A Study on the Influence of Different Flue Gas Components on Supersaturated Environment Characteristics in a Multisection Growth Tube
Abstract
:1. Introduction
2. Theoretical Model and Analysis Method
2.1. Model of a Multisection Growth Tube
2.2. Construction of a Supersaturated Environment using Two Typical Methods
2.3. Model of Heat and Mass Transfer Process
3. Results and Discussion
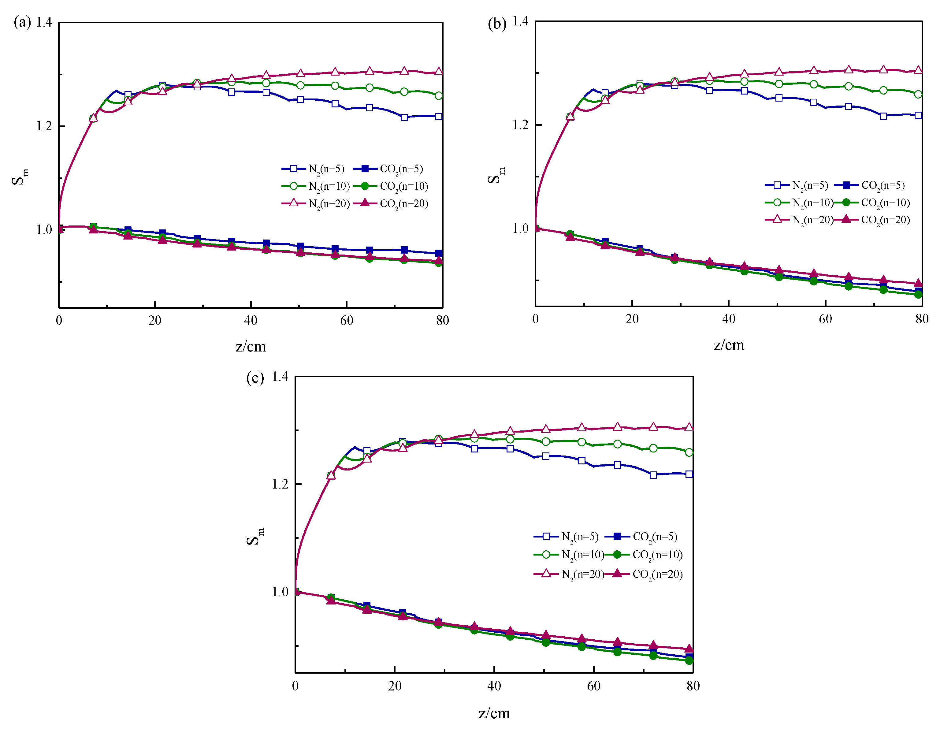
3.1. The Effects of Different CO2 Concentrations on Supersaturation Profiles in Method 1
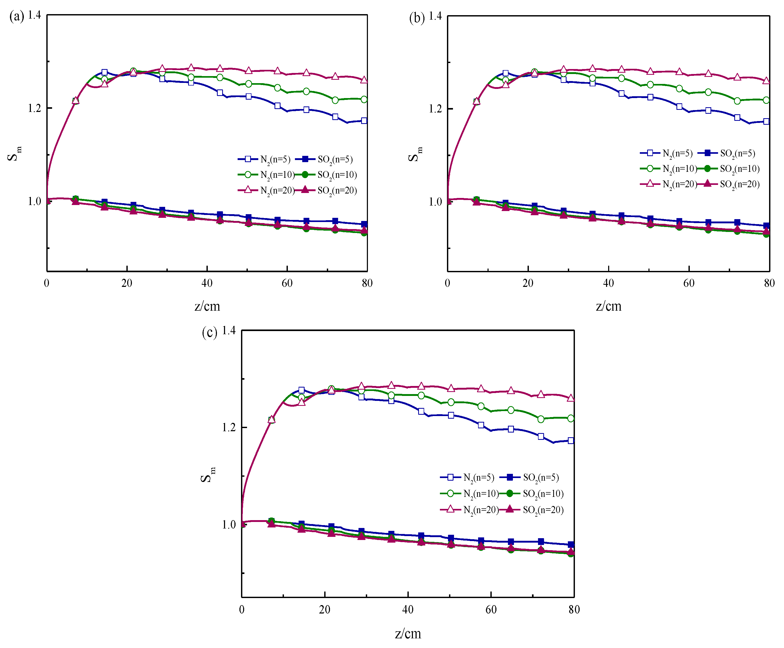
3.2. The Effects of Different SO2 Concentrations on Supersaturation Profiles in Method 1
3.3. The Effects of Different RH on Supersaturation Profiles in Method 1
3.4. Effects of Different CO2 Concentration on Supersaturation Profiles in Method 2
3.5. The Effects of Different SO2 Concentration on Supersaturation Profiles in Method 2
4. Conclusions
Author Contributions
Funding
Institutional Review Board Statement
Informed Consent Statement
Data Availability Statement
Conflicts of Interest
References
- Ruan, R.; Xu, X.; Tan, H.; Zhang, S.; Lu, X.; Zhang, P.; Han, R.; Xiong, X. Emission characteristics of particulate matter from two ultralow-emission coal-fired industrial boilers in Xi’an, China. Energy Fuels 2019, 33, 1944–1954. [Google Scholar]
- Xue, Y.; Tian, H.; Yan, J.; Zhou, Z.; Wang, J.; Nie, L.; Pan, T.; Zhou, J.; Hua, S.; Wang, Y.; et al. Temporal trends and spatial variation characteristics of primary air pollutants emissions from coal-fired industrial boilers in Beijing, China. Environ. Pollut. 2016, 213, 717–726. [Google Scholar] [PubMed]
- Chen, S.; Li, Y.; Shi, G.; Zhu, Y. Gone with the wind? Emissions of neighboring coal-fired power plants and local public health in China. China Econ. Rev. 2021, 69, 101660. [Google Scholar]
- Kushta, J.; Paisi, N.; Van Der Gon, H.D.; Lelieveld, J. Disease burden and excess mortality from coal-fired power plant emissions in Europe. Environ. Res. Lett. 2021, 16, 045010. [Google Scholar]
- De Joannon, M.; Cozzolino, G.; Cavaliere, A.; Ragucci, R. Heterogeneous nucleation activation in a condensational scrubber for particulate abatement. Fuel Process. Technol. 2013, 107, 113–118. [Google Scholar]
- Zhang, Y.; Jin, R.; Dong, S.; Wang, Y.; Dong, K.; Wei, Y.; Wang, B. Heterogeneous condensation combined with inner vortex broken cyclone to achieve high collection efficiency of fine particles and low energy consumption. Powder Technol. 2021, 382, 420–430. [Google Scholar]
- Zhou, D.; Luo, Z.; Jiang, J.; Chen, H.; Lu, M.; Fang, M. Experimental study on improving the efficiency of dust removers by using acoustic agglomeration as pretreatment. Powder Technol. 2016, 289, 52–59. [Google Scholar]
- Wang, K.; Gu, H.; Zhang, G.; Luo, K.; Zhang, Q.; Chen, G.; Zhan, M.; Chi, Z. A novel fire smoke elimination technology using electric agglomeration: The concept, experimental verification and mechanisms. J. Hazard. Mater. 2023, 441, 129950. [Google Scholar]
- Guo, Y.; Zhang, J.; Zhao, Y.; Wang, S.; Jiang, C.; Zheng, C. Chemical agglomeration of fine particles in coal combustion flue gas: Experimental evaluation. Fuel 2017, 203, 557–569. [Google Scholar]
- Wu, H.; Pan, D.; Zhang, R.; Yang, L.; Peng, Z.; Yang, B. Reducing fine particle emissions by heterogeneous vapor condensation after wet desulfurization process. J. Chem. Technol. Biotechnol. 2017, 92, 2342–2350. [Google Scholar]
- Yang, L.; Bao, J.; Yan, J.; Liu, J.; Song, S.; Fan, F. Removal of fine particles in wet flue gas desulfurization system by heterogeneous condensation. Chem. Eng. J. 2010, 15, 25–32. [Google Scholar]
- Wang, J.; Duan, X.; Wang, S.; Wen, J.; Tu, J. Experimental and numerical investigation on the separation of hydrophilic fine particles using heterogeneous condensation preconditioning technique in gas cyclones. Sep. Purif. Technol. 2021, 259, 118126. [Google Scholar]
- Wang, Y.; Henning, S.; Poulain, L.; Lu, C.; Stratmann, F.; Wang, Y.; Niu, S.; Pöhlker, M.L.; Herrmann, H.; Wiedensohler, A. Aerosol activation characteristics and prediction at the central European ACTRIS research station of Melpitz, Germany. Atmos. Chem. Phys. 2022, 22, 15943–15962. [Google Scholar]
- Smorodin, V.Y.; Hopke, P.K. Condensation activation and nucleation on heterogeneous aerosol nanoparticles. J. Phys. Chem. B 2004, 108, 9147–9157. [Google Scholar]
- Kalikmanov, V.I. Nucleation Theory; Springer: Berlin/Heidelberg, Germany, 2013. [Google Scholar]
- Hering, S.V.; Stolzenburg, M.R.; Quant, F.R.; Oberreit, D.R.; Keady, P.B. A laminar-flow, water-based condensation particle counter (WCPC). Aerosol Sci. Technol. 2005, 39, 659–672. [Google Scholar]
- Hering, S.V.; Stolzenburg, M.R. A method for particle size amplification by water condensation in a laminar, thermally diffusive flow. Aerosol Sci. Technol. 2005, 39, 428–436. [Google Scholar]
- Xu, J.; Yu, Y.; Zhang, J.; Meng, Q.; Zhong, H. Heterogeneous condensation of water vapor on particles at high concentration. Powder Technol. 2017, 305, 71–77. [Google Scholar]
- Fisenko, S.P.; Wang, W.N.; Shimada, M.; Okuyama, K. Vapor condensation on nanoparticles in the mixer of a particle size magnifier. Int. J. Heat Mass Transf. 2007, 50, 2333–2338. [Google Scholar]
- Roberts, G.C.; Nenes, A. A continuous-flow streamwise thermal-gradient CCN chamber for atmospheric measurements. Aerosol Sci. Technol. 2005, 39, 206–221. [Google Scholar]
- Bian, J.; Gui, H.; Xie, Z.; Yu, T.; Wei, X.; Wang, W.; Liu, J. Simulation of three-stage operating temperature for supersaturation water-based condensational growth tube. J. Environ. Sci. 2020, 90, 275–285. [Google Scholar]
- Yu, Y.; Xu, J.; Zhang, J.; Chen, G.; Zhong, H. Study on effects of different carrier gases on characteristics of the supersaturated environment in the one-/multi-section growth tube. Energy Fuels 2018, 32, 4586–4592. [Google Scholar]
- Bao, J.J. Study on Improving the Removal of Fine Particles by Heterogeneous Condensation in WFGD System. Ph.D. Thesis, Southeast University, Nanjing, China, 2012. [Google Scholar]
- Zebian, H.; Rossi, N.; Gazzino, M.; Cumbo, D.; Mitsos, A. Optimal design and operation of pressurized oxy-coal combustion with a direct contact separation column. Energy 2013, 49, 268–278. [Google Scholar]
- Lihavainen, H.; Viisanen, Y. A laminar flow diffusion chamber for homogeneous nucleation studies. J. Phys. Chem. B 2001, 105, 11619–11629. [Google Scholar]
- Lihavainen, H.; Viisanen, Y.; Kulmala, M. Homogeneous nucleation of n-pentanol in a laminar flow diffusion chamber. J. Chem. Phys. 2001, 114, 10031–10038. [Google Scholar]
- Fisenko, S.P.; Brin, A.A. Heat and mass transfer and condensation interference in a laminar flow diffusion chamber. Int. J. Heat Mass Transf. 2006, 49, 1004–1014. [Google Scholar]
- Yu, Y.; Xu, C.; Zhang, J.; Fu, C. Effects of coal-fired flue gas composition on condensational growth by water vapor for fine SiO2 particles. Process Saf. Environ. Prot. 2022, 158, 34–41. [Google Scholar]
- Yu, Y.; Zhang, J.; Zhong, H. Heterogeneous condensation of water vapor on fine SiO2 particles in two-section growth tube. Energy Fuels 2018, 32, 12750–12757. [Google Scholar]
- Zhong, Q.; Chen, Y.; Zhu, B.; Liao, S.; Shi, K. A temperature field reconstruction method based on acoustic thermometry. Measurement 2022, 200, 111642. [Google Scholar]
- Tammaro, M.; Di Natale, F.; Salluzzo, A.; Lancia, A. Heterogeneous condensation of submicron particles in a growth tube. Chem. Eng. Eng. Sci. 2012, 74, 124–134. [Google Scholar]








| n | CO2 | SO2 | RH | ||||||
|---|---|---|---|---|---|---|---|---|---|
| 10% | 30% | 50% | 0.1% | 1% | 5% | 50% | 100% | 120% | |
| 5 | 1.2836 | 1.3561 | 1.4434 | 1.2886 | 1.2925 | 1.2838 | 1.2822 | 1.2913 | 1.2946 |
| 10 | 1.3567 | 1.4261 | 1.4979 | 1.3643 | 1.3677 | 1.3525 | 1.3556 | 1.3679 | 1.3725 |
| 20 | 1.2984 | 1.3393 | 1.3852 | 1.3057 | 1.3070 | 1.2905 | 1.2980 | 1.3091 | 1.3131 |
| n | CO2 | SO2 | ||||
|---|---|---|---|---|---|---|
| 10% | 30% | 50% | 0.1% | 1% | 5% | |
| 5 | 0.9696 | 0.9092 | 0.9091 | 0.9665 | 0.9645 | 0.9726 |
| 10 | 0.9547 | 0.9022 | 0.9022 | 0.9517 | 0.9498 | 0.9577 |
| 20 | 0.9549 | 0.9159 | 0.9159 | 0.9525 | 0.9511 | 0.9575 |
Disclaimer/Publisher’s Note: The statements, opinions and data contained in all publications are solely those of the individual author(s) and contributor(s) and not of MDPI and/or the editor(s). MDPI and/or the editor(s) disclaim responsibility for any injury to people or property resulting from any ideas, methods, instructions or products referred to in the content. |
© 2023 by the authors. Licensee MDPI, Basel, Switzerland. This article is an open access article distributed under the terms and conditions of the Creative Commons Attribution (CC BY) license (https://creativecommons.org/licenses/by/4.0/).
Share and Cite
Yu, Y.; Gu, S.; Xu, C.; Fu, C.; Hou, M.; Nie, T.; Hu, Y. A Study on the Influence of Different Flue Gas Components on Supersaturated Environment Characteristics in a Multisection Growth Tube. Atmosphere 2023, 14, 1129. https://doi.org/10.3390/atmos14071129
Yu Y, Gu S, Xu C, Fu C, Hou M, Nie T, Hu Y. A Study on the Influence of Different Flue Gas Components on Supersaturated Environment Characteristics in a Multisection Growth Tube. Atmosphere. 2023; 14(7):1129. https://doi.org/10.3390/atmos14071129
Chicago/Turabian StyleYu, Yan, Shijie Gu, Chengwei Xu, Chao Fu, Meiling Hou, Tingting Nie, and Yincui Hu. 2023. "A Study on the Influence of Different Flue Gas Components on Supersaturated Environment Characteristics in a Multisection Growth Tube" Atmosphere 14, no. 7: 1129. https://doi.org/10.3390/atmos14071129
APA StyleYu, Y., Gu, S., Xu, C., Fu, C., Hou, M., Nie, T., & Hu, Y. (2023). A Study on the Influence of Different Flue Gas Components on Supersaturated Environment Characteristics in a Multisection Growth Tube. Atmosphere, 14(7), 1129. https://doi.org/10.3390/atmos14071129

