Meteorol. Soc. 2019, 100, 473–500. [Google Scholar] [CrossRef]
- Llerena Enjamio, A.M. Analyse des liens entre la précipitation extrême et la température: Étude de cas dans le bassin versant de la rivière des Outaouais (BVRO) à partir des simulations du modèle climatique régional développé au centre ESCER; Mémoire, Université du Québec à Montréal, Maîtrise en Sciences de L’environnement: Montréal, QC, Canada, 2021. [Google Scholar]
- Huffman, G.; Stocker, E.; Bolvin, D.; Nelkin, E.; Tan, J. GPM IMERG Final Precipitation L3 Half Hourly 0.1 Degree × 0.1 Degree V06; Goddard Earth Sciences Data and Information Services Center (GES DISC): Greenbelt, MD, USA, 2019. [Google Scholar] [CrossRef]
- Barbero, R.; Westra, S.; Lenderink, G.; Fowler, H. Temperature-extreme precipitation scaling: A two-way causality? Int. J. Climatol. 2018, 38, e1274–e1279. [Google Scholar] [CrossRef]
- Fowler, H.J.; Lenderink, G.; Prein, A.F.; Westra, S.; Allan, R.P.; Ban, N.; Barbero, R.; Berg, P.; Blenkinsop, S.; Do, H.X.; et al. Anthropogenic intensification of short-duration rainfall extremes. Nat. Rev. Earth Environ. 2021, 2, 107–122. [Google Scholar] [CrossRef]
- Bush, E.; Lemmen, D.S. Canada’s Changing Climate Report; Government of Canada: Ottawa, ON, Canada, 2019; p. 444. [Google Scholar]















| Model or Reanalysis | Period Covered | Resolution | Variables | Levels and Temporal Resolution | Time Average | Units |
|---|---|---|---|---|---|---|
| CRCM5 | 01/01/1981–31/12/2010 | 0.44° (~50 km) 0.22° (~25 km) 0.11° (~12.5 km) | Temperature Total precipitation | 2 m (3 h) Surface (1 h) | Daily 1 hmax * and Daily | °C mm/h mm/d |
| CRCM6 | 01/09/2014–30/06/2022 | 0.0225° (~2.5 km) | Temperature Total precipitation | 2 m (1 h) Surface (1 h) | Daily 1 hmax * and Daily | °C mm/h mm/d |
| ERA5 | 01/01/1981–31/12/2010 | 0.25° (~31 km) | Temperature Total precipitation | 2 m (1 h) Surface (1 h) | Daily 1 hmax * and Daily | °C mm/h mm/d |
| Geopotential height | 500 hPa (1 h) | Daily | m2 s−2 | |||
| Mean sea level pressure | Surface (1 h) | Daily | hPa | |||
| ERA5-Land | 01/01/1981–31/12/2010 | 0.1° (~9 km) | Temperature Total precipitation | 2 m (1 h) Surface (1 h) | Daily 1 hmax * and Daily | °C mm/h mm/d |
Disclaimer/Publisher’s Note: The statements, opinions and data contained in all publications are solely those of the individual author(s) and contributor(s) and not of MDPI and/or the editor(s). MDPI and/or the editor(s) disclaim responsibility for any injury to people or property resulting from any ideas, methods, instructions or products referred to in the content. |
© 2023 by the authors. Licensee MDPI, Basel, Switzerland. This article is an open access article distributed under the terms and conditions of the Creative Commons Attribution (CC BY) license (https://creativecommons.org/licenses/by/4.0/).
Share and Cite
Llerena, A.; Gachon, P.; Laprise, R. Precipitation Extremes and Their Links with Regional and Local Temperatures: A Case Study over the Ottawa River Basin, Canada. Atmosphere 2023, 14, 1130. https://doi.org/10.3390/atmos14071130
Llerena A, Gachon P, Laprise R. Precipitation Extremes and Their Links with Regional and Local Temperatures: A Case Study over the Ottawa River Basin, Canada. Atmosphere. 2023; 14(7):1130. https://doi.org/10.3390/atmos14071130
Chicago/Turabian StyleLlerena, Ana, Philippe Gachon, and René Laprise. 2023. "Precipitation Extremes and Their Links with Regional and Local Temperatures: A Case Study over the Ottawa River Basin, Canada" Atmosphere 14, no. 7: 1130. https://doi.org/10.3390/atmos14071130
APA StyleLlerena, A., Gachon, P., & Laprise, R. (2023). Precipitation Extremes and Their Links with Regional and Local Temperatures: A Case Study over the Ottawa River Basin, Canada. Atmosphere, 14(7), 1130. https://doi.org/10.3390/atmos14071130

